Effect of High-Voltage Electrostatic Field Heating on the Oxidative Stability of Duck Oils Containing Diacylglycerol
Abstract
:1. Introduction
2. Materials and Methods
2.1. Materials
2.2. DAG Preparation
2.3. Hybrid Duck Oils Preparation
2.4. HVEF Heating
2.5. POV
2.6. Color
2.7. Gas Chromatography
2.8. Low-Field Nuclear Magnetic Resonance (LF-NMR)
2.9. Statistical Analysis
3. Results and Discussion
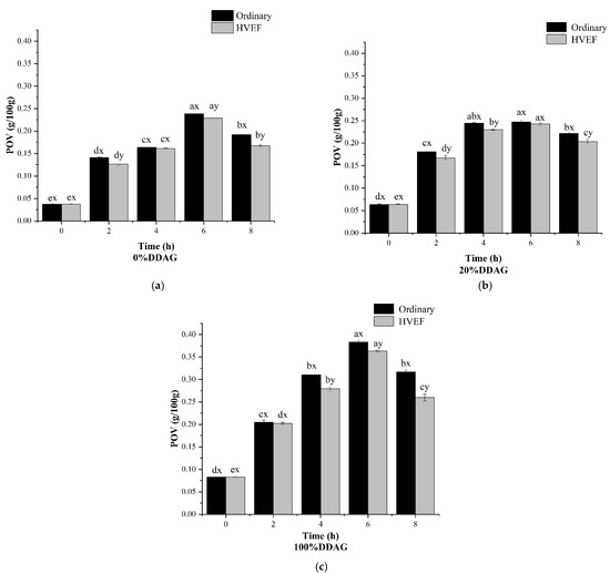
3.1. POV
3.2. Color
3.3. Gas Chromatography
3.4. LF-NMR
4. Conclusions
Author Contributions
Funding
Institutional Review Board Statement
Informed Consent Statement
Data Availability Statement
Conflicts of Interest
References
- Qiao, Y.; Huang, J.; Chen, Y.; Chen, H.; Zhao, L.; Huang, M.; Zhou, G. Meat quality, fatty acid composition and sensory evaluation of Cherry Valley, Spent Layer and Crossbred ducks. Anim. Sci. J. 2017, 88, 156–165. [Google Scholar] [CrossRef] [PubMed]
- Baéza, E.; Huang, J.F. Nutritive value of duck meat and eggs. In Duck Production and Management Strategies; Springer: Singapore, 2022; pp. 385–402. [Google Scholar]
- Jin, S.; Pang, Q.; Yang, H.; Diao, X.; Shan, A.; Feng, X. Effects of dietary resveratrol supplementation on the chemical composition, oxidative stability and meat quality of ducks (Anas platyrhynchos). Food Chem. 2021, 363, 130263. [Google Scholar] [CrossRef] [PubMed]
- Lee, S.J.; Kim, E.K.; Hwang, J.W.; Oh, H.J.; Cheong, S.H.; Moon, S.H.; Park, P.J. Purification and characterisation of an antioxidative peptide from enzymatic hydrolysates of duck processing by-products. Food Chem. 2010, 123, 216–220. [Google Scholar] [CrossRef]
- Wang, B.; Zhang, M.; Ge, W.; He, K.; Cheng, F. Microencapsulated duck oil diacylglycerol: Preparation and application as anti-obesity agent. LWT-Food Sci. Technol. 2019, 101, 646–652. [Google Scholar] [CrossRef]
- Matsuzawa, Y.; Nakamura, T.; Shimomura, I.; Kotani, K. Visceral fat accumulation and cardiovascular disease. Obes. Res. 1995, 3, 645S–647S. [Google Scholar] [CrossRef]
- Coppola, S.; Avagliano, C.; Calignano, A.; Berni, C.R. The protective role of butyrate against obesity and obesity-related diseases. Molecules 2021, 26, 682. [Google Scholar] [CrossRef]
- Li, M.; Zhai, S.; Xie, Q.; Tian, L.; Li, X.; Zhang, J.; Wang, W. Effects of dietary n-6: N-3 PUFA ratios on lipid levels and fatty acid profile of Cherry Valley ducks at 15–42 days of age. J. Agric. Food Chem. 2017, 65, 9995–10002. [Google Scholar] [CrossRef]
- Chen, X.; Du, X.; Shen, J.; Lu, L.; Wang, W. Effect of various dietary fats on fatty acid profile in duck liver: Efficient conversion of short-chain to long-chain omega-3 fatty acids. Exp. Biol. Med. 2017, 242, 80–87. [Google Scholar] [CrossRef] [Green Version]
