Effect of Phenolic Extract from Red Beans (Phaseolus vulgaris L.) on T-2 Toxin-Induced Cytotoxicity in HepG2 Cells
Abstract
:1. Introduction
2. Materials and Methods
2.1. Chemicals and Reagents
2.2. Preparation of Red Bean Extract
2.3. Determination of Total Phenolic Content (TPC)
2.4. Determination of Polyphenolic Profile
2.5. Determination of Antiradical Activity (DPPH)
2.6. Cell Culture
2.7. HepG2 Cells Treatment
2.8. Determination of Cell Viability
2.9. Determination of Reactive Oxygen Species (ROS)
2.10. Statistical Analysis
3. Results and Discussion
3.1. Total Phenolic Content and Antiradical Activity of Red Bean Extract
3.2. Identification and Quantification of Active Compounds in Red Bean Extract
3.3. Effects of Red Bean Extract on the Cell Viability by Individual Exposure
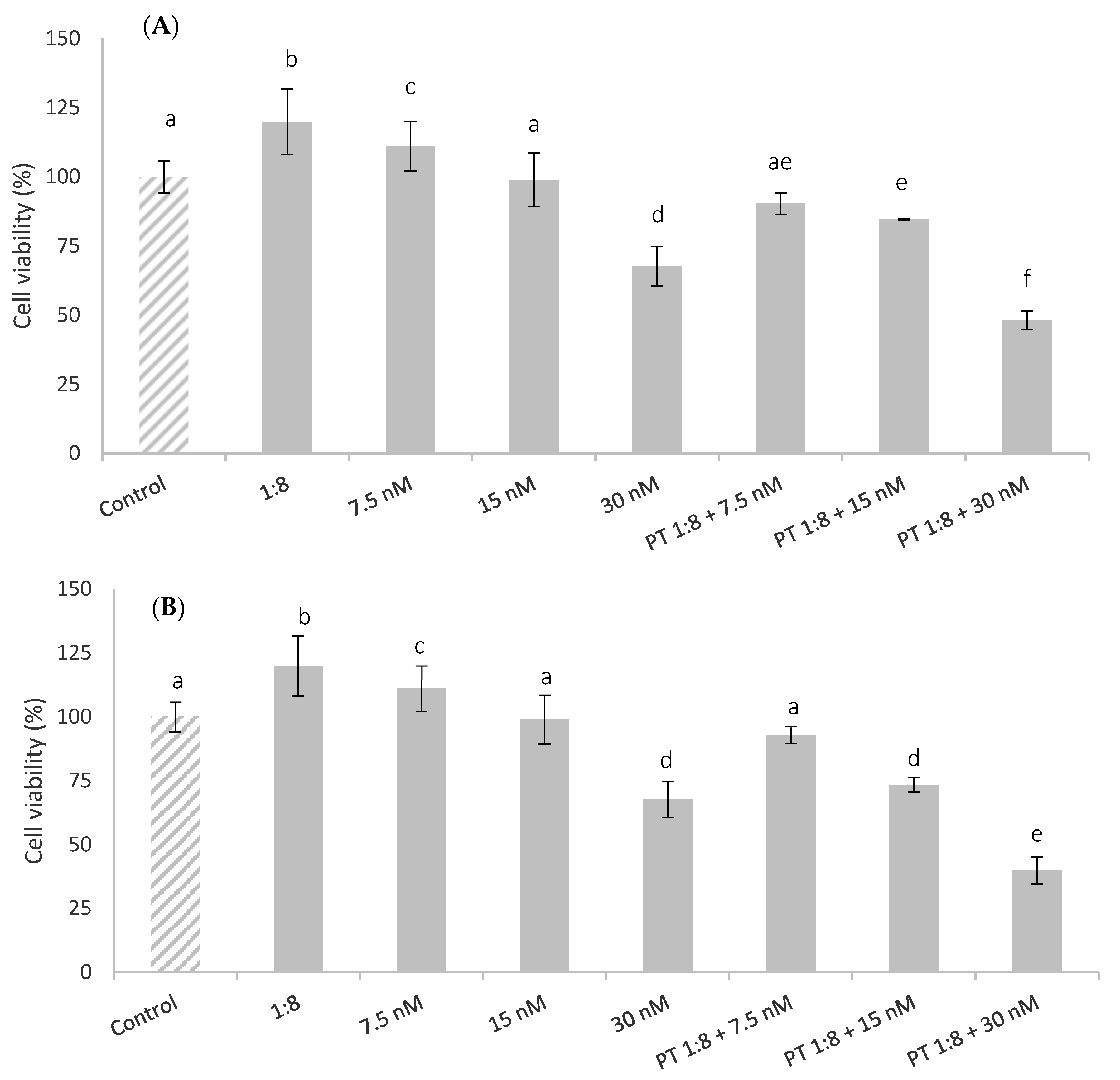
3.4. Effects of Simultaneous Treatment in HepG2 Cell Viability Exposed to T-2 and Red Bean Extract
3.5. Effects of Pre-Treatment in HepG2 Cell Viability Exposed to T-2 and Red Bean Extract
3.6. Reactive Oxygen Species
4. Conclusions
Supplementary Materials
Author Contributions
Funding
Institutional Review Board Statement
Informed Consent Statement
Data Availability Statement
Conflicts of Interest
References
- Rahate, K.; Madhumita, M.; Prabhakar, P. Nutritional composition, anti-nutritional factors, pretreatments-cum-processing impact and food formulation potential of faba bean (Vicia faba L.): A comprehensive review. LWT-Food Sci. Technol. 2021, 138, 110796. [Google Scholar] [CrossRef]
- Angiolillo, L.; Del Nobile, M.A.; Conte, A. The extraction of bioactive compounds from food residues using microwaves. Curr. Opin. Food Sci. 2015, 5, 93–98. [Google Scholar] [CrossRef]
- Yang, Q.; Gan, R.; Ge, Y.; Zhang, D.; Corke, H. Polyphenols in Common Beans (Phaseolus vulgaris L.): Chemistry, Analysis, and Factors Affecting Composition. Compr. Rev. Food Sci. Food Saf. 2018, 17, 1518–1539. [Google Scholar] [CrossRef] [PubMed] [Green Version]
