Comparative Analysis of the Physicochemical Properties and Metabolites of Farinose and Crisp Lotus Roots (Nelumbo nucifera Gaertn.) with Different Geographical Origins
Abstract
1. Introduction
2. Materials and Methods
2.1. Sample Collection
2.2. Lotus Root Flours and Isolated Starch Preparation
2.3. Pasting Properties Analysis
2.4. Texture Characteristics Analysis
2.5. Metabolomics Analysis by UPLC-Q-TOF-MS
2.6. Data Processing and Statistical Analysis
3. Results and Discussion
3.1. Pasting Behavior of Lotus Root Flours and Starches
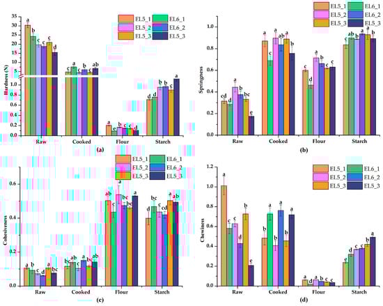
3.2. Texture Properties of Lotus Root Slices and Gels
3.3. Interpretation of Zeno-TOF-MS Mass Spectra and Metabolite Profiles of Lotus Root Samples
3.4. Principal Component Analysis of Metabolites in Lotus Roots
3.5. Orthogonal Projections to Latent Structures-Discriminant Analysis of the Metabolites in Lotus Roots
4. Conclusions
Supplementary Materials
Author Contributions
Funding
Data Availability Statement
Acknowledgments
Conflicts of Interest
References
- Wang, Z.; Cheng, Y.; Zeng, M.; Wang, Z.; Qin, F.; Wang, Y.; Chen, J.; He, Z. Lotus (Nelumbo nucifera Gaertn.) leaf: A narrative review of its Phytoconstituents, health benefits and food industry applications. Trends Food Sci. Technol. 2021, 112, 631–650. [Google Scholar]
- Chen, G.; Zhu, M.; Guo, M. Research advances in traditional and modern use of Nelumbo nucifera: Phytochemicals, health promoting activities and beyond. Crit. Rev. Food Sci. 2019, 59 (Suppl. S1), S189–S209. [Google Scholar] [CrossRef] [PubMed]
- Qiu, Z.Z.; Chin, K.B. Effect of sodium alginate active film incorporating different lotus rhizome root powders on the physicochemical properties and shelf-life of low-fat model sausages. Food Packag. Shelf. 2022, 33, 100897. [Google Scholar] [CrossRef]
- Yi, Y.; Tang, H.S.; Sun, Y.; Xu, W.; Min, T.; Wang, H.X. Comprehensive characterization of lotus root polysaccharide-phenol complexes. Food Chem. 2022, 366, 130693. [Google Scholar] [CrossRef] [PubMed]
- Pandita, A.; Pandita, D. Lotus (Nelumbo nucifera Gaertn). In Antioxidants in Vegetables and Nuts—Properties and Health Benefits; Nayik, G.A., Gull, A., Eds.; Springer: Singapore, 2020; pp. 19–44. [Google Scholar]
- Lara, G.; Yakoubi, S.; Villacorta, C.M.; Uemura, K.; Kobayashi, I.; Takahashi, C.; Nakajima, M.; Neves, M.A. Spray technology applications of xanthan gum-based edible coatings for fresh-cut lotus root (Nelumbo nucifera). Food Res. Int. 2020, 137, 109723. [Google Scholar] [CrossRef] [PubMed]
