Use of High-Protein and High-Dietary-Fibre Vegetable Processing Waste from Bell Pepper and Tomato for Pasta Fortification
Abstract
1. Introduction
2. Materials and Methods
2.1. Raw Materials
2.2. Farinograph Characteristics of Mixtures
2.3. Fractional Composition of Raw Materials
2.4. Preparation of Pasta Samples
2.5. Chemical Composition of Raw Materials and Pasta Samples
2.6. Cooking Quality of Pasta Samples
2.7. Color Parameters of Pasta Samples
2.8. Statistical Analysis
3. Results and Discussion
3.1. Physicochemical Properties of Raw Materials
3.2. Farinograph Parameters
3.3. Pasta Processing
3.4. Chemical Composition of Pasta Samples
3.5. Mineral Composition of Selected Dried Pasta Samples
3.6. Amino Acid Composition in Raw Materials and Pasta Samples
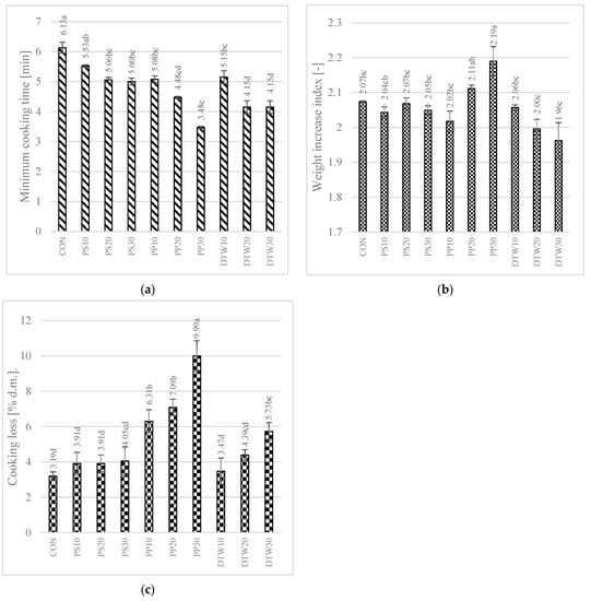
3.7. Cooking Quality of Pasta Samples
3.8. Colour Parameters of Dried Pasta Samples
4. Conclusions
Author Contributions
Funding
Data Availability Statement
Acknowledgments
Conflicts of Interest
References
- Food Waste Index Report 2021; United Nations Environment Programme. Available online: https://www.unep.org/resources/report/unep-food-waste-index-report-2021 (accessed on 6 March 2023).
- Ślusarczyk, B.; Machowska, E. Food Waste in the World and in Poland. Acad. Rev. 2019, 1, 91–100. [Google Scholar] [CrossRef]
- Mahanta, N.R.; Samuel, A.K.; Sachan, D. Emerging trends of zero waste in the built environment and a paradigm shift toward sustainability. In Emerging Trends to Approaching Zero Waste; Elsevier: Amsterdam, The Netherlands, 2022; pp. 1–35. [Google Scholar]
- Xu, Y.; Li, Y.; Bao, T.; Zheng, X.; Chen, W.; Wang, J. A recyclable protein resource derived from cauliflower by-products: Potential biological activities of protein hydrolysates. Food Chem. 2017, 221, 114–122. [Google Scholar] [CrossRef] [PubMed]
- Sedlar, T.; Čakarević, J.; Tomić, J.; Popović, L. Vegetable by-products as new sources of functional proteins. Plant Foods Hum. Nutr. 2021, 76, 31–36. [Google Scholar] [CrossRef]
- Aranibar, C.; Pigni, N.B.; Martinez, M.; Aguirre, A.; Ribotta, P.; Wunderlin, D.; Borneo, R. Utilization of a partially-deoiled chia flour to improve the nutritional and antioxidant properties of wheat pasta. LWT 2018, 89, 381–387. [Google Scholar] [CrossRef]
- Badwaik, L.S.; Prasad, K.; Seth, D. Optimization of ingredient levels for the development of peanut based fiber rich pasta. J. Food Sci. Technol. 2014, 51, 2713–2719. [Google Scholar] [CrossRef] [PubMed]
- Balli, D.; Cecchi, L.; Innocenti, M.; Bellumori, M.; Mulinacci, N. Food by-products valorisation: Grape pomace and olive pomace (pâté) as sources of phenolic compounds and fiber for enrichment of tagliatelle pasta. Food Chem. 2021, 355, 129642. [Google Scholar] [CrossRef]
- Ciccoritti, R.; Taddei, F.; Nicoletti, I.; Gazza, L.; Corradini, D.; D’Egidio, M.G.; Martini, D. Use of bran fractions and debranned kernels for the development of pasta with high nutritional and healthy potential. Food Chem. 2017, 225, 77–86. [Google Scholar] [CrossRef]
- Sobota, A.; Skwira, A. Physical properties and chemical composition of extruded pasta. Acta Agrophysica 2009, 13, 245–260. [Google Scholar]
- Teterycz, D.; Sobota, A.; Przygodzka, D.; Łysakowska, P. Hemp seed (Cannabis sativa L.) enriched pasta: Physicochemical properties and quality evaluation. PLoS ONE 2021, 16, e0248790. [Google Scholar] [CrossRef]
- Zarzycki, P.; Teterycz, D.; Wirkijowska, A.; Kozłowicz, K.; Stasiak, D.M. Use of moldavian dragonhead seeds residue for pasta production. LWT 2021, 143, 111099. [Google Scholar] [CrossRef]
- Sykut-Domańska, E.; Zarzycki, P.; Sobota, A.; Teterycz, D.; Wirkijowska, A.; Blicharz-Kania, A.; Andrejko, D.; Mazurkiewicz, J. The potential use of by-products from coconut industry for production of pasta. J. Food Process. Preserv. 2020, 44, e14490. [Google Scholar] [CrossRef]
- Teterycz, D.; Sobota, A.; Starek, A. Possibility of using wheat germ and wheat germ protein isolate for high-protein pasta production. Cereal Chem. 2022, 100, 299–309. [Google Scholar] [CrossRef]
- Eslami, E.; Carpentieri, S.; Pataro, G.; Ferrari, G. A Comprehensive Overview of Tomato Processing By-Product Valorization by Conventional Methods versus Emerging Technologies. Foods 2022, 12, 166. [Google Scholar] [CrossRef] [PubMed]
