Nutrient Composition of Germinated Foxtail Millet Flour Treated with Mixed Salt Solution and Slightly Acidic Electrolyzed Water
Abstract
1. Introduction
2. Materials and Methods
2.1. Materials
2.2. Preparation of Treatment Solutions
2.3. Preparation of Germinated Foxtail Millet and Morphological Measurements of Millet Sprouts
2.4. Preparation of Germinated Millet Flour
2.5. GABA Content of Germinated Millet Flour
2.6. Determination of Protein
2.7. Analysis of Amino Acid Components
2.8. Statistical Analysis
3. Results and Discussion
3.1. Effect of Treatment Solutions on the Morphological Values of Germinated Millet
3.2. Effects of Treatment Solutions on GABA in Germinated Foxtail Millet Flour
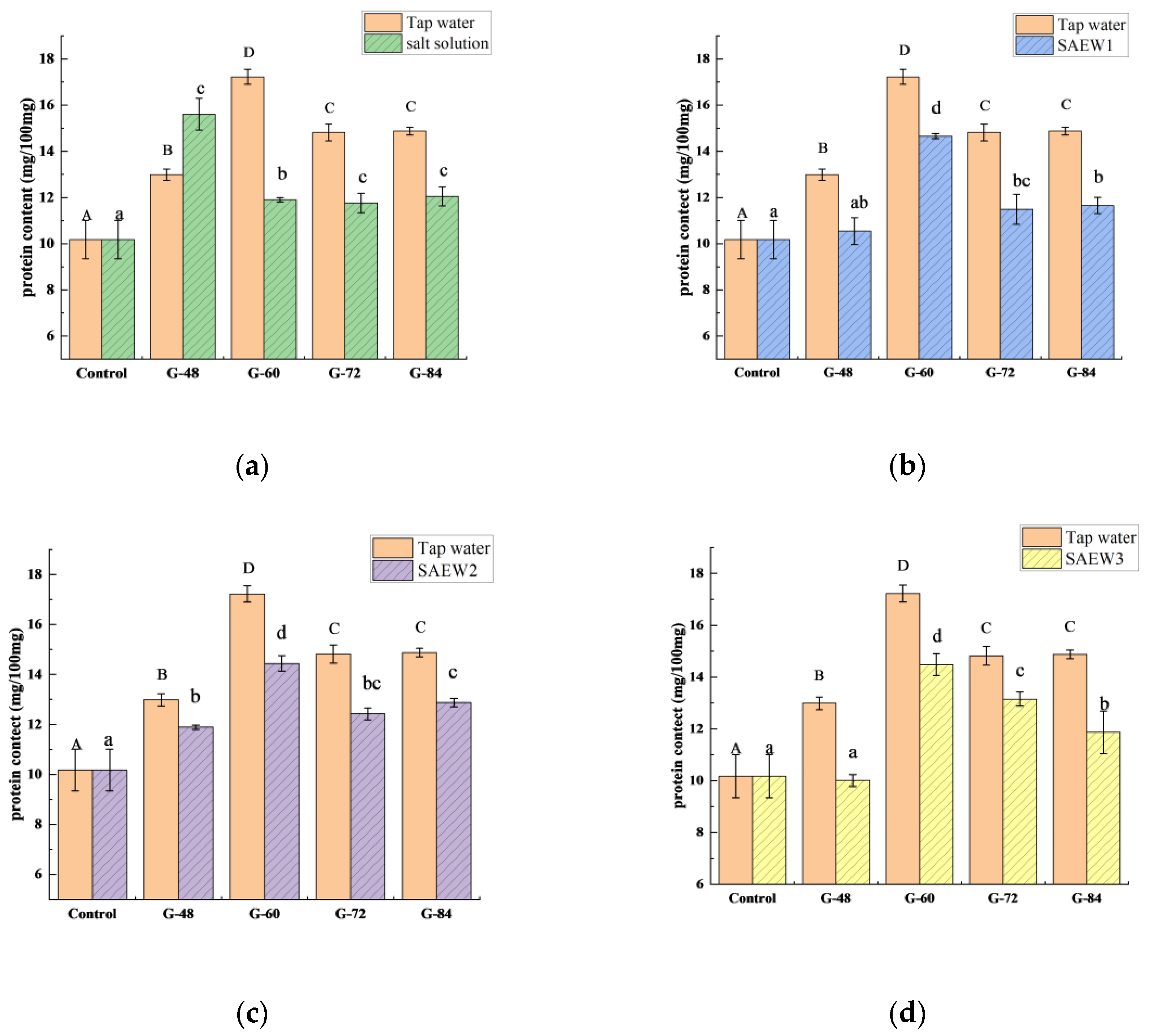
3.3. Effects of Treatment Solutions on Protein in Germinated Foxtail Millet Flour
3.4. Free Amino Acids in Germinated Foxtail Millet Flour with Different Treatment Solutions
4. Conclusions
Supplementary Materials
Author Contributions
Funding
Institutional Review Board Statement
Informed Consent Statement
Data Availability Statement
Conflicts of Interest
Abbreviations
| GABA | γ-Aminobutyric acid |
| SAEW | Slightly acidic electrolyzed water |
| ACC | Available chlorine concentration |
| GR | Germination rate |
| GP | Germination potential |
| BSA | Bovine serum albumin |
| GAD | Glutamic acid decarboxylase |
References
- Sharma, N.; Niranjan, K. Foxtail millet: Properties, processing, health benefits, and uses. Food Rev. Int. 2018, 34, 329–363. [Google Scholar] [CrossRef]
- Li, X.; Hao, J.; Liu, X.; Liu, H.; Ning, Y.; Cheng, R.; Tan, B.; Jia, Y. Effect of the treatment by slightly acidic electrolyzed water on the accumulation of γ-aminobutyric acid in germinated brown millet. Food Chem. 2015, 186, 249–255. [Google Scholar] [CrossRef] [PubMed]
- Bai, Q.; Yang, R.; Zhang, L.; Gu, Z. Salt stress induces accumulation of γ–aminobutyric acid in germinated foxtail millet (Setaria italica L.). Cereal Chem. 2013, 90, 145–149. [Google Scholar] [CrossRef]
- Yang, T.; Ma, S.; Liu, J.; Sun, B.; Wang, X. Influences of four processing methods on main nutritional components of foxtail millet: A review. Grain Oil Sci. Technol. 2022, 5, 156–165. [Google Scholar] [CrossRef]
- Sharma, S.; Saxena, D.C.; Riar, C.S. Changes in the GABA and polyphenols contents of foxtail millet on germination and their relationship with in vitro antioxidant activity. Food Chem. 2018, 245, 863–870. [Google Scholar] [CrossRef]
- Rifna, E.J.; Ratish, R.K.; Mahendran, R. Emerging technology applications for improving seed germination. Trends Food Sci. Technol. 2019, 86, 95–108. [Google Scholar] [CrossRef]
