Edible Coatings from Opuntia ficus-indica Cladodes Alongside Chitosan on Quality and Antioxidants in Cherries during Storage
Abstract
:1. Introduction
2. Materials and Methods
2.1. Plant Materials
2.2. Mucilage Extraction from Opuntia ficus-indica Cladodes and Preparation of the Edible Coatings
2.3. Edible Coating Treatments and Storage of Cherry Fruit
- (i)
- a liter of 25% Gel (v/v) containing 5% glycerol (code: G25),
- (ii)
- a liter of 50% Gel (v/v) containing 5% glycerol (code: G50),
- (iii)
- a liter of 1% Polys (w/v) containing 5% glycerol (code: Polys),
- (iv)
- a liter of 1% (w/v) chitosan in acetic acid (0.5% v/v) containing 5% glycerol,
- (v)
- a liter DI water containing 5% glycerol used as a control for 7, 14, 21 and 28 d of storage.
2.4. Total Soluble Solids, Titratable Acidity, pH, Peel Color, Weight Loss, Moisture/Dry Matter and Respiration
2.5. Fruit Firmness and Microbial Decay
2.6. Resistance to Pedicel Removal
2.7. Extraction of Phytochemicals
2.8. Determinations of Total Phenolics, Flavonoids, Anthocyanins and Antioxidant Capacity
2.9. Determinations of Individual Phenolic and Anthocyanin Compounds
2.10. Statistical Analyses
3. Results
3.1. Total Soluble Solids, pH and Titratable Acidity
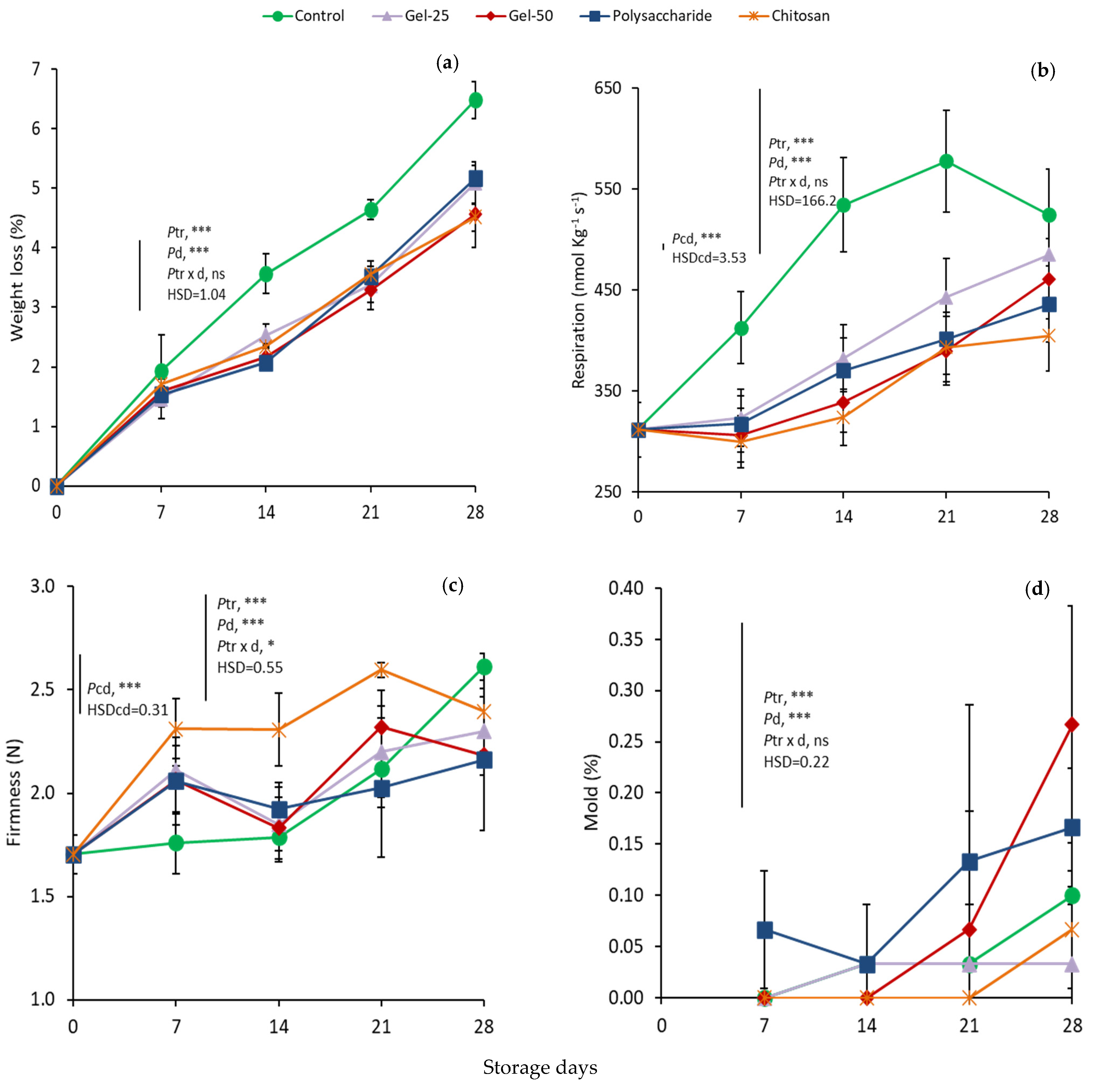
3.2. Fruit Color, Weight Loss and Respiration Rates
3.3. Fruit Firmness and Decay, and Pedicel Removal Force
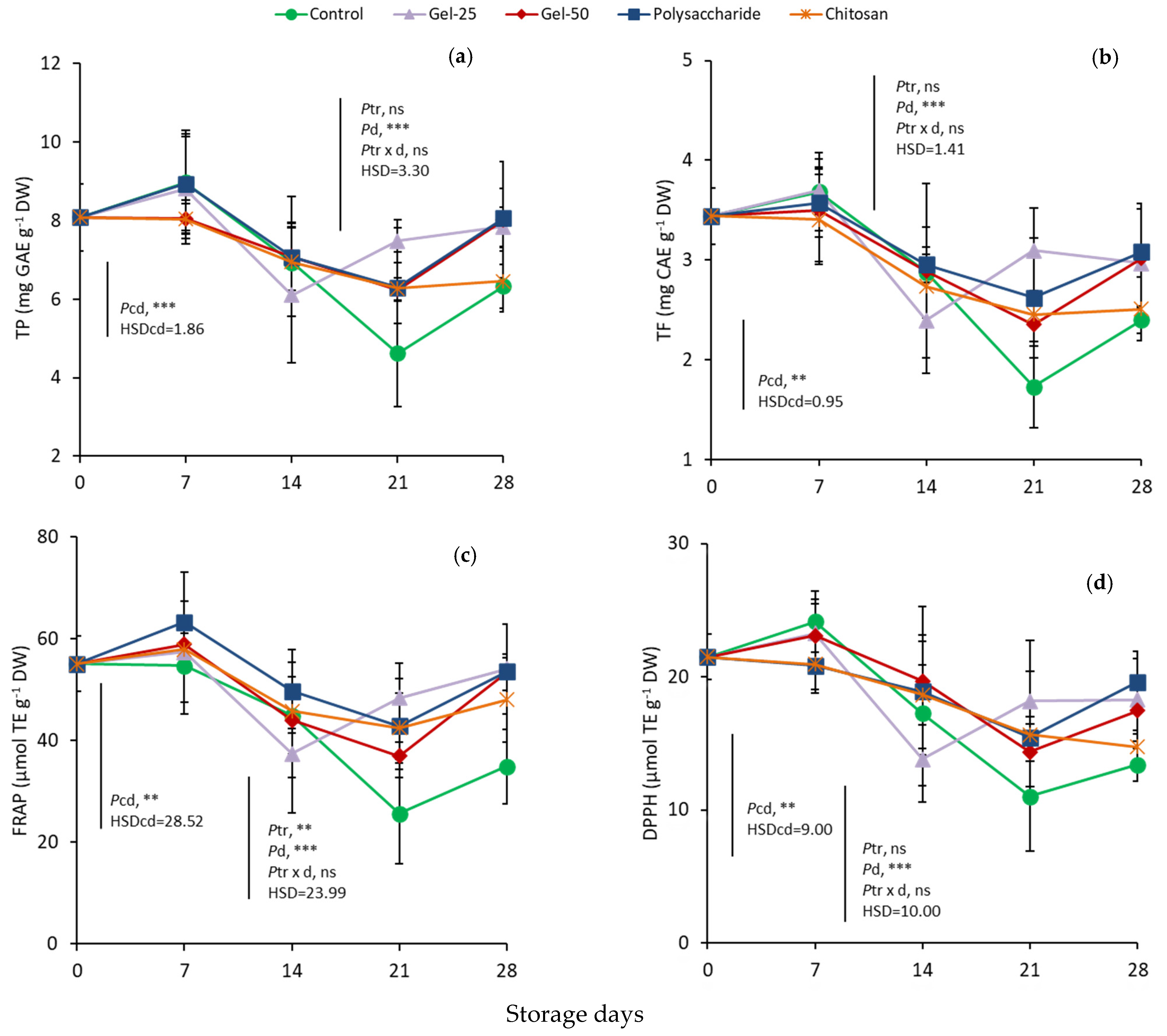
3.4. Total Phenolics, Total Flavonoids, Total Anthocyanins and Total Antioxidant Capacity Determined with DPPH and FRAP Methods
3.5. Anthocyanins
3.6. Phenolic Acids and Flavan-3-ols
4. Discussion
4.1. Peel Color
4.2. Weight Loss and Respiration Rates
4.3. Firmness
4.4. Microbial Decay, Pedicel Removal
4.5. Total Antioxidants and Total Antioxidant Capacity
4.6. Phenolic Compounds
5. Conclusions
Author Contributions
Funding
Data Availability Statement
Acknowledgments
Conflicts of Interest
References
- Serradilla, M.J.; Hernández, A.; López-Corrales, M.; Ruiz-Moyano, S.; de Guía Córdoba, M.; Martín, A. Composition of the Cherry (Prunus avium L. and Prunus cerasus L.; Rosaceae). In Nutritional Composition of Fruit Cultivars; Simmonds, M.S.J., Preedy, V.R., Eds.; Academic Press: San Diego, CA, USA, 2016; pp. 127–147. [Google Scholar] [CrossRef]
- Kent, K.; Hölzel, N.; Swarts, N. Polyphenolic Compounds in Sweet Cherries: A Focus on Anthocyanins. In Polyphenols: Mechanisms of Action in Human Health and Disease, 2nd ed.; Watson, R.R., Preedy, V.R., Zibadi, S., Eds.; Academic Press: San Diego, CA, USA, 2018; pp. 103–118. [Google Scholar] [CrossRef]
- Linke, M.; Herppich, W.B.; Geyer, M. Green peduncles may indicate postharvest freshness of sweet cherries. Postharvest Biol. Technol. 2010, 58, 135–141. [Google Scholar] [CrossRef]
- Bai, J.; Plotto, A.; Spotts, R.; Rattanapanone, N. Ethanol vapor and saprophytic yeast treatments reduce decay and maintain quality of intact and fresh-cut sweet cherries. Postharvest Biol. Technol. 2011, 62, 204–212. [Google Scholar] [CrossRef]
