Effects of Hard Water Boiling on Chalky Rice in Terms of Texture Improvement and Ca Fortification
Abstract
1. Introduction
2. Materials and Methods
2.1. Materials
2.2. Measurement of the Moisture Content of Rice Flour
2.3. Preparation of Two Kinds of Unpolished Rice Flours
2.4. Soaking of Polished or Unpolished Rice Flours in 2 Types of Hard Water
2.5. α-Amylase Activity
2.6. β-Amylase Activity
2.7. Protease Activity
2.8. Xylanase Activity
2.9. Cellulase Activity
2.10. Polishing and Boiling of Rice Samples
2.11. Measurements of Textural Properties of Boiled Rice Grains
2.12. Measurement of d-Glucose, Maltose, and Saccharose Contents
2.13. Measurement of Color Difference of Boiled Rice after Soaking in 2 Types of Hard Water
2.14. Analysis of Calcium and Magnesium Contents
2.15. Statistical Analyses
3. Results and Discussion
3.1. Activities of Various Hydrolytic Enzymes in Whole or Chalky Unpolished Rice Grains
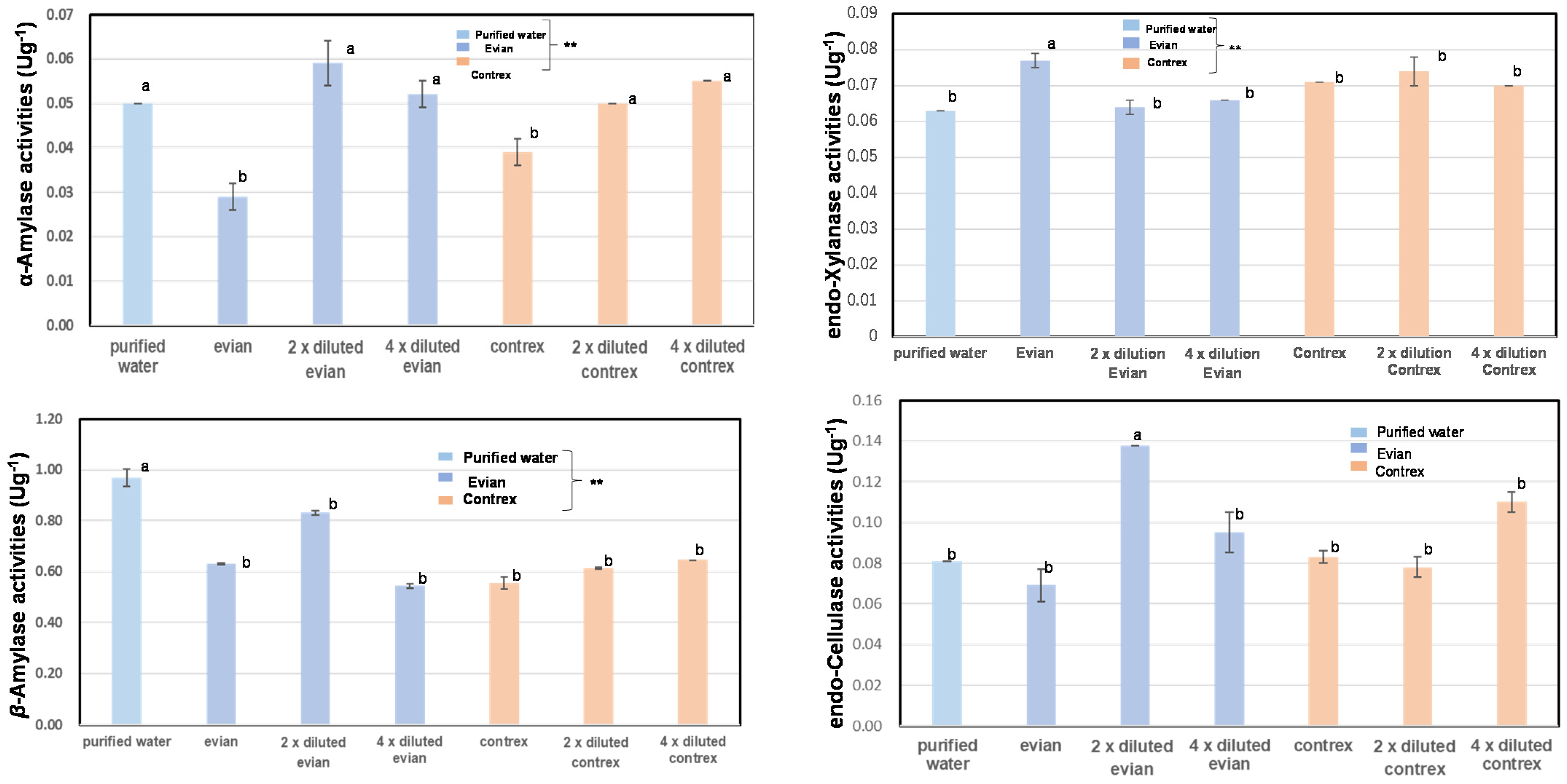
3.2. Activities of Various Hydrolytic Enzymes of Rice Grains Soaking in Hard Water
3.3. Textural Properties of Boiled Rice Grains
3.4. d-Glucose, Maltose, and Saccharose Contents in Boiled Rice Grains
3.5. Calcium and Magnesium Contents in Whole and Chalky Polished or Unpolished Rice, and Those in Boiled Rice, after Soaking
4. Conclusions
Supplementary Materials
Author Contributions
Funding
Data Availability Statement
Conflicts of Interest
Abbreviations
References
- Childs, N.W. Chapter 1: Production and utilization of rice. In RICE: Chemistry and Technology; Scientific Societies: St. Paul, MN, USA, 2004; pp. 1–23. [Google Scholar]
- Morita, S.; Shiratsuch, I.H.; Takahashi, J.; Fujita, K. Effect of temperature on grain ripening in rice plants. Jpn. Crop Sci. 2004, 73, 77–83. [Google Scholar] [CrossRef]
- Liao, J.-L.; Zhou, H.-W.; Zhang, H.-Y.; Zhong, P.-A.; Huang, Y.-J. Comparative proteomic analysis of differentially expressed proteins in the early milky stage of rice grains during high temperature stress. J. Exp. Bot. 2014, 65, 655–671. [Google Scholar] [CrossRef]
- Mitsui, T.; Shiraya, S.; Kaneko, K.; Wada, K. Proteomics of rice grain under high temperature stress. Front. Plant Sci. 2013, 4, 36. [Google Scholar] [CrossRef]
- Asaoka, M.; Okuno, K.; Sugimoto, Y.; Kawakami, J.; Fuwa, H. Effect of environmental temperature during development of rice plants on some properties of endosperm starch. Starch-Stärke 1984, 31, 189–193. [Google Scholar] [CrossRef]
- Nakata, M.; Fukamatsu, Y.; Miyashita, T.; Hakata, M.; Kimura, R.; Nakata, Y.; Kuroda, M.; Yamaguchi, T.; Yamakawa, H. High temperature-induced expression of rice α-amylase in developing endosperm produces chalky grains. Front. Plant Sci. 2017, 8, 2089. [Google Scholar] [CrossRef] [PubMed]