- Saitou, K.; Homma, R.; Kudo, N.; Katsuragi, Y.; Sato, K. Retardation of crystallization of diacylglycerol oils using polyglycerol fatty acid esters. J. Am. Oil Chem. Soc. 2014, 91, 711–719. [Google Scholar] [CrossRef]
- Kawashima, H.; Takase, H.; Yasunaga, K.; Wakaki, Y.; Katsuragi, Y.; Mori, K.; Koyama, W. One-year ad libitum consumption of diacylglycerol oil as part of a regular diet results in modest weight loss in comparison with consumption of a triacylglycerol control oil in overweight Japanese subjects. J. Am. Diet. Assoc. 2008, 108, 57–66. [Google Scholar] [CrossRef]
- Morita, O.; Soni, M.G. Safety assessment of diacylglycerol oil as an edible oil: A review of the published literature. Food Chem. Toxicol. 2009, 47, 9–21. [Google Scholar] [CrossRef] [PubMed]
- Liu, N.; Cui, J.; Li, G.; Li, D.; Chang, D.; Li, C.; Chen, X. The application of high purity diacylglycerol oil in whipped cream: Effect on the emulsion properties and whipping characteristics. CyTA-J. Food 2019, 17, 60–68. [Google Scholar] [CrossRef]
- Xue, X.; Dong, J.; He, H.; Wang, J.; Kong, D.; Wang, L. Emulsification and stabilization of diacylglycerol-in-water pickering emulsions stabilized by ultrafine grinding oat bran insoluble fiber-gelatinized starch hybrid granules. Food Hydrocoll. 2021, 112, 106322. [Google Scholar] [CrossRef]
- Lee, W.J.; Zhang, Z.; Lai, O.M.; Tan, C.P.; Wang, Y. Diacylglycerol in food industry: Synthesis methods, functionalities, health benefits, potential risks and drawbacks. Trends Food Sci. Technol. 2020, 97, 114–125. [Google Scholar] [CrossRef]
- Qi, J.F.; Wang, X.Y.; Shin, J.A.; Lee, Y.H.; Jang, Y.S.; Lee, J.H.; Lee, K.T. Relative oxidative stability of diacylglycerol and triacylglycerol oils. J. Food Sci. 2015, 80, 510–514. [Google Scholar] [CrossRef]
- Long, Z.; Zhao, M.; Liu, N.; Liu, D.; Sun-Waterhouse, D.; Zhao, Q. Physicochemical properties of peanut oil-based diacylglycerol and their derived oil-in-water emulsions stabilized by sodium caseinate. Food Chem. 2015, 184, 105–113. [Google Scholar] [CrossRef]
- Huang, Y.C.; Yang, Y.H.; Sridhar, K.; Tsai, P.J. Synergies of modified atmosphere packaging and high-voltage electrostatic field to extend the shelf-life of fresh-cut cabbage and baby corn. LWT-Food Sci. Technol. 2021, 138, 110559. [Google Scholar] [CrossRef]
- Qi, M.; Zhao, R.; Liu, Q.; Yan, H.; Zhang, Y.; Wang, S.; Yuan, Y. Antibacterial activity and mechanism of high voltage electrostatic field (HVEF) against Staphylococcus aureus in medium plates and food systems. Food Control 2021, 120, 107566. [Google Scholar] [CrossRef]
