Predicting Satiety from the Analysis of Human Saliva Using Mid-Infrared Spectroscopy Combined with Chemometrics
Abstract
:1. Introduction
2. Materials and Methods
2.1. Participants and Saliva Collection
2.2. Satiation and Satiety Measurements
2.3. Mid-Infrared Spectrum Collection for Saliva
2.4. Chemometric Analysis
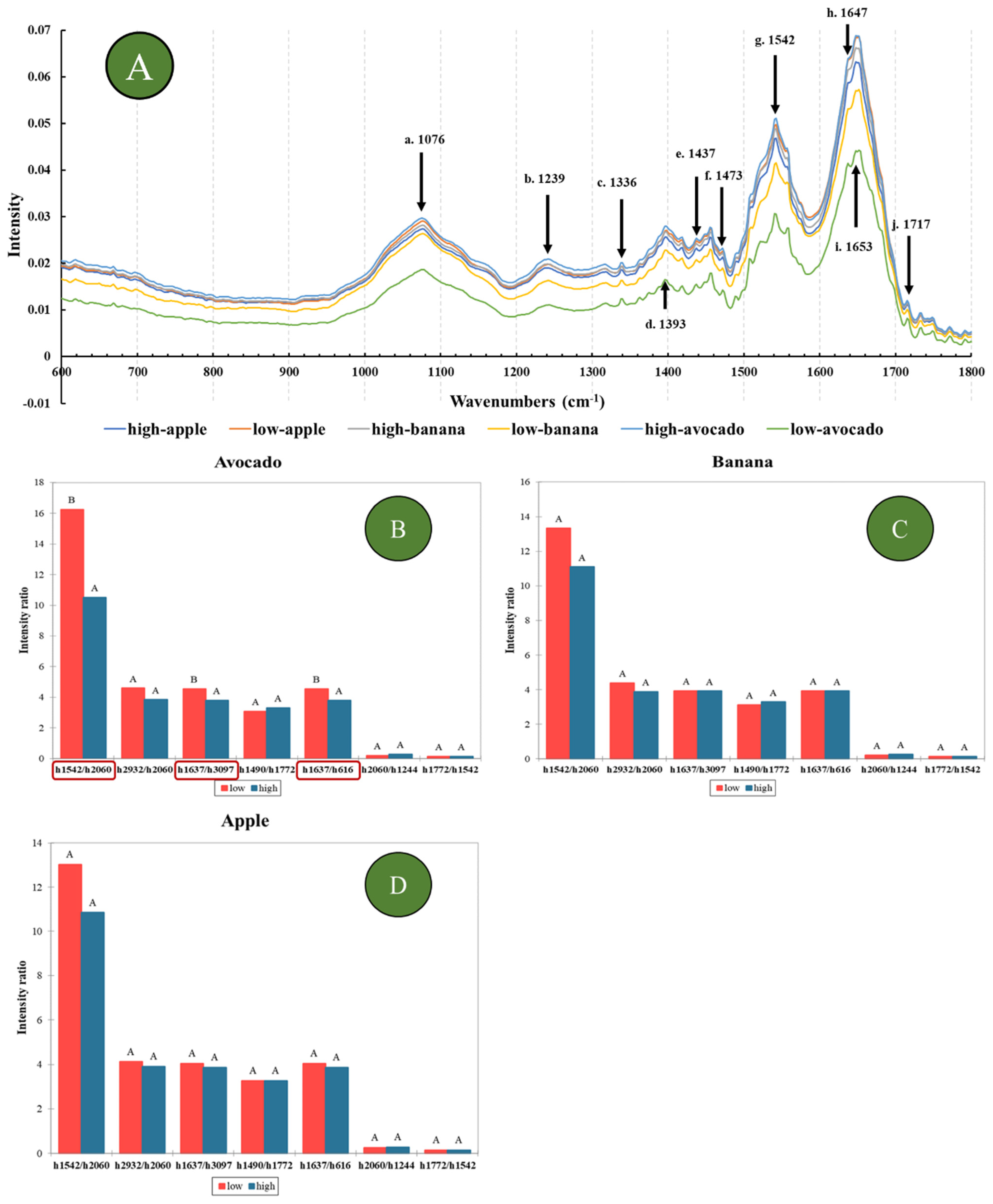
3. Results and Discussion
4. Conclusions
Author Contributions
Funding
Institutional Review Board Statement
Informed Consent Statement
Data Availability Statement
Acknowledgments
Conflicts of Interest
References
- Gardner, A.; Parkes, H.G.; Carpenter, G.H.; So, P.W. Developing and Standardizing a Protocol for Quantitative Proton Nuclear Magnetic Resonance (1H NMR) Spectroscopy of Saliva. J. Proteome Res. 2018, 17, 1521–1531. [Google Scholar] [CrossRef] [Green Version]
- Figueira, J.; Jonsson, P.; Adolfsson, A.N.; Adolfsson, R.; Nyberg, L.; Ohman, A. NMR analysis of the human saliva metabolome distinguishes dementia patients from matched controls. Mol. BioSyst. 2016, 12, 2562–2571. [Google Scholar] [CrossRef] [PubMed] [Green Version]
- De Filippis, F.; Vannini, L.; La Storia, A.; Laghi, L.; Piombino, P.; Stellato, G.; Serrazanetti, D.I.; Gozzi, G.; Turroni, S.; Ferrocino, I.; et al. The same microbiota and a potentially discriminant metabolome in the saliva of omnivore, ovo-lacto-vegetarian and Vegan individuals. PLoS ONE 2014, 9, e112373. [Google Scholar] [CrossRef] [PubMed] [Green Version]
- Muro, C.K.; Fernandes, L.D.; Lednev, I.K. Sex Determination Based on Raman Spectroscopy of Saliva Traces for Forensic Purposes. Anal. Chem. 2016, 88, 12489–12493. [Google Scholar] [CrossRef]
- Talari, A.C.S.; Martinez, M.A.G.; Movasaghi, Z.; Rehman, S.; Rehman, I.U. Advances in Fourier transform infrared (FTIR) spectroscopy of biological tissues. Appl. Spectrosc. Rev. 2017, 52, 456–506. [Google Scholar] [CrossRef]
- Pereira, J.L.; Duarte, D.; Carneiro, T.J.; Ferreira, S.; Cunha, B.; Soares, D.; Costa, A.L.; Gil, A.M. Saliva NMR metabolomics: Analytical issues in pediatric oral health research. Oral Dis. 2019, 25, 1545–1554. [Google Scholar] [CrossRef]
- Mikkonen, J.J.; Raittila, J.; Rieppo, L.; Lappalainen, R.; Kullaa, A.M.; Myllymaa, S. Fourier Transform Infrared Spectroscopy and Photoacoustic Spectroscopy for Saliva Analysis. Appl. Spectrosc. 2016, 70, 1502–1510. [Google Scholar] [CrossRef] [PubMed]
- Orphanou, C.M.; Walton-Williams, L.; Mountain, H.; Cassella, J. The detection and discrimination of human body fluids using ATR FT-IR spectroscopy. Forensic Sci. Int. 2015, 252, e10–e16. [Google Scholar] [CrossRef] [PubMed]
