Chestnuts in Fermented Rice Beverages Increase Metabolite Diversity and Antioxidant Activity While Reducing Cellular Oxidative Damage
Abstract
1. Introduction
2. Materials and Methods
2.1. LAB Strains, Substrates, and Fermentation Conditions
2.2. Determination of Organic Acids
2.3. Determination of Total Phenols and Total Flavonoids
2.4. Analysis of Free Amino Acid (FAAs)
2.5. HS-SPME-GC/MS-O Determination of the Volatile Profile
2.6. Determination of the Antioxidant Ability
2.6.1. Determination of the DPPH• Radical Scavenging Activities
2.6.2. Ferric Reducing Antioxidant Power (FRAP)
2.6.3. Hydroxyl Radical (•OH) Scavenging Activity
2.6.4. ABTS•+ Radical Scavenging Assay
2.7. Determination of Cellular Antioxidant Activity (CAA)
2.7.1. Cytotoxicity Assays
2.7.2. H2O2-Induced Oxidative Stress Assays
2.7.3. Intracellular Reactive Oxygen Species (ROS) Accumulation Assays
2.7.4. Intracellular Antioxidant Enzyme Activity and Glutathione (GSH) Content Determination
2.7.5. Cell Apoptosis
2.8. Statistical Analysis
3. Results and Discussion
3.1. Physicochemical Characteristics
3.1.1. Organic Acids
3.1.2. Total Phenol and Flavonoid Profiles
3.1.3. Free Amino Acid (FAA) Contents in the FCRB and TFRB
3.2. Quantification of Volatile Compounds
3.3. Antioxidant Activity of the Fermented Chestnut-Glutinous Rice Beverage (FCRB)
3.3.1. Evaluation of FCRB Chemical Antioxidant Capacity In Vitro
3.3.2. Evaluation of the FCRB and TFRB Cellular Antioxidant Activity (CAA)
Effects on Cell Viability under Oxidative Stress
Intracellular ROS Accumulation
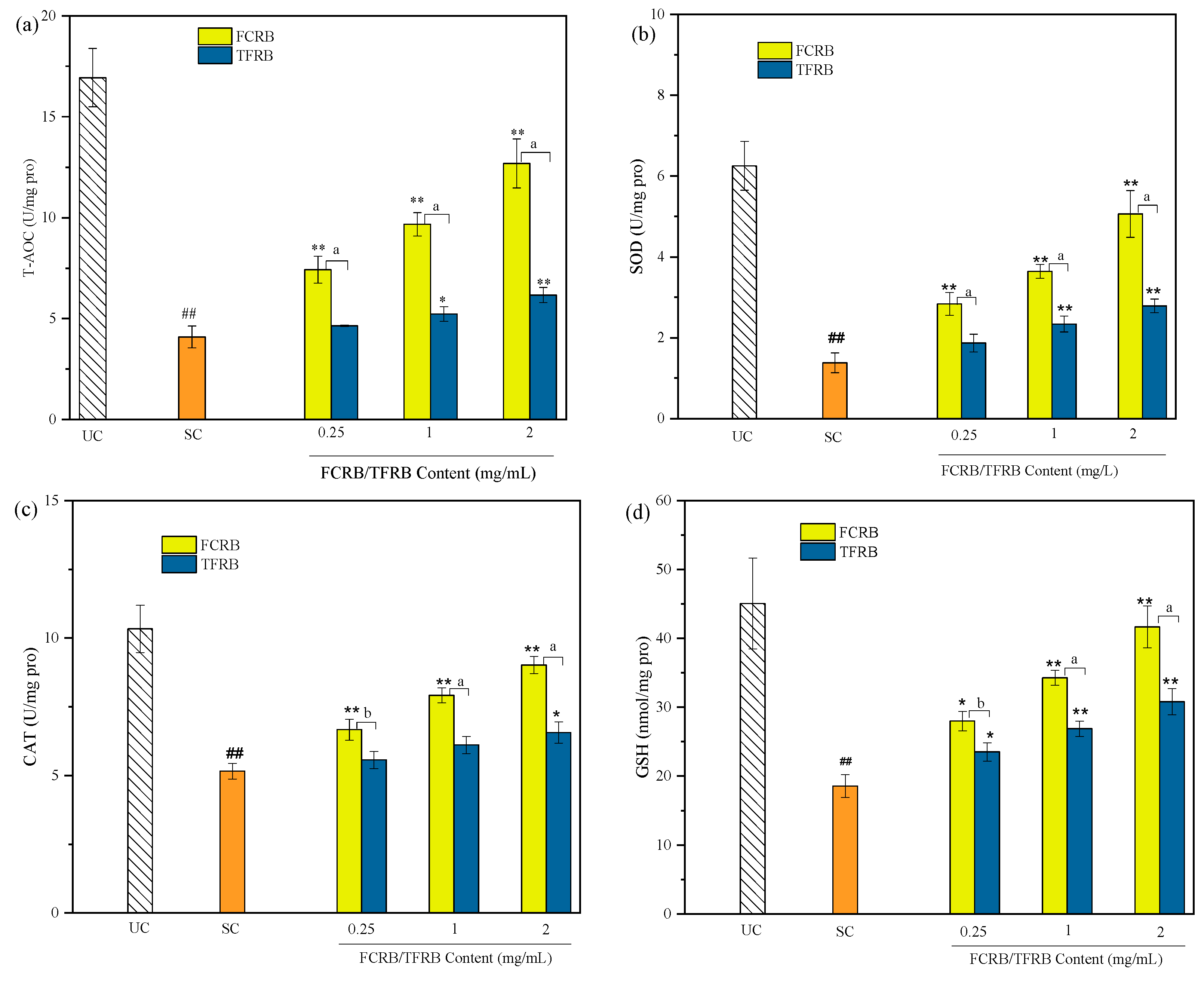
Effects of FCRB on the Intracellular Antioxidant Enzyme Activity and Glutathione Levels
The Effects of the FCRB on Apoptosis and Necrosis during Oxidative Stress in Caco-2 Cells
4. Conclusions
Supplementary Materials
Author Contributions
Funding
Institutional Review Board Statement
Informed Consent Statement
Data Availability Statement
Conflicts of Interest
References
- Villaño, D.; Gironés-Vilapana, A.; García-Viguera, C.; Moreno, D.A. Development of functional foods. In Innovation Strategies in the Food Industry, 2nd ed.; Galanakis, C.M., Ed.; Academic Press: New York, NY, USA, 2022; pp. 193–207. [Google Scholar]
- Bogue, J.; Collins, O.; Troy, A.J. Market analysis and concept development of functional foods. In Developing New Functional Food and Nutraceutical Products, 1st ed.; Bagchi, D., Nair, S., Eds.; Academic Press: New York, NY, USA, 2017; pp. 29–45. [Google Scholar]
- Masoumi, S.J.; Mehrabani, D.; Saberifiroozi, M.; Fattahi, M.R.; Moradi, F.; Najafi, M. The effect of yogurt fortified with Lactobacillus acidophilus and Bifidobacterium sp. probiotic in patients with lactose intolerance. Food Sci. Nutr. 2021, 9, 1704–1711. [Google Scholar] [CrossRef] [PubMed]
- Ziarno, M.; Zaręba, D.; Henn, E.; Margas, E.; Nowak, M. Properties of non-dairy gluten-free millet-based fermented beverages developed with yoghurt cultures. J. Food Nutr. Res. 2019, 58, 21–30. [Google Scholar]
- Corbo, M.R.; Bevilacqua, A.; Petruzzi, L.; Casanova, F.P.; Sinigaglia, M. Functional beverages: The emerging side of functional foods. Compr. Rev. Food Sci. Food Saf. 2015, 13, 1192–1206. [Google Scholar] [CrossRef]