- Jia, G.; He, X.; Nirasawa, S.; Tatsumi, E.; Liu, H.; Liu, H. Effects of high-voltage electrostatic field on the freezing behavior and quality of pork tenderloin. J. Food Eng. 2017, 204, 18–26. [Google Scholar] [CrossRef] [Green Version]
- Ko, W.C.; Yang, S.Y.; Chang, C.K.; Hsieh, C.W. Effects of adjustable parallel high voltage electrostatic field on the freshness of tilapia (Orechromis niloticus) during refrigeration. LWT-Food Sci. Technol. 2016, 66, 151–157. [Google Scholar] [CrossRef]
- Shih, J.Y.; Lai, S.L. Food Cooking Using the Technology of High-Voltage Electrostatic Field. Appl. Mech. Mater. 2017, 863, 208–213. [Google Scholar] [CrossRef]
- Tavakoli, A.; Sahari, M.A.; Barzegar, M.; Ahmadi Gavlighi, H.; Marzocchi, S.; Marziali, S.; Caboni, M.F. The effect of refining process on the volatile compounds, oxidation stability and fatty acids profile of soybean oil using an electrostatic field. J. Food Processing Preserv. 2022, 46, e16160. [Google Scholar] [CrossRef]
- Wang, Q.; Li, Y.; Sun, D.W.; Zhu, Z. Enhancing food processing by pulsed and high voltage electric fields: Principles and applications. Crit. Rev. Food Sci. Nutr. 2018, 58, 2285–2298. [Google Scholar] [CrossRef] [PubMed]
- Taghvaei, M.; Jafari, S.M.; Mahoonak, A.S.; Nikoo, A.M.; Rahmanian, N.; Hajitabar, J.; Meshginfar, N. The effect of natural antioxidants extracted from plant and animal resources on the oxidative stability of soybean oil. LWT-Food Sci. Technol. 2014, 56, 124–130. [Google Scholar] [CrossRef]
- Li, T.; Guo, Q.; Qu, Y.; Li, Y.; Wang, X.; Sun, Z.; Wang, Q. An improved gas chromatography-based approach for characterisation of fatty acids in fresh basil seed oil. Int. J. Food Sci. Technol. 2021, 56, 2492–2503. [Google Scholar] [CrossRef]
- Liu, H.; Chen, Y.; Shi, C.; Yang, X.; Han, D. FT-IR and Raman spectroscopy data fusion with chemometrics for simultaneous determination of chemical quality indices of edible oils during thermal oxidation. LWT-Food Sci. Technol. 2020, 119, 108906. [Google Scholar] [CrossRef]
- Zhang, N.; Li, Y.; Wen, S.; Sun, Y.; Chen, J.; Gao, Y.; Yu, X. Analytical methods for determining the peroxide value of edible oils: A mini review. Food Chem. 2021, 358, 129834. [Google Scholar] [CrossRef]
- Karakaya, S.; Şimşek, S. Changes in total polar compounds, peroxide value, total phenols and antioxidant activity of various oils used in deep fat frying. J. Am. Oil Chem. Soc. 2011, 88, 1361–1366. [Google Scholar] [CrossRef]
- Blasi, F.; Rocchetti, G.; Montesano, D.; Lucini, L.; Chiodelli, G.; Ghisoni, S.; Cossignani, L. Changes in extra-virgin olive oil added with lycium barbarum L. carotenoids during frying: Chemical analyses and metabolomic approach. Food Res. Int. 2018, 105, 507–516. [Google Scholar] [CrossRef]