- Bata Gouda, M.H.; Zhang, C.; Peng, S.; Kong, X.; Chen, Y.; Li, H.; Li, X.; Luo, H.; Yu, L. Combination of sodium alginate-based coating with L-cysteine and citric acid extends the shelf-life of fresh-cut lotus root slices by inhibiting browning and microbial growth. Postharvest Biol. Technol. 2021, 175, 111502. [Google Scholar] [CrossRef]
- Min, T.; Niu, L.F.; Feng, X.Y.; Yi, Y.; Wang, L.M.; Zhao, Y.; Wang, H.X. The effects of different temperatures on the storage characteristics of lotus (Nelumbo nucifera G.) root. Food Chem. 2021, 348, 129109. [Google Scholar] [CrossRef]
- Showkat, Q.A.; Rather, J.A.; Jabeen, A.; Dar, B.N.; Makroo, H.A.; Majid, D. Bioactive components, physicochemical and starch characteristics of different parts of lotus (Nelumbo nucifera Gaertn.) plant: A review. Int. J. Food Sci. Technol. 2021, 56, 2205–2214. [Google Scholar] [CrossRef]
- Liu, Z.; Zhu, H.; Zhou, J.; Jiang, S.; Wang, Y.; Kuang, J.; Ji, Q.; Peng, J.; Wang, J.; Gao, L.; et al. Resequencing of 296 cultivated and wild lotus accessions unravels its evolution and breeding history. Plant J. 2020, 104, 1673–1684. [Google Scholar] [CrossRef]
- Li, S.; Li, X.; Lamikanra, O.; Luo, Q.; Liu, Z.; Yang, J. Effect of cooking on physicochemical properties and volatile compounds in lotus root (Nelumbo nucifera Gaertn). Food Chem. 2017, 216, 316–323. [Google Scholar] [CrossRef]
- Liu, Y.; Liu, J.; Liu, G.; Duan, R.; Sun, Y.; Li, J.; Yan, S.; Li, B. Sodium bicarbonate reduces the cooked hardness of lotus rhizome via side chain rearrangement and pectin degradation. Food Chem. 2022, 370, 130962. [Google Scholar] [CrossRef] [PubMed]
- Liu, R.; Gao, Z.; Snell, H.A.; Ma, H. Food safety concerns and consumer preferences for food safety attributes: Evidence from China. Food Control 2020, 112, 107157. [Google Scholar] [CrossRef]
- Utpott, M.; Rodrigues, E.; Rios, A.d.O.; Mercali, G.D.; Flôres, S.H. Metabolomics: An analytical technique for food processing evaluation. Food Chem. 2022, 366, 130685. [Google Scholar] [CrossRef]
- Yoon, D.; Shin, W.C.; Oh, S.-M.; Choi, B.R.; Young Lee, D. Integration of multiplatform metabolomics and multivariate analysis for geographical origin discrimination of Panax ginseng. Food Res. Int. 2022, 159, 111610. [Google Scholar] [CrossRef]
- Pan, Y.; Gu, H.W.; Lv, Y.; Yin, X.L.; Chen, Y.; Long, W.; Fu, H.; She, Y. Untargeted metabolomic analysis of Chinese red wines for geographical origin traceability by UPLC-QTOF-MS coupled with chemometrics. Food Chem. 2022, 394, 133473. [Google Scholar] [CrossRef] [PubMed]
- Alseekh, S.; Aharoni, A.; Brotman, Y.; Contrepois, K.; D’Auria, J.; Ewald, J.; CEwald, J.; Fraser, P.D.; Giavalisco, P.; Hall, R.D.; et al. Mass spectrometry-based metabolomics: A guide for annotation, quantification and best reporting practices. Nat. Methods 2021, 18, 747–756. [Google Scholar] [CrossRef]