- Gan, R.; Deng, Z.; Yan, A.; Shah, N.; Lui, W.; Chan, C.; Corke, H. Pigmented edible bean coats as natural sources of polyphenols with antioxidant and antibacterial effects. LWT-Food Sci. Technol. 2016, 73, 168–177. [Google Scholar] [CrossRef]
- Kimothi, S.; Dhaliwal, Y. Nutritional and Health Promoting Attribute of Kidney Beans (Phaseolus vulgaris L.): A Review. Int. J. Curr. Microbiol. Appl. Sci. 2020, 9, 1201–1209. [Google Scholar] [CrossRef]
- Taroncher, M.; Vila-Donat, P.; Tolosa, J.; Ruiz, M.J.; Rodríguez-Carrasco, Y. Biological activity and toxicity of plant nutraceuticals: An overview. Curr. Opin. Food Sci. 2021, 42, 113–118. [Google Scholar] [CrossRef]
- Madhujith, T.; Naczk, M.; Shahidi, F. Antioxidant activity of common beans (Phaseolus vulgaris L.). J. Food Lipids 2004, 11, 220–233. [Google Scholar] [CrossRef]
- Khan, N.; Monagas, M.; Llorach, R.; Urpi-Sarda, M.; Rabassa, M.; Estruch, R.; Andrés-Lacueva, C. Targeted and metabolomic study of biomarkers of cocoa powder consumption effects on inflammatory biomarkers in patients at high risk of cardiovascular disease. Agro Food Ind. Hi Tech. 2010, 21, 51–54. [Google Scholar]
- Terra, X.; Montagut, G.; Bustos, M.; Llopiz, N.; Ardèvol, A.; Bladé, C.; Fernández-Larrea, J.; Pujadas, G.; Salvadó, J.; Arola, L.; et al. Grape-seed procyanidins prevent low-grade inflammation by modulating cytokine expression in rats fed a high-fat diet. J. Nutr. Biochem. 2009, 20, 210–218. [Google Scholar] [CrossRef] [PubMed]
- Al-Hanbali, M.; Ali, D.; Bustami, M.; Abdel-Malek, S.; Al-Hanbali, R.; Alhussainy, T.; Qadan, F.; Matalka, K.Z. Epicatechin suppresses IL-6, IL-8 and enhances IL-10 production with NF-kappaB nuclear translocation in whole blood stimulated system. Neuro Endocrinol. Lett. 2009, 30, 131–138. [Google Scholar] [PubMed]
- RASFF (Rapid Alert for Food and Feed). RASFF Annual Report 2020. Available online: https://ec.europa.eu/food/safety/rasff-food-and-feed-safety-alerts/reports-and-publications_es (accessed on 2 February 2022).