- Chen, Y.; Yang, Y.; Nie, S.; Yang, X.; Wang, Y.; Yang, M.; Xie, M. The analysis of trans fatty acid profiles in deep frying palm oil and chicken fillets with an improved gas chromatography method. Food Control 2014, 44, 191–197. [Google Scholar] [CrossRef]
- Abedi, E.; Sahari, M.A.; Barzegar, M.; Azizi, M.H. Designing of high voltage electric field for soybean and sunflower oil bleaching. Innov. Food Sci. Emerg. Technol. 2016, 36, 173–180. [Google Scholar] [CrossRef]
- Singh, T.P.; Deshwal, G.K.; Bam, J.; Paul, V. A comparative appraisal of traditional “ghee” derived from the three genotypes (Arunachali yak, yak–cow hybrid, and cow) reared under semi-intensive conditions. Eur. J. Lipid Sci. Technol. 2021, 124, 2100101. [Google Scholar] [CrossRef]
- Liu, Y.; Ma, X.; Li, J.; Fan, L.; Huang, S. Study on the antioxidative mechanism of tocopherol loaded ethyl cellulose particles in thermal-oxidized soybean oil. Carbohydr. Polym. 2022, 276, 118734. [Google Scholar] [CrossRef] [PubMed]
- Turan, S.; Keskin, S.; Solak, R. Determination of the changes in sunflower oil during frying of leavened doughs using response surface methodology. J. Food Sci. Technol. 2022, 59, 65–74. [Google Scholar] [CrossRef] [PubMed]
- Xu, T.T.; Li, J.; Fan, Y.W.; Zheng, T.W.; Deng, Z.Y. Comparison of oxidative stability among edible oils under continuous frying conditions. Int. J. Food Prop. 2015, 18, 1478–1490. [Google Scholar] [CrossRef]
- Casal, S.; Malheiro, R.; Sendas, A.; Oliveira, B.P.; Pereira, J.A. Olive oil stability under deep-frying conditions. Food Chem. Toxicol. 2010, 48, 2972–2979. [Google Scholar] [CrossRef]
- Tsuzuki, W.; Nagata, R.; Yunoki, R.; Nakajima, M.; Nagata, T. Cis/trans-Isomerisation of triolein, trilinolein and trilinolenin induced by heat treatment. Food Chem. 2008, 108, 75–80. [Google Scholar] [CrossRef]
- Brühl, L. Fatty acid alterations in oils and fats during heating and frying. Eur. J. Lipid Sci. Technol. 2014, 116, 707–715. [Google Scholar] [CrossRef]
- Aswathy, J.; Surendra Singh, P. Qualitative analysis of edible oils using low field nmr spectroscopy and multivariate statistical methods. In Intelligent Sustainable Systems; Sai Krishna, V., Kumar, N., Eds.; Springer: Singapore, 2022; pp. 791–803. [Google Scholar]
- Gu, H.; Huang, X.; Sun, Y.; Chen, Q.; Wei, Z.; Lv, R. Intelligent evaluation of total polar compounds (TPC) content of frying oil based on fluorescence spectroscopy and low-field NMR. Food Chem. 2021, 342, 128242. [Google Scholar] [CrossRef]