- Waters, D.M.; Mauch, A.; Coffey, A.; Arendt, E.K.; Zannini, E. Lactic acid bacteria as a cell factory for the delivery of functional biomolecules and ingredients in cereal-based beverages: A review. Crit. Rev. Food Sci. Nutr. 2015, 55, 503–520. [Google Scholar] [CrossRef]
- Yang, F.; Huang, X.; Zhang, C.; Zhang, M.; Huang, C.; Yang, H. Amino acid composition and nutritional value evaluation of Chinese chestnut (Castanea mollissima Blume) and its protein subunit. RSC Adv. 2018, 8, 2653–2659. [Google Scholar] [CrossRef]
- Murthy, H.N.; Bapat, V.A. Importance of underutilized fruits and nuts. In Bioactive Compounds in Underutilized Fruits and Nuts, 1st ed.; Murthy, H., Bapat, V., Eds.; Springer: Berlin/Heidelberg, Germany, 2020; pp. 3–19. [Google Scholar]
- Vasconcelos, M.C.D.; Eduardo AS Rosa, R.B.; Ferreira-Cardoso, J.V. Composition of european chestnut (Castanea sativa Mill.) and association with health effects: Fresh and processed products. J. Sci. Food Agric. 2010, 90, 1578–1589. [Google Scholar] [CrossRef]
- Murado, M.A.; Pastrana, L.; Vázquez, J.A.; Mirón, J.; González, M.P. Alcoholic chestnut fermentation in mixed culture. Compatibility criteria between Aspergillus oryzae and Saccharomyces cerevisiae strains. Bioresour. Technol. 2008, 99, 7255–7263. [Google Scholar] [CrossRef]
- Zou, J.; Ge, Y.; Zhang, Y.; Ding, M.; Li, K.; Lin, Y.; Chang, X.; Cao, F.; Qian, Y. Changes in flavor-and aroma-related fermentation metabolites and antioxidant activity of glutinous rice wine supplemented with Chinese chestnut (Castanea mollissima Blume). Fermentation 2022, 8, 266. [Google Scholar] [CrossRef]
- Gaya, P.; Peirotén, Á.; Landete, J.M. Transformation of plant isoflavones into bioactive isoflavones by lactic acid bacteria and bifidobacteria. J. Funct. Foods 2017, 39, 198–205. [Google Scholar] [CrossRef]
- Escrivá, L.; Manyes, L.; Vila-Donat, P.; Font, G.; Meca, G.; Lozano, M. Bioaccessibility and bioavailability of bioactive compounds from yellow mustard flour and milk whey fermented with lactic acid bacteria. Food Funct. 2021, 12, 11250–11261. [Google Scholar] [CrossRef]
- Arena, M.P.; Capozzi, V.; Russo, P.; Drider, D.; Spano, G.; Fiocco, D. Immunobiosis and probiosis: Antimicrobial activity of lactic acid bacteria with a focus on their antiviral and antifungal properties. Appl. Microbiol. Biotechnol. 2018, 102, 9949–9958. [Google Scholar] [CrossRef] [PubMed]
- Korcz, E.; Kerényi, Z.; Varga, L. Dietary fibers, prebiotics, and exopolysaccharides produced by lactic acid bacteria: Potential health benefits with special regard to cholesterol-lowering effects. Food Funct. 2018, 9, 3057–3068. [Google Scholar] [CrossRef] [PubMed]
- Sankar, G.S.; Sankar, S.S.; Subrata, S.; Venkatachalam, S.; Chang, P.S. Use of a potential probiotic, Lactobacillus plantarum L7, for the preparation of a rice-based fermented beverage. Front. Microbiol. 2018, 9, 473. [Google Scholar]
- Yi, R.K.; Peng, P.; Zhang, J.; Du, M.Y.; Lan, L.X.; Qian, Y.; Zhou, J.; Zhao, X. Lactobacillus plantarum CQPC02-fermented soybean milk improves loperamide-induced constipation in mice. J. Med. Food 2019, 22, 1208–1221. [Google Scholar] [CrossRef]