- Narváez, A.; Castaldo, L.; Izzo, L.; Pallarés, N.; Rodríguez-Carrasco, Y.; Ritieni, A. Deoxynivalenol contamination in cereal-based foodstuffs from Spain: Systematic review and meta-analysis approach for exposure assessment. Food Control 2021, 132, 108521. [Google Scholar] [CrossRef]
- EFSA (European Food Safety Authority). Scientific report on Human and animals dietary exposure to T-2 and HT-2 toxin. EFSA J. 2017, 15, 4972. [Google Scholar]
- Dai, C.; Xiao, X.; Sun, F.; Zhang, Y.; Hoyer, D.; Shen, J.; Tang, S.; Velkov, T. T-2 toxin neurotoxicity: Role of oxidative stress and mitochondrial dysfunction. Arch. Toxicol. 2019, 93, 3041–3056. [Google Scholar] [CrossRef] [PubMed]
- You, L.; Zhao, Y.; Kuca, K.; Wang, X.; Oleksak, P.; Chrienova, Z.; Nepovimova, E.; Jaćević, V.; Wu, Q.; Wu, W. Hypoxia, oxidative stress, and immune evasion: A trinity of the trichothecenes T-2 toxin and deoxynivalenol (DON). Arch. Toxicol. 2021, 95, 1899–1915. [Google Scholar] [CrossRef]
- Taroncher, M.; Rodríguez-Carrasco, Y.; Ruiz, M. Interactions between T-2 toxin and its metabolites in HepG2 cells and in silico approach. Food Chem. Toxicol. 2021, 148, 111942. [Google Scholar] [CrossRef] [PubMed]
- Vila-Donat, P.; Fernández-Blanco, C.; Sagratini, G.; Font, G.; Ruiz, M.J. Effects of soyasaponin I and soyasaponins-rich extract on the alternariol-induced cytotoxicity on Caco-2 cells. Food Chem. Toxicol. 2015, 77, 44–49. [Google Scholar] [CrossRef]
- Izzo, L.; Rodríguez-Carrasco, Y.; Pacifico, S.; Castaldo, L.; Narváez, A.; Ritieni, A. Colon Bioaccessibility under In Vitro Gastrointestinal Digestion of a Red Cabbage Extract Chemically Profiled through UHPLC-Q-Orbitrap HRMS. Antioxidants 2020, 9, 955. [Google Scholar] [CrossRef]
- Castaldo, L.; Izzo, L.; Gaspari, A.; Lombardi, S.; Rodríguez-Carrasco, Y.; Narváez, A.; Grosso, M.; Ritieni, A. Chemical Composition of Green Pea (Pisum sativum L.) Pods Extracts and Their Potential Exploitation as Ingredients in Nutraceutical Formulations. Antioxidants 2022, 11, 105. [Google Scholar] [CrossRef]
- Taroncher, M.; Rodríguez-Carrasco, Y.; Ruiz, M. T-2 toxin and its metabolites: Characterization, cytotoxic mechanisms and adaptive cellular response in human hepatocarcinoma (HepG2) cells. Food Chem. Toxicol. 2021, 145, 111654. [Google Scholar] [CrossRef]
- Ruiz, M.J.; Festila, L.E.; Fernández, M. Comparison of basal cytotoxicity of seven carbamates in CHO-K1 cells. Toxicol. Environ. Chem. 2006, 88, 345–354. [Google Scholar] [CrossRef]
- Ruiz-Leal, M.; George, S. An in vitro procedure for evaluation of early stage oxidative stress in an established fish cell line applied to investigation of PHAH and pesticide toxicity. Mar. Environ. Res. 2004, 58, 631–635. [Google Scholar] [CrossRef] [PubMed]
- Soriano Sancho, R.; Pavan, V.; Pastore, G. Effect of in vitro digestion on bioactive compounds and antioxidant activity of common bean seed coats. Food Res. Int. 2015, 76, 74–78. [Google Scholar] [CrossRef]