- Scoma, A.; Rebecchi, S.; Bertin, L.; Fava, F. High impact biowastes from South European agro-industries as feedstock for second-generation biorefineries. Crit. Rev. Biotechnol. 2016, 36, 175–189. [Google Scholar] [CrossRef] [PubMed]
- Nour, V.; Panaite, T.D.; Ropota, M.; Turcu, R.; Trandafir, I.; Corbu, A.R. Nutritional and bioactive compounds in dried tomato processing waste. CyTA-J. Food 2018, 16, 222–229. [Google Scholar] [CrossRef]
- Del Valle, M.; Cámara, M.; Torija, M.E. Chemical characterization of tomato pomace. J. Sci. Food Agric. 2006, 86, 1232–1236. [Google Scholar] [CrossRef]
- Adeyeye, E.I. The contribution of flesh, placenta and seeds to the nutritional attributes of a variety of Capsicum annum (Bell pepper). Elixir Food Sci. 2014, 68, 22587–22594. [Google Scholar]
- AACC. American Association of Cereal Chemistry Approved Methods, 10th ed.; AACC: St. Paul, MN, USA, 2000. [Google Scholar]
- Teterycz, D.; Sobota, A.; Zarzycki, P.; Latoch, A. Legume flour as a natural colouring component in pasta production. J. Food Sci. Technol. 2020, 57, 301–309. [Google Scholar] [CrossRef]
- Cvetković, T.; Ranilović, J.; Jokić, S. Quality of pepper seed by-products: A review. Foods 2022, 11, 748. [Google Scholar] [CrossRef]
- Weaver, C.M. Potassium and health. Adv. Nutr. 2013, 4, 368S–377S. [Google Scholar] [CrossRef]
- Roohani, N.; Hurrell, R.; Kelishadi, R.; Schulin, R. Zinc and its importance for human health: An integrative review. J. Res. Med. Sci. Off. J. Isfahan Univ. Med. Sci. 2013, 18, 144. [Google Scholar]
- Marchylo, B.A.; Dexter, J.E.; Clarke, F.R.; Clarke, J.M.; Preston, K.R. Relationships among bread-making quality, gluten strength, physical dough properties, and pasta cooking quality for some Canadian durum wheat genotypes. Can. J. Plant Sci. 2001, 81, 611–620. [Google Scholar] [CrossRef]
- Welc-Stanowska, R.; Kłosok, K.; Nawrocka, A. Effects of gluten-phenolic acids interaction on the gluten structure and functional properties of gluten and phenolic acids. J. Cereal Sci. 2023, 111, 103682. [Google Scholar] [CrossRef]
- Jasna, M.; Žarko, K.; Milan, V.; Marko, I.; Jelena, R.; Dženita, D. Possibilities for utilization of dietary fiber-rich supplement from pepper (Capsicum annum L.) processing waste in bakery products. J. Eng. Process. Manag. 2018, 10, 28–33. [Google Scholar] [CrossRef]
- Sehn, G.A.R.; Nogueira, A.D.C.; Almeida, E.L.; Chang, Y.K.; Steel, C.J. Fortification of wheat dough with calcium and magnesium ions affects empirical rheological properties. Cereal Chem. 2015, 92, 405–410. [Google Scholar] [CrossRef]
- Abedi, E.; Pourmohammadi, K. Chemical modifications and their effects on gluten protein: An extensive review. Food Chem. 2021, 343, 128398. [Google Scholar] [CrossRef] [PubMed]
- Benderska, O.; Bessarab, A.; Iegorov, B.; Kashkano, M.; Shutyuk, V. Biological value of tomato processing by-products. Food Sci. Technol. 2021, 15, 28–36. [Google Scholar] [CrossRef]
- Colombari, L.F.; Chamma, L.; da Silva, G.F.; Zanetti, W.A.L.; Putti, F.F.; Cardoso, A.I.I. Maturation and Post-Harvest Resting of Fruits Affect the Macronutrients and Protein Content in Sweet Pepper Seeds. Plants 2022, 11, 2084. [Google Scholar] [CrossRef]
- Ahmad, U.; Mushtaq, Z.; Ahmad, R.S.; Asghar, N. Characterization, oxidative perspectives and consumer acceptability of tomato waste powder supplemented cookies. JAPS J. Anim. Plant Sci. 2017, 27, 2045–2055. [Google Scholar]
- Eller, F.J.; Moser, J.K.; Kenar, J.A.; Taylor, S.L. Extraction and analysis of tomato seed oil. J. Am. Oil Chem. Soc. 2010, 87, 755–762. [Google Scholar] [CrossRef]
- Chouaibi, M.; Rezig, L.; Hamdi, S.; Ferrari, G. Chemical characteristics and compositions of red pepper seed oils extracted by different methods. Ind. Crops Prod. 2019, 128, 363–370. [Google Scholar] [CrossRef]
- Schaich, K.M. Analysis of lipid and protein oxidation in fats, oils, and foods. In Oxidative Stability and Shelf Life of Foods Containing Oils and Fats; AOCS Press: Urbana, IL, USA, 2016; pp. 1–131. [Google Scholar]
- Regulation (EC) No 1924/2006 of the European Parliament and of the Council of 20 December 2006 on Nutrition and Health Claims Made on Foods. Available online: https://eur-lex.europa.eu/legal-content/en/TXT/?uri=CELEX%3A32006R1924 (accessed on 6 March 2023).