- Angelescu, I.R.; Zamfir, M.; Stancu, M.M.; Grosu-Tudor, S.S. Identification and probiotic properties of lactobacilli isolated from two different fermented beverages. Ann. Microbiol. 2019, 69, 1557–1565. [Google Scholar] [CrossRef]
- Salmerón, I. Fermented cereal beverages: From probiotic, prebiotic and synbiotic towards Nanoscience designed healthy drinks. Lett. Appl. Microbiol. 2017, 65, 114–124. [Google Scholar] [CrossRef]
- Peyer, L.C.; Zannini, E.; Arendt, E.K. Lactic acid bacteria as sensory biomodulators for fermented cereal-based beverages. Trends Food Sci. Technol. 2016, 54, 17–25. [Google Scholar] [CrossRef]
- Hu, Y.; Chen, X.; Chang, X.; Wang, Y.; Zou, J. Screening of lactic acid bacteria from jiuqu and its application in the fermentation of chestnut glutinous rice beverage. Sci. Technol. Food Ind. 2022, 43, 138–146. [Google Scholar]
- Lingua, M.S.; Fabani, M.P.; Wunderlin, D.A.; Baroni, M.V. In vivo antioxidant activity of grape, pomace and wine from three red varieties grown in Argentina: Its relationship to phenolic profile. J. Funct. Foods 2016, 20, 332–345. [Google Scholar] [CrossRef]
- Chen, H.; Xiao, G.; Xu, Y.; Yu, Y.; Wu, J.; Zou, B. High hydrostatic pressure and co-fermentation by Lactobacillus rhamnosus and Gluconacetobacter xylinus improve flavor of yacon-litchi-longan juice. Foods 2019, 8, 308. [Google Scholar] [CrossRef]
- Barros, A.I.; Nunes, F.M.; Gonçalves, B.; Bennett, R.N.; Silva, A.P. Effect of cooking on total vitamin C contents and antioxidant activity of sweet chestnuts (Castanea sativa Mill.). Food Chem. 2011, 128, 165–172. [Google Scholar] [CrossRef] [PubMed]
- Ye, C.-L.; Hu, W.-L.; Dai, D.-H. Extraction of polysaccharides and the antioxidant activity from the seeds of Plantago asiatica L. Int. J. Biol. Macromol. 2011, 49, 466–470. [Google Scholar] [CrossRef] [PubMed]
- Marsh, A.J.; Hill, C.; Ross, R.P.; Cotter, P.D. Fermented beverages with health-promoting potential: Past and future perspectives. Trends Food Sci. Technol. 2014, 38, 113–124. [Google Scholar] [CrossRef]
- Ignat, M.V.; Salanta, L.C.; Pop, O.L.; Pop, C.R.; Tofana, M.; Mudura, E.; Coldea, T.E.; Borsa, A.; Pasqualone, A. Current functionality and potential improvements of non-alcoholic fermented cereal beverages. Foods 2020, 9, 1031. [Google Scholar] [CrossRef] [PubMed]
- O’Bryan, C.; Crandall, P.; Ricke, S.; Ndahetuye, J. Lactic acid bacteria (LAB) as antimicrobials in food products: Types and mechanisms of action. In Handbook of Natural Antimicrobials for Food Safety and Quality, 1st ed.; Taylor, M.T., Ed.; Woodhead Publishing: Cambridge, UK, 2015; Volume 6, pp. 117–129. [Google Scholar]
- Coban, H.B. Organic acids as antimicrobial food agents: Applications and microbial productions. Bioproc. Biosyst. Eng. 2020, 43, 569–591. [Google Scholar] [CrossRef] [PubMed]
- Gonçalves, B.; Borges, O.; Costa, H.S.; Bennett, R.; Santos, M.; Silva, A.P. Metabolite composition of chestnut (Castanea sativa Mill.) upon cooking: Proximate analysis, fibre, organic acids and phenolics. Food Chem. 2010, 122, 154–160. [Google Scholar] [CrossRef]
- Vekiari, S.; Gordon, M.; García-Macías, P.; Labrinea, H. Extraction and determination of ellagic acid contentin chestnut bark and fruit. Food Chem. 2008, 110, 1007–1011. [Google Scholar] [CrossRef]