- Graca, G.; Moreira, A.S.; Correia, A.J.V.; Goodfellow, B.J.; Barros, A.S.; Duarte, I.F.; Carreira, I.M.; Galhano, E.; Pita, C.; Almeida, M.D.; et al. Mid-infrared (MIR) metabolic fingerprinting of amniotic fluid: A possible avenue for early diagnosis of prenatal disorders? Anal. Chim. Acta 2013, 764, 24–31. [Google Scholar] [CrossRef]
- Khaustova, S.; Shkurnikov, M.; Tonevitsky, E.; Artyushenko, V.; Tonevitsky, A. Noninvasive biochemical monitoring of physiological stress by Fourier transform infrared saliva spectroscopy. Analyst 2010, 135, 3183–3192. [Google Scholar] [CrossRef]
- Bec, K.B.; Grabska, J.; Huck, C.W. Near-Infrared Spectroscopy in Bio-Applications. Molecules 2020, 25, 2948. [Google Scholar] [CrossRef] [PubMed]
- Zlotogorski-Hurvitz, A.; Dekel, B.; Malonek, D.; Yahalom, R.; Vered, M. FTIR-based spectrum of salivary exosomes coupled with computational-aided discriminating analysis in the diagnosis of oral cancer. J. Cancer Res. Clin. Oncol. 2019, 145, 685–694. [Google Scholar] [CrossRef] [PubMed]
- Scott, D.A.; Renaud, D.E.; Krishnasamy, S.; Meric, P.; Buduneli, N.; Cetinkalp, S.; Liu, K.Z. Diabetes-related molecular signatures in infrared spectra of human saliva. Diabetol. Metab. Syndr. 2010, 2, 1–9. [Google Scholar] [CrossRef] [PubMed] [Green Version]
- Wongkamhaeng, K.; Poachanukoon, O.; Koontongkaew, S. Dental caries, cariogenic microorganisms and salivary properties of allergic rhinitis children. Int. J. Pediatr. Otorhinolaryngol. 2014, 78, 860–865. [Google Scholar] [CrossRef]
- Lasschuijt, M.; Mars, M.; de Graaf, C.; Smeets, P.A.M. How oro-sensory exposure and eating rate affect satiation and associated endocrine responses-a randomized trial. Am. J. Clin. Nutr. 2020, 111, 1137–1149. [Google Scholar] [CrossRef]
- Ni, D.; Smyth, H.E.; Gidley, M.J.; Cozzolino, D. Exploring the relationships between oral sensory physiology and oral processing with mid infrared spectra of saliva. Food Hydrocoll. 2021, 120, 106896. [Google Scholar] [CrossRef]
- Ployon, S.; Brule, M.; Andriot, I.; Morzel, M.; Canon, F. Understanding retention and metabolization of aroma compounds using an in vitro model of oral mucosa. Food Chem. 2020, 318, 126468. [Google Scholar] [CrossRef]
- Canon, F.; Neiers, F.; Guichard, E. Saliva and Flavor Perception: Perspectives. J. Agric. Food Chem. 2018, 66, 7873–7879. [Google Scholar] [CrossRef]
- Gardner, A.; Carpenter, G.H. Anatomical stability of human fungiform papillae and relationship with oral perception measured by salivary response and intensity rating. Sci. Rep. 2019, 9, 9759. [Google Scholar] [CrossRef]