- Szewińska, J.; Simińska, J.; Bielawski, W. The roles of cysteine proteases and phytocystatins in development and germination of cereal seeds. J. Plant Physiol. 2016, 207, 10–21. [Google Scholar] [CrossRef]
- Nelson, K.; Stojanovska, L.; Vasiljevic, T.; Mathai, M. Germinated grains: A superior whole grain functional food? Can. J. Physiol. Pharmacol. 2013, 91, 429–441. [Google Scholar] [CrossRef]
- Liu, S.; Wang, W.; Lu, H.; Shu, Q.; Zhang, Y.; Chen, Q. New perspectives on physiological, biochemical and bioactive components during germination of edible seeds: A review. Trends Food Sci. Technol. 2022, 123, 187–197. [Google Scholar] [CrossRef]
- Al-Quraan, N.A.; Al-Ajlouni, Z.I.; Obedat, D.I. The GABA shunt pathway in germinating seeds of wheat (Triticum aestivum L.) and barley (Hordeum vulgare L.) under salt stress. Seed Sci. Res. 2019, 29, 250–260. [Google Scholar] [CrossRef]
- Koodkaew, I. NaCl and glucose improve health-promoting properties in mung bean sprouts. Sci. Hortic. 2019, 247, 235–241. [Google Scholar] [CrossRef]
- Yin, Y.; Yang, R.; Guo, Q.; Gu, Z. NaCl stress and supplemental CaCl2 regulating GABA metabolism pathways in germinating soybean. Eur. Food Res. Technol. 2014, 238, 781–788. [Google Scholar] [CrossRef]
- Ma, Y.; Wang, P.; Wang, M.; Sun, M.; Gu, Z.; Yang, R. GABA mediates phenolic compounds accumulation and the antioxidant system enhancement in germinated hulless barley under NaCl stress. Food Chem. 2019, 270, 593–601. [Google Scholar] [CrossRef]
- Bradford, M.M. A rapid and sensitive method for the quantitation of microgram quantities of protein utilizing the principle of protein-dye binding. Anal. Biochem. 1976, 72, 248–254. [Google Scholar] [CrossRef]
- Liu, R.; He, X.; Shi, J.; Nirasawa, S.; Tatsumi, E.; Li, L.; Liu, H. The effect of electrolyzed water on decontamination, germination and γ-aminobutyric acid accumulation of brown rice. Food Control. 2013, 33, 1–5. [Google Scholar] [CrossRef]
- Tyagi, A.; Chen, X.; Shabbir, U.; Chelliah, R.; Oh, D.H. Effect of slightly acidic electrolyzed water on amino acid and phenolic profiling of germinated brown rice sprouts and their antioxidant potential. LWT 2022, 157, 113119. [Google Scholar] [CrossRef]
- Ding, J.; Yang, T.; Feng, H.; Dong, M.; Slavin, M.; Xiong, S.; Zhao, S. Enhancing contents of γ-aminobutyric acid (GABA) and other micronutrients in dehulled rice during germination under normoxic and hypoxic conditions. J. Agric. Food Chem. 2016, 64, 1094–1102. [Google Scholar] [CrossRef] [PubMed]
- Zhang, L.; Jing, E.; Sun, Y.; Meng, X.; Yang, Y. Optimization of GABA Accumulation in Brown Rice under NaCl Stress and Calcium Regulation. Food Res. Dev. 2018, 39, 8. [Google Scholar] [CrossRef]