- White, P.J.; Broadley, M.R. Historical variation in the mineral composition of edible horticultural products. J. Hortic. Sci. Biotechnol. 2005, 80, 660–667. [Google Scholar] [CrossRef]
- Mehta, D.; Prasad, P.; Sangwan, R.S.; Yadav, S.K. Tomato processing byproduct valorization in bread and muffin: Improvement in physicochemical properties and shelf life stability. J. Food Sci. Technol. 2018, 55, 2560–2568. [Google Scholar] [CrossRef] [PubMed]
- World Health Organization; Food and Agriculture Organization; United Nations University. Protein and Amino Acid Requirements in Human Nutrition Report of a Joint WHO/FAO/UNU Expert Consultation; WHO Technical Report Series no. 935; WHO: Geneva, Switzerland, 2007. [Google Scholar]
- Baigts-Allende, D.K.; Pérez-Alva, A.; Metri-Ojeda, J.C.; Estrada-Beristain, C.; Ramírez-Rodrigues, M.A.; Arroyo-Silva, A.; Ramírez-Rodrigues, M.M. Use of Hibiscus sabdariffa by-Product to Enhance the Nutritional Quality of Pasta. Waste Biomass Valoriz. 2022, 14, 1267–1279. [Google Scholar] [CrossRef]
- Kultys, E.; Moczkowska-Wyrwisz, M. Effect of using carrot pomace and beetroot-apple pomace on physicochemical and sensory properties of pasta. LWT 2022, 168, 113858. [Google Scholar] [CrossRef]
- Gumul, D.; Kruczek, M.; Ivanišová, E.; Słupski, J.; Kowalski, S. Apple pomace as an ingredient enriching wheat pasta with health-promoting compounds. Foods 2023, 12, 804. [Google Scholar] [CrossRef]
- Conforti, F.D.; Zinck, J.B. Hydrocolloid-lipid coating affect on weight loss, pectin content, and textural quality of green bell peppers. J. Food Sci. 2002, 67, 1360–1363. [Google Scholar] [CrossRef]
- Jeong, W.Y.; Jin, J.S.; Cho, Y.A.; Lee, J.H.; Park, S.; Jeong, S.W.; Kim, Y.H.; Lim, C.S.; El-Aty, A.A.; Kim, G.S.; et al. Determination of polyphenols in three Capsicum annuum L. (bell pepper) varieties using high-performance liquid chromatography-tandem mass spectrometry: Their contribution to overall antioxidant and anticancer activity. J. Sep. Sci. 2011, 34, 2967–2974. [Google Scholar] [CrossRef]
- Sivam, A.S.; Sun-Waterhouse, D.; Perera, C.O.; Waterhouse, G.I.N. Application of FT-IR and Raman spectroscopy for the study of biopolymers in breads fortified with fibre and polyphenols. Food Res. Int. 2013, 50, 574–585. [Google Scholar] [CrossRef]
- Shreenithee, C.R.; Prabhasankar, P. Effect of different shapes on the quality, microstructure, sensory and nutritional characteristics of yellow pea flour incorporated pasta. J. Food Meas. Charact. 2013, 7, 166–176. [Google Scholar] [CrossRef]
- Saini, R.K.; Prasad, P.; Lokesh, V.; Shang, X.; Shin, J.; Keum, Y.S.; Lee, J.H. Carotenoids: Dietary sources, extraction, encapsulation, bioavailability, and health benefits—A review of recent advancements. Antioxidants 2022, 11, 795. [Google Scholar] [CrossRef] [PubMed]