- Nevam, A.Y.M.; Emon, R.M.; Malek, M.A.; Hasan, M.M.; Alam, M.A.; Muharam, M.; Aslani, F.; Rafii, M.Y.; Ismail, M.R. Relationship between high temperature and formation of chalkiness and their effects on quality of rice. Biomed. Res. Int. 2018, 2018, 1653721. [Google Scholar] [CrossRef] [PubMed]
- Igarashi, T.; Yanagihara, T.; Kanda, H.; Kawamoto, K.; Masaki, K. Development of new eating quality evaluation method based on iodine adsorption multispectral analysis of rice flour. J. Crop Sci. 2009, 78, 66–73. [Google Scholar] [CrossRef]
- Nakamura, S.; Hasegawa, M.; Kobayashi, Y.; Komata, C.; Katsura, J.; Maruyama, Y.; Ohtsubo, K. Palatability and bio-functionality of chalky grains generated by high-temperature ripening and development of formulae for estimating the degree of damage using a rapid visco analyzer of Japonica unpolished rice. Foods 2022, 11, 3422. [Google Scholar] [CrossRef]
- Simopoulos, A.P. The important of the ratio of omega-6/omega-3 essential fatty acids. Biomed. Pharmacother. 2002, 56, 365–379. [Google Scholar] [CrossRef] [PubMed]
- Nakamura, S.; Katsura, J.; Maruyama, Y.; Ohtsubo, K. Relationship between fatty acid composition and starch properties of 30 Japonica rice cultivars. Cereal Chem. 2019, 96, 228–242. [Google Scholar] [CrossRef]
- Nakamura, S.; Satoh, A.; Aizawa, M.; Ohtsubo, K. Characteristics of physicochemical properties of chalky grains of Japonica rice generated by high temperature during ripening. Foods 2022, 11, 97. [Google Scholar] [CrossRef] [PubMed]
- Tsujii, Y.; Kiyose, N.; Tatsuda, N.; Yaguchi, Y.; Uchino, M.; Takano, K. Change in the endospermous cell wall of cooked rice and its effects on the palatability of cooked rice. Food Preserv. Sci. 2009, 35, 127–134. [Google Scholar] [CrossRef]
- Shibuya, N.; Iwasaki, T. Polysaccharides and glycoproteins in the rice endosperm cell wall. Agric. Biol. Chem. 1978, 42, 2259–2266. [Google Scholar]
- Shibuya, N.; Iwasaki, T. Effect of cell wall degrading enzymes on the cooking properties of milled rice and the texture of cooked rice. Nippon. Shokuhin Kogakukaishi 1984, 31, 656–660. [Google Scholar] [CrossRef] [PubMed]
- Tsujii, Y.; Uwaya, M.; Uchino, M.; Takano, K. Effect of pectin contents and polygalacturonase activity on cooked rice texture. Food Preserv. Sci. 2010, 36, 177–182. [Google Scholar] [CrossRef]
- Nakamura, S.; Machida, K.; Ohtsubo, K. Search for cell-wall-degrading enzymes of world-wide rice grains by PCR and their effects on the palatability of rice. Biosci. Biotechnol. Biochem. 2012, 76, 1645–1654. [Google Scholar] [CrossRef] [PubMed]
