The Potential of Olive Leaf Extract as a Functional Ingredient in Yoghurt Production: The Effects on Fermentation, Rheology, Sensory, and Antioxidant Properties of Cow Milk Yoghurt
Abstract
1. Introduction
2. Materials and Methods
2.1. OLE Production
2.2. Yoghurt Production
2.3. Acidity Measurements
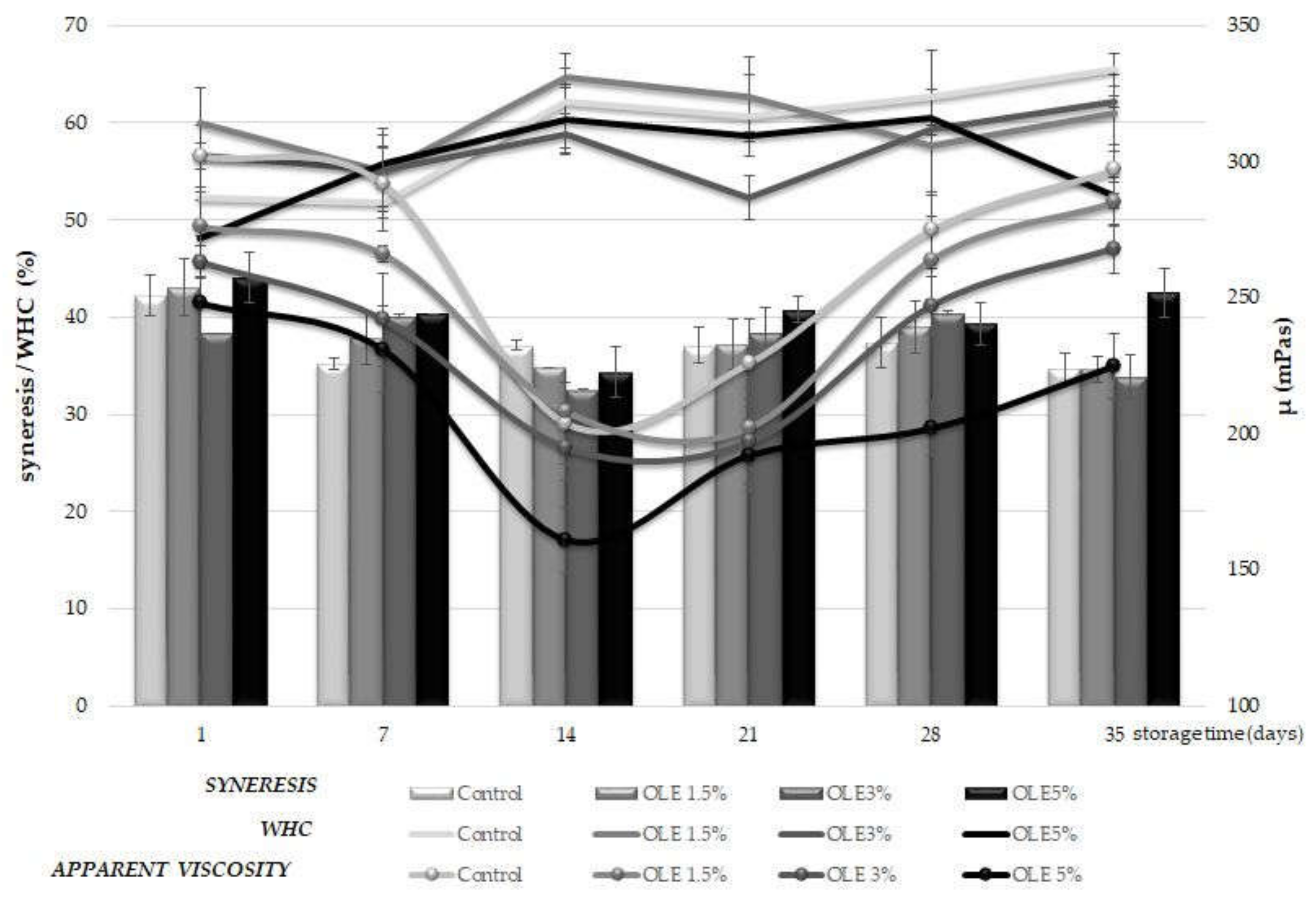
2.4. Syneresis, Water Holding Capacity, and Viscosity
2.5. Microbiological Analyses
2.6. Total Phenols Content
2.7. Antioxidant Activity by Ferric Reducing Antioxidant Power (FRAP) and the DPPH Method
2.8. Colour Determination
2.9. Sensory Evaluation
2.10. Statistical Analysis
3. Results and Discussion
3.1. Acidity and Fermentation Time
3.2. Syneresis, WHC, and Viscosity
3.3. Microbiological Analyses
3.4. Total Phenols and Antioxidant Activity
3.5. Colour Determination and Sensory Evaluation
4. Conclusions
Author Contributions
Funding
Data Availability Statement
Acknowledgments
Conflicts of Interest
References
- Ortiz, Y.; García-Amézquita, E.; Acosta, C.H.; Sepúlveda, D.R. Functional Dairy Products. In Global Food Security and Wellness; Barbosa-Cánovas, G., Ed.; Springer: New York, NY, USA, 2017; pp. 67–103. [Google Scholar] [CrossRef]
- Rodgers, S. Minimally Processed Functional Foods: Technological and Operational Pathways. J. Food Sci. 2016, 81, R2309–R2319. [Google Scholar] [CrossRef] [PubMed]
- Gasmalla, M.A.A.; Tessema, H.A.; Salaheldin, A.; Alahmad, K.; Hassanin, H.A.M.; Aboshora, W. Health benefits of milk and functional dairy products. MOJ Food Process. Technol. 2017, 4, 108–111. [Google Scholar] [CrossRef][Green Version]
- Granato, D.; Santos, J.S.; Salem, R.D.; Mortazavian, A.M.; Rocha, R.S.; Cruz, A.G. Effects of herbal extracts on quality traits of yogurts, cheeses, fermented milks, and ice creams: A technological perspective. Curr. Opin. Food Sci. 2018, 19, 1–7. [Google Scholar] [CrossRef]
- EMA Monograph. 2017. Available online: https://www.ema.europa.eu/en/documents/herbal-report/final-assessment-report-olea-europaea-l-folium-first-version_en.pdf (accessed on 10 December 2021).