- Mosca, A.C.; Chen, J.S. Food-saliva interactions: Mechanisms and implications. Trends Food Sci. Technol. 2017, 66, 125–134. [Google Scholar] [CrossRef]
- Zijlstra, N.; de Wijk, R.A.; Mars, M.; Stafleu, A.; de Graaf, C. Effect of bite size and oral processing time of a semisolid food on satiation. Am. J. Clin. Nutr. 2009, 90, 269–275. [Google Scholar] [CrossRef] [PubMed] [Green Version]
- Hogenkamp, P.S.; Schiöth, H.B. Effect of oral processing behaviour on food intake and satiety. Trends Food Sci. Technol. 2013, 34, 67–75. [Google Scholar] [CrossRef]
- Goloni, C.; Peres, F.M.; Senhorello, I.L.S.; Di Santo, L.G.; Mendonca, F.S.; Loureiro, B.A.; Pfrimer, K.; Ferriolli, E.; Pereira, G.T.; Carciofi, A.C. Validation of saliva and urine use and sampling time on the doubly labelled water method to measure energy expenditure, body composition and water turnover in male and female cats. Br. J. Nutr. 2020, 124, 457–469. [Google Scholar] [CrossRef] [Green Version]
- Pruszkowska-Przybylska, P.; Sitek, A.; Rosset, I.; Sobalska-Kwapis, M.; Slomka, M.; Strapagiel, D.; Zadzinska, E.; Morling, N. Association of saliva 25(OH)D concentration with body composition and proportion among pre-pubertal and pubertal Polish children. Am. J. Hum. Biol. 2020, 32, e23397. [Google Scholar] [CrossRef] [PubMed]
- De Graaf, C.; Blom, W.A.M.; Smeets, P.A.M.; Stafleu, A.; Hendriks, H.F.J. Biomarkers of satiation and satiety. Am. J. Clin. Nutr. 2004, 79, 946–961. [Google Scholar] [CrossRef] [PubMed] [Green Version]
- Gibbons, C.; Hopkins, M.; Beaulieu, K.; Oustric, P.; Blundell, J.E. Issues in Measuring and Interpreting Human Appetite (Satiety/Satiation) and Its Contribution to Obesity. Curr. Obes. Rep. 2019, 8, 77–87. [Google Scholar] [CrossRef] [PubMed] [Green Version]
- Blundell, J.; de Graaf, C.; Hulshof, T.; Jebb, S.; Livingstone, B.; Lluch, A.; Mela, D.; Salah, S.; Schuring, E.; van der Knaap, H.; et al. Appetite control: Methodological aspects of the evaluation of foods. Obes. Rev. 2010, 11, 251–270. [Google Scholar] [CrossRef] [Green Version]
- Higgs, S.; Spetter, M.S. Cognitive Control of Eating: The Role of Memory in Appetite and Weight Gain. Curr. Obes. Rep. 2018, 7, 50–59. [Google Scholar] [CrossRef] [Green Version]
- Beaulieu, K.; Blundell, J. The Psychobiology of Hunger—A Scientific Perspective. Topoi 2020, 40, 565–574. [Google Scholar] [CrossRef]
- Drapeau, V.; Blundell, J.; Gallant, A.R.; Arguin, H.; Despres, J.P.; Lamarche, B.; Tremblay, A. Behavioural and metabolic characterisation of the low satiety phenotype. Appetite 2013, 70, 67–72. [Google Scholar] [CrossRef]