- Li, Q.; Yang, S.; Li, B.; Zhang, C.; Li, Y.; Li, J. Exploring critical metabolites of honey peach (Prunus persica (L.) Batsch) from five main cultivation regions in the north of China by UPLC-Q-TOF/MS combined with chemometrics and modeling. Food Res. Int. 2022, 157, 111213. [Google Scholar]
- Yu, Y.; Wei, X.; Liu, Y.; Dong, G.; Hao, C.; Zhang, J.; Jiang, J.; Cheng, J.; Liu, A.; Chen, S. Identification and quantification of oligomeric proanthocyanidins, alkaloids, and flavonoids in lotus seeds: A potentially rich source of bioactive compounds. Food Chem. 2022, 379, 132124. [Google Scholar] [CrossRef]
- Guo, Y.; Chen, X.; Qi, J.; Yu, B. Simultaneous qualitative and quantitative analysis of flavonoids and alkaloids from the leaves of Nelumbo nucifera Gaertn. using high-performance liquid chromatography with quadrupole time-of-flight mass spectrometry. J. Sep. Sci. 2016, 39, 2499–2507. [Google Scholar]
- Zhu, Z.H.; Zhong, B.M.; Yang, Z.H.; Zhao, W.R.; Shi, L.H.; Aziz, A.; Rauf, A.; Aljohani, A.S.; Alhumaydhi, F.A.; Suleria, H.A.R. LC-ESI-QTOF-MS/MS characterization and estimation of the antioxidant potential of phenolic compounds from different parts of the lotus (Nelumbo nucifera) seed and rhizome. ACS Omega 2022, 7, 14630–14642. [Google Scholar] [CrossRef]
- Baba, T.; Ryumin, P.; Duchoslav, E.; Chen, K.; Chelur, A.; Loyd, B.; Chernushevich, I. Dissociation of biomolecules by an intense low-energy electron beam in a high sensitivity time-of-flight mass spectrometer. J. Am. Soc. Mass Spectr. 2021, 32, 1964–1975. [Google Scholar] [CrossRef] [PubMed]
- Arias-Hidalgo, C.; Juanes-Velasco, P.; Landeira-Viñuela, A.; García-Vaquero, M.L.; Montalvillo, E.; Góngora, R.; Hernández, Á.-P.; Fuentes, M. Single-cell proteomics: The critical role of nanotechnology. Int. J. Mol. Sci. 2022, 23, 6707. [Google Scholar] [CrossRef] [PubMed]
- Wang, Z.; Mülleder, M.; Batruch, I.; Chelur, A.; Textoris-Taube, K.; Schwecke, T.; Hartl, J.; Causon, J.; Castro-Perez, J.; Demichev, V.; et al. High-throughput proteomics of nanogram-scale samples with Zeno SWATH MS. eLife 2022, 11, e83947. [Google Scholar] [CrossRef] [PubMed]
- Xie, W.; Zhao, W.; Yan, S.; Wang, Q.; Li, J. Cell wall CSF/WSF ratio value discriminates the cooked texture of lotus rhizome. Int. J. Food Prop. 2017, 20 (Suppl. S3), S3266–S3276. [Google Scholar] [CrossRef]
- Du, R.; Luo, X.; Huang, Y.; Chen, L.; Huang, Z.; Mao, X.; Liang, Y.; Zhang, Q.; Wang, P. Polychlorinated dibenzo-p-dioxins and dibenzofurans in lotus from a lake historically polluted by the chlor-alkali industry: Occurrence, organ distribution and health risk from dietary intake. Environ. Pollut. 2022, 292, 118395. [Google Scholar] [CrossRef]