- Xie, J.; Liu, S.; Dong, R.; Xie, J.; Chen, Y.; Peng, G.; Liao, W.; Xue, P.; Feng, L.; Yu, Q. Bound polyphenols from insoluble dietary fiber of defatted rice bran by solid-state fermentation with trichoderma viride: Profile, activity, and release mechanism. J. Agric. Food Chem. 2021, 69, 5026–5039. [Google Scholar] [CrossRef]
- Han, N.D.; Cheng, J.; Delannoy-Bruno, O.; Webber, D.; Terrapon, N.; Henrissat, B.; Rodionov, D.A.; Arzamasov, A.A.; Osterman, A.L.; Hayashi, D.K. Microbial liberation of N-methylserotonin from orange fiber in gnotobiotic mice and humans. Cell 2022, 185, 2495–2509.e11. [Google Scholar] [CrossRef]
- Li-Chan, E.C.; Cheung, I.W. Flavor-active properties of amino acids, peptides, and proteins. In Bioactive Proteins and Peptides as Functional Foods and Nutraceuticals, 1st ed.; Mine, Y., Li-Chan, E., Jiang, B., Eds.; Blackwell Publishing: New Jersey, NJ, USA, 2010; pp. 341–358. [Google Scholar]
- Liu, S.; Yang, L.; Zhou, Y.; He, S.; Li, J.; Sun, H.; Yao, S.; Xu, S. Effect of mixed moulds starters on volatile flavor compounds in rice wine. LWT 2019, 112, 108215. [Google Scholar] [CrossRef]
- Yang, Y.; Xia, Y.; Wang, G.; Yu, J.; Ai, L. Effect of mixed yeast starter on volatile flavor compounds in Chinese rice wine during different brewing stages. LWT 2017, 78, 373–381. [Google Scholar] [CrossRef]
- Buttery, R.G.; Stern, D.J.; Ling, L.C. Studies on flavor volatiles of some sweet corn products. J. Agric. Food Chem. 1994, 42, 791–795. [Google Scholar] [CrossRef]
- Ding, X.; Wu, C.; Huang, J.; Zhou, R. Changes in volatile compounds of Chinese Luzhou-flavor liquor during the fermentation and distillation process. J. Food Sci. 2015, 80, C2373–C2381. [Google Scholar] [CrossRef] [PubMed]
- Kim, D.-S.; Lee, J.T.; Hong, S.J.; Cho, J.-J.; Shin, E.-C. Thermal coursed effect of comprehensive changes in the flavor/taste of Cynanchi wilfordii. J. Food Sci. 2019, 84, 2831–2839. [Google Scholar] [CrossRef] [PubMed]
- Liang, J.; Zhao, Y.; Chang, X. Changes of aroma components in chestnut flower at different flowering stage. J. Fruit Sci. 2014, 31, 636–641. [Google Scholar]
- Min, D.B.; Ina, K.; Peterson, R.; Chang, S. The alkylbenzenes in roast beef. J. Food Sci. 1977, 42, 503–505. [Google Scholar] [CrossRef]
- Chen, S.; Wang, C.; Qian, M.; Li, Z.; Xu, Y. Characterization of the key aroma compounds in aged Chinese rice wine by comparative aroma extract dilution analysis, quantitative measurements, aroma recombination, and omission studies. J. Agric. Food Chem. 2019, 67, 4876–4884. [Google Scholar] [CrossRef]
- Jurado, J.; Ballesteros, O.; Alcazar, A.; Pablos, F.; Martín, M.; Vilchez, J.; Navalon, A. Characterization of aniseed-flavoured spirit drinks by headspace solid-phase microextraction gas chromatography–mass spectrometry and chemometrics. Talanta 2007, 72, 506–511. [Google Scholar] [CrossRef]
- Cha, Y.-J.; Kim, H.; Park, S.-Y.; Kim, S.-J.; You, Y.-J. Identification of irradiation-induced volatile flavor compounds in beef. J. Korean Soc. Food Sci. Nutr. 2000, 29, 1042–1049. [Google Scholar]