- Zhu, M.; Wang, Q.; Sun, Y.; Zhang, J. Effects of oxygenated brackish water on germination and growth characteristics of wheat. Agric. Water Manag. 2021, 245, 106520. [Google Scholar] [CrossRef]
- Hao, J.; Wu, T.; Li, H.; Wang, W.; Liu, H. Dual effects of slightly acidic electrolyzed water (SAEW) treatment on the accumulation of γ-aminobutyric acid (GABA) and rutin in germinated buckwheat. Food Chem. 2016, 201, 87–93. [Google Scholar] [CrossRef]
- Monteiro, P.V.; Virupaksha, T.K.; Rao, D.R. Proteins of Italian millet: Amino acid composition, solubility fractionation and electrophoresis of protein fractions. J. Sci. Food Agric. 1982, 33, 1072–1079. [Google Scholar] [CrossRef] [PubMed]
- Joint FAO/WHO/UNU Expert Consultation on Protein and Amino Acid Requirements in Human Nutrition, Food, Agriculture Organization of the United Nations; World Health Organization; United Nations University. Protein and Amino Acid Requirements in Human Nutrition: Report of a Joint FAO/WHO/UNU Expert Consultation; World Health Organization: Geneva, Switzerland, 2007.
- Jannoey, P.; Niamsup, H.; Lumyong, S.; Tajima, S.; Nomura, M.; Chairote, G. γ-aminobutyric acid (GABA) accumulations in rice during germination. Chiang Mai J. Sci. 2010, 7, 124–133. [Google Scholar]
- Ma, Y.; Wang, P.; Chen, Z.; Gu, Z.; Yang, R. GABA enhances physio-biochemical metabolism and antioxidant capacity of germinated hulless barley under NaCl stress. J. Plant Physiol. 2018, 231, 192–201. [Google Scholar] [CrossRef] [PubMed]
- Kim, M.J.; Kwak, H.S.; Kim, S.S. Effects of germination on protein, γ-aminobutyric acid, phenolic acids, and antioxidant capacity in wheat. Molecules 2018, 23, 2244. [Google Scholar] [CrossRef] [PubMed]
- Rahman, A.N.F.; Asfar, M.; Suwandi, N.; Amir, M.R.R. The effect of grain germination to improve rice quality. In Proceedings of the 3rd International Symposium on Agricultural and Biosystem Engineering, Makassar, Indonesia, 6–8 August 2019. [Google Scholar]
- Benincasa, P.; Falcinelli, B.; Lutts, S.; Stagnari, F.; Galieni, A. Sprouted grains: A comprehensive review. Nutrients 2019, 11, 421. [Google Scholar] [CrossRef] [PubMed]
- Hamad, A.M.; Fields, M.L. Evaluation of the protein quality and available lysine of germinated and fermented cereals. J. Food Sci. 1979, 44, 456–459. [Google Scholar] [CrossRef]
- Kamjijam, B.; Suwannaporn, P.; Bednarz, H.; Na, J.K.; Niehaus, K. Elevation of gamma-aminobutyric acid (GABA) and essential amino acids in vacuum impregnation mediated germinated rice traced by MALDI imaging. Food Chem. 2021, 365, 130399. [Google Scholar] [CrossRef]
- Shen, S.; Wang, Y.; Li, M.; Xu, F.; Chai, L.; Bao, J. The effect of anaerobic treatment on polyphenols, antioxidant properties, tocols and free amino acids in white, red, and black germinated rice (Oryza sativa L.). J. Funct. Foods 2015, 19, 641–648. [Google Scholar] [CrossRef]