- Bai, J.; Baldwin, E.; Tsantili, E.; Plotto, A.; Sun, X.; Wang, L.; Kafkaletou, M.; Wang, Z.; Narciso, J.; Zhao, W.; et al. Modified humidity clamshells to reduce moisture loss and extend storage life of small fruits. Food Packag. Shelf Life 2019, 22, 100376. [Google Scholar] [CrossRef]
- Harb, J.; Saquet, A.; Bisharat, R.; Streif, J. Quality and biochemical changes of sweet cherries cv. Regina stored in modified atmosphere packaging. J. Appl. Bot. Food Qual. 2006, 80, 145–149. [Google Scholar]
- Wang, Y.; Long, L.E. Respiration and quality responses of sweet cherry to different atmospheres during cold storage and shipping. Postharvest Biol. Technol. 2014, 92, 62–69. [Google Scholar] [CrossRef]
- Wang, Y.; Bai, J.; Long, L.E. Quality and physiological responses of two late-season sweet cherry cultivars ‘Lapins’ and ‘Skeena’ to modified atmosphere packaging (MAP) during simulated long distance ocean shipping. Postharvest Biol. Technol. 2015, 110, 1–8. [Google Scholar] [CrossRef]
- Wani, A.A.; Singh, P.; Gul, K.; Wani, M.H.; Langowski, H.C. Sweet cherry (Prunus avium): Critical factors affecting the composition and shelf life. Food Packag. Shelf Life 2014, 1, 86–99. [Google Scholar] [CrossRef]
- Bai, J.; Plotto, A. Coatings for fresh fruits and vegetables. In Edible Coatings and Films to Improved Food Quality, 2nd ed.; Taylor & Francis Group: Boca Raton, FL, USA, 2012; pp. 185–242. [Google Scholar]
- Park, H.J. Development of advanced edible coatings for fruits. Trends Food Sci. Technol. 1999, 10, 254–260. [Google Scholar] [CrossRef]
- Riva, S.C.; Opara, U.O.; Fawole, O.A. Recent developments on postharvest application of edible coatings on stone fruit: A review. Sci. Hortic. 2020, 262, 109074. [Google Scholar] [CrossRef]
- Han, C.; Lederer, C.; McDaniel, M.; Zhao, Y. Sensory Evaluation of Fresh Strawberries (Fragaria ananassa) Coated with Chitosan-based Edible Coatings. J. Food Sci. 2005, 70, S172–S178. [Google Scholar] [CrossRef]
- Chien, P.-J.; Sheu, F.; Yang, F.-H. Effects of edible chitosan coating on quality and shelf life of sliced mango fruit. J. Food Eng. 2007, 78, 225–229. [Google Scholar] [CrossRef]
- Dang, Q.F.; Yan, J.Q.; Li, Y.; Cheng, X.J.; Liu, C.S.; Chen, X.G. Chitosan Acetate as an Active Coating Material and Its Effects on the Storing of Prunus avium L. J. Food Sci. 2010, 75, S125–S131. [Google Scholar] [CrossRef]
- Pasquariello, M.S.; Di Patre, D.; Mastrobuoni, F.; Zampella, L.; Scortichini, M.; Petriccione, M. Influence of postharvest chitosan treatment on enzymatic browning and antioxidant enzyme activity in sweet cherry fruit. Postharvest Biol. Technol. 2015, 109, 45–56. [Google Scholar] [CrossRef]
- Petriccione, M.; De Sanctis, F.; Pasquariello, M.S.; Mastrobuoni, F.; Rega, P.; Scortichini, M.; Mencarelli, F. The Effect of Chitosan Coating on the Quality and Nutraceutical Traits of Sweet Cherry During Postharvest Life. Food Bioprocess Technol. 2015, 8, 394–408. [Google Scholar] [CrossRef]