- Madia, V.N.; De Vita, D.; Ialongo, D.; Tudino, V.; De Leo, A.; Scipione, L.; Di Santo, R.; Costi, R.; Messore, A. Recent advances in recovery of lycopene from tomato waste: A potent antioxidant with endless benefits. Molecules 2021, 26, 4495. [Google Scholar] [CrossRef] [PubMed]
- Covaliov, B.E.; Deseatnicova, O.; Reşitca, V.; Suhodol, M.N.; Grosu, C.; Siminiuc, R. Impact of plant additives: Parsley (Petroselinum crispum) leaves and red bell pepper (Capsicum annuum) on the quality of eggless wheat pasta. Czech J. Food Sci. 2022, 40, 281–289. [Google Scholar] [CrossRef]
- Nour, V.; Ionica, M.E.; Trandafir, I. Bread enriched in lycopene and other bioactive compounds by addition of dry tomato waste. J. Food Sci. Technol. 2015, 52, 8260–8267. [Google Scholar] [CrossRef] [PubMed]


| Samples | Pasta Formula | Production Parameters | ||||
|---|---|---|---|---|---|---|
| Semolina | Defatted Pepper Seeds | Pepper Placenta | Tomato Waste | Pressure | Extruder Capacity | |
| [%] | [MPa] | [kg/h] | ||||
| CON | 100 | 12.95 a ± 0.71 | 31.06 a ± 0.07 | |||
| DPS 10 | 90 | 10 | 12.85 ab ± 2.12 | 30.78 a ± 0.08 | ||
| DPS 20 | 80 | 20 | 12.35 d ± 0.71 | 30.30 ab ± 0.08 | ||
| DPS 30 | 70 | 30 | 12.45 cd ± 0.71 | 30.16 abc ± 0.20 | ||
| PP 10 | 90 | 10 | 12.75 abc ± 0.71 | 29.94 abc ± 0.39 | ||
| PP 20 | 80 | 20 | 12.45 dc ± 0.71 | 29.01 bc ± 0.92 | ||
| PP 30 | 70 | 30 | 12.25 d ± 0.71 | 28.93 bc ± 0.16 | ||
| TW 10 | 90 | 10 | 12.95 a ± 0.71 | 30.77 a ± 0.27 | ||
| TW 20 | 80 | 20 | 12.75 abc ± 0.71 | 29.76 abc ± 0.51 | ||
| TW 30 | 70 | 30 | 12.55 bcd ± 0.71 | 28.56 b ± 0.51 | ||
| Raw Materials | Moisture | Ash | Protein | Fat | Carbohydrates * | TDF | IDF | SDF |
|---|---|---|---|---|---|---|---|---|
| % | % d.m. | |||||||
| Semolina durum | 8.45 b ± 0.28 | 0.87 d ± 0.07 | 16.19 d ± 0.08 | 1.24 d ± 0.01 | 75.85 a ± 0.07 | 4.74 c ± 0.11 | 3.51 d ± 0.11 | 1.27 d ± 0.05 |
| Defatted pepper seeds | 5.96 c ± 0.01 | 3.49 c ± 0.04 | 26.07 b ± 0.06 | 10.40 b ± 0.21 | 2.32 c ± 0.08 | 60.89 a ± 0.13 | 53.71 a ± 0.12 | 7.19 c ± 0.25 |
| Pepper placenta | 11.84 a ± 0.38 | 13.29 a ± 0.13 | 30.77 a ± 0.01 | 3.15 c ± 0.04 | 19.28 b ± 0.39 | 33.49 b ± 0.55 | 16.86 c ± 1.56 | 16.63 a ± 1.01 |
| Tomato waste | 6.41 c ± 0.08 | 3.76 b ± 0.01 | 24.56 c ± 0.02 | 11.73 a ± 0.04 | 3.11 c ± 0.32 | 60.92 a ± 0.37 | 49.72 b ± 0.36 | 11.20 b ± 0.01 |
| Samples | P | Ca | Mg | K | Cr | Na | Zn |
|---|---|---|---|---|---|---|---|
| mg/g | mg/g | mg/g | mg/g | µg/g | µg/g | µg/g | |
| Raw materials | |||||||
| Semolina durum | 2.20 d ± 0.02 | 0.19 d ± 0.03 | 0.59 d ± 0.08 | 2.33 d ± 0.04 | 0.44 d ± 0.05 | nd | 11.41 d ± 0.16 |
| Defatted pepper seeds | 7.07 a ± 0.02 | 0.86 c ± 0.08 | 2.79 a ± 0.04 | 7.35 c ± 0.06 | 6.35 a ± 0.04 | 23.5 b ± 0.01 | 39.59 a ± 0.11 |
| Pepper placenta | 3.58 c ± 0.05 | 1.02 b ± 0.07 | 1.19 c ± 0.04 | 36.43 a ± 0.11 | 1.46 c ± 0.06 | 115.00 a ± 4.24 | 23.56 c ± 0.08 |