| Treatment Solutions | pH | ORP (mV) | ACC (mg/L) |
|---|---|---|---|
| Tap water | 7.51 ± 0.03 | 308 ± 4 | - |
| SAEW1 | 5.73 ± 0.04 | 834 ± 7 | 10.92 ± 0.27 |
| SAEW2 | 5.85 ± 0.05 | 855 ± 13 | 20.25 ± 0.14 |
| SAEW3 | 5.95 ± 0.01 | 861 ± 6 | 30.35 ± 0.36 |
| Salt solution | 7.26 ± 0.02 | 317 ± 8 | - |
| Treatment Solutions | Length of Millet Sprouts (cm) | |||
|---|---|---|---|---|
| 48 h | 60 h | 72 h | 84 h | |
| Tap water | 0.279 ± 0.039 bA | 0.523 ± 0.052 aB | 0.557 ± 0.096 aB | 1.020 ± 0.098 aC |
| Salt solution | 0.200 ± 0.019 aA | 0.481 ± 0.028 aB | 0.753 ± 0.118 abC | 1.137 ± 0.109 aD |
| SAEW1 | 0.191 ± 0.041 aA | 0.673 ± 0.131 bB | 0.914 ± 0.132 bC | 1.160 ± 0.292 aD |
| SAEW2 | 0.376 ± 0.071 cA | 0.815 ± 0.121 cB | 1.654 ± 0.374 cC | 2.379 ± 0.103 bD |
| SAEW3 | 0.382 ± 0.058 cA | 0.799 ± 0.054 cB | 1.626 ± 0.319 cC | 2.201 ± 0.093 bD |
| Treatment Solutions | GR (%) | |||
|---|---|---|---|---|
| 48 h | 60 h | 72 h (GP %) | 84 h | |
| Tap water | 40.0 ± 0.82 aA | 46.3 ± 0.96 aB | 70.5 ± 2.08 aC | 92.5 ± 0.58 aD |
| Salt solution | 42.8 ± 0.96 bA | 48.0 ± 0.82 aB | 71.8 ± 2.06 bC | 93.8 ± 0.96 bD |
| SAEW1 | 48.8 ± 0.96 cA | 52.5 ± 1.73 bB | 76.0 ± 1.73 cC | 96.8 ± 0.96 dD |
| SAEW2 | 48.7 ± 1.15 cA | 55.0 ± 2.45 bcB | 77.5 ± 2.65 cC | 94.8 ± 0.96 bcD |
| SAEW3 | 48.5 ± 0.58 cA | 57.8 ± 3.69 cB | 79.3 ± 1.89 cC | 95.5 ± 0.58 cD |
| Amino Acid (g/100 g) | Tap Water-48 h | Salt Solution-60 h | SAEW2-60 h | Ungerminated |
|---|---|---|---|---|
| Aspartic acid | 0.813 ± 0.0003 c | 0.785 ± 0.0000 b | 0.807 ± 0.0003 c | 0.617 ± 0.0005 a |
| Threonine * | 0.437 ± 0.0002 c | 0.427 ± 0.0002 b | 0.436 ± 0.0003 c | 0.352 ± 0.0001 a |
| Serine | 0.512 ± 0.0002 c | 0.502 ± 0.0003 b | 0.510 ± 0.0002 c | 0.426 ± 0.0000 a |
| Glutamate | 2.160 ± 0.0002 c | 2.114 ± 0.0001 b | 2.158 ± 0.0005 c | 1.864 ± 0.0001 a |
| Glycine | 0.327 ± 0.0002 c | 0.317 ± 0.0003 b | 0.325 ± 0.0002 c | 0.242 ± 0.0003 a |
| Alanine | 0.973 ± 0.0003 b | 0.980 ± 0.0003 c | 1.004 ± 0.0002 d | 0.811 ± 0.0009 a |
| Cystine | 0.033 ± 0.0001 b | 0.035 ± 0.0005 b | 0.033 ± 0.0003 b | 0.021 ± 0.0000 a |
| Valine * | 0.615 ± 0.0004 c | 0.609 ± 0.0004 b | 0.623 ± 0.0005 c | 0.482 ± 0.0002 a |
| Methionine * | 0.056 ± 0.0003 b | 0.109 ± 0.0002 d | 0.102 ± 0.0001 c | 0.023 ± 0.0003 a |
| Isoleucine * | 0.444 ± 0.0004 b | 0.438 ± 0.0003 b | 0.450 ± 0.0001 c | 0.353 ± 0.0001 a |
| Leucine * | 1.505 ± 0.0005 c | 1.499 ± 0.0003 b | 1.526 ± 0.0003 d | 1.253 ± 0.0004 a |
| Tyrosine | 0.240 ± 0.0003 b | 0.238 ± 0.0005 b | 0.242 ± 0.0004 b | 0.100 ± 0.0006 a |