- Romanazzi, G.; Feliziani, E.; Sivakumar, D. Chitosan, a Biopolymer With Triple Action on Postharvest Decay of Fruit and Vegetables: Eliciting, Antimicrobial and Film-Forming Properties. Front. Microbiol. 2018, 9, 2745. [Google Scholar] [CrossRef]
- Martínez-Romero, D.; Alburquerque, N.; Valverde, J.M.; Guillén, F.; Castillo, S.; Valero, D.; Serrano, M. Postharvest sweet cherry quality and safety maintenance by Aloe vera treatment: A new edible coating. Postharvest Biol. Technol. 2006, 39, 93–100. [Google Scholar] [CrossRef]
- Dong, F.; Wang, X. Guar gum and ginseng extract coatings maintain the quality of sweet cherry. LWT 2018, 89, 117–122. [Google Scholar] [CrossRef]
- Mahfoudhi, N.; Hamdi, S. Use of Almond Gum and Gum Arabic as Novel Edible Coating to Delay Postharvest Ripening and to Maintain Sweet Cherry (Prunus avium) Quality during Storage. J. Food Process. Preserv. 2015, 39, 1499–1508. [Google Scholar] [CrossRef]
- Athmaselvi, K.A.; Sumitha, P.; Revathy, B. Development of Aloe vera based edible coating for tomato. Int. Agrophys. 2013, 27, 369–375. [Google Scholar] [CrossRef]
- Riaz, S.; Sultan, M.T.; Sibt-e-Abass, M.; Irman, M.; Ahmad, R.S.; Hussain, M.B.; Shariati, M.A.; Kosenko, I.S.; Kleymenova, N.L.; Egorova, G.N. Extraction of polysaccharides from opuntia cactus for its potential application in edible coating to improve the shelf life of citrus (Kinnow mandarin) fruit. J. Microbiol. Biotechnol. Food Sci. 2018, 8, 745–750. [Google Scholar] [CrossRef] [Green Version]
- Allegra, A.; Inglese, P.; Sortino, G.; Settanni, L.; Todaro, A.; Liguori, G. The influence of Opuntia ficus-indica mucilage edible coating on the quality of ‘Hayward’ kiwifruit slices. Postharvest Biol. Technol. 2016, 120, 45–51. [Google Scholar] [CrossRef]
- Del-Valle, V.; Hernández-Muñoz, P.; Guarda, A.; Galotto, M.J. Development of a cactus-mucilage edible coating (Opuntia ficus indica) and its application to extend strawberry (Fragaria ananassa) shelf-life. Food Chem. 2005, 91, 751–756. [Google Scholar] [CrossRef]
- Allegra, A.; Sortino, G.; Inglese, P.; Settanni, L.; Todaro, A.; Gallotta, A. The effectiveness of Opuntia ficus-indica mucilage edible coating on post-harvest maintenance of ‘Dottato’ fig (Ficus carica L.) fruit. Food Packag. Shelf Life 2017, 12, 135–141. [Google Scholar] [CrossRef]
- Tsantili, E.; Rouskas, D.; Christopoulos, M.V.; Stanidis, V.; Akrivos, J.; Papanikolaou, D. Effects of two pre-harvest calcium treatments on physiological and quality parameters in ‘Vogue’ cherries during storage. J. Hortic. Sc. Biotechnol. 2007, 82, 657–663. [Google Scholar] [CrossRef]
- Christopoulos, M.V.; Tsantili, E. Storage of fresh walnuts (Juglans regia L.)—Low temperature and phenolic compounds. Postharvest Biol. Technol. 2012, 73, 80–88. [Google Scholar] [CrossRef]
- Blackhall, M.L.; Berry, R.; Davies, N.W.; Walls, J.T. Optimized extraction of anthocyanins from Reid Fruits ‘Prunus avium’ ‘Lapins’ cherries. Food Chem. 2018, 256, 280–285. [Google Scholar] [CrossRef]