- Ombra, M.N.; d’Acierno, A.; Nazzaro, F.; Riccardi, R.; Spigno, P.; Zaccardelli, M.; Pane, C.; Maione, M.; Fratanni, F. Phenolic Composition and Antioxidant and Antiproliferative Activities of the Extracts of Twelve Common Bean (Phaseolus vulgaris L.) Endemic Ecotypes of Southern Italy before and after Cooking. Oxid. Med. Cell. Longev. 2016, 12, 1398298. [Google Scholar] [CrossRef] [PubMed] [Green Version]
- Orak, H.H.; Karamać, M.; Amarowicz, R. Antioxidant activity of phenolic compounds of red bean (Phaseolus vulgaris L). Oxid. Commun. 2015, 38, 67–76. [Google Scholar]
- Ross, K.; Beta, T.; Arntfield, S. A comparative study on the phenolic acids identified and quantified in dry beans using HPLC as affected by different extraction and hydrolysis methods. Food Chem. 2009, 113, 336–344. [Google Scholar] [CrossRef]
- Zhao, Y.; Du, S.; Wang, H.; Cai, M. In vitro antioxidant activity of extracts from common legumes. Food Chem. 2014, 152, 462–466. [Google Scholar] [CrossRef]
- Korus, J.; Gumul, D.; Fołta, M.; Bartoń, H. Antioxidant and antiradical activity of raw and extruded common beans. Electron. J. Pol. Agric. Univ. 2007, 10, 6. [Google Scholar]
- Doğan Cömert, E.; Ataç Mogol, B.; Gökmen, V. Relationship between color and antioxidant capacity of fruits and vegetables. Curr. Res. Food Sci. 2020, 2, 1–10. [Google Scholar] [CrossRef]
- García-Lafuente, A.; Guillamón, E.; Villares, A.; Rostagno, M.; Martínez, J.A. Flavonoids as anti-inflammatory agents: Implications in cancer and cardiovascular disease. Inflamm. Res. 2009, 58, 537–552. [Google Scholar] [CrossRef]
- García-Lafuente, A.; Moro, C.; Manchón, N.; Gonzalo-Ruiz, A.; Villares, A.; Guillamón, E.; Rostagno, M.; Mateo-Vivaracho, L. In vitro anti-inflammatory activity of phenolic rich extracts from white and red common beans. Food Chem. 2014, 161, 216–223. [Google Scholar] [CrossRef]
- Ziemlewska, A.; Zagórska-Dziok, M.; Nizioł-Łukaszewska, Z. Assessment of cytotoxicity and antioxidant properties of berry leaves as by-products with potential application in cosmetic and pharmaceutical products. Sci. Rep. 2021, 11, 3240. [Google Scholar] [CrossRef] [PubMed]
- Kössler, S.; Nofziger, C.; Jakab, M.; Dossena, S.; Paulmichl, M. Curcumin affects cell survival and cell volume regulation in human renal and intestinal cells. Toxicology 2012, 292, 123–135. [Google Scholar] [CrossRef] [PubMed]
- Lee, J.H.; Ham, H.; Kim, M.Y.; Ko, J.Y.; Sim, E.; Kim, H.; Lee, C.K.; Jeon, Y.H.; Jeong, H.S.; Woo, K.S. Phenolic compounds and antioxidant activity of adzuki bean cultivars. Legume Res. 2018, 41, 681–688. [Google Scholar] [CrossRef] [Green Version]
- Zhu, F.; Du, B.; Xu, B. Anti-inflammatory effects of phytochemicals from fruits, vegetables, and food legumes: A review. Crit Rev. Food Sci. Nutr. 2018, 58, 1260–1270. [Google Scholar] [CrossRef] [PubMed]




| MeOH:H2O (v/v) | TPC (mg GAE/Kg ± SD) | DPPH (mmol TE/Kg ± SD) |
|---|---|---|
| 80:20 | 1892 ± 237 | 42.3 ± 5.8 |
| 70:30 | 2325 ± 98 | 49.2 ± 4.6 |
| 50:50 | 1348 ± 24 | 30.4 ± 6.1 |
| 30:70 | 1272 ± 8 | 29.2 ± 8.7 |
| 20:80 | 1287 ± 28 | 27.5 ± 7.3 |