- Zoidou, E.; Melliou, E.; Moatsou, G.; Magiatis, Ρ. Preparation of functional yogurt enriched with olive-derived products. In Yogurt in Health and Disease Prevention; Shah, N.P., Ed.; Academic Press: London, UK, 2017; pp. 203–220. [Google Scholar] [CrossRef]
- EFSA. Scientific Opinion on the Substantiation of Health Claims Related to Polyphenols in Olive and Protection of LDL Particles from Oxidative Damage. 2011. Available online: https://www.efsa.europa.eu/en/efsajournal/pub/2033 (accessed on 16 December 2021).
- Cho, W.-Y.; Kim, D.-H.; Lee, H.-J.; Yeon, S.-J.; Lee, C.-H. Quality characteristic and antioxidant activity of yogurt containing olive leaf hot water extract. CYTA J. Food 2020, 18, 43–50. [Google Scholar] [CrossRef]
- Talhaoui, N.; Trabelsi, N.; Taamalli, A.; Verardo, V.; Gómez-Caravaca, A.M.; Fernández-Gutiérrez, A.; Arraez-Roman, D. Olea europaea as Potential Source of Bioactive Compounds for Diseases Prevention. In Studies in Natural Products Chemistry; Rahman, A., Ed.; Elsevier Applied Science: Amsterdam, The Netherlands, 2018; pp. 389–411. [Google Scholar]
- Pourghorban, S.; Yadegarian, L.; Jalili, M.; Rashidi, L. Comparative Physicochemical, Microbiological, Antioxidant, and Sensory properties of pre- and post-fermented yoghurt enriched with olive leaf and its extract. Food Sci. Nutr. 2022. [Google Scholar] [CrossRef]
- El-Messery, T.M.; Aly, E.; López-Nicolas, R.; Sánchez-Moya, T.; Ros, G. Bioaccessibility and antioxidant activity of PCL-microencapsulated olive leaves polyphenols and its application in yogurt. J. Food Sci. 2021, 86, 4303–4315. [Google Scholar] [CrossRef] [PubMed]
- Dobrinčić, A.; Repajić, M.; Elez Garofulić, I.; Tuđen, L.; Dragović Uzelac, V.; Levaj, B. Comparison of Different Extraction Methods for the Recovery of Olive Leaves Polyphenols. Processes 2020, 8, 1008. [Google Scholar] [CrossRef]
- Repajić, M.; Cegledi, E.; Kruk, V.; Pedisić, S.; Çınar, F.; Bursać Kovačević, D.; Žutić, I.; Dragović-Uzelac, V. Accelerated Solvent Extraction as a Green Tool for the Recovery of Polyphenols and Pigments from Wild Nettle Leaves. Processes 2020, 8, 803. [Google Scholar] [CrossRef]
- ISO/TS 11869:2012; Fermented Milks—Determination of Titratable Acidity—Potentiometric Method. ISO: Geneva, Switzerland, 2012.