- Wang, H.; Yang, Q.; Gao, L.; Gong, X.; Qu, Y.; Feng, B. Functional and physicochemical properties of flours and starches from different tuber crops. Int. J. Biol. Macromol. 2020, 148, 324–332. [Google Scholar] [CrossRef]
- Zhu, L.; Zhang, Y.; Wu, G.; Qi, X.; Dag, D.; Kong, F.; Zhang, H. Characteristics of pasting properties and morphology changes of rice starch and flour under different heating modes. Int. J. Biol. Macromol. 2020, 149, 246–255. [Google Scholar] [CrossRef]
- Buckman, E.S.; Oduro, I.; Plahar, W.A.; Tortoe, C. Determination of the chemical and functional properties of yam bean (Pachyrhizus erosus (L.) Urban) flour for food systems. Food Sci. Nutr. 2018, 6, 457–463. [Google Scholar]
- Nikitha, M.; Natarajan, V. Properties of South-Indian rice cultivars: Physicochemical, functional, thermal and cooking characterisation. J. Food Sci. Technol. 2020, 57, 4065–4075. [Google Scholar] [CrossRef]
- Chiang, P.Y.; Luo, Y.Y. Effects of pressurized cooking on the relationship between the chemical compositions and texture changes of lotus root (Nelumbo nucifera Gaertn.). Food Chem. 2007, 105, 480–484. [Google Scholar] [CrossRef]
- Liu, G.; Li, X.; Yan, S.; Li, J. The ratio of chelate-soluble fraction to alcohol insoluble residue is a major influencing factor on the texture of lotus rhizomes after cooking. Food Chem. 2019, 279, 373–378. [Google Scholar] [CrossRef] [PubMed]
- Li, C.; Luo, J.X.; Zhang, C.Q.; Yu, W.W. Causal relations among starch chain-length distributions, short-term retrogradation and cooked rice texture. Food Hydrocoll. 2020, 108, 106064. [Google Scholar] [CrossRef]
- Tao, K.; Yu, W.; Prakash, S.; Gilbert, R.G. High-amylose rice: Starch molecular structural features controlling cooked rice texture and preference. Carbohyd. Polym. 2019, 219, 251–260. [Google Scholar] [CrossRef] [PubMed]
- Limwachiranon, J.; Huang, H.; Shi, Z.; Li, L.; Luo, Z. Lotus flavonoids and phenolic acids: Health promotion and safe consumption dosages. Compr. Rev. Food. Sci. F 2018, 17, 458–471. [Google Scholar] [CrossRef] [PubMed]
- Medina, S.; Perestrelo, R.; Silva, P.; Pereira, J.A.M.; Câmara, J.S. Current trends and recent advances on food authenticity technologies and chemometric approaches. Trends Food Sci. Technol. 2019, 85, 163–176. [Google Scholar] [CrossRef]
- Peng, C.Y.; Ren, Y.F.; Ye, Z.H.; Zhu, H.Y.; Liu, X.Q.; Chen, X.T.; Hou, R.Y.; Granato, D.; Cai, H.M. A comparative UHPLC-Q/TOF-MS-based metabolomics approach coupled with machine learning algorithms to differentiate Keemun black teas from narrow-geographic origins. Food Res. Int. 2022, 158, 111512. [Google Scholar] [CrossRef]