| Tomato waste | 5.14 b ± 0.03 | 1.39 a ± 0.05 | 2.27 b ± 0.02 | 10.69 b ± 0.08 | 3.06 b ± 0.08 | 113.00 a ± 2.83 | 25.66 b ± 0.08 |
| Pasta samples | |||||||
| CON | 2.23 d ± 0.02 | 0.23 d ± 0.02 | 0.59 d ± 0.04 | 2.31 d ± 0.01 | 0.45 d ± 0.09 | nd | 11.38 d ± 0.05 |
| DPS 30 | 3.76 a ± 0.04 | 0.35 c ± 0.08 | 1.22 a ± 0.03 | 3.87 c ± 0.06 | 1.93 a ± 0.04 | 8.50 c ± 0.05 | 20.80 a ± 0.04 |
| PP 30 | 2.65 c ± 0.06 | 0.47 b ± 0.06 | 0.72 c ± 0.07 | 11.49 a ± 0.10 | 0.91 c ± 0.02 | 41.00 a ± 0.28 | 17.31 b ± 0.07 |
| TW 30 | 3.10 b ± 0.02 | 0.53 a ± 0.09 | 1.04 b ± 0.04 | 4.89 b ± 0.10 | 1.34 b ± 0.04 | 31.70 b ± 0.28 | 16.88 c ± 0.06 |
| Raw Materials | Fractions (µm) | Equivalent Diameter (µm) | ||||||
|---|---|---|---|---|---|---|---|---|
| >400 | 315–400 | 250–315 | 160–250 | 125–160 | 80–125 | <80 | ||
| (%) | ||||||||
| Semolina durum | 9.17 b ± 0.15 | 27.58 b ± 0.36 | 21.83 a ± 0.26 | 22.52 d ± 0.23 | 6.36 b ± 0.24 | 11.48 c ± 0.04 | 0.51 c ± 0.04 | 264.38 c ± 1.06 |
| Defatted pepper seeds | 61.91 a ± 0.44 | 10.75 c ± 0.17 | 5.49 c ± 0.08 | 17.84 c ± 0.39 | 0.30 d ± 0.09 | 1.97 c ± 0.09 | 1.06 c ± 0.09 | 341.28 a ± 0.64 |
| Pepper placenta | 1.55 d ± 0.15 | 8.41 d ± 0.41 | 14.86 b ± 0.52 | 28.27 b ± 1.02 | 23.35 a ± 0.23 | 20.5 b ± 0.21 | 1.75 b ± 0.21 | 191.73 d ± 0.74 |
| Tomato waste | 3.86 c ± 0.24 | 48.47 a ± 0.26 | 5.96 c ± 0.10 | 37.79 a ± 0.61 | 2.29 c ± 0.39 | 1.12 a ± 0.15 | 3.05 a ± 0.15 | 287.66 b ± 0.79 |
| Samples | Development Time | Water Absorption | Dough Stability | Degree of Dough Softening (after 12 min) | Farinograph Quality Number |
|---|---|---|---|---|---|
| min | % | min | FU | Mm | |
| CON | 5.17 e ± 0:07 | 56.60 f ± 0.14 | 12.53 c ± 0:05 | 35.50 c ± 0.71 | 149.50 e ± 0.71 |
| DPS 10 | 4.44 f ± 0:09 | 56.55 f ± 0.21 | 10.20 d ± 0:13 | 35.50 c ± 0.16 | 138.00 e ± 2.12 |
| DPS 20 | 4.39 f ± 0:21 | 57.55 e ± 0.04 | 5.19 g ± 0:02 | 34.50 c ± 1.41 | 100.00 f ± 2.83 |
| DPS 30 | 5.32 e ± 0:09 | 58.15 d ± 0.04 | 4.16 h ± 0:08 | 19.00 f ± 0.71 | 255.50 b ± 3.54 |
| PP 10 | 6.48 d ± 0:17 | 56.15 f ± 0.07 | 7.39 f ± 0:06 | 32.11 cd ± 0.71 | 104.50 f ± 1.41 |
| PP 20 | 10.39 b ± 0:03 | 57.33 e ± 0.07 | 20.46 b ± 0:04 | 28.00 d ± 0.71 | 238.00 c ± 1.41 |
| PP 30 | 15.40 a ± 0:02 | 58.78 d ± 0.07 | 39.20 a ± 0:06 | 12.50 g ± 1.41 | 352.50 a ± 6.36 |
| TW 10 | 5.40 e ± 0:16 | 61.00 c± 0.28 | 7.17 f ± 0:04 | 46.50 a ± 2.12 | 104.50 f ± 2.12 |
| TW 20 | 6.20 d ± 0:01 | 63.65 b ± 0.07 | 5.18 g ± 0:14 | 44.50 a ± 0.71 | 101.00 f ± 7.07 |
| TW 30 | 8.29 c ± 0:06 | 64.65 a ± 0.07 | 8.30 e ± 0:10 | 23.50 e ± 0.71 | 208.00 d ± 1.41 |
| Pasta Samples | Moisture | Ash | Protein | Fat | TDF | IDF | SDF | Carbohydrates * | Energy | Energy from Protein | Energy from Protein |
|---|---|---|---|---|---|---|---|---|---|---|---|
| % | % d.m. | kcal/100 g d.m. | % | ||||||||