- Feng, C.; Wang, B.; Zhao, A.; Wei, L.; Shao, Y.; Wang, Y.; Cao, B.; Zhang, F. Quality characteristics and antioxidant activities of goat milk yogurt with added jujube pulp. Food Chem. 2018, 277, 238–245. [Google Scholar] [CrossRef]
- Cardines, P.H.; Baptista, A.T.; Gomes, R.G.; Bergamasco, R.; Vieira, A.M. Moringa oleifera seed extracts as promising natural thickening agents for food industry: Study of the thickening action in yogurt production. LWT 2018, 97, 39–44. [Google Scholar] [CrossRef]
- ISO 6887-5:2010; Microbiology of Food and Animal Feeding Stuffs—Preparation of Test Samples, Initial Suspension and Decimal Dilutions for Microbiological Examination—Part 5: Specific Rules for the Preparation of Milk and Milk Products. ISO: Geneva, Switzerland, 2010.
- Shortle, E.; O’Grady, M.N.; Gilroy, D.; Furey, A.; Quinn, N.; Kerry, J.P. Influence of extraction technique on the anti-oxidative potential of hawthorn (Crataegus monogyna) extracts in bovine muscle homogenates. Meat Sci. 2014, 98, 828–834. [Google Scholar] [CrossRef]
- Perna, A.; Intaglietta, I.; Simonetti, A.; Gambacorta, E. Antioxidant activity of yogurt made from milk characterized by different casein haplotypes and fortified with chestnut and sulla honeys. J. Dairy Sci. 2014, 97, 6662–6670. [Google Scholar] [CrossRef]
- Benzie, I.F.F. An automated, specific, spectrophotometric method for measuring ascorbic acid in plasma (EFTSA). Clin. Biochem. 1996, 29, 111–116. [Google Scholar] [CrossRef]
- Benzie, I.F.F.; Strain, J.J. The Ferric reducing ability of plasma (FRAP) as a measure of “antioxidant power”: The FRAP assay. Anal. Biochem. 1996, 239, 70–76. [Google Scholar] [CrossRef]
- Tavakoli, H.; Hosseini, O.; Jafari, S.M.; Katouzian, I. Evaluation of Physicochemical and Antioxidant Properties of Yogurt Enriched by Olive Leaf Phenolics within Nanoliposomes. J. Agr. Food Chem. 2018, 66, 9231–9240. [Google Scholar] [CrossRef]
- OIV. Compendium of International Methods of Analysis of Spirituous Beverages of Vitivinicultural Origin—Determination of Chromatic Characteristics; (OIV-MA-BS-27); International Organisation of Vine and Wine: Paris, France, 2014; Available online: https://www.oiv.int/public/medias/2687/oiv-ma-bs-27.pdf (accessed on 27 December 2021).
- ISO 22935-3:2009; Milk and Milk Products—Sensory Analysis—Part 3: Guidance on a Method for Evaluation of Compliance with Product Specifications for Sensory Properties by Scoring. ISO: Geneva, Switzerland, 2009.
- Molnar, P.; Örsi, F. Determination of weighting factors for the sensory evaluation of food. Nahr. Food 1982, 26, 661–667. [Google Scholar] [CrossRef]
- ISO 8589:2007; Sensory Analysis—General Guidance for the Design of Test Rooms. ISO: Geneva, Switzerland, 2007.