- Xu, L.; Shi, P.T.; Ye, Z.H.; Yan, S.M.; Cai, C.B.; Zhong, W.; Yu, X.P. Rapid geographical origin analysis of pure West Lake lotus root powder (WL-LRP) by near-infrared spectroscopy combined with multivariate class modeling techniques. Food Res. Int. 2012, 49, 771–777. [Google Scholar] [CrossRef]
- Zhao, X.; Shen, J.; Chang, K.J.; Kim, S.H. Comparative analysis of antioxidant activity and functional components of the ethanol extract of lotus (Nelumbo nucifera) from various growing regions. J. Agric. Food Chem. 2014, 62, 6227–6235. [Google Scholar] [CrossRef]
- Du, H.; Chen, W.; Lei, Y.; Li, F.; Li, H.; Deng, W.; Jiang, G. Discrimination of authenticity of Fritillariae Cirrhosae Bulbus based on terahertz spectroscopy and chemometric analysis. Microchem. J. 2021, 168, 106440. [Google Scholar] [CrossRef]
- Qie, M.; Li, T.; Liu, C.C.; Zhao, Y. Direct analysis in real time high-resolution mass spectrometry for authenticity assessment of lamb. Food Chem. 2022, 390, 133143. [Google Scholar] [CrossRef]
- Espichán, F.; Rojas, R.; Quispe, F.; Cabanac, G.; Marti, G. Metabolomic characterization of 5 native Peruvian chili peppers (Capsicum spp.) as a tool for species discrimination. Food Chem. 2022, 386, 132704. [Google Scholar]
- Yang, Y.; Zhu, H.; Chen, J.; Xie, J.; Shen, S.; Deng, Y.; Zhu, J.; Yuan, H.; Jiang, Y. Characterization of the key aroma compounds in black teas with different aroma types by using gas chromatography electronic nose, gas chromatography-ion mobility spectrometry, and odor activity value analysis. LWT 2022, 163, 113492. [Google Scholar] [CrossRef]
- Tai, J.; Ye, C.; Cao, X.; Hu, H.; Li, W.; Zhang, H. Study on the anti-gout activity of the lotus seed pod by UPLC-QTOF-MS and virtual molecular docking. Fitoterapia 2023, 167, 105500. [Google Scholar] [CrossRef]




| Sample No. | Cultivars | Appearance | Sown/Harvest Time | Harvest City |
|---|---|---|---|---|
| EL5-1 | Elian No.5 | ![]() | Mid-Mar/Mid-Nov | Hanchuan, 30°49′ N, 113°51′ E |
| EL6-1 | Elian No.6 | ![]() | ||
| EL5-2 | Elian No.5 | ![]() | Early-Apr/Late-Nov | Jiangxia, 30°23′ N, 114°14′ E |
| EL6-2 | Elian No.6 | ![]() | ||
| EL5-3 | Elian No.5 | ![]() | Early-Apr/Mid-Dec | Honghu, 30°03′ N, 113°39′ E |
| EL6-3 | Elian No.6 | ![]() |
| Pasting Properties | Samples | ||||||
|---|---|---|---|---|---|---|---|
| EL5-1 | EL6-1 | EL5-2 | EL6-2 | EL5-3 | EL6-3 | ||
| PV (cP) | Flour | 430 ± 6.6 a | 207 ± 2.5 e | 333 ± 1.2 c | 305 ± 1.7 d | 340 ± 3.8 b | 180 ± 1.5 f |
| Starch | 1164 ± 21 c | 1265 ± 7.5 b | 1258 ± 14 b | 1322 ± 9.2 a | 1273 ± 9.9 b | 1272 ± 15 b | |
| TV (cP) | Flour | 328 ± 5.5 a | 152 ± 2.1 e | 271 ± 3.1 c | 248 ± 1.0 d | 283 ± 3.5 b | 140 ± 2.3 f |