- Tsantili, E.; Shin, Y.; Nock, J.F.; Watkins, C.B. Antioxidant concentrations during chilling injury development in peaches. Postharvest Biol. Technol. 2010, 57, 27–34. [Google Scholar] [CrossRef]
- Meyers, K.J.; Watkins, C.B.; Pritts, M.P.; Liu, R.H. Antioxidant and Antiproliferative Activities of Strawberries. J. Agric. Food Chem. 2003, 51, 6887–6892. [Google Scholar] [CrossRef]
- Benzie, I.F.F.; Strain, J.J. Ferric reducing/antioxidant power assay: Direct measure of total antioxidant activity of biological fluids and modified version for simultaneous measurement of total antioxidant power and ascorbic acid concentration. In Methods in Enzymology; Lester, P., Ed.; Academic Press: Cambridge, MA, USA, 1999; Volume 299, pp. 15–27. [Google Scholar]
- Brand-Williams, W.; Cuvelier, M.E.; Berset, C. Use of a free radical method to evaluate antioxidant activity. LWT Food Sci. Technol. 1995, 28, 25–30. [Google Scholar] [CrossRef]
- Durst, R.W.; Wrolstad, R.E. Separation and Characterization of Anthocyanins by HPLC. Curr. Protoc. Food Anal. Chem. 2001, F1.3.1–F1.3.13. [Google Scholar] [CrossRef]
- Karagiannis, E.; Michailidis, M.; Karamanoli, K.; Lazaridou, A.; Minas, I.S.; Molassiotis, A. Postharvest responses of sweet cherry fruit and stem tissues revealed by metabolomic profiling. Plant Physiol. Biochem. 2018, 127, 478–484. [Google Scholar] [CrossRef]
- Milinović, B.; Dragović-Uzelac, V.; Kazija, D.H.; Jelačić, T.; Vujević, P.; Čiček, D.; Biško, A.; Čmelik, Z. Influence of four different dwarfing rootstocks on phenolic acids and anthocyanin composition of sweet cherry (Prunus avium L.) cvs ‘Kordia’ and ‘Regina’. J. Appl. Bot. Food Qual. 2016, 89. [Google Scholar]
- Commisso, M.; Bianconi, M.; Di Carlo, F.; Poletti, S.; Bulgarini, A.; Munari, F.; Negri, S.; Stocchero, M.; Ceoldo, S.; Avesani, L. Multi-approach metabolomics analysis and artificial simplified phytocomplexes reveal cultivar-dependent synergy between polyphenols and ascorbic acid in fruits of the sweet cherry (Prunus avium L.). PLoS ONE 2017, 12, e0180889. [Google Scholar]
- Serrano, M.; Diaz-Mula, H.M.; Zapata, P.J.; Castillo, S.; Guillén, F.; Martinez-Romero, D.; Valverde, J.M.; Valero, D. Maturity stage at harvest determines the fruit quality and antioxidant potential after storage of sweet cherry cultivars. J. Agric. Food Chem. 2009, 57, 3240–3246. [Google Scholar] [CrossRef]
- Serrano, M.; Guillén, F.; Martínez-Romero, D.; Castillo, S.; Valero, D. Chemical constituents and antioxidant activity of sweet cherry at different ripening stages. J. Agric. Food Chem. 2005, 53, 2741–2745. [Google Scholar] [CrossRef]
- Chiabrando, V.; Giacalone, G. Effects of alginate edible coating on quality and antioxidant properties in sweet cherry during postharvest storage. Ital. J. Food Sci. 2015, 27, 173–180. [Google Scholar]
- Díaz-Mula, H.M.; Serrano, M.; Valero, D. Alginate Coatings Preserve Fruit Quality and Bioactive Compounds during Storage of Sweet Cherry Fruit. Food Bioprocess Technol. 2012, 5, 2990–2997. [Google Scholar] [CrossRef]