- Xu, X.; Xu, R.; Jia, Q.; Feng, T.; Huang, Q.; Ho, C.-T.; Song, S. Identification of dihydro-β-ionone as a key aroma compound in addition to C8 ketones and alcohols in Volvariella volvacea mushroom. Food Chem. 2019, 293, 333–339. [Google Scholar] [CrossRef]
- Quispe-Condori, S.; Foglio, M.A.; Rosa, P.T.; Meireles, M.A.A. Obtaining β-caryophyllene from Cordia verbenacea de Candolle by supercritical fluid extraction. J. Supercrit. Fluids 2008, 46, 27–32. [Google Scholar] [CrossRef]
- Aung, T.; Eun, J.-B. Production and characterization of a novel beverage from laver (Porphyra dentata) through fermentation with kombucha consortium. Food Chem. 2021, 350, 129274. [Google Scholar] [CrossRef] [PubMed]
- Amamcharla, J.K.; Metzger, L.E. Modification of the ferric reducing antioxidant power (FRAP) assay to determine the susceptibility of raw milk to oxidation. Int. Dairy J. 2014, 34, 177–179. [Google Scholar] [CrossRef]
- Kremer, M. Mechanism of the Fenton reaction. Evidence for a new intermediate. Phys. Chem. Chem. Phys. 1999, 1, 3595–3605. [Google Scholar] [CrossRef]
- Kandi, S.; Charles, A. In vitro antioxidant activity of Kyoho grape extracts in DPPH and ABTS assays: Estimation methods for EC50 using advanced statistical programs. Food Chem. 2019, 275, 41–49. [Google Scholar]
- Gulcin, İ. Antioxidants and antioxidant methods: An updated overview. Arch. Toxicol. 2020, 94, 651–715. [Google Scholar] [PubMed]
- Cilla, A.; Rodrigo, M.J.; Zacarías, L.; De Ancos, B.; Sánchez-Moreno, C.; Barberá, R.; Alegría, A. Protective effect of bioaccessible fractions of citrus fruit pulps against H2O2-induced oxidative stress in Caco-2 cells. Food Res. Int. 2018, 103, 335–344. [Google Scholar] [CrossRef]
- Vasiee, A.; Falah, F.; Behbahani, B.A.; Tabatabaee-Yazdi, F. Probiotic characterization of Pediococcus strains isolated from Iranian cereal-dairy fermented product: Interaction with pathogenic bacteria and the enteric cell line Caco-2. J. Biosci. Bioeng. 2020, 130, 471–479. [Google Scholar] [CrossRef]
- Rhee, S.G. H2O2, a necessary evil for cell signaling. Science 2006, 312, 1882–1883. [Google Scholar] [CrossRef]
- Wang, L.; Wise, J.T.; Zhang, Z.; Shi, X. Progress and prospects of reactive oxygen species in metal carcinogenesis. Curr. Pharmacol. Rep. 2016, 2, 178–186. [Google Scholar] [CrossRef]
- Kang, X.; Gao, Z.; Zheng, L.; Zhang, X.; Li, H. Regulation of Lactobacillus plantarum on the reactive oxygen species related metabolisms of Saccharomyces cerevisiae. LWT 2021, 147, 111492. [Google Scholar] [CrossRef]
- Ighodaro, O.; Akinloye, O. First line defence antioxidants-superoxide dismutase (SOD), catalase (CAT) and glutathione peroxidase (GPX): Their fundamental role in the entire antioxidant defence grid. Alex. J. Med. 2018, 54, 287–293. [Google Scholar] [CrossRef]
- Giustarini, D.; Tsikas, D.; Colombo, G.; Milzani, A.; Dalle-Donne, I.; Fanti, P.; Rossi, R. Pitfalls in the analysis of the physiological antioxidant glutathione (GSH) and its disulfide (GSSG) in biological samples: An elephant in the room. J. Chromatogr. B 2016, 1019, 21–28. [Google Scholar] [CrossRef]
- De Vasconcelos, M.d.C.B.; Nunes, F.; Viguera, C.G.; Bennett, R.N.; Rosa, E.A.; Ferreira-Cardoso, J.V. Industrial processing effects on chestnut fruits (Castanea sativa Mill.) 3. Minerals, free sugars, carotenoids and antioxidant vitamins. Int. J. Food Sci. Technol. 2010, 45, 496–505. [Google Scholar] [CrossRef]