- Drapeau, V.; Hetherington, M.; Tremblay, A. Impact of eating and lifestyle behaviors on body weight: Beyond energy value. In Handbook of Behavior, Food and Nutrition; Springer: Berlin/Heidelberg, Germany, 2011; pp. 693–706. [Google Scholar]
- Bel’skaya, L.V.; Sarf, E.A. Biochemical composition and characteristics of salivary FTIR spectra: Correlation analysis. J. Mol. Liq. 2021, 341, 117380. [Google Scholar] [CrossRef]
- Stading, M.; Johansson, D.; Diogo Löfgren, C.; Christersson, C. Viscoelastic properties of saliva from different glands. In Proceedings of the Nordic Rheology Conference (NRC), Reykjavík, Iceland, 19–21 August 2009; pp. 109–112. [Google Scholar]
- Stokes, J.R.; Davies, G.A. Viscoelasticity of human whole saliva collected after acid and mechanical stimulation. Biorheology 2007, 44, 141–160. [Google Scholar] [PubMed]
- Ni, D.; Gunness, P.; Smyth, H.E.; Gidley, M.J. Exploring relationships between satiation, perceived satiety, and plant-based snack food features. Int. J. Food Sci. Technol. 2021, 56, 5340–5351. [Google Scholar] [CrossRef]
- Zalifah, M.K.; Greenway, D.R.; Caffin, N.A.; D’Arcy, B.R.; Gidley, M.J. Application of labelled magnitude satiety scale in a linguistically-diverse population. Food Qual. Prefer. 2008, 19, 574–578. [Google Scholar] [CrossRef]
- Movasaghi, Z.; Rehman, S.; Rehman, I.U. Fourier transform infrared (FTIR) spectroscopy of biological tissues. Appl. Spectrosc. Rev. 2008, 43, 134–179. [Google Scholar] [CrossRef]
- Savitzky, A.; Golay, M.J. Smoothing and differentiation of data by simplified least squares procedures. Anal. Chem. 1964, 36, 1627–1639. [Google Scholar] [CrossRef]
- Næs, T.; Isaksson, T.; Fearn, T.; Davies, T. A User-Friendly Guide to Multivariate Calibration and Classification, 2nd ed.; NIR: Chichester, UK, 2002; Volume 6. [Google Scholar]
- Bureau, S.; Cozzolino, D.; Clark, C.J. Contributions of Fourier-transform mid infrared (FT-MIR) spectroscopy to the study of fruit and vegetables: A review. Postharvest Biol. Technol. 2019, 148, 1–14. [Google Scholar] [CrossRef]
- Rodrigues, R.P.; Aguiar, E.M.; Cardoso-Sousa, L.; Caixeta, D.C.; Guedes, C.C.; Siqueira, W.L.; Maia, Y.C.P.; Cardoso, S.V.; Sabino-Silva, R. Differential Molecular Signature of Human Saliva Using ATR-FTIR Spectroscopy for Chronic Kidney Disease Diagnosis. Braz. Dent. J. 2019, 30, 437–445. [Google Scholar] [CrossRef] [Green Version]
- Rodrigues, L.M.; Magrini, T.D.; Lima, C.F.; Scholz, J.; Martinho, H.D.; Almeida, J.D. Effect of smoking cessation in saliva compounds by FTIR spectroscopy. Spectrochim. Acta Part A 2017, 174, 124–129. [Google Scholar] [CrossRef] [Green Version]
- Stuart, B.; Ando, D.J. Modern Infrared Spectroscopy: Analytical Chemistry by Open Learning; Wiley: Greenwich, UK, 1996. [Google Scholar]