- Kasai, M.; Ishiguro, K.; Kyoda, H.; Hamazono, T.; Hatae, K.; Shimada, A. Change in the amounts of reducing sugars and free amino acids in rice during the cooking processes. JSHE 2000, 51, 579–585. [Google Scholar]
- Matsuzaki, A.; Takano, T.; Sakamoto, S.; Kuboyama, T. Relation between eating quality and chemical components in milled rice and amino acid contents in cooked rice. J. Crop Sci. 1992, 61, 561–567. [Google Scholar] [CrossRef]
- Okuda, M. Rice used for Japanese sake making. Biosci. Biotechnol. Biochem. 2019, 83, 1428–1441. [Google Scholar] [CrossRef]
- Koseki, T.; Okuda, M.; Yonehara, Y.; Hachida, K.; Iwata, H. Effects of high temperature during grain-filling on characteristics of rice for brewing. J. Brew. Soc. Jpn. 2004, 99, 591–596. [Google Scholar] [CrossRef]
- Yamakawa, H.; Hakata, M. Atlas of rice grain filling-related metabolism under high temperature joint analysis of metabolome and transcriptome demonstrated inhibition of starch accumulation and induction of amino acid accumulation. Plant Cell Physiol. 2010, 51, 796–809. [Google Scholar] [CrossRef]
- Yamakawa, H.; Hirai-Kimura, R.; Nakata, Y.; Nakata, M.; Kuroda, M.; Yamaguchi, T. An activity-staining method on filtration paper enables high-throughput screening of temperature-sensitive and inactive mutations of rice α-amylase for improvement of rice grain quality. Plant Cell Physiol. 2017, 58, 658–667. [Google Scholar] [CrossRef]
- Mitsui, T.; Yamakawa, H.; Kobata, T. Molecular physiological aspects of chalking mechanism in rice grains under high-temperature stress. Plant Prod. Sci. 2016, 19, 22–29. [Google Scholar] [CrossRef]
- Tashiro, M.; Kurata, A.; Maki, Z. Occurrence of Cysteine Proteinase Inhibitors in Cereals. Sci. Rep. Kyoto Prefect. Univ. Nat. Sci. Living Sci. 1990, 41, 15–21. [Google Scholar]
- Kitadume, R.; Nakamura, S.; Kumagai, T.; Takahashi, H.; Ohtsuno, K. Characteristics of chalky rice grains and their influence on rice cracker processing. Nippon. Shokuhin Kogakukaishi 2012, 59, 621–627. [Google Scholar] [CrossRef]
- Nakamura, S.; Ikeuch, T.; Araki, A.; Kasuga, K.; Watanabe, K.; Hirayama, M.; Ito, M.; Ohtsubo, K. Possibility for prevention of type 2 diabetes mellitus and dementia using three kinds of brown rice blends after high-pressure treatment. Foods 2022, 11, 818. [Google Scholar] [CrossRef] [PubMed]
- Hu, J.F.; Zhao, X.H.; Jia, J.B.; Parpia, B.; Campbell, T.C. Dietary calcium and bone density among middle-aged and elderly women in China. Am. J. Clin. Nutr. 1993, 58, 219–227. [Google Scholar] [CrossRef]