| Starch | 1035 ± 11 e | 1197 ± 8.5 a | 1040 ± 9.1 e | 1137 ± 8.6 c | 1062 ± 4.7 d | 1171 ± 8.4 b | |
| BV (cP) | Flour | 102 ± 2.1 a | 56 ± 0.6 c | 62 ± 2.0 b | 57 ± 1.0 c | 56 ± 1.2 c | 40 ± 1.0 d |
| Starch | 138 ± 13 c | 74 ± 3.2 e | 227 ± 6.6 a | 179 ± 5.0 b | 218 ± 4.5 a | 106 ± 2.5 d | |
| FV (cP) | Flour | 403 ± 5.9 a | 177 ± 2.5 e | 332 ± 4.6 c | 305 ± 2.0 d | 345 ± 4.2 b | 167 ± 2.5 f |
| Starch | 1222 ± 4.5 c | 1352 ± 9.1 a | 1238 ± 6.0 bc | 1335 ± 4.0 a | 1244 ± 3.5 b | 1346 ± 19 a | |
| SV (cP) | Flour | 74 ± 0.6 a | 25 ± 1.0 d | 61 ± 1.5 b | 57 ± 2.6 c | 62 ± 1.0 b | 27 ± 1.0 d |
| Starch | 185 ± 14 b | 164 ± 2.5 c | 205 ± 3.8 a | 199 ± 4.7 a | 182 ± 5.0 b | 178 ± 8.2 b | |
| PT (cP) | Flour | 5.93 ± 0.06 abc | 5.95 ± 0.04 ab | 5.91 ± 0.08 bc | 6.05 ± 0.04 a | 6.04 ± 0.10 a | 5.82 ± 0.04 c |
| Starch | 7.00 ± 0.00 a | 6.99 ± 0.02 a | 6.83 ± 0.17 b | 7.01 ± 0.02 a | 6.99 ± 0.02 a | 7.00 ± 0.00 a | |
| PTP (°C) | Flour | 78 ± 0.4 a | 74 ± 0.1 b | 78 ± 0.0 a | 74 ± 0.0 b | 74 ± 0.1 b | 78 ± 0.5 a |
| Starch | 75 ± 0.4 a | 74 ± 0.5 b | 75 ± 0.0 a | 73 ± 0.0 bc | 73 ± 0.4 c | 73 ± 0.9 bc | |
| (a) | ||||||||
| Species | Metabolites | VIP | Fold Change | p-Value | Formula | Adduct Type | m/z | Mass Error (ppm) |
| Amino acid derivative | Pipecolic acid | 1.26 | 0.46 | 1.11 × 10−15 | C6H11NO2 | [M+H]+ | 130.0863 | 0 |
| Amino acid | Tryptophan | 1.25 | 0.34 | 3.43 × 10−15 | C11H12N2O2 | [M+H]+ | 205.0968 | −1.6 |
| Leucine | 1.25 | 0.49 | 3.32 × 10−11 | C6H13NO2 | [M+H]+ | 132.1017 | −1.4 | |
| Tyrosine | 1.25 | 0.47 | 3.38 × 10−11 | C9H11NO3 | [M+H]+ | 182.0811 | −0.4 | |
| Alkaloid | Scopoletin | 1.23 | 0.28 | 8.21 × 10−9 | C10H8O4 | [M+H]+ | 193.0495 | 0 |
| Lipids | Glycerophosphocholine | 1.24 | 0.44 | 5.41 × 10−11 | C8H20NO6P | [M+H]+ | 258.1102 | 0.4 |
| Phosphocholine | 1.15 | 0.44 | 5.98 × 10−6 | C5H14NO4P | [M+H]+ | 184.0733 | −0.4 | |
| Nucleotide | Uridine 5′-monophosphate | 1.24 | 0.47 | 2.40 × 10−10 | C9H13N2O9P | [M−H]− | 323.0280 | −1.7 |
| Polyphenol | Trans-2-Hydroxycinnamic acid | 1.26 | 0.46 | 2.86 × 10−13 | C9H8O3 | [M+H]+ | 165.0546 | −0.4 |
| 4-Hydroxybenzaldehyde | 1.25 | 0.49 | 2.60 × 10−12 | C7H6O2 | [M+H]+ | 123.0440 | −0.8 | |
| Coumarin | 1.24 | 0.47 | 2.57 × 10−10 | C9H6O2 | [M+H]+ | 147.0439 | −0.8 | |
| Isoscopoletin | 1.23 | 0.28 | 8.21 × 10−9 | C10H8O4 | [M+H]+ | 193.0495 | 0 | |
| Quinolines | Quinoline | 1.25 | 0.41 | 4.57 × 10−12 | C9H7N | [M+H]+ | 130.0651 | −0.3 |
| 6-Methoxyquinoline | 1.22 | 2.58 | 4.12 × 10−10 | C10H9NO | [M+H]+ | 160.0757 | −0.2 | |
| Other | Paprazine | 1.26 | 1.55 × 10−6 | 9.61 × 10−22 | C17H17NO3 | [M+H]+ | 284.1277 | −1.4 |