- De Vasconcelos, M.d.C.B.; Richard, B.; Stéphane, Q.; Rémi, J. Evaluating the potential of chestnut (Castanea sativa Mill.) fruit pericarp and integument as a source of tocopherols, pigments and polyphenols. Ind. Crops Prod. 2010, 31, 301–311. [Google Scholar] [CrossRef]
- Feng, Y.X.; Ruan, G.R.; Jin, F.; Xu, J.; Wang, F.J. Purification, identification, and synthesis of five novel antioxidant peptides from Chinese chestnut (Castanea mollissima Blume) protein hydrolysates. LWT 2018, 92, 40–46. [Google Scholar] [CrossRef]
- Feng, T.; Wang, J. Oxidative stress tolerance and antioxidant capacity of lactic acid bacteria as probiotic: A systematic review. Gut Microbes 2020, 12, 1801944. [Google Scholar] [CrossRef]
- Hu, M.; Yang, X.; Chang, X. Bioactive phenolic components and potential health effects of chestnut shell: A review. J. Food Biochem. 2021, 45, e13696. [Google Scholar] [CrossRef] [PubMed]





| Names | FCRB (mg/mL) | TFRB (mg/mL) | Names | FCRB (mg/L) | TFRB (smg/L) |
|---|---|---|---|---|---|
| Asp | 276.543 ± 11.352 a | 201.364 ± 9.852 b | Leu | 125.211 ± 6.112 a | 210.366 ± 5.261 b |
| Ser | 91.245 ± 3.745 a | 185.343 ± 2.011 b | Thr | 71.322 ± 3.214 a | 130.651 ± 9.889 b |
| Glu | 375.514 ± 16.784 a | 409.322 ± 25.321 a | Phe | 106.255 ± 12.333 a | 265.112 ± 5.332 b |
| Gly | 87.417 ± 6.697 a | 233.364 ± 13.452 b | Lys | 81.233 ± 4.356 a | 206.355 ± 12.114 b |
| Ala | 121.353 ± 4.003 a | 265.411 ± 12.342 b | Val | 143.112 ± 20.112 a | 251.462 ± 6.004 b |
| Cys | 42.611 ± 2.988 a | 50.115 ± 4.350 a | Met | 52.233 ± 2.331 a | 112.334 ± 12.112 b |
| Tyr | 54.213 ± 2.744 a | 251.355 ± 12.258 b | Umami FAAs | 652.057 ± 31.224 a | 610.686 ± 42.366 a |
| His | 223.911 ± 33.441 a | 226.009 ± 15.331 a | Bitter FAAs | 995.304 ± 19.356 a | 1932.607 ± 88.356 b |
| Pro | 102.233 ± 4.554 a | 266.400 ± 2.134 b | Sweet FAAs | 525.803 ± 22.331 a | 1193.503 ± 90.522 b |
| Arg | 184.256 ± 8.311 a | 346.351 ± 20.005 b | EAAs | 880.390 ± 25.336 a | 1577.886 ± 73.443 b |
| Ile | 77.113 ± 3.335 a | 175.597 ± 3.110 b | SUM FAAs | 2215.775 ± 98.455 a | 3786.911 ± 162.205 b |
| Names | Retention Time (min) | Relative Content (ng/L) | Matched Degree | |
|---|---|---|---|---|
| FCRB | TFRB | |||
| Alcohols | 8 | 10 | ||
| Isoamyl alcohol | 8.776 | 0.837 | 2.505 | 90 |
| 2-Octanol | 24.040 | 12.512 | 10.275 | 90 |
| Benzene ethanol | 31.974 | 1.12 | 1.122 | 91 |
| 1-Propanol | 5.4461 | 0.095 | - | 85 |
| 2-Methyl-1-propanol | 6.268 | 0.111 | - | 83 |
| 1-Heptanol | 21.491 | 0.113 | - | 91 |
| 1-Octanol | 28.946 | 0.752 | - | 91 |
| 2-Nonanol | 31.146 | 0.957 | - | 83 |
| 2-Methyl-1-butanol | 11.116 | - | 0.966 | 90 |
| 1-Octen-3-ol | 24.034 | - | 0.345 | 90 |
| 1-Decanol | 36.757 | - | 0.431 | 95 |
| 2,4-Hexadien-1-ol | 45.609 | - | 0.315 | 93 |
| 2-Nonen-1-ol | 50.318 | - | 0.502 | 92 |
| Cyclooctanemethanol | 51.943 | - | 0.157 | 88 |
| trans-3-Methylcyclohexanol | 57.494 | - | 0.192 | 92 |
| Total content | 16.497 | 16.810 | ||
| Esters | 11 | 3 | ||
| Ethyl hexadecanoate | 67.47 | 0.96 | 24.799 | 90 |
| Ethyl tetradecanoate | 62.635 | 0.005 | 4.492 | 98 |