- Okadome, H.; Toyoshima, H.; Sudo, M.; Ando, I.; Numaguchi, K.; Ohtsubo, K. Palatability evaluation for Japonica rice grains based on multiple physical measurements of individual cooked rice grain. J. Jpn. Soc. Food Sci. Technol. 1998, 45, 398–407. (In Japanese) [Google Scholar] [CrossRef]
- Odahara, M.; Sokooshi, H.; Takahashi, T.; Okadome, H.; Ohtsubo, K. The effect of sushi vinegar on texture of sushi rice before and after storage under low temperature. Nippon. Shokuhin Kagaku Kogaku Kaishi 2004, 51, 620–625. [Google Scholar] [CrossRef]
- Shibuya, N.; Nakane, R.; Yasui, A.; Tanaka, K.; Iwasaki, T. Comparative studies on cell wall preparations from rice bran, germ, and endosperm. Cereal Chem. 1985, 62, 252–258. [Google Scholar]
- Ohtsubo, K.; Nakamura, S. Evaluation of palatability of cooked rice. In Adovances in International Rice Research; Li, J., Ed.; INTECH: Zagred, Croatia, 2017; pp. 91–110. [Google Scholar]
- Iwata, H.; Iwase, S.; Takahama, K.; Matuura, H.; Itani, T.; Aramaki, I. Relation between α-glucosidase activity and physical and chemical properties of rice. Nippon. Shokuhin Kagaku Kogaku Kaishi 2001, 48, 482–490. [Google Scholar] [CrossRef]
- Nakamura, S.; Yamaguchi, H.; Benitani, Y.; Ohtsubo, K. Development of a novel formula for estimating the amylose content of starch using Japonica milled rice flours based on the iodine absorption curve. Biosci. Biotechnol. Biochem. 2020, 84, 2347–2359. [Google Scholar] [CrossRef]
- Wenqian, S.; Qiaoling, Z.; Yue, Y.; Xianjin, Q.; Kun, X.; Sibin, Y. Identification of genomic regions and the isoamylase gene for reduced grain chalkiness in rice. PLoS ONE 2015, 10, e0122013. [Google Scholar]
- Ikeda, A.; Ueguchi-Tanaka, M.; Sonoda, H.; Kitano, M.; Koshioka, Y.; Futsuhara, M.; Matsuoka, M.; Yamaguchi, I. Slender rice, a constitutive gibberellin response mutant, is caused by a null mutation of the SLR1, an ortholog of the height-regulating gene GAI/RGA/D8. Plant Cell 2001, 13, 999–1010. [Google Scholar] [CrossRef] [PubMed]
- Ueguchi-Tanaka, M.; Ashikari, M.; Nakajima, M.; Itoh, H.; Katoh, E.; Kobayashi, M.; Chow, T.Y.; Hsing, Y.C.; Kitano, H.; Yamaguchi, I.; et al. GIBBERELLIN INSENSITIVE DWARF1 encodes a soluble receptor for gibberellin. Nature 2005, 437, 693–698. [Google Scholar] [CrossRef] [PubMed]
- Fincher, G.B.; Stone, B.A. Some chemical and morphological changes induced by gibberellic acid in embryo-free wheat grain. Aust. J. Plant Physiol. 1974, 1, 297. [Google Scholar]
- Glennie, C.W. Endosperm cell wall modification in sorghum grain during germination. Cereal Chem. 1984, 61, 285. [Google Scholar]