- Kwon, H.C.; Bae, H.; Seo, H.G.; Han, S.G. Chia seed extract enhances physiochemical and antioxidant properties of yogurt. J. Dairy Sci. 2019, 102, 4870–4876. [Google Scholar] [CrossRef]
- Georgakouli, K.; Mpesios, A.; Kouretas, D.; Petrotos, K.; Mitsagga, C.; Giavasis, I.; Jamurtas, A.Z. The Effects of an Olive Fruit Polyphenol-Enriched Yogurt on Body Composition, Blood Redox Status, Physiological and Metabolic Parameters and Yogurt Microflora. Nutrients 2016, 8, 344. [Google Scholar] [CrossRef] [PubMed]
- Marhamatizadeh, M.H.; Ehsandoost, E.; Gholami, P.; Mohaghegh, M.D. Effect of Olive Leaf Extract on Growth and Viability of Lactobacillus acidophilus and Bifidobacterium bifidum for Production of Probiotic Milk and Yoghurt. Int. J. Farm. Alli. Sci. 2013, 2, 572–578. [Google Scholar]
- Zoidou, E.; Magiatis, P.; Melliou, E.; Constantinou, M.; Haroutounian, S.; Skatounis, A.L. Oleuropein as a bioactive constituent added in milk and yogurt. Food Chem. 2014, 158, 19–24. [Google Scholar] [CrossRef]
- Lucey, J.A.; Munro, P.A.; Singh, H. Microstructure, permeability, and appearance of acid gels made from heated skim milk. Food Hydrocol. 1998, 12, 159–165. [Google Scholar] [CrossRef]
- Chudy, S.; Bilska, A.; Kowalski, R.; Teichert, J. Colour of milk and milk products in CIE L*a*b* space. Med. Weter. 2020, 76, 77–81. [Google Scholar] [CrossRef]
- Dönmez, Ö.; Mogol, B.A.; Gökmen, V. Syneresis and rheological behaviors of set yogurt containing green tea and green coffee powder. J. Dairy Sci. 2017, 100, 901–907. [Google Scholar] [CrossRef] [PubMed]
- Charlton, A.J.; Baxter, N.J.; Khan, M.L.; Moir, A.J.G.; Haslam, E.; Davies, A.P. Polyphenol/peptide binding and precipitation. J. Agric. Food Chem. 2002, 50, 1593–1601. [Google Scholar] [CrossRef]
- Oliveira, M.N.; Sodini, I.; Remeuf, F.; Corrieu, G. Effect of milk supplementation and culture composition on acidification, textural properties, and microbiological stability of fermented milks containing probiotic bacteria. Int. Dairy J. 2001, 11, 935–942. [Google Scholar] [CrossRef]
- Sastry, S.M.C.; Rao, N.M.S. Binding of chlorogenic acid by the isolated polyphenol-free 11 S protein of sunflower (Helianthus annuus) seed. J. Agric. Food Chem. 1990, 38, 2103–2110. [Google Scholar] [CrossRef]
- Akgun, A.; Yazici, F.; Gulec, H.A. The combined effect of probiotic cultures and incubation final pH on the quality of buffalo milk yogurt during cold storage. Food Sci. Nutr. 2018, 6, 492–502. [Google Scholar] [CrossRef]
- Schramm, G. A Practical Approach to Rheology and Rheometry, 2nd ed.; Thermo Haake Rheology: Karlsruhe, Germany, 2000. [Google Scholar]
- Domgala, J. Sensory Evaluation and Rheological Properties of Yoghurts Prepared from Goat, Cow and Sheep Milk. 2008. Available online: http://www.ejpau.media.pl/volume11/issue3/art-04.html (accessed on 17 January 2022).