| Ethyl Acetate | 6.062 | 0.042 | - | 90 |
| Ethyl 4-hydroxy-dl-mandelate | 30.646 | 0.015 | - | 78 |
| 2-Ethylhexyl acetate | 33.526 | 0.218 | - | 60 |
| 1-Methylheptyl acetate | 33.581 | 0.106 | - | 75 |
| Ethyl benzoate | 36.203 | 0.289 | - | 94 |
| Ethyl caprate | 49.559 | 0.044 | - | 93 |
| Dodecyl-hexanoate | 53.551 | 0.026 | - | 65 |
| Butyl butyryl lactate | 56.897 | 0.173 | - | 80 |
| Ethyl palmitate | 67.469 | 0.965 | - | 98 |
| Methyl linolate | 71.176 | - | 3.077 | 80 |
| Total content | 2.843 | 32.368 | ||
| Aldehyde | 5 | 9 | ||
| 2-Heptenal | 20.55 | 0.067 | 1.511 | 97 |
| Benzaldehyde | 21.00 | 0.316 | 3.460 | 94 |
| (E)-2-Octenal | 28.049 | 0.065 | 1.118 | 84 |
| Furfural | 12.903 | 0.779 | - | 90 |
| p-Tolualdehyde | 41.147 | 0.036 | - | 75 |
| Hexanal | 13.901 | - | 1.396 | 80 |
| Nonanal | 28.593 | - | 4.398 | 85 |
| (E)-2-Nonenal | 32.467 | - | 0.611 | 90 |
| α-Ethyl-benzeneacetaldehyde | 42.375 | - | 0.241 | 92 |
| Tetradecanal | 65.503 | - | 0.985 | 94 |
| cis-11-Hexadecenal | 70.252 | - | 0.222 | 97 |
| Total content | 1.263 | 13.942 | ||
| Benzenes | 22 | 1 | ||
| Toluene | 10.05 | 0.161 | 0.242 | 95 |
| Ethylbenzene | 14.551 | 0.035 | - | 87 |
| 1,3-Dimethyl-benzene | 15.050 | 0.042 | - | 94 |
| 1,2-Dimethyl-benzene | 16.242 | 0.043 | - | 95 |
| Propyl-benzene | 20.396 | 0.051 | - | 90 |
| 1-Methoxypropylbenzene | 28.492 | 0.103 | - | 85 |
| 1-Methyl-3-(1-methylethyl)-benzene | 32.213 | 0.111 | - | 83 |
| 1,2,3,4-Tetramethyl-benzene | 32.483 | 0.121 | - | 95 |
| 1-Isopropyl-2-methyl-benzene | 34.051 | 0.279 | - | 85 |
| 2,5-Dimethoxyphenylethene | 34.517 | 0.367 | - | 90 |
| Pentyl- benzene | 35.179 | 2.712 | - | 93 |
| 1-Methyl-4-(1-methylpropyl)- benzene | 35.313 | 0.304 | - | 85 |
| 1-Methyl-4-butyl benzene | 35.809 | 0.763 | - | 88 |
| 1-Methyl-2-(1-ethylpropyl)- benzene | 40.171 | 0.693 | - | 94 |
| 1,4-Dimethyl-2-(2-methylpropyl)- Benzene | 41.397 | 0.194 | - | 93 |
| 1,3,5-Triethyl- benzene | 41.536 | 0.032 | - | 88 |
| (1-Ethylbutyl)-benzene | 42.085 | 0.026 | - | 85 |
| Hexyl-benzene | 42.72 | 1.377 | - | 90 |
| (1,3-Dimethylbutyl)- benzene | 43.035 | 0.828 | - | 86 |
| 1-Ethyl-4-(2-methylpropyl)- benzene | 43.348 | 0.08 | - | 95 |
| 2-Ethyl-P-Xylene | 47.016 | 0.052 | - | 86 |
| Heptyl-benzene | 48.277 | 0.157 | - | 83 |
| Total content | 8.531 | 0.242 | ||
| Olefins | 18 | 5 | ||
| 1–Octene | 10.95 | 0.530 | - | 96 |
| (E)-2-Octene | 11.616 | 1.175 | - | 96 |
| 2-Methyl-1-Octene | 15.891 | 0.024 | - | 81 |
| D-Limonene | 26.006 | 0.123 | - | 98 |
| 5-Undecene | 31.326 | 0.332 | - | 95 |
| (E) -1-Phenyl-1-butene | 32.852 | 0.049 | - | 95 |
| 2,5-Dimethylstyrene | 34.571 | 0.367 | - | 85 |
| 1-Dodecene | 37.91 | 1.442 | - | 95 |
| (E) -3-Dodecene | 38.211 | 0.262 | - | 95 |
| (Z)-2- Dodecene | 38.333 | 0.072 | - | 97 |
| Trans-1-phenyl-1-pentene | 40.391 | 0.073 | - | 90 |
| (E)-6-Tridecene | 44.211 | 0.234 | - | 96 |
| (E)-5-Tridecene | 44.486 | 0.269 | - | 97 |
| 1-Tridecene | 44.587 | 1.232 | - | 97 |
| (E)-3-Tridecene | 44.889 | 0.098 | - | 87 |
| (Z)-2-Tridecene | 45.289 | 0.624 | - | 92 |
| (Z)-3-Tridecene | 45.791 | 0.352 | - | 95 |
| 4-Propylindene | 46.056 | 0.037 | - | 89 |
| 1,3-cis, 5-cis-Octatriene | 24.529 | - | 0.165 | 85 |