- Gram, N.H.; Juliano, B.O. Studies on alkali-soluble rice bran hemicelluloses. Carbohydr. Res. 1970, 12, 273. [Google Scholar]
- Ogawa, N.; Inagaki, A.; Yamanaka, N.; Shimomura, M. Effect of calcium and sodium in rice cooking water on the properties of cooked rice (Part 1). Jpn. Soc. Home Econ. 2006, 57, 669–675. [Google Scholar]
- Awazuhara, M.; Nakagawa, A.; Yamaguch, J.; Fujiwara, T.; Hayashi, H.; Hatae, K.; Chino, M.; Shimada, A. Distribution and characterization of enzymes responsible for starch degradation in rice. (Oryza sativa Cv. Koshihikari). J. Agric. Food Chem. 2000, 48, 245–252. [Google Scholar] [CrossRef]
- Onishi, M.; Shoji, I.; Ogawa, N.; Katoh, Y.; Nagaoka, S.; Shimomura, M. Histological study of rice grains cooked in water containing calcium ions. Jpn. Soc. Home Econ. 2002, 53, 1087–1096. [Google Scholar]
- Champagne, E.T.; Wood, D.F.; Juliano, B.O.; Bechtel, D.B. The rice grain and its gross composition. In Rice-Chemistry and Technology, 3rd ed.; Champagne, E.T., Ed.; American Association Cereal Chemistry Int.: St. Paul, MN, USA, 2004; pp. 77–107. [Google Scholar]
- Fujita, T. Calcium paradox: Consequences of calcium deficiency manifested by a wide variety of diseases. J. Bone Miner. Metab. 2000, 18, 234–236. [Google Scholar] [CrossRef] [PubMed]
- Kanis, J.A.; Johanansson, H.; Oden, A.; Laet, C.D.; Johnell, O.; Eisman, J.A.; Closkey, E.M.; Mellstrom, D.; Pols, H.; Reeve, J.; et al. A meta-analysis of milk intake and fracture risk: Low utility for case finding. Osteoporos. Int. 2005, 16, 799–804. [Google Scholar] [CrossRef] [PubMed]



| Hardness | Toughness | Adhesion | Stickiness | Cohesiveness | |
|---|---|---|---|---|---|
| ×105 (N/cm2) | ×105 (N/cm2) | ×105 (N/cm2) | ×105 (N/cm2) | (A6/A5) | |
| Kumasannokagayaki (purified water) | 0.86 ± 0.05 b | 17.12 ± 0.53 a | 12.41 ± 0.49 b | 12.24 ± 1.33 b | 0.38 ± 0.01 a |
| Kumasannokagayaki (Evian) | 1.15 ± 0.17 a | 17.96 ± 0.46 a | 12.67 ± 2.35 b | 17.79 ± 5.89 b | 0.38 ± 0.02 a |
| Kumasannokagayaki (Contrex) | 1.38 ± 0.05 a | 18.33 ± 0.87 a | 14.40 ± 1.16 a | 26.70 ± 079 a | 0.38 ± 0.00 a |
| Tsukiakari (purified water) | 1.63 ± 0.03 a | 18.03 ± 0.71 a | 12.44 ± 2.02 b | 17.94 ± 1.78 a | 0.38 ± 0.02 a |
| Tsukiakari (Evian) | 1.23 ± 0.18 b | 19.96 ± 0.80 a | 12.64 ± 1.20 b | 19.13 ± 4.21 a | 0.41 ± 0.01 a |
| Tsukiakari (Contrex) | 1.56 ± 0.37 a | 19.22 ± 2.47 a | 13.48 ± 0.00 a | 17.55 ± 1.00 a | 0.40 ± 0.00 a |
| Koshihikari A (purified water) | 1.14 ± 0.19 b | 16.16 ± 0.41 a | 14.51 ± 0.29 a | 25.66 ± 1.34 a | 0.38 ± 0.00 a |
| Koshihikari A (Evian) | 1.67 ± 0.19 a | 17.22 ± 2.56 a | 12.33 ± 1.12 a | 19.74 ± 4.50 b | 0.41 ± 0.04 a |