- Wu, G.; Han, S.; Zhang, Y.; Liu, T.; Karrar, E.; Jin, Q.; Wang, X. Effect of phenolic extracts from Camellia oleifera seed cake on the formation of polar compounds, core aldehydes, and monoepoxy oleic acids during deep-fat frying. Food Chem. 2022, 372, 131143. [Google Scholar] [CrossRef]
- Sun, Y.; Zhang, M.; Fan, D. Effect of ultrasonic on deterioration of oil in microwave vacuum frying and prediction of frying oil quality based on low field nuclear magnetic resonance (LF-NMR). Ultrason. Sonochem. 2019, 51, 77–89. [Google Scholar] [CrossRef] [PubMed]
- Li, P.; Yang, X.; Lee, W.J.; Huang, F.; Wang, Y.; Li, Y. Comparison between synthetic and rosemary-based antioxidants for the deep frying of French fries in refined soybean oils evaluated by chemical and non-destructive rapid methods. Food Chem. 2021, 335, 127638. [Google Scholar] [CrossRef] [PubMed]


| Oils | DAG Content |
|---|---|
| 0%DDAG | 0 |
| 20%DDAG | 17% |
| 100%DDAG | 86% |
| Oils | Time (h) | L* | a* | b* | |||
|---|---|---|---|---|---|---|---|
| Ordinary | HVEF | Ordinary | HVEF | Ordinary | HVEF | ||
| 0%DDAG | 0 | 81.40 ± 1.34 ax | 81.40±1.34 ax | −5.12±1.04 ex | −5.12±1.04 ax | 21.54±1.05 ex | 21.54±1.05 ex |
| 2 | 79.26 ± 0.54 ay | 81.37 ± 0.15 ax | −4.04 ± 0.27 dx | −4.42 ± 0.52 ax | 28.44 ± 0.32 dx | 26.51 ± 0.77 dy | |
| 4 | 77.38 ± 0.43 by | 81.20 ± 0.32 abx | −1.07 ± 0.44 cx | −2.36 ± 0.32 by | 50.65 ± 5.84 cx | 36.01 ± 0.02 cy | |
| 6 | 75.53 ± 0.72 cy | 79.51 ± 0.18 bx | 2.06 ± 0.12 bx | 1.05 ± 0.51 cy | 65.02 ± 2.66 bx | 44.86 ± 2.16 dy | |
| 8 | 70.89 ± 0.44 dy | 78.24 ± 0.32 cx | 5.78 ± 0.66 ax | 3.93 ± 0.17 dy | 73.62 ± 0.66 ax | 57.65 ± 1.45 ey | |
| 20%DDAG | 0 | 79.29 ± 1.61 ax | 79.29 ± 1.61 ax | −5.11 ± 0.37 ex | −5.11 ± 0.37 ex | 22.60 ± 0.86 ex | 22.60 ± 0.86 ex |
| 2 | 73.34 ± 1.10 bx | 73.51 ± 1.02 bx | −3.63 ± 0.21 dx | −4.12 ± 0.13 dy | 37.27 ± 1.03 dx | 33.43 ± 1.21 dy | |
| 4 | 66.47 ± 0.12 cy | 68.99 ± 0.83 cx | 1.35 ± 0.58 cx | −0.13 ± 1.35 cy | 57.35 ± 1.20 cx | 49.51 ± 0.84 cy | |
| 6 | 62.28 ± 0.49 dy | 64.63 ± 0.72 dx | 4.39 ± 0.14 bx | 3.70 ± 0.65 by | 61.75 ± 1.63 bx | 55.64 ± 1.19 by | |
| 8 | 57.06 ± 0.26 ey | 60.65 ± 0.79 ex | 10.58 ± 0.71 ax | 8.59 ± 0.59 ay | 77.11 ± 0.12 ax | 63.42 ± 0.52 ay | |
| 100%DDAG | 0 | 78.27 ± 0.46 ax | 78.27 ± 0.46 ax | −2.91 ± 0.69 ex | −2.91 ± 0.69 ex | 29.06 ± 1.40 ex | 29.06 ± 1.40 ex |
| 2 | 71.58 ± 1.10 by | 73.40 ± 0.60 bx | −1.11 ± 1.80 dx | −3.54 ± 1.14 dy | 49.13 ± 0.88 dx | 50.58 ± 1.11 dy | |
| 4 | 62.17 ± 0.95 cy | 66.98 ± 0.39 cx | 5.97 ± 1.03 cx | 2.56 ± 0.44 cy | 62.17 ± 2.51 cx | 64.93 ± 0.25 cy | |
| 6 | 51.57 ± 0.81 dy | 59.08 ± 1.89 dx | 15.34 ± 0.73 bx | 9.30 ± 0.82 by | 76.47 ± 1.62 bx | 72.46 ± 0.59 by | |