| Phenylalanine * | 0.601 ± 0.0004 c | 0.592 ± 0.0003 b | 0.609 ± 0.0004 c | 0.497 ± 0.0012 a |
| Lysine * | 0.257 ± 0.0004 c | 0.250 ± 0.0003 b | 0.257 ± 0.0004 c | 0.175 ± 0.0001 a |
| Histidine * | 0.229 ± 0.0002 c | 0.221 ± 0.0003 b | 0.228 ± 0.0003 c | 0.178 ± 0.0010 a |
| Arginine | 0.390 ± 0.0004 c | 0.357 ± 0.0004 b | 0.364 ± 0.0001 c | 0.288 ± 0.0010 a |
| Proline | 0.732 ± 0.0005 b | 0.727 ± 0.0002 b | 0.744 ± 0.0004 c | 0.701 ± 0.0010 a |
| Amino Acid | Amino Acid Score (AAS) | FAO/WHO-Recommended Amino Acid Pattern | |||
|---|---|---|---|---|---|
| Tap Water-48 h | Salt Solution-60 h | SAEW2-60 h | Ungerminated | ||
| Threonine | 84.02 | 102.55 | 75.52 | 86.35 | 40 |
| Valine | 94.74 | 116.85 | 86.31 | 94.74 | 50 |
| Methionine + cystine | 19.56 | 39.50 | 26.82 | 12.36 | 35 |
| Isoleucine | 85.52 | 105.07 | 77.91 | 86.75 | 40 |
| Leucine | 165.53 | 205.56 | 150.97 | 175.89 | 70 |
| Phenylalanine + tyrosine | 107.80 | 132.73 | 98.24 | 97.77 | 60 |
| Lysine | 35.94 | 43.65 | 32.30 | 31.31 | 55 |
| EAA/TAA | 0.401 | 0.406 | 0.406 | 0.395 | |
| EAA/NAA | 0.671 | 0.684 | 0.684 | 0.654 | |
Disclaimer/Publisher’s Note: The statements, opinions and data contained in all publications are solely those of the individual author(s) and contributor(s) and not of MDPI and/or the editor(s). MDPI and/or the editor(s) disclaim responsibility for any injury to people or property resulting from any ideas, methods, instructions or products referred to in the content. |
© 2022 by the authors. Licensee MDPI, Basel, Switzerland. This article is an open access article distributed under the terms and conditions of the Creative Commons Attribution (CC BY) license (https://creativecommons.org/licenses/by/4.0/).
Share and Cite
Wu, T.; Li, H.; Li, J.; Hao, J. Nutrient Composition of Germinated Foxtail Millet Flour Treated with Mixed Salt Solution and Slightly Acidic Electrolyzed Water. Foods 2023, 12, 75. https://doi.org/10.3390/foods12010075
Wu T, Li H, Li J, Hao J. Nutrient Composition of Germinated Foxtail Millet Flour Treated with Mixed Salt Solution and Slightly Acidic Electrolyzed Water. Foods. 2023; 12(1):75. https://doi.org/10.3390/foods12010075
Chicago/Turabian StyleWu, Tongjiao, Huiying Li, Jiaxin Li, and Jianxiong Hao. 2023. "Nutrient Composition of Germinated Foxtail Millet Flour Treated with Mixed Salt Solution and Slightly Acidic Electrolyzed Water" Foods 12, no. 1: 75. https://doi.org/10.3390/foods12010075
APA StyleWu, T., Li, H., Li, J., & Hao, J. (2023). Nutrient Composition of Germinated Foxtail Millet Flour Treated with Mixed Salt Solution and Slightly Acidic Electrolyzed Water. Foods, 12(1), 75. https://doi.org/10.3390/foods12010075