| 2,6,10-Trimethyl-dodecane | 29.279 | - | 0.232 | 90 |
| β-Caryophyllene | 49.742 | - | 2.148 | 95 |
| D-Cadinene | 55.993 | - | 0.618 | 97 |
| 1,7-Dimethyl-7-(4-methyl-3-pentenyl)-tricyclo [2.2.1.0(2,6)] heptane | 60.235 | - | 1.625 | 92 |
| Total content | 7.295 | 4.788 | ||
| Ketones | 3 | 3 | ||
| 6-Methyl-2-heptanone | 23.266 | 0.018 | - | 77 |
| 1-Phenylethanone | 28.663 | 0.148 | - | 93 |
| 2-Nonanone | 30.322 | 0.697 | - | 97 |
| 3,6-dimethyloxan-2-one | 14.688 | - | 0.249 | 95 |
| 2-Octanone | 21.663 | - | 5.364 | 97 |
| 3,7-Dihydro-1,3,7-trimethyl-1H-Purine-2,6-dione | 65.081 | - | 0.324 | 95 |
| Total content | 0.863 | 5.937 | ||
| Alkanes | 3 | 5 | ||
| Dodecane | 38.594 | 1.008 | - | 96 |
| Tridecane | 45.098 | 14.187 | - | 98 |
| Tetradecane | 49.873 | 0.048 | - | 94 |
| 2,4-Dimethyl-heptane, | 11.668 | - | 0.172 | 90 |
| 3,3-Dimethyl-hexane | 26.109 | - | 0.202 | 92 |
| 2,3,5-Trimethyl-decane | 36.420 | - | 0.291 | 94 |
| Undecane | 49.935 | - | 0.767 | 95 |
| 10-Methylnonadecane | 54.347 | - | 0.254 | 94 |
| Total content | 15.243 | 1.686 | ||
| Organic acids | 1 | 1 | ||
| Benzoic acid | 35.059 | 0.179 | - | 86 |
| Undecanoic acid | 67.879 | - | 1.786 | 90 |
| Total content | 0.179 | 1.786 | ||
| Others | 3 | 1 | ||
| 2-Methylbenzofuran | 31.669 | 0.211 | - | 96 |
| 2-Ethyl-5-methylpyridine | 34.835 | 0.336 | - | 75 |
| Naphthalene | 37.552 | 0.446 | - | 95 |
| Phthalan | 37.341 | - | 0.268 | 90 |
| Total content | 0.993 | 0.268 | ||
Disclaimer/Publisher’s Note: The statements, opinions and data contained in all publications are solely those of the individual author(s) and contributor(s) and not of MDPI and/or the editor(s). MDPI and/or the editor(s) disclaim responsibility for any injury to people or property resulting from any ideas, methods, instructions or products referred to in the content. |
© 2022 by the authors. Licensee MDPI, Basel, Switzerland. This article is an open access article distributed under the terms and conditions of the Creative Commons Attribution (CC BY) license (https://creativecommons.org/licenses/by/4.0/).
Share and Cite
Zou, J.; Hu, Y.; Li, K.; Liu, Y.; Li, M.; Pan, X.; Chang, X. Chestnuts in Fermented Rice Beverages Increase Metabolite Diversity and Antioxidant Activity While Reducing Cellular Oxidative Damage. Foods 2023, 12, 164. https://doi.org/10.3390/foods12010164
Zou J, Hu Y, Li K, Liu Y, Li M, Pan X, Chang X. Chestnuts in Fermented Rice Beverages Increase Metabolite Diversity and Antioxidant Activity While Reducing Cellular Oxidative Damage. Foods. 2023; 12(1):164. https://doi.org/10.3390/foods12010164
Chicago/Turabian StyleZou, Jing, Yinghong Hu, Kuo Li, Yang Liu, Miao Li, Xinyuan Pan, and Xuedong Chang. 2023. "Chestnuts in Fermented Rice Beverages Increase Metabolite Diversity and Antioxidant Activity While Reducing Cellular Oxidative Damage" Foods 12, no. 1: 164. https://doi.org/10.3390/foods12010164
APA StyleZou, J., Hu, Y., Li, K., Liu, Y., Li, M., Pan, X., & Chang, X. (2023). Chestnuts in Fermented Rice Beverages Increase Metabolite Diversity and Antioxidant Activity While Reducing Cellular Oxidative Damage. Foods, 12(1), 164. https://doi.org/10.3390/foods12010164