| CON | 9.45 b ± 0.02 | 1.03 g ± 0.01 | 16.16 h ± 0.08 | 1.11 g ± 0.08 | 4.74 f ± 0.1 | 2.94 h ± 0.06 | 1.81 g ± 0.04 | 76.95 a ± 0.17 | 391.95 a ± 0.22 | 64.64 g ± 0.31 | 16.49 f ± 0.09 |
| DPS 10 | 9.21 c ± 0.02 | 1.48 f ± 0.02 | 17.26 g ± 0.03 | 1.38 fg ± 0.03 | 13.48 cd ± 0.23 | 8.60 e ± 0.02 | 4.87 f ± 0.25 | 66.44 c ± 0.24 | 374.02 bc ± 0.64 | 69.04 f ± 0.12 | 18.46 e ± 0.07 |
| DPS 20 | 9.07 c ± 0.04 | 1.67 e ± 0.04 | 17.42 fg ± 0.06 | 2.52 d ± 0.05 | 20.20 b ± 0.38 | 14.34 c ± 0.4 | 5.86 cd ± 0.03 | 58.19 d ± 0.32 | 365.52 d ± 1.19 | 69.68 f ± 0.25 | 19.06 d ± 0.05 |
| DPS 30 | 8.73 d ± 0.03 | 1.99 c ± 0.02 | 17.68 f ± 0.02 | 3.44 b ± 0.05 | 27.99 a ± 1.05 | 20.69 a ± 0.76 | 7.30 b ± 0.29 | 48.90 e ± 1.14 | 353.26 e ± 1.95 | 70.72 e ± 0.09 | 20.02 c ± 0.14 |
| PP 10 | 8.86 d ± 0.03 | 1.79 d ± 0.03 | 17.87 e ± 0.12 | 0.99 g ± 0.01 | 9.63 e ± 0.46 | 4.31 gh ± 0.11 | 5.32 def ± 0.05 | 69.72 b ± 0.04 | 378.53 b ± 0.39 | 71.48 d ± 0.47 | 18.88 e ± 0.11 |
| PP 20 | 9.51 b ± 0.07 | 2.56 b ± 0.03 | 18.55 d ± 0.06 | 1.16 ef ± 0.04 | 12.25 d ± 0.25 | 5.08 fg ± 0.51 | 7.17 b ± 0.05 | 65.48 c ± 0.39 | 371.06 c ± 1.24 | 74.20 c ± 0.25 | 20.00 c ± 0.07 |
| PP 30 | 10.74 a ± 0.07 | 3.33 a ± 0.01 | 19.24 cd ± 0.05 | 1.29 e ± 0.04 | 14.57 c ± 0.16 | 5.80 f ± 0.21 | 8.77 a ± 0.03 | 61.57 d ± 0.15 | 363.99 d ± 0.65 | 76.96 b ± 0.19 | 21.14 b ± 0.01 |
| TW 10 | 9.14 c ± 0.07 | 1.56 e ± 0.01 | 18.96 c ± 0.09 | 1.38 fg ± 0.05 | 13.54 cd ± 0.28 | 8.24 e ± 0.34 | 5.29 ef ± 0.05 | 64.56 c ± 0.26 | 373.58 b ± 0.54 | 75.84 c ± 0.34 | 20.30 c ± 0.06 |
| TW 20 | 8.73 d ± 0.08 | 1.77 d ± 0.03 | 19.25 b ± 0.09 | 2.95 c ± 0.05 | 18.56 b ± 0.01 | 12.87 d ± 0.16 | 5.70 de ± 0.17 | 57.47 d ± 0.01 | 370.55 c ± 0.14 | 77.00 b ± 0.34 | 20.78 b ± 0.14 |
| TW 30 | 8.41 e ± 0.05 | 1.88 d ± 0.01 | 20.61 a ± 0.08 | 4.54 a ± 0.05 | 25.44 a ± 0.22 | 19.04 b ± 0.14 | 6.40 c ± 0.08 | 47.43 e ± 0.27 | 363.90 d ± 0.53 | 82.44 a ± 0.31 | 22.65 a ± 0.11 |
| Amino Acid Scoring Pattern for Adults * | |||||||
|---|---|---|---|---|---|---|---|
| Amino Acid | Ala | Asp | Glu | Gly | Pro | Ser | Arg |
| Raw materials | |||||||
| Semolina durum | 31.55 c ± 0.41 | 49.04 d ± 0.49 | 301.27 a ± 0.09 | 28.54 c ± 0.44 | 115.29 a ± 0.83 | 45.97 a ± 0.06 | 36.97 c ± 0.15 |
| Defatted pepper seeds | 43.69 a ± 0.04 | 100.13 c ± 0.18 | 195.94 d ± 0.37 | 48.35 a ± 0.42 | 48.06 b ± 0.01 | 42.52 b ± 0.08 | 83.90 a ± 0.50 |
| Pepper placenta | 14.50 d ± 0.26 | 215.48 a ± 0.19 | 219.83 b ± 0.75 | 12.61 d ± 0.28 | 12.32 d ± 0.33 | 32.60 d ± 0.25 | 21.61 d ± 0.05 |
| Tomato waste | 35.14 b ± 0.04 | 114.88 b ± 1.04 | 202.35 c ± 0.29 | 44.16 b ± 0.03 | 45.73 c ± 0.03 | 41.04 c ± 0.03 | 62.75 b ± 0.35 |
| Pasta samples | |||||||
| CON | 31.68 bc ± 0.42 | 49.16 g ± 0.48 | 301.39 a ± 0.09 | 28.66 ef ± 0.43 | 115.41 a ± 0.84 | 46.10 a ± 0.07 | 37.09 f ± 0.15 |
| DPS 10 | 31.64 bc ± 0.55 | 47.15 g ± 0.20 | 267.15 ed ± 3.80 | 27.34 gh ± 0.12 | 103.78 b ± 3.52 | 42.87 c ± 0.24 | 39.09 ed ± 0.10 |