| Compound | RT (min) | Chemical Formula | Adduct Ion | Theoretical Mass (m/z) | Measured Mass (m/z) | Product Ion | Mass Accuracy (Δ ppm) | LOD (mg/Kg) | LOQ (mg/Kg) |
|---|---|---|---|---|---|---|---|---|---|
| Protocatechuic acid | 1.60 | C7H6O4 | [M − H]− | 153.01930 | 153.01857 | 109.02840 | −4.771 | 0.026 | 0.078 |
| Cyanidin 3,5-diglucoside | 3.03 | C27H31O16 | [M + H]+ | 611.16066 | 611.16022 | 449.19708–287.06469 | −0.719 | 0.026 | 0.078 |
| Epicatechin | 3.08 | C15H14O7 | [M − H]− | 289.07176 | 289.07202 | 221.94647–203.09201–161.04478 | 0.890 | 0.013 | 0.039 |
| Chlorogenic acid | 3.20 | C16H18O9 | [M − H]− | 353.08780 | 353.08798 | 191.05594–84.98998 | 0.509 | 0.013 | 0.039 |
| Cyanidin 3-galactoside | 3.23 | C21H21O11 | [M + H]+ | 449.10784 | 449.10654 | 287.05576 | −2.894 | 0.026 | 0.078 |
| Caffeic acid | 3.25 | C9H8O4 | [M − H]− | 179.03498 | 179.03455 | 134.99960 | −2.401 | 0.013 | 0.039 |
| Catechin | 3.27 | C15H14O6 | [M − H]− | 289.07175 | 289.07205 | 247.02241–205.10712–151.03923–125.02335 | 1.037 | 0.026 | 0.078 |
| p-cumaric acid | 3.39 | C9H8O3 | [M − H]− | 163.04001 | 163.03937 | 119.04917 | −3.925 | 0.026 | 0.078 |
| Apigenin 7-glucoside | 3.45 | C21H20O10 | [M − H]− | 431.09837 | 431.09875 | 341.10919–283.26419 | 0.881 | 0.013 | 0.039 |
| Genistein | 3.47 | C15H10O5 | [M − H]− | 269.04554 | 269.04562 | 241.14435–213.14908–151.03935 | 0.297 | 0.013 | 0.039 |
| Delphinidin | 3.48 | C15H11O7 | [M − H]+ | 303.04992 | 303.04993 | 257.12119–137.05981 | 0.033 | 0.026 | 0.078 |
| Naringin | 3.54 | C27H32O14 | [M − H]− | 579.17193 | 579.17185 | 271.15524–227.12846–161.04475 | −0.138 | 0.013 | 0.039 |
| Cyanidin | 3.57 | C15H11O6 | [M + H]+ | 287.05501 | 287.05472 | 207.05879–147.07649 | −0.611 | 0.013 | 0.039 |
| Rosmarinic acid | 3.58 | C18H16O8 | [M − H]− | 359.07724 | 359.07742 | 179.05537 | 0.501 | 0.013 | 0.039 |
| Myricitrin | 3.59 | C21H20O12 | [M − H]− | 463.08820 | 463.08701 | 316.02126–178.97646 | −2.57 | 0.013 | 0.039 |
| Diosmin | 3.64 | C28H32O15 | [M − H]− | 607.16684 | 607.16534 | 300.99796–284.03838 | −2.471 | 0.013 | 0.039 |
| Isoquercetin | 3.65 | C21H20O12 | [M − H]− | 463.08820 | 463.08853 | 431.09848–187.09698–174.95542 | 0.712 | 0.013 | 0.039 |
| Rutin | 3.65 | C27H30O16 | [M − H]− | 609.14611 | 609.14673 | 300.99911–271.05026–255.12390 | 1.017 | 0.013 | 0.039 |
| Kaempferol 3-glucoside | 3.66 | C21H20O11 | [M − H]− | 447.09195 | 447.09329 | 284.03079–255.02881–227.07033 | 3.000 | 0.013 | 0.039 |
| Vitexin | 3.67 | C21H20O10 | [M − H]− | 431.09837 | 431.09711 | 341.10803–311.05457–269.13815 | −2.921 | 0.013 | 0.039 |
| Ellagic acid | 3.67 | C14H6O8 | [M − H]− | 300.99899 | 300.99911 | 245.91669–229.93712–185.01208–117.00336 | 0.398 | 0.013 | 0.039 |
| Luteolin 7-glucoside | 3.68 | C21H20O11 | [M − H]− | 447.09328 | 447.09381 | 285.04028 | 1.185 | 0.013 | 0.039 |
| Myricetin | 3.73 | C15H10O8 | [M − H]− | 317.03029 | 317.02924 | 178.87917–151.00217–137.02290 | −3.310 | 0.013 | 0.039 |
| Daidzein | 3.75 | C15H9O4 | [M − H]− | 253.05063 | 253.04977 | 209.96429–225.00984 | −3.398 | 0.013 | 0.039 |