| Koshihikari A (Contrex) | 1.29 ± 0.09 b | 16.89 ± 1.06 a | 14.16 ± 1.05 a | 25.95 ± 4.67 a | 0.41 ± 0.05 a |
| Sasashigure A (purified water) | 1.36 ± 0.13 b | 13.32 ± 0.74 b | 12.83 ± 1.49 b | 22.05 ± 5.50 b | 0.41 ± 0.05 a |
| Sasashigure A (Evian) | 1.28 ± 0.46 b | 19.35 ± 1.47 a | 13.52 ± 2.37 b | 24.23 ± 1.52 b | 0.42 ± 0.02 a |
| Sasashigure A (Contrex) | 1.70 ± 0.11 a | 19.72 ± 1.63 a | 15.30 ± 1.66 a | 31.40 ± 3.19 a | 0.42 ± 0.01 a |
| Hitomebore (purified water) | 1.59 ± 0.25 a | 19.92 ± 2.29 a | 15.02 ± 0.28 a | 22.91 ± 0.63 a | 0.37 ± 0.03 a |
| Hitomebore (Evian) | 1.23 ± 0.07 b | 17.55 ± 1.25 b | 12.78 ± 0.19 b | 14.80 ± 0.68 b | 0.38 ± 0.00 a |
| Hitomebore (Contrex) | 1.54 ± 0.06 a | 17.88 ± 1.79 b | 13.35 ± 0.45 b | 24.13 ± 6.77 a | 0.41 ± 0.02 a |
| Yosakoibijin (purified water) | 1.28 ± 0.10 a | 22.07 ± 2.55 a | 10.65 ± 0.14 a | 16.04 ± 5.47 a | 0.39 ± 0.05 a |
| Yosakoibijin (Evian) | 1.40 ± 0.42 a | 20.11 ± 3.03 a | 13.87 ± 1.56 a | 21.20 ± 0.16 a | 0.42 ± 0.04 a |
| Yosakoibijin (Contrex) | 1.27 ± 0.46 a | 18.17 ± 2.55 b | 11.21 ± 0.84 a | 18.97 ± 4.47 a | 0.40 ± 0.04 a |
| Koshihikari B (purified water) | 1.66 ± 0.27 a | 21.43 ± 0.29 a | 12.80 ± 1.10 b | 30.99 ± 0.74 a | 0.39 ± 0.05 a |
| Koshihikari B (Evian) | 1.38 ± 0.11 a | 18.65 ± 0.47 b | 12.33 ± 1.96 b | 23.93 ± 0.15 b | 0.42 ± 0.04 a |
| Koshihikari B (Contrex) | 1.42 ± 0.22 a | 18.69 ± 1.04 b | 15.18 ± 0.96 a | 22.87 ± 6.17 b | 0.40 ± 0.04 a |
| Sasashigure B (purified water) | 1.46 ± 0.40 b | 19.56 ± 1.07 b | 11.09 ± 0.26 a | 17.89 ± 0.84 a | 0.39 ± 0.03 a |
| Sasashigure B (Evian) | 1.45 ± 0.21 b | 22.26 ± 0.92 a | 11.01 ±0.07 a | 17.66 ± 0.24 a | 0.40 ± 0.04 a |
| Sasashigure B (Contrex) | 1.88 ± 0.01 a | 22.76 ± 0.82 a | 11.61 ± 0.31 a | 16.70 ± 4.54 a | 0.41 ± 0.01 a |
| Morinokumasan (purified water) | 0.92 ± 0.00 a | 17.84 ± 0.11 b | 14.68 ± 0.33 a | 28.51 ± 3.76 a | 0.40 ± 0.00 a |
| Morinokumasan (Evian) | 1.16 ± 0.34 a | 18.49 ± 2.41 a | 12.86 ± 0.52 a | 21.81 ± 2.96 b | 0.40 ± 0.02 a |
| Morinokumasan (Contrex) | 1.08 ± 0.16 a | 17.80 ± 1.67 b | 14.38 ± 0.83 a | 25.61 ± 1.72 b | 0.41 ± 0.00 a |
| Yumeshizuku (purified water) | 1.35 ± 0.25 b | 18.90 ± 1.40 a | 15.12 ± 1.85 a | 18.48 ± 5.02 b | 0.37 ± 0.05 b |
| Yumeshizuku (Evian) | 1.47 ± 0.21 b | 17.68 ± 1.14 a | 12.20 ± 1.87 b | 31.78 ± 2.58 a | 0.42 ± 0.01 a |
| Yumeshizuku (Contrex) | 1.23 ± 0.01 a | 18.69 ± 1.85 a | 15.14 ± 0.83 a | 31.86 ± 0.85 a | 0.42 ± 0.04 a |
| d-Glucose Content | Maltose Content | Saccharose Content | |
|---|---|---|---|
| (g/100 g) | (g/100 g) | (g/100 g) | |
| Kumasannokagayaki (purified water) | 0.065 ± 0.004 a | 0.095 ± 0.002 a | 0.313 ± 0.008 a |