- Codex Alimentarius. Milk and Milk Products, 2nd ed.; WHO: Geneva, Switzerland; FAO: Rome, Italy, 2011; pp. 7–8. [Google Scholar]
- Oh, N.S.; Lee, J.Y.; Joung, J.Y.; Kim, K.S.; Shin, Y.K.; Lee, K.-W.; Kim, S.H.; Oh, S.; Kim, Y. Microbiological characterization and functionality of set-type yogurt fermented with potential prebiotic substrates Cudrania tricuspidata and Morus alba L. leaf extracts. J. Dairy Sci. 2016, 99, 6014–6025. [Google Scholar] [CrossRef]
- Vázquez, C.V.; Rojas, M.G.; Ramírez, C.A.; Chávez-Servín, J.L.; García-Gasca, T.; Ferriz-Martínez, R.A.; García, O.P.; Rosado, J.L.; López-Sabater, C.M.; Castellote, A.I.; et al. Total phenolic compounds in milk from different species. Design of an extraction technique for quantification using the Folin-Ciocalteu method. Food Chem. 2015, 176, 480–486. [Google Scholar] [CrossRef]
- Chávez-Servín, J.L.; Andrade-Montemayor, H.M.; Velázquez-Vázquez, C.; Aguilera-Barreyro, A.; García-Gasca, T.; Ferríz-Martínez, R.A.; Olvera-Ramírez, A.M.; de la Torre-Carbot, K. Effects of feeding system, heat treatment and season on phenolic compounds and antioxidant capacity in goat milk, whey and cheese. Small Rumin. Res. 2018, 160, 54–58. [Google Scholar] [CrossRef]
- Everette, J.D.; Bryant, Q.M.; Green, A.M.; Abbey, Y.A.; Wangila, G.W.; Walker, R.B. A thorough study of reactivity of various compound classes towards the Folin-Ciocalteu Reagent. J. Agric. Food Chem. 2010, 58, 8139–8144. [Google Scholar] [CrossRef]
- Tomar, O.; Akarca, G.; Çağlar, A.; İstek, Ö.; Gök, V. The effect of plant extracts on antioxidant potential, microbial and sensory attributes of stirred yoghurt. Mljekarstvo 2021, 71, 35–48. [Google Scholar] [CrossRef]
- Luís, Â.; Duarte, A.P.; Pereira, L.; Domingues, F. Interactions between the major bioactive polyphenols of berries: Effects on antioxidant properties. Eur. Food Res. Technol. 2018, 244, 175–185. [Google Scholar] [CrossRef]
- Shori, A.B.; Baba, A.S. Comparative antioxidant activity, proteolysis and in vitro α-amylase and α-glucosidase inhibition of Allium sativum-yogurts made from cow and camel milk. J. Saudi Chem. Soc. 2014, 18, 456–463. [Google Scholar] [CrossRef]
- Coggins, P.; Rowe, D.E.; Wilson, J.C.; Kumari, S. Storage and temperature effects on appearance and textural characteristics of conventional milk yoghurt. J. Sens. Stud. 2010, 25, 549–576. [Google Scholar]
- Mokrzycki, W.S.; Tatol, M. Color difference ΔE—A survey. Mach. Graph. Vision 2011, 20, 383–411. [Google Scholar]





| Time (min) | pH Value | |||
|---|---|---|---|---|
| Control | OLE 1.5% | OLE 3% | OLE 5% | |