- Zhang, Y.-L.; Cui, Q.-L.; Wang, Y.; Shi, F.; Liu, Y.-P.; Liu, J.-L.; Nie, G.-W. Effect of carboxymethyl chitosan-gelatin-based edible coatings on the quality and antioxidant properties of sweet cherry during postharvest storage. Sci. Hortic. 2021, 289, 110462. [Google Scholar] [CrossRef]
- Kafkaletou, M.; Christopoulos, M.V.; Ktistaki, M.-E.; Sotiropoulos, T.; Tsantili, E. The influence of rain cover on respiration, quality attributes and storage of cherries (Prunus avium L.). J. Appl. Bot. Food Qual. 2015, 88, 87–96. [Google Scholar] [CrossRef]
- Toivonen, P.M.; Kappel, F.; Stan, S.; McKenzie, D.-L.; Hocking, R. Firmness, respiration, and weight loss of Bing ‘Lapins’ and Sweetheart’ cherries in relation to fruit maturity and susceptibility to surface pitting. HortScience 2004, 39, 1066–1069. [Google Scholar] [CrossRef] [Green Version]
- Rojas-Argudo, C.; Pérez-Gago, M.B.; del Río, M.A. Postharvest Quality of Coated Cherries cv. ‘Burlat’ as Affected by Coating Composition and Solids Content. Food Sci. Technol. Int. 2005, 11, 417–424. [Google Scholar] [CrossRef]
- Kritzinger, I.; Theron, K.I.; Lötze, G.F.A.; Lötze, E. Peel water vapour permeance of Japanese plums as indicator of susceptibility to postharvest shriveling. Sci. Hortic. 2018, 242, 188–194. [Google Scholar] [CrossRef]
- Biale, J.; Young, R. Respiration and ripening in fruits. In Recent Advances in the Biochemistry of Fruits and Vegetables; Friend, J., Rhodes, M.J., Eds.; Academic Press: London, UK, 1984; pp. 1–39. [Google Scholar]
- Abdi, N.; McGlasson, W.B.; Holford, P.; Williams, M.; Mizrahi, Y. Responses of climacteric and suppressed-climacteric plums to treatment with propylene and 1-methylcyclopropene. Postharvest Biol. Technol. 1998, 14, 29–39. [Google Scholar] [CrossRef]
- Toivonen, P.; Kappel, F. Effect of cold storage duration on shelf quality attributes of ‘Bing’and five sweet cherry cultivars developed in the Summerland breeding program. In Proceedings of the XXVIII International Horticultural Congress Science and Horticulture for People (IHC2010): International Symposium on 934, Lisbon, Portugal, 22–27 August 2012; pp. 1011–1016. [Google Scholar]
- Xin, Y.; Jin, Z.; Chen, F.; Lai, S.; Yang, H. Effect of chitosan coatings on the evolution of sodium carbonate-soluble pectin during sweet cherry softening under non-isothermal conditions. Int. J. Biol. Macromol. 2020, 154, 267–275. [Google Scholar] [CrossRef]
- Chiu, P.-E.; Lai, L.-S. Antimicrobial activities of tapioca starch/decolorized hsian-tsao leaf gum coatings containing green tea extracts in fruit-based salads, romaine hearts and pork slices. Int. J. Food Microbiol. 2010, 139, 23–30. [Google Scholar] [CrossRef]
- Kim, D.-O.; Heo, H.J.; Kim, Y.J.; Yang, H.S.; Lee, C.Y. Sweet and Sour Cherry Phenolics and Their Protective Effects on Neuronal Cells. J. Agric. Food Chem. 2005, 53, 9921–9927. [Google Scholar] [CrossRef]