| 8 | 44.61 ± 1.42 ey | 48.46 ± 1.55 ex | 18.54 ± 0.49 ax | 14.68 ± 0.96 ay | 85.08 ± 0.23 ax | 76.90 ± 0.12 ay | |
| Oils | FA | Ordinary Heating | HVEF Heating | ||||||||
|---|---|---|---|---|---|---|---|---|---|---|---|
| 0 h | 2 h | 4 h | 6 h | 8 h | 0 h | 2 h | 4 h | 6 h | 8 h | ||
| 0%DDAG | ∑MUFA | 44.28 ± 0.05 ax | 43.87 ± 0.02 by | 43.80 ± 0.03 cy | 43.51 ± 0.06 dy | 42.58 ± 0.01 ey | 44.28 ± 0.05 ax | 43.93 ± 0.01 bx | 43.84 ± 0.04 cx | 43.74 ± 0.03 dx | 42.70 ± 0.03 ex |
| ∑PUFA | 21.27 ± 0.09 ax | 19.78 ± 0.07 by | 18.49 ± 0.12 cy | 15.97 ± 0.04 dy | 14.66 ± 0.13 ey | 21.27 ± 0.09 ax | 20.21 ± 0.07 bx | 18.75 ± 0.05 cx | 16.70 ± 0.03 dx | 15.56 ± 0.05 ex | |
| ∑TFA | 0.45 ± 0.01 ex | 0.66 ± 0.01 dx | 0.73 ± 0.03 cx | 0.82 ± 0.02 bx | 0.98 ± 0.05 ax | 0.45 ± 0.01 ex | 0.52 ± 0.01 dy | 0.63 ± 0.03 cy | 0.78 ± 0.05 by | 0.85 ± 0.02 ay | |
| ∑SFA | 31.26 ± 0.19 ex | 32.69 ± 0.23 dx | 33.62 ± 0.24 cx | 34.05 ± 0.45 bx | 35.46 ± 0.11 ax | 31.26 ± 0.19 ex | 32.32 ± 0.69 dy | 33.32 ± 0.25 cy | 33.47 ± 0.36 by | 34.86 ± 0.13 ay | |
| 20%DDAG | ∑MUFA | 44.90 ± 0.02 ax | 44.41 ± 0.03 by | 43.93 ± 0.01 cy | 43.84 ± 0.04 dx | 42.74 ± 0.03 ey | 44.90 ± 0.02 ax | 44.75 ± 0.01 bx | 44.12 ± 0.02 cx | 43.88 ± 0.12 cx | 43.15 ± 0.02 dx |
| ∑PUFA | 21.58 ± 0.14 ax | 19.46 ± 0.07 by | 17.77 ± 0.11 cy | 15.84 ± 0.06 dy | 14.23 ± 0.07 ey | 21.58 ± 0.14 ax | 19.90 ± 0.05 bx | 17.98 ± 0.03 cx | 16.31 ± 0.11 dx | 14.77 ± 0.09 ex | |
| ∑TFA | 0.41 ± 0.01 ex | 0.54 ± 0.03 dx | 0.65 ± 0.04 cx | 0.77 ± 0.03 bx | 0.78 ± 0.05 ax | 0.41 ± 0.01 ex | 0.57 ± 0.04 dy | 0.59 ± 0.03 cy | 0.61 ± 0.01 by | 0.72 ± 0.02 ay | |
| ∑SFA | 31.15 ± 0.02 ex | 32.07 ± 0.06 dx | 33.01 ± 0.11 cx | 34.08 ± 0.05 bx | 35.14 ± 0.56 ax | 31.15 ± 0.02 ex | 32.18 ± 0.25 dy | 32.80 ± 0.50 cy | 33.35 ± 0.16 by | 34.13 ± 0.27 ay | |
| 100%DDAG | ∑MUFA | 45.36 ± 0.07 ax | 44.92 ± 0.03 by | 44.31 ± 0.09 cy | 43.96 ± 0.05 dy | 43.07 ± 0.12 ey | 45.36 ± 0.07 ax | 45.21 ± 0.03 bx | 44.76 ± 0.06 cx | 44.35 ± 0.05 dx | 43.68 ± 0.06 ex |
| ∑PUFA | 22.60 ± 0.11 ax | 18.77 ± 0.16 by | 16.79 ± 0.07 cy | 15.57 ± 0.15 dy | 13.09 ± 0.09 ey | 22.60 ± 0.11 ax | 19.82 ± 0.14 bx | 16.43 ± 0.26 cx | 15.98 ± 0.15 dx | 13.91 ± 0.19 ex | |
| ∑TFA | 0.35 ± 0.02 ex | 0.39 ± 0.03 dx | 0.49 ± 0.01 dx | 0.55 ± 0.02 cx | 0.58 ± 0.03 ax | 0.50 ± 0.02 ex | 0.58 ± 0.01 dy | 0.52 ± 0.02 cy | 0.64 ± 0.03 by | 0.68 ± 0.03 ay | |
| ∑SFA | 29.24 ± 0.38 ex | 32.45 ± 0.25 dx | 33.34 ± 0.11 cx | 35.09 ± 0.12 bx | 36.45 ± 0.15 ax | 29.24 ± 0.38 ex | 31.72 ± 0.33 dy | 34.00 ± 0.19 cy | 34.02 ± 1.01 by | 36.33 ± 0.58 ay | |