| DPS 20 | 33.05 ab ± 0.04 | 56.96 f ± 0.31 | 250.51 f ± 3.47 | 32.85 b ± 0.23 | 90.40 d ± 0.31 | 42.10 d ± 0.19 | 43.45 b ± 0.34 |
| DPS 30 | 33.98 a ± 0.04 | 63.45 d ± 0.11 | 235.01 g ± 0.15 | 34.08 a ± 0.07 | 81.25 e ± 0.44 | 40.88 e ± 0.37 | 49.06 a ± 0.11 |
| PP 10 | 30.24 cde ± 0.08 | 77.78 c ± 1.02 | 282.86 b ± 1.05 | 27.95 fg ± 0.53 | 97.57 c ± 0.49 | 43.80 b ± 0.08 | 31.04 g ± 0.02 |
| PP 20 | 28.40 f ± 0.19 | 101.05 b ± 0.45 | 274.79 c ± 0.33 | 26.42 h ± 0.15 | 78.11 e ± 0.07 | 40.40 e ± 0.22 | 30.92 g ± 0.10 |
| PP 30 | 28.76 ef ± 0.41 | 133.26 a ± 0.55 | 260.94 e ± 0.59 | 25.07 i ± 0.41 | 61.64 f ± 0.62 | 38.12 f ± 0.21 | 30.38 g ± 0.24 |
| TW 10 | 29.75 def ± 0.16 | 57.27 f ± 0.16 | 277.28 bc ± 2.32 | 29.35 de ± 0.08 | 101.52 bc ± 1.83 | 38.68 f ± 0.08 | 38.41 e ± 0.22 |
| TW 20 | 30.75 cd ± 1.17 | 60.32 e ± 0.84 | 270.42 cd ± 0.72 | 30.34 d ± 0.20 | 90.10 d ± 1.21 | 38.08 f ± 0.16 | 39.62 d ± 0.52 |
| TW 30 | 29.86 cdef ± 0.26 | 61.42 de ± 0.68 | 246.4 f ± 0.42 | 31.60 c ± 0.26 | 81.78 e ± 0.72 | 37.25 g ± 0.08 | 41.10 c ± 0.11 |
| Amino Acid | His | Ile | Leu | Lys | Thr | Trp | Val | AAA (Phe + Tyr) | SAA (Met + Cys) | Limiting Amino Acid | Amino Acid Score Using the Pattern for Adults |
|---|---|---|---|---|---|---|---|---|---|---|---|
| Amino Acid Scoring Pattern for Adults * | 15 | 30 | 59 | 45 | 23 | 6 | 39 | 38 | 22 | ||
| Raw materials | |||||||||||
| Semolina durum | 19.28 c ± 0.39 | 35.63 a ± 0.97 | 56.82 ab ± 0.44 | 21.78 c ± 0.69 | 21.26 c ± 0.06 | 17.46 a ± 0.21 | 44.88 a ± 0.50 | 60.79 c± 0.91 | 31.67 c ± 0.64 | Lys, Thr | 48 |
| Defatted pepper seeds | 27.23 a ± 0.01 | 32.41 b ± 0.22 | 60.35 a ± 0.25 | 47.42 a ± 0.34 | 21.66 c ± 0.01 | 14.34 b ± 0.08 | 39.48 c ± 0.31 | 74.80 a ± 0.30 | 123.25 a ± 5.51 | - | |
| Pepper placenta | 13.50 d ± 0.12 | 29.50 c ± 0.19 | 53.29 ab ± 4.14 | 41.89 b ± 0.93 | 34.21 b ± 0.18 | 6.90 c ± 0.17 | 39.67 c ± 0.07 | 38.44 d ± 0.30 | 82.61 b ± 0.07 | His, | 90 |
| Tomato waste | 21.89 b ± 0.09 | 28.59 c ± 0.04 | 50.37 b ± 0.11 | 47.90 a ± 0.45 | 41.95 a ± 0.53 | 3.68 d ± 0.05 | 42.76 b ± 0.31 | 64.42 b ± 0.32 | 83.09 b ± 2.93 | Trp, | 61 |
| Pasta samples | |||||||||||
| CON | 19.41 ef ± 0.39 | 35.75 a ± 0.97 | 56.95 b ± 0.43 | 21.90 e ± 0.68 | 21.63 f ± 0.20 | 17.58 a ± 0.22 | 41.4 bcd ± 0.06 | 60.91 c ± 0.91 | 32.59 g ± 0.44 | Lys | 48 |
| DPS 10 | 20.70 c ± 0.11 | 33.77 b ± 0.26 | 57.64 ab ± 0.54 | 22.67 e ± 0.44 | 21.78 f ± 0.64 | 16.12 bc ± 0.29 | 43.44 ab ± 0.30 | 60.84 c ± 0.74 | 44.73 de ± 0.71 | Lys | 50 |
| DPS 20 | 22.31 b ± 0.08 | 32.08 cde ± 0.02 | 58.51 ab ± 0.06 | 29.49 b ± 0.05 | 21.29 f ± 0.10 | 15.85 bcd ± 0.05 | 42.26 abc ± 0.15 | 63.86 b ± 0.53 | 53.51 bc ± 1.63 | Lys | 65 |
| DPS 30 | 23.35 a ± 0.14 | 30.79 e ± 0.33 | 59.07 a ± 0.07 | 33.97 a ± 0.48 | 21.07 f ± 0.06 | 15.57 cd ± 0.01 | 42.05 abc ± 0.09 | 66.10 a ± 0.18 | 67.69 a ± 0.64 | Lys | 75 |