- Chockchaisawasdee, S.; Golding, J.B.; Vuong, Q.V.; Papoutsis, K.; Stathopoulos, C.E. Sweet cherry: Composition, postharvest preservation, processing and trends for its future use. Trends Food Sci. Technol. 2016, 55, 72–83. [Google Scholar] [CrossRef]
- Gonçalves, B.; Landbo, A.-K.; Knudsen, D.; Silva, A.P.; Moutinho-Pereira, J.; Rosa, E.; Meyer, A.S. Effect of ripeness and postharvest storage on the phenolic profiles of cherries (Prunus avium L.). J. Agric. Food Chem. 2004, 52, 523–530. [Google Scholar] [CrossRef]
- Gonçalves, B.; Silva, A.P.; Moutinho-Pereira, J.; Bacelar, E.; Rosa, E.; Meyer, A.S. Effect of ripeness and postharvest storage on the evolution of colour and anthocyanins in cherries (Prunus avium L.). Food Chem. 2007, 103, 976–984. [Google Scholar] [CrossRef]
- Tsaniklidis, G.; Kafkaletou, M.; Delis, C.; Tsantili, E. The effect of postharvest storage temperature on sweet cherry (Prunus avium L.) phenolic metabolism and colour development. Sci. Hortic. 2017, 225, 751–756. [Google Scholar] [CrossRef]
- Toivonen, P.M.; Hodges, D.M. Abiotic Stress in Harvested Fruits and Vegetables. In Abiotic Stress in Plants-Mechanisms and Adaptations; Shanker, A., Ed.; InTech: Changzhou, China, 2011; pp. 39–58. Available online: http://www.intechopen.com/books/abiotic-stress-in-plants-mechanisms-andadaptations/abiotic-stress-in-harvested-fruits-and-vegetables (accessed on 10 December 2021).
- Rice-Evans, C.A.; Miller, N.J.; Paganga, G. Structure-antioxidant activity relationships of flavonoids and phenolic acids. Free Radical Biol. Med. 1996, 20, 933–956. [Google Scholar] [CrossRef]
- Martini, S.; Conte, A.; Tagliazucchi, D. Phenolic compounds profile and antioxidant properties of six sweet cherry (Prunus avium) cultivars. Food Res. Int. 2017, 97, 15–26. [Google Scholar] [CrossRef] [PubMed]
- Di Bella, G.; Vecchio, G.L.; Albergamo, A.; Nava, V.; Bartolomeo, G.; Macrì, A.; Bacchetta, L.; Turco, V.L.; Potortì, A.G. Chemical characterization of Sicilian dried nopal [Opuntia ficus-indica (L.) Mill.]. J. Food Compos. Anal. 2022, 106, 104307. [Google Scholar] [CrossRef]





| Harvest | ||
|---|---|---|
| TSS a (%) | pH | TA (%, w/w) |
| 8.33 ± 0.06 | 4.09 ± 0.06 | 4.29 ± 0.02 |
| Storage Days | ||||||||||||
|---|---|---|---|---|---|---|---|---|---|---|---|---|
| Treatments | 0 | 7 | 14 | 21 | 28 | Pcd | HSDcd | Ptr | Pst | Ptr × st | HSD | |
| TAN (mg g−1 DW) | Control | 4.56 ± 1.13 | 3.56 ± 0.83 a | 3.02 ± 0.86 | 2.04 ± 0.83 | 2.90 ± 0.19 | ns b | 2.72 c | ns | ns | ** | 1.93 d |
| Gel-25 | 4.56 ± 1.13 | 3.30 ± 0.38 | 2.25 ± 0.90 | 3.45 ± 0.74 | 3.56 ± 0.53 | |||||||
| Gel-50 | 4.56 ± 1.13 | 3.53 ± 0.51 | 2.34 ± 0.82 | 2.51 ± 0.30 | 3.64 ± 0.54 | |||||||
| Polysaccharide | 4.56 ± 1.13 | 4.21 ± 1.12 | 2.83 ± 0.94 | 2.70 ± 0.30 | 4.00 ± 0.16 | |||||||
| Chitosan | 4.56 ± 1.13 | 3.10 ± 0.73 | 2.41 ± 0.43 | 2.50 ± 0.52 | 2.95 ± 0.26 | |||||||
| Anthocyanins | ||||||||||||