| 1,5-Naphthalenediamine | 1.26 | 0.37 | 5.12 × 10−15 | C10H10N2 | [M+H]+ | 159.0915 | −1 | |
| Trans-3-indole-acrylic acid | 1.25 | 0.37 | 5.06 × 10−14 | C11H9NO2 | [M+H]+ | 188.0706 | 0.2 | |
| Indole | 1.25 | 0.36 | 3.19 × 10−14 | C8H7N | [M+H]+ | 118.0650 | −1.2 | |
| Indole-4-carboxaldehyde | 1.25 | 0.37 | 1.09 × 10−13 | C9H7NO | [M+H]+ | 146.0599 | −1 | |
| 1-amino-naphthalene | 1.25 | 0.27 | 5.04 × 10−12 | C10H9N | [M+H]+ | 144.0806 | −1 | |
| 4-oxo-5α-(2Z)-pentenyl-2-cyclopentene-1α-octanoic acid | 1.22 | 0.49 | 2.46 × 10−8 | C18H28O3 | [M+H]+ | 293.2108 | −1.2 | |
| Serotonin | 1.03 | 6.31 | 1.98 × 10−4 | C10H12N2O | [M+H]+ | 177.1021 | −0.8 | |
| (b) | ||||||||
| Species | Metabolites | VIP | Fold Change | p-Value | Formula | Adduct Type | m/z | Mass Error (ppm) |
| Amino acid derivative | Carboxyethyl-γ-aminobutyric acid | 1.27 | 0.46 | 1.53 × 10−4 | C7H13NO4 | [M+H]+ | 176.0918 | 0.1 |
| α-Phenylglycine | 1.35 | 2.64 | 3.10 × 10−5 | C8H9NO2 | [M+H]+ | 152.0704 | −1.6 | |
| Levodopa | 1.22 | 2.01 | 8.00 × 10−4 | C9H11NO4 | [M+H]+ | 198.0759 | −0.9 | |
| Alkaloid | Scopoletin | 1.51 | 0.1 | 3.97 × 10−18 | C10H8O4 | [M+H]+ | 193.0495 | 0 |
| Flavonoids | Naringin | 1.49 | 6.36 | 2.93 × 10−11 | C27H32O14 | [M+H]+ | 581.1858 | −1.1 |
| Pinocembrin | 1.5 | 3.83 | 3.43 × 10−11 | C15H12O4 | [M+H]+ | 257.0806 | −0.7 | |
| Nucleotide | 5-Methylthioadenosine | 1.07 | 0.45 | 3.25 × 10−3 | C11H15N5O3S | [M+H]+ | 298.0969 | 0.3 |
| Polyphenol | Isoscopoletin | 1.51 | 7.15 × 10−7 | 1.67 × 10−27 | C10H8O4 | [M+H]+ | 193.0495 | 0 |
| Isoferulic acid | 1.42 | 0.45 | 4.82 × 10−7 | C10H10O4 | [M−H]- | 193.0506 | −0.4 | |
| Quinolines | 6-Methoxyquinoline | 1.35 | 2.08 | 7.27 × 10−6 | C10H9NO | [M+H]+ | 160.0757 | −0.2 |
| Other | Paprazine | 1.51 | 5.04 × 105 | 1.35 × 10−20 | C17H17NO3 | [M+H]+ | 284.1277 | −1.4 |
| (c) | ||||||||
| Species | Metabolites | VIP | Fold Change | p-Value | Formula | Adduct Type | m/z | Mass Error (ppm) |
| Alkaloid | Scopoletin | 1.33 | 0.01 | 2.21 × 10−22 | C10H8O4 | [M+H]+ | 193.0495 | 0 |
| Flavonoids | Hederagenin | 1.33 | 2.65 | 3.58 × 10−14 | C30H48O4 | [M−H]- | 471.3475 | −0.9 |
| Lipids | γ-Linolenic acid ethyl ester | 1.3 | 2.43 | 3.29 × 10−9 | C20H34O2 | [M+H]+ | 307.2626 | −1.9 |
| γ-Linolenic Acid | 1.3 | 2.21 | 3.25 × 10−9 | C18H30O2 | [M−H]- | 277.2168 | −2 | |
| Nucleotide | Xanthosine | 1.26 | 2.29 | 3.29 × 10−7 | C10H12N4O6 | [M−H]- | 283.0678 | −2.1 |
| Polyphenol | Isoscopoletin | 1.33 | 8.92 × 10−8 | 3.69 × 10−29 | C10H8O4 | [M+H]+ | 193.0495 | 0 |
| Isoferulic acid | 1.3 | 0.41 | 2.20 × 10−9 | C10H10O4 | [M−H]- | 193.0506 | −0.4 | |