| 0 | 6.64 ± 0.11 | 6.63 ± 0.10 | 6.64 ± 0.12 | 6.73 ± 0.11 |
| 60 | 6.56 ± 0.12 | 6.55 ± 0.09 | 6.52 ± 0.10 | 6.60 ± 0.11 |
| 120 | 6.25 ± 0.08 | 6.23 ± 0.07 | 6.12 ± 0.10 | 6.19 ± 0.06 |
| 180 | 5.42 ± 0.07 | 5.17 ± 0.10 | 5.09 ± 0.05 | 5.22 ± 0.09 |
| 210 | 5.28 ± 0.10 | 4.80 ± 0.09 | 4.88 ± 0.05 | 5.00 ± 0.07 |
| 240 | 4.91 ± 0.09 | 4.78 ± 0.07 | 4.64 ± 0.02 (end) | 4.79 ± 0.09 |
| 261 | 4.73 ± 0.10 | 4.63 ± 0.02 (end) | / | 4.71 ± 0.07 |
| 270 | 4.70 ± 0.07 | / | / | 4.61 ± 0.02 (end) |
| 276 | 4.64 ± 0.03 (end) | / | / | / |
| Source of Variation | pH | Acidity (% Lactic Acid) | WHC (%) | Syneresis Index (%) | Apparent Viscosity (mPa s) | Lactobacillus sp. (log CFUmL−1) | Streptococcus sp. (log CFUmL−1) | Total Phenols (mg GAE L−1) | FRAP (µmol TE L−1) | DPPH (%) | ΔE * |
|---|---|---|---|---|---|---|---|---|---|---|---|
| Extract content (%) | p = 0.083 | p = 0.473 | p = 0.074 | p = 0.206 | p = 0.021 * | p = 0.369 | p = 0.348 | p < 0.001 * | p < 0.001 * | p < 0.001 * | p < 0.001 * |
| 0 | 4.31 ± 0.04 a | 0.88 ± 0.03 a | 58.2 ± 2.3 a | 37.6 ± 0.9 a | 272.6 ± 20.1 b | 7.66 ± 0.67 a | 9.73 ± 0.30 a | 80.0 ± 1.8 a | 492.5 ± 8.4 a | 4.4 ± 0.5 a | 1.0 ± 0.2 a |
| 1.5 | 4.29 ± 0.03 a | 0.88 ± 0.03 a | 60.5 ± 1.7 a | 38.0 ± 1.3 a | 253.7 ± 13.5 ab | 7.13 ± 0.61 a | 9.70 ± 0.26 a | 82.3 ± 1.5 a | 502.6 ± 11.9 a | 11.5 ± 2.2 b | 2.1 ± 0.2 ab |
| 3 | 4.31 ± 0.03 a | 0.82 ± 0.02 a | 57.4 ± 1.2 a | 38.1 ± 1.0 a | 232.8 ± 14.2 ab | 7.86 ± 0.60 a | 9.47 ± 0.21 a | 88.4 ± 1.5 b | 548.4 ± 8.0 b | 12.8 ± 2.3 b | 4.0 ± 0.3 bc |
| 5 | 4.22 ± 0.03 a | 0.88 ± 0.04 a | 56.0 ± 1.5 a | 40.0 ± 1.2 a | 214.4 ± 16.8 a | 6.62 ± 0.61 a | 9.09 ± 0.07 a | 91.2 ± 1.7 b | 577.6 ± 9.6 b | 18.0 ± 2.0 b | 7.5 ± 0.5 c |
| Storage time (day) | p < 0.001 * | p = 0.087 | p = 0.054 | p = 0.001 * | p < 0.001 * | p = 0.018 * | p = 0.006 * | p < 0.001 * | p = 0.002 * | p = 0.680 | p = 0.994 |
| 1 | 4.48 ± 0.02 b | 0.82 ± 0.04 a | 54.8 ± 2.3 a | 42.4 ± 0.9 c | 248.6 ± 17.0 abc | 9.12 ± 0.78 b | 10.01 ± 0.32 b | 80.7 ± 1.5 a | 571.2 ± 10.5 b | 9.4 ± 1.5 a | 3.8 ± 1.2 a |
| 7 | 4.29 ± 0.04 ab | 0.86 ± 0.04 a | 52.7 ± 2.8 a | 38.1 ± 0.9 abc | 262.1 ± 11.6 bc | 7.97 ± 0.61 ab | 9.80 ± 0.31 ab | 83.6 ± 2.3 ab | 525.5 ± 20.2 a | 11.0 ± 4.1 a | 4.0 ± 1.2 a |
| 14 | 4.18 ± 0.02 a | 0.85 ± 0.01 a | 61.5 ± 1.1 a | 35.0 ± 1.1 a | 191.0 ± 18.1 a | 7.73 ± 0.79 ab | 9.54 ± 0.21 ab | 84.9 ± 2.4 abc | 524.6 ± 9.8 a | 11.0 ± 2.1 a | 3.2 ± 0.9 a |
| 21 | 4.22 ± 0.01 a | 0.93 ± 0.04 a | 59.2 ± 1.8 a | 38.4 ± 0.9 abc | 201.6 ± 11.9 ab | 7.13 ± 0.71 ab | 9.47 ± 0.38 ab | 91.6 ± 1.7 c | 503.2 ± 13.1 a | 10.5 ± 2.1 a | 3.5 ± 0.9 a |