| Kumasannokagayaki (evian) | 0.058 ± 0.001 b | 0.091 ± 0.001 a | 0.299 ± 0.001 a |
| Kumasannokagayaki (contrex) | 0.055 ± 0.002 b | 0.087 ± 0.002 a | 0.299 ± 0.000 a |
| Tsukiakari (purified water) | 0.078 ± 0.002 a | 0.134 ± 0.001 a | 0.302 ± 0.002 a |
| Tsukiakari (evian) | 0.057 ± 0.002 b | 0.090 ± 0.000 b | 0.260 ± 0.006 b |
| Tsukiakari (contrex) | 0.055 ± 0.002 b | 0.088 ± 0.007 b | 0.254 ± 0.007 b |
| Koshihikari A (purified water) | 0.074 ± 0.001 a | 0.100 ± 0.000 a | 0.345 ± 0.000 a |
| Koshihikari A (evian) | 0.058 ± 0.002 b | 0.089 ± 0.000 b | 0.311 ± 0.006 b |
| Koshihikari A (contrex) | 0.057 ± 0.001 b | 0.089 ± 0.001 b | 0.306 ± 0.008 b |
| Sasashigure A (purified water) | 0.077 ± 0.002 a | 0.097 ± 0.000 a | 0.331 ± 0.009 a |
| Sasashigure A (evian) | 0.063 ± 0.002 b | 0.087 ± 0.001 b | 0.313 ± 0.006 a |
| Sasashigure A (contrex) | 0.066 ± 0.002 b | 0.091 ± 0.002 a | 0.322 ± 0.009 a |
| Hitomebore (purified water) | 0.062 ± 0.001 a | 0.088 ± 0.001 a | 0.281 ± 0.008 a |
| Hitomebore (evian) | 0.050 ± 0.001 b | 0.073 ± 0.003 b | 0.259 ± 0.007 a |
| Hitomebore (contrex) | 0.046 ± 0.001 b | 0.072 ± 0.002 b | 0.252 ± 0.006 a |
| Yosakoibijin (purified water) | 0.060 ± 0.001 a | 0.115 ± 0.003 a | 0.514 ± 0.007 a |
| Yosakoibijin (evian) | 0.051 ± 0.001 b | 0.107 ± 0.001 a | 0.492 ± 0.002 a |
| Yosakoibijin (contrex) | 0.055 ± 0.001 b | 0.112 ± 0.001 a | 0.500 ± 0.005 a |
| Koshihikari B (purified water) | 0.070 ± 0.001 a | 0.092 ± 0.001 a | 0.295 ± 0.001 a |
| Koshihikari B (evian) | 0.061 ± 0.001 b | 0.083 ± 0.001 b | 0.280 ± 0.003 a |
| Koshihikari B (contrex) | 0.063 ± 0.001 b | 0.082 ± 0.001 b | 0.277 ± 0.001 a |
| Sasashigure B (purified water) | 0.062 ± 0.000 a | 0.085 ± 0.000 a | 0.295 ± 0.000 a |
| Sasashigure B (evian) | 0.051 ± 0.000 b | 0.073 ± 0.003 b | 0.270 ± 0.001 a |
| Sasashigure B (contrex) | 0.054 ± 0.002 b | 0.073 ± 0.001 b | 0.277 ± 0.001 a |
| Morinokumasan (purified water) | 0.075 ± 0.000 a | 0.113 ± 0.003 a | 0.411 ± 0.001 a |
| Morinokumasan (evian) | 0.063 ± 0.001 b | 0.099 ± 0.003 a | 0.378 ± 0.003 a |
| Morinokumasan (contrex) | 0.066 ± 0.000 b | 0.104 ± 0.001 a | 0.385 ± 0.001 a |
| Yumeshizuku (purified water) | 0.074 ± 0.000 a | 0.098 ± 0.001 a | 0.318 ± 0.002 a |
| Yumeshizuku (evian) | 0.057 ± 0.001 b | 0.079 ± 0.001 b | 0.275 ± 0.001 b |
| Yumeshizuku (contrex) | 0.060 ± 0.000 b | 0.084 ± 0.001 b | 0.285 ± 0.001 b |
| Calcium | Magnesium | |
|---|---|---|
| (mg/100 g) | (mg/100 g) | |
| Koshihikari C (WG) (unpolished rice) | 9.6 ± 0.0 b | 103.0 ± 0.0 a |
| Koshihikari C (CG) (unpolished rice) | 12.3 ± 0.0 a | 102.0 ± 0.0 a |