- Naseer, K.; Ali, S.; Qazi, J. ATR-FTIR spectroscopy as the future of diagnostics: A systematic review of the approach using bio-fluids. Appl. Spectrosc. Rev. 2020, 56, 85–97. [Google Scholar] [CrossRef]
- Derruau, S.; Gobinet, C.; Mateu, A.; Untereiner, V.; Lorimier, S.; Piot, O. Shedding light on confounding factors likely to affect salivary infrared biosignatures. Anal. Bioanal. Chem. 2019, 411, 2283–2290. [Google Scholar] [CrossRef] [PubMed]
- Bel’skaya, L.V.; Sarf, E.A.; Solomatin, D.V. Age and Gender Characteristics of the Infrared Spectra of Normal Human Saliva. Appl. Spectrosc. 2020, 74, 536–543. [Google Scholar] [CrossRef] [PubMed]
- Zijlstra, N.; Mars, M.; de Wijk, R.A.; Westerterp-Plantenga, M.S.; Holst, J.J.; de Graaf, C. Effect of viscosity on appetite and gastro-intestinal hormones. Physiol. Behav. 2009, 97, 68–75. [Google Scholar] [CrossRef] [PubMed]


| All Foods | Banana | Avocado | PLS-DA | |
|---|---|---|---|---|
| R2 | 0.62 | 0.63 | 0.20 | 0.92 |
| SECV | 225.7 | 188.1 | 237.5 | 0.10 |
| Bias | 4.72 | −12.5 | 0.60 | 0.001 |
| Slope | 0.67 | 0.62 | 0.20 | 0.97 |
| LV | 7 | 8 | 1 | 11 |
| Mean (AUC) | 1363 | 1456 | 1368 | |
| SD | 409 | 472 | 319 | |
| Range | 3138–423 | 3138–707 | 2272–525 |
Publisher’s Note: MDPI stays neutral with regard to jurisdictional claims in published maps and institutional affiliations. |
© 2022 by the authors. Licensee MDPI, Basel, Switzerland. This article is an open access article distributed under the terms and conditions of the Creative Commons Attribution (CC BY) license (https://creativecommons.org/licenses/by/4.0/).
Share and Cite
Ni, D.; Smyth, H.E.; Gidley, M.J.; Cozzolino, D. Predicting Satiety from the Analysis of Human Saliva Using Mid-Infrared Spectroscopy Combined with Chemometrics. Foods 2022, 11, 711. https://doi.org/10.3390/foods11050711
Ni D, Smyth HE, Gidley MJ, Cozzolino D. Predicting Satiety from the Analysis of Human Saliva Using Mid-Infrared Spectroscopy Combined with Chemometrics. Foods. 2022; 11(5):711. https://doi.org/10.3390/foods11050711
Chicago/Turabian StyleNi, Dongdong, Heather E. Smyth, Michael J. Gidley, and Daniel Cozzolino. 2022. "Predicting Satiety from the Analysis of Human Saliva Using Mid-Infrared Spectroscopy Combined with Chemometrics" Foods 11, no. 5: 711. https://doi.org/10.3390/foods11050711
APA StyleNi, D., Smyth, H. E., Gidley, M. J., & Cozzolino, D. (2022). Predicting Satiety from the Analysis of Human Saliva Using Mid-Infrared Spectroscopy Combined with Chemometrics. Foods, 11(5), 711. https://doi.org/10.3390/foods11050711