| Cyanidin 3-O-rutinoside (mg g−1 DW) | Control | 2.27 ± 0.53 | 1.75 ± 0.41 | 1.28 ± 0.34 | 1.13 ± 0.38 | 1.51 ± 0.15 | * | 1.35 | *** | *** | ns | 1.37 |
| Gel-25 | 2.27 ± 0.53 | 1.80 ± 0.20 | 1.15 ± 0.31 | 1.76 ± 0.18 | 2.82 ± 0.41 | |||||||
| Gel-50 | 2.27 ± 0.53 | 2.37 ± 0.22 | 1.83 ± 0.60 | 1.73 ± 0.21 | 3.07 ± 0.41 | |||||||
| Polysaccharide | 2.27 ± 0.53 | 2.27 ± 0.26 | 1.95 ± 0.87 | 1.65 ± 0.19 | 2.95 ± 0.69 | |||||||
| Chitosan | 2.27 ± 0.53 | 2.26 ± 0.08 | 1.35 ± 0.23 | 1.43 ± 0.24 | 1.86 ± 0.14 | |||||||
| Cyanidin 3-O-glucoside (mg g−1 DW) | Control | 0.056 ± 0.006 | 0.025 ± 0.022 | 0.005 ± 0.003 | 0.016 ± 0.014 | 0.023 ± 0.005 | ** | 0.01 | * | *** | ns | 0.001 |
| Gel-25 | 0.056 ± 0.006 | 0.023 ± 0.011 | 0.004 ± 0.004 | 0.020 ± 0.004 | 0.051 ± 0.016 | |||||||
| Gel-50 | 0.056 ± 0.006 | 0.024 ± 0.003 | 0.024 ± 0.008 | 0.019 ± 0.002 | 0.052 ± 0.016 | |||||||
| Polysaccharide | 0.056 ± 0.006 | 0.031 ± 0.008 | 0.022 ± 0.020 | 0.019 ± 0.004 | 0.046 ± 0.020 | |||||||
| Chitosan | 0.056 ± 0.006 | 0.028 ± 0.007 | 0.007 ± 0.006 | 0.011 ± 0.010 | 0.024 ± 0.009 | |||||||
| Peonidin 3-O-glucoside (mg g−1 DW) | Control | 0.104 ± 0.017 | 0.062 ± 0.031 | 0.063 ± 0.022 | 0.020 ± 0.017 | 0.082 ±0.007 | ** | 0.05 | *** | *** | ns | 0.11 |
| Gel-25 | 0.104 ± 0.017 | 0.135 ± 0.037 | 0.072 ± 0.052 | 0.076 ± 0.040 | 0.192 ± 0.069 | |||||||
| Gel-50 | 0.104 ± 0.017 | 0.158 ± 0.023 | 0.133 ± 0.013 | 0.097 ± 0.020 | 0.208 ± 0.017 | |||||||
| Polysaccharide | 0.104 ± 0.017 | 0.185 ± 0.007 | 0.106 ± 0.021 | 0.078 ± 0.026 | 0.201 ± 0.025 | |||||||
| Chitosan | 0.104 ± 0.017 | 0.167 ± 0.035 | 0.110 ± 0.011 | 0.085 ± 0.034 | 0.169 ± 0.025 | |||||||
| Malvidin 3-O-glucoside (mg g−1 DW) | Control | 0.037 ± 0.009 | 0.035 ± 0.014 | 0.025 ± 0.004 | 0.029 ± 0.016 | 0.030 ± 0.004 | * | 0.01 | *** | ** | ns | 0.03 |
| Gel-25 | 0.037 ± 0.009 | 0.017 ± 0.001 | 0.026 ± 0.011 | 0.029 ± 0.007 | 0.042 ± 0.026 | |||||||
| Gel-50 | 0.037 ± 0.009 | 0.051 ± 0.007 | 0.051 ± 0.006 | 0.044 ± 0.009 | 0.067 ± 0.006 | |||||||
| Polysaccharide | 0.037 ± 0.009 | 0.072 ± 0.008 | 0.049 ± 0.008 | 0.041 ± 0.006 | 0.065 ± 0.009 | |||||||
| Chitosan | 0.037 ± 0.009 | 0.050 ± 0.011 | 0.048 ± 0.012 | 0.039 ± 0.014 | 0.054 ± 0.003 | |||||||
| Phenolic acids | ||||||||||||
| Chlorogenic acid (mg g−1 DW) | Control | 0.023 ± 0.010 | 0.043 ± 0.018 | 0.022 ± 0.004 | 0.012 ± 0.002 | 0.019 ± 0.001 | * | 0.001 | ns | *** | * | 0.01 |
| Gel-25 | 0.023 ± 0.010 | 0.029 ± 0.001 | 0.019 ± 0.005 | 0.021 ± 0.003 | 0.033 ± 0.003 | |||||||
| Gel-50 | 0.023 ± 0.010 | 0.041 ± 0.005 | 0.020 ± 0.016 | 0.024 ± 0.002 | 0.036 ± 0.004 | |||||||
| Polysaccharide | 0.023 ± 0.010 | 0.039 ± 0.003 | 0.033 ± 0.006 | 0.022 ± 0.004 | 0.036 ± 0.002 | |||||||
| Chitosan | 0.023 ± 0.010 | 0.035 ± 0.005 | 0.032 ± 0.004 | 0.028 ± 0.006 | 0.031 ± 0.002 | |||||||
| Neochlorogenic acid (mg g−1 DW) | Control | 0.62 ± 0.03 | 0.43 ± 0.06 | 0.37 ± 0.09 | 0.18 ± 0.04 | 0.35 ± 0.01 | *** | 0.01 | ns | *** | ns | 0.61 |
| Gel-25 | 0.62 ± 0.03 | 0.49 ± 0.03 | 0.29 ± 0.12 | 0.37 ± 0.06 | 0.58 ± 0.09 | |||||||