| PP 10 | 19.06 fg ± 0.33 | 33.44 bc ± 0.27 | 54.52 c ± 0.08 | 22.00 e ± 0.05 | 25.42 de ± 0.04 | 16.67 b ± 0.21 | 39.82 cde ± 0.24 | 61.73 c ± 0.45 | 40.17 f ± 0.08 | Lys | 48 |
| PP 20 | 18.30 gh ± 0.37 | 32.08 cde ± 0.10 | 53.44 cd ± 0.32 | 23.76 de ± 0.13 | 26.17 cd ± 0.24 | 15.24 de ± 0.10 | 38.08 e ± 2.04 | 56.25 d ± 0.41 | 50.75 c ± 0.69 | Lys | 53 |
| PP 30 | 17.85 h ± 0.07 | 31.38 ed ± 0.40 | 51.68 e ± 0.93 | 24.67 cd ± 0.16 | 27.00 c ± 0.03 | 14.22 fg ± 0.05 | 39.16 de ± 0.07 | 54.85 d ± 0.07 | 56.84 b ± 1.97 | Lys | 55 |
| TW 10 | 19.72 def ± 0.08 | 33.26 bc ± 0.41 | 54.22 cd ± 0.16 | 25.94 c ± 1.02 | 24.68 e ± 0.16 | 14.41 ef ± 0.25 | 44.25 a ± 0.02 | 60.17 c ± 0.53 | 40.65 ef ± 0.02 | Lys | 58 |
| TW 20 | 20.06 cd ± 0.09 | 32.51 bcd ± 0.20 | 54.55 c ± 0.24 | 29.81 b ± 0.64 | 28.56 b ± 0.50 | 13.45 gh ± 0.28 | 43.52 ab ± 0.70 | 63.77 b ± 0.31 | 45.76 d ± 2.08 | Lys | 66 |
| TW 30 | 20.34 cd ± 0.01 | 30.55 e ± 0.26 | 52.83 de ± 0.38 | 34.84 a ± 0.40 | 29.82 a ± 0.07 | 12.76 h ± 0.36 | 43.13 ab ± 0.17 | 64.17 ab ± 0.06 | 50.50 c ± 0.54 | Lys | 77 |
| CON | DPS10 | DPS20 | DPS30 |
|---|---|---|---|
![]() | ![]() | ![]() | ![]() |
| PP10 | PP20 | PP30 | |
![]() | ![]() | ![]() | |
| TW10 | TW20 | TW30 | |
![]() | ![]() | ![]() |
Disclaimer/Publisher’s Note: The statements, opinions and data contained in all publications are solely those of the individual author(s) and contributor(s) and not of MDPI and/or the editor(s). MDPI and/or the editor(s) disclaim responsibility for any injury to people or property resulting from any ideas, methods, instructions or products referred to in the content. |
© 2023 by the authors. Licensee MDPI, Basel, Switzerland. This article is an open access article distributed under the terms and conditions of the Creative Commons Attribution (CC BY) license (https://creativecommons.org/licenses/by/4.0/).
Share and Cite
Teterycz, D.; Sobota, A. Use of High-Protein and High-Dietary-Fibre Vegetable Processing Waste from Bell Pepper and Tomato for Pasta Fortification. Foods 2023, 12, 2567. https://doi.org/10.3390/foods12132567
Teterycz D, Sobota A. Use of High-Protein and High-Dietary-Fibre Vegetable Processing Waste from Bell Pepper and Tomato for Pasta Fortification. Foods. 2023; 12(13):2567. https://doi.org/10.3390/foods12132567
Chicago/Turabian StyleTeterycz, Dorota, and Aldona Sobota. 2023. "Use of High-Protein and High-Dietary-Fibre Vegetable Processing Waste from Bell Pepper and Tomato for Pasta Fortification" Foods 12, no. 13: 2567. https://doi.org/10.3390/foods12132567
APA StyleTeterycz, D., & Sobota, A. (2023). Use of High-Protein and High-Dietary-Fibre Vegetable Processing Waste from Bell Pepper and Tomato for Pasta Fortification. Foods, 12(13), 2567. https://doi.org/10.3390/foods12132567