| Koshihikari C (WG) (polished rice) | 5.4 ± 0.0 b | 19.3 ± 0.0 b |
| Koshihikari C (CG) (polished rice) | 6.8 ± 0.0 a | 22.5 ± 0.0 a |
| Koshihikari C (WG) (polished boiled rice) (pulified water) | 5.5 ± 0.0 b | 17.5 ± 0.0 b |
| Koshihikari C (CG) (polished boiled rice) (pulified water) | 6.9 ± 0.0 a | 20.4 ± 0.0 a |
| Koshihikari C (WG) (polished boild rice) (Evian) | 19.0 ± 0.0 b | 22.1 ± 0.0 b |
| Koshihikari C (CG) (polished boild rice) (Evian) | 23.9 ± 0.0 a | 25.8 ± 0.0 a |
| Koshihikari C (WG) (polished boiled rice) (Contrex) | 90.5 ± 0.0 b | 31.3 ± 0.0 b |
| Koshihikari C (CG) (polished boiled rice) (Contrex) | 114.0 ± 0.0 a | 36.5 ± 0.0 a |
| Tsubusuke (WG) (polished boiled rice) (pulified water) | 6.1 ± 0.0 a | 26.6 ± 0.1 b |
| Tsubusuke (CG) (polished boiled rice) (pulified water) | 6.4 ± 0.0 a | 29.4 ± 0.1 a |
| Tsubusuke (WG) (polished boiled rice) (Evian) | 15.8 ± 0.0 b | 30.4 ± 0.1 a |
| Tsubusuke (CG) (polished boiled rice) (Evian) | 17.5 ± 0.0 a | 32.6 ± 0.1 a |
| Tsubusuke (WG) (polished boiled rice) (Contrex) | 82.6 ± 0.2 b | 41.3 ± 0.1 a |
| Tsubusuke (CG) (polished boiled rice) (Contrex) | 86.1 ± 0.2 a | 39.0 ± 0.1 a |
Disclaimer/Publisher’s Note: The statements, opinions and data contained in all publications are solely those of the individual author(s) and contributor(s) and not of MDPI and/or the editor(s). MDPI and/or the editor(s) disclaim responsibility for any injury to people or property resulting from any ideas, methods, instructions or products referred to in the content. |
© 2023 by the authors. Licensee MDPI, Basel, Switzerland. This article is an open access article distributed under the terms and conditions of the Creative Commons Attribution (CC BY) license (https://creativecommons.org/licenses/by/4.0/).
Share and Cite
Nakamura, S.; Ohtsubo, K. Effects of Hard Water Boiling on Chalky Rice in Terms of Texture Improvement and Ca Fortification. Foods 2023, 12, 2510. https://doi.org/10.3390/foods12132510
Nakamura S, Ohtsubo K. Effects of Hard Water Boiling on Chalky Rice in Terms of Texture Improvement and Ca Fortification. Foods. 2023; 12(13):2510. https://doi.org/10.3390/foods12132510
Chicago/Turabian StyleNakamura, Sumiko, and Ken’ichi Ohtsubo. 2023. "Effects of Hard Water Boiling on Chalky Rice in Terms of Texture Improvement and Ca Fortification" Foods 12, no. 13: 2510. https://doi.org/10.3390/foods12132510
APA StyleNakamura, S., & Ohtsubo, K. (2023). Effects of Hard Water Boiling on Chalky Rice in Terms of Texture Improvement and Ca Fortification. Foods, 12(13), 2510. https://doi.org/10.3390/foods12132510