| Esculin hydrate | 1.26 | 2.59 | 2.26 × 10−7 | C15H16O9 | [M+H]+ | 341.0866 | −0.4 | |
| Scopolin | 1.32 | 2.47 | 3.86 × 10−11 | C16H18O9 | [M+H]+ | 355.1020 | −1.1 | |
| Saccharides | N-Acetyl-β-D-mannosamine | 1.03 | 2.87 | 1.22 × 10−3 | C8H15NO6 | [M+H]+ | 222.0969 | −1.3 |
| N-Acetyl-D-glucosamine | 1.18 | 2.58 | 3.56 × 10−5 | C8H15NO6 | [M+H]+ | 222.0969 | −1.3 | |
| Terpenoid | Corosolic acid | 1.33 | 2.65 | 3.58 × 10−14 | C30H48O4 | [M−H]- | 471.3475 | −0.9 |
| Other | Tyramine | 1.26 | 0.27 | 2.36 × 10−7 | C8H11NO | [M+H]+ | 138.0905 | −6.3 |
| Paprazine | 1.33 | 4.37 × 10−7 | 1.07 × 10−27 | C17H17NO3 | [M+H]+ | 284.1277 | −1.4 | |
| L-Carnitine | 1.33 | 2.15 | 5.92 × 10−13 | C7H15NO3 | [M+H]+ | 162.1123 | −0.8 | |
Disclaimer/Publisher’s Note: The statements, opinions and data contained in all publications are solely those of the individual author(s) and contributor(s) and not of MDPI and/or the editor(s). MDPI and/or the editor(s) disclaim responsibility for any injury to people or property resulting from any ideas, methods, instructions or products referred to in the content. |
© 2023 by the authors. Licensee MDPI, Basel, Switzerland. This article is an open access article distributed under the terms and conditions of the Creative Commons Attribution (CC BY) license (https://creativecommons.org/licenses/by/4.0/).
Share and Cite
Liu, J.; Peng, J.; Yang, J.; Wang, J.; Peng, X.; Yan, W.; Zhao, L.; Peng, L.; Zhou, Y. Comparative Analysis of the Physicochemical Properties and Metabolites of Farinose and Crisp Lotus Roots (Nelumbo nucifera Gaertn.) with Different Geographical Origins. Foods 2023, 12, 2493. https://doi.org/10.3390/foods12132493
Liu J, Peng J, Yang J, Wang J, Peng X, Yan W, Zhao L, Peng L, Zhou Y. Comparative Analysis of the Physicochemical Properties and Metabolites of Farinose and Crisp Lotus Roots (Nelumbo nucifera Gaertn.) with Different Geographical Origins. Foods. 2023; 12(13):2493. https://doi.org/10.3390/foods12132493
Chicago/Turabian StyleLiu, Jiao, Jiawen Peng, Jie Yang, Jing Wang, Xitian Peng, Wei Yan, Liuqing Zhao, Lijun Peng, and Youxiang Zhou. 2023. "Comparative Analysis of the Physicochemical Properties and Metabolites of Farinose and Crisp Lotus Roots (Nelumbo nucifera Gaertn.) with Different Geographical Origins" Foods 12, no. 13: 2493. https://doi.org/10.3390/foods12132493
APA StyleLiu, J., Peng, J., Yang, J., Wang, J., Peng, X., Yan, W., Zhao, L., Peng, L., & Zhou, Y. (2023). Comparative Analysis of the Physicochemical Properties and Metabolites of Farinose and Crisp Lotus Roots (Nelumbo nucifera Gaertn.) with Different Geographical Origins. Foods, 12(13), 2493. https://doi.org/10.3390/foods12132493