| Quercetin | 3.86 | C15H10O7 | [M − H]− | 301.03538 | 301.03508 | 174.95551 | −0.996 | 0.013 | 0.039 |
| Delphinidin 3,5-diglucoside | 3.87 | C27H31O17 | [M + H]+ | 628.16340 | 628.16385 | 465.10339–303.04987 | 0.716 | 0.026 | 0.078 |
| Naringenin | 3.91 | C15H12O5 | [M − H]− | 271.06120 | 271.06110 | 235.92595–151.03917 | −0.368 | 0.013 | 0.039 |
| Luteolin | 3.94 | C15H10O6 | [M − H]− | 285.04046 | 285.04086 | 174.95486–89.02095 | 1.401 | 0.013 | 0.039 |
| Kaempferol | 4.00 | C15H10O6 | [M − H]− | 285.04046 | 285.04086 | 93.00679 | 1.403 | 0.013 | 0.039 |
| Apigenin | 4.08 | C15H10O5 | [M − H]− | 269.04554 | 269.04541 | 225.06136–117.01828 | −0.483 | 0.013 | 0.039 |
| Compound | Content (mg/Kg) ± SD |
|---|---|
| Apigenin 7-O-glucoside | <LOQ |
| Catechin | <LOQ |
| Chlorogenic acid | 0.045 ± 0.002 |
| Cyanidin | 0.677 ± 0.046 |
| Cyanidin 3-glucoside | <LOQ |
| Cyanidin 3,5-diglucoside | 0.171 ± 0.015 |
| Daidzein | <LOQ |
| Delphinidin | 3.108 ± 0.023 |
| Delphinidin 3,5-diglucoside | 0.210 ± 0.020 |
| Ellagic acid | 0.045 ± 0.001 |
| Epicatechin | 3.297 ± 0.119 |
| Genistin | <LOQ |
| Isoquercetin | 1.039 ± 0.119 |
| kaempferol 3-O-glucoside | 0.803 ± 0.026 |
| Luteolin | 0.021 ± 0.001 |
| Naringenin | <LOQ |
| Naringin | <LOQ |
| p-coumaric acid | 1.929 ± 0.106 |
| Protocatechiuc acid | 0.532 ± 0.016 |
| Quercetin | 0.292 ± 0.026 |
| Rosmarinic acid | <LOQ |
| Rutin | 0.479 ± 0.037 |
Publisher’s Note: MDPI stays neutral with regard to jurisdictional claims in published maps and institutional affiliations. |
© 2022 by the authors. Licensee MDPI, Basel, Switzerland. This article is an open access article distributed under the terms and conditions of the Creative Commons Attribution (CC BY) license (https://creativecommons.org/licenses/by/4.0/).
Share and Cite
Martínez-Alonso, C.; Taroncher, M.; Castaldo, L.; Izzo, L.; Rodríguez-Carrasco, Y.; Ritieni, A.; Ruiz, M.-J. Effect of Phenolic Extract from Red Beans (Phaseolus vulgaris L.) on T-2 Toxin-Induced Cytotoxicity in HepG2 Cells. Foods 2022, 11, 1033. https://doi.org/10.3390/foods11071033
Martínez-Alonso C, Taroncher M, Castaldo L, Izzo L, Rodríguez-Carrasco Y, Ritieni A, Ruiz M-J. Effect of Phenolic Extract from Red Beans (Phaseolus vulgaris L.) on T-2 Toxin-Induced Cytotoxicity in HepG2 Cells. Foods. 2022; 11(7):1033. https://doi.org/10.3390/foods11071033
Chicago/Turabian StyleMartínez-Alonso, Carmen, Mercedes Taroncher, Luigi Castaldo, Luana Izzo, Yelko Rodríguez-Carrasco, Alberto Ritieni, and María-José Ruiz. 2022. "Effect of Phenolic Extract from Red Beans (Phaseolus vulgaris L.) on T-2 Toxin-Induced Cytotoxicity in HepG2 Cells" Foods 11, no. 7: 1033. https://doi.org/10.3390/foods11071033
APA StyleMartínez-Alonso, C., Taroncher, M., Castaldo, L., Izzo, L., Rodríguez-Carrasco, Y., Ritieni, A., & Ruiz, M.-J. (2022). Effect of Phenolic Extract from Red Beans (Phaseolus vulgaris L.) on T-2 Toxin-Induced Cytotoxicity in HepG2 Cells. Foods, 11(7), 1033. https://doi.org/10.3390/foods11071033