| Time (h) | 0%DDAG | 20%DDAG | 100%DDAG | ||||
|---|---|---|---|---|---|---|---|
| Ordinary | HVEF | Ordinary | HVEF | Ordinary | HVEF | ||
| T21 | 0 | — | — | — | — | — | — |
| 2 | 8.92 ± 0.45 ay | 9.33 ± 0.00 ax | 8.52 ± 0.51 ay | 8.92 ± 0.41 ax | 7.76 ± 0.45 ay | 8.11 ± 0.45 ax | |
| 4 | 7.76 ± 0.00 by | 8.92 ± 0.70 ax | 7.40 ± 0.31 by | 7.84 ± 0.42 bx | 6.75 ± 0.46 by | 7.26 ± 0.55 bx | |
| 6 | 6.75 ± 0.53 cy | 7.76 ± 0.61 bx | 6.44 ± 0.44 cy | 6.75 ± 0.40 cx | 5.87 ± 0.41 cy | 6.75 ± 0.00 cx | |
| 8 | 6.44 ± 0.00 cy | 7.40 ± 0.41 bx | 6.14 ± 0.35 cy | 6.53 ± 0.52 cx | 5.61 ± 0.51 cy | 5.87 ± 0.41 dx | |
| S21 | 0 | — | — | — | — | — | — |
| 2 | 2.54 ± 0.15 dx | 1.91 ± 0.16 dy | 1.74 ± 0.12 dx | 0.60 ± 0.15 dy | 1.87 ± 0.18 dx | 1.57 ± 0.11 dy | |
| 4 | 3.02 ± 0.16 cx | 2.63 ± 0.18 cy | 2.49 ± 0.15 cx | 1.57 ± 0.12 cy | 2.59 ± 0.12 cx | 2.23 ± 0.15 cy | |
| 6 | 4.07 ± 0.21 bx | 3.12 ± 0.15 by | 3.19 ± 0.16 bx | 2.18 ± 0.17 by | 3.21 ± 0.15 bx | 2.66 ± 0.14 by | |
| 8 | 4.14 ± 0.15 ax | 3.31 ± 0.20 ay | 4.15 ± 0.18 ax | 3.23 ± 0.15 ay | 3.48 ± 0.16 ax | 3.01 ± 0.18 ay | |
Publisher’s Note: MDPI stays neutral with regard to jurisdictional claims in published maps and institutional affiliations. |
© 2022 by the authors. Licensee MDPI, Basel, Switzerland. This article is an open access article distributed under the terms and conditions of the Creative Commons Attribution (CC BY) license (https://creativecommons.org/licenses/by/4.0/).
Share and Cite
Sun, H.; Li, F.; Li, Y.; Guo, L.; Wang, B.; Huang, M.; Huang, H.; Liu, J.; Zhang, C.; Feng, Z.; et al. Effect of High-Voltage Electrostatic Field Heating on the Oxidative Stability of Duck Oils Containing Diacylglycerol. Foods 2022, 11, 1322. https://doi.org/10.3390/foods11091322
Sun H, Li F, Li Y, Guo L, Wang B, Huang M, Huang H, Liu J, Zhang C, Feng Z, et al. Effect of High-Voltage Electrostatic Field Heating on the Oxidative Stability of Duck Oils Containing Diacylglycerol. Foods. 2022; 11(9):1322. https://doi.org/10.3390/foods11091322
Chicago/Turabian StyleSun, Hailei, Fangfang Li, Yan Li, Liping Guo, Baowei Wang, Ming Huang, He Huang, Jiqing Liu, Congxiang Zhang, Zhansheng Feng, and et al. 2022. "Effect of High-Voltage Electrostatic Field Heating on the Oxidative Stability of Duck Oils Containing Diacylglycerol" Foods 11, no. 9: 1322. https://doi.org/10.3390/foods11091322
APA StyleSun, H., Li, F., Li, Y., Guo, L., Wang, B., Huang, M., Huang, H., Liu, J., Zhang, C., Feng, Z., & Sun, J. (2022). Effect of High-Voltage Electrostatic Field Heating on the Oxidative Stability of Duck Oils Containing Diacylglycerol. Foods, 11(9), 1322. https://doi.org/10.3390/foods11091322