| Gel-50 | 0.62 ± 0.03 | 0.74 ± 0.12 | 0.49 ± 0.19 | 0.37 ± 0.03 | 0.63 ± 0.04 | |||||||
| Polysaccharide | 0.62 ± 0.03 | 0.70 ± 0.06 | 0.50 ± 0.13 | 0.32 ± 0.04 | 0.60 ± 0.06 | |||||||
| Chitosan | 0.62 ± 0.03 | 0.61 ± 0.06 | 0.46 ± 0.05 | 0.44 ± 0.09 | 0.53 ± 0.04 | |||||||
| Flavan-3-ols | ||||||||||||
| Catechin (mg g−1 DW) | Control | 1.77 ± 0.16 | 1.07 ± 0.05 | 1.08 ± 0.23 | 0.61 ± 0.08 | 0.88 ± 0.07 | ** | 0.01 | *** | ** | ns | 1.02 |
| Gel-25 | 1.77 ± 0.16 | 1.27 ± 0.17 | 1.03 ± 0.20 | 1.13 ± 0.09 | 1.41 ± 0.13 | |||||||
| Gel-50 | 1.77 ± 0.16 | 1.55 ± 0.17 | 1.98 ± 0.71 | 1.54 ± 0.37 | 2.15 ± 0.27 | |||||||
| Polysaccharide | 1.77 ± 0.16 | 1.45 ± 0.09 | 2.02 ± 0.67 | 1.00 ± 0.06 | 1.85 ± 0.42 | |||||||
| Chitosan | 1.77 ± 0.16 | 1.66 ± 0.49 | 1.46 ± 0.19 | 1.21 ± 0.17 | 1.20 ± 0.11 | |||||||
| Epicatechin (mg g−1 DW) | Control | 0.22 ± 0.06 | 0.20 ± 0.14 | 0.06 ± 0.01 | 0.04 ± 0.01 | 0.07 ± 0.01 | *** | 0.01 | ns | *** | ** | 0.05 |
| Gel-25 | 0.22 ± 0.06 | 0.11 ± 0.03 | 0.07 ± 0.04 | 0.06 ± 0.04 | 0.19 ± 0.04 | |||||||
| Gel-50 | 0.22 ± 0.06 | 0.15 ± 0.03 | 0.14 ± 0.02 | 0.11 ± 0.01 | 0.23 ± 0.02 | |||||||
| Polysaccharide | 0.22 ± 0.06 | 0.18 ± 0.01 | 0.11 ± 0.03 | 0.09 ± 0.03 | 0.20 ± 0.03 | |||||||
| Chitosan | 0.22 ± 0.06 | 0.18 ± 0.02 | 0.12 ± 0.01 | 0.10 ± 0.03 | 0.17 ± 0.02 | |||||||
Publisher’s Note: MDPI stays neutral with regard to jurisdictional claims in published maps and institutional affiliations. |
© 2022 by the authors. Licensee MDPI, Basel, Switzerland. This article is an open access article distributed under the terms and conditions of the Creative Commons Attribution (CC BY) license (https://creativecommons.org/licenses/by/4.0/).
Share and Cite
Christopoulos, M.V.; Gkatzos, D.; Kafkaletou, M.; Bai, J.; Fanourakis, D.; Tsaniklidis, G.; Tsantili, E. Edible Coatings from Opuntia ficus-indica Cladodes Alongside Chitosan on Quality and Antioxidants in Cherries during Storage. Foods 2022, 11, 699. https://doi.org/10.3390/foods11050699
Christopoulos MV, Gkatzos D, Kafkaletou M, Bai J, Fanourakis D, Tsaniklidis G, Tsantili E. Edible Coatings from Opuntia ficus-indica Cladodes Alongside Chitosan on Quality and Antioxidants in Cherries during Storage. Foods. 2022; 11(5):699. https://doi.org/10.3390/foods11050699
Chicago/Turabian StyleChristopoulos, Miltiadis V., Dimitrios Gkatzos, Mina Kafkaletou, Jinhe Bai, Dimitrios Fanourakis, Giorgos Tsaniklidis, and Eleni Tsantili. 2022. "Edible Coatings from Opuntia ficus-indica Cladodes Alongside Chitosan on Quality and Antioxidants in Cherries during Storage" Foods 11, no. 5: 699. https://doi.org/10.3390/foods11050699
APA StyleChristopoulos, M. V., Gkatzos, D., Kafkaletou, M., Bai, J., Fanourakis, D., Tsaniklidis, G., & Tsantili, E. (2022). Edible Coatings from Opuntia ficus-indica Cladodes Alongside Chitosan on Quality and Antioxidants in Cherries during Storage. Foods, 11(5), 699. https://doi.org/10.3390/foods11050699