| 28 | 4.25 ± 0.02 a | 0.94 ± 0.05 a | 59.3 ± 0.9 a | 40.4 ± 0.9 bc | 275.4 ± 26.4 c | 6.71 ± 0.70 ab | 9.21 ± 0.21 ab | 88.3 ± 2.0 bc | 525.6 ± 15.4 a | 12.1 ± 2.1 a | 3.7 ± 0.8 a |
| 35 | 4.29 ± 0.02 ab | 0.80 ± 0.02 a | 60.5 ± 2.0 a | 36.2 ± 1.7 ab | 281.5 ± 17.0 c | 5.26 ± 0.17 a | 8.96 ± 0.07 a | 83.8 ± 2.7 ab | 531.5 ± 11.3 ab | 16.1 ± 4.2 a | 3.6 ± 1.0 a |
| Grand mean | 4.28 | 0.87 | 58.0 | 38.4 | 243.4 | 7.32 | 9.50 | 85.5 | 530.3 | 11.7 | 3.6 |
| Days of Storage | 1 | 7 | 14 | 21 | 28 | 35 |
|---|---|---|---|---|---|---|
| Sample | Flow index (n) | |||||
| Control | 0.28 ± 0.04 | 0.23 ± 0.02 | 0.25 ± 0.02 | 0.24 ± 0.01 | 0.22 ± 0.01 | 0.23 ± 0.02 |
| OLE 1.5% | 0.28 ± 0.01 | 0.25 ± 0.04 | 0.26 ± 0.02 | 0.26 ± 0.03 | 0.24 ± 0.02 | 0.23 ± 0.02 |
| OLE 3% | 0.31 ± 0.02 | 0.28 ± 0.01 | 0.26 ± 0.03 | 0.24 ± 0.04 | 0.25 ± 0.03 | 0.22 ± 0.00 |
| OLE 5% | 0.34 ± 0.03 | 0.32 ± 0.01 | 0.29 ± 0.02 | 0.30 ± 0.04 | 0.32 ± 0.03 | 0.30 ± 0.01 |
| Consistency coefficient (K)/Pasn | ||||||
| Control | 4.15 ± 0.07 | 5.94 ± 0.04 | 5.65 ± 0.09 | 6.26 ± 0.10 | 6.96 ± 0.08 | 6.25 ± 0.11 |
| OLE 1.5% | 3.70 ± 0.11 | 4.11 ± 0.11 | 4.41 ± 0.08 | 4.03 ± 0.07 | 5.38 ± 0.06 | 5.79 ± 0.10 |
| OLE 3% | 3.01 ± 0.10 | 3.64 ± 0.08 | 4.47 ± 0.03 | 4.27 ± 0.08 | 4.95 ± 0.07 | 4.98 ± 0.09 |
| OLE 5% | 2.72 ± 0.09 | 3.38 ± 0.09 | 3.32 ± 0.06 | 3.11 ± 0.05 | 3.65 ± 0.04 | 3.81 ± 0.07 |
| Coefficient of regression (R2) | ||||||
| Control | 0.997 ± 0.001 | 0.968 ± 0.004 | 0.997 ± 0.002 | 0.996 ± 0.002 | 0.987 ± 0.002 | 0.989 ± 0.003 |
| OLE 1.5% | 0.997 ± 0.000 | 0.998 ± 0.000 | 0.994 ± 0.002 | 0.982 ± 0.004 | 0.995 ± 0.002 | 0.984 ± 0.004 |
| OLE 3% | 0.999 ± 0.001 | 0.993 ± 0.003 | 0.993 ± 0.001 | 0.966 ± 0.003 | 0.990 ± 0.001 | 0.963 ± 0.004 |
| OLE 5% | 0.999 ± 0.000 | 0.987 ± 0.002 | 0.990 ± 0.003 | 0.999 ± 0.000 | 0.993 ± 0.002 | 0.995 ± 0.001 |
| Storage Time (Days) | * Log CFU mL−1 | |||||||
|---|---|---|---|---|---|---|---|---|
| Lactobacillus sp. | Streptococcus sp. | |||||||
| Control | OLE 1.5% | OLE 3% | OLE 5% | Control | OLE 1.5% | OLE 3% | OLE 5% | |
| 1 | 9.98 ± 1.05 | 9.68 ± 0.59 | 9.18 ± 1.38 | 7.65 ± 1.66 | 9.80 ± 0.94 | 10.27 ± 1.03 | 10.57 ± 1.03 | 9.87 ± 0.00 |
| 7 | 9.11 ± 0.68 | 9.05 ± 0.60 | 6.73 ± 1.30 | 6.97 ± 1.42 | 9.46 ± 0.81 | 10.17 ± 1.03 | 9.97 ± 1.06 | 8.97 ± 0.53 |
| 14 | 9.55 ± 0.75 | 7.22 ± 1.48 | 7.28 ± 1.50 | 6.85 ± 1.39 | 9.80 ± 0.99 | 9.09 ± 0.18 | 9.55 ± 0.50 | 9.36 ± 0.00 |
| 21 | 7.01 ± 1.43 | 7.09 ± 1.44 | 7.18 ± 1.47 | 7.22 ± 1.34 | 10.48 ± 1.35 | 9.33 ± 0.72 | 9.05 ± 0.15 | 9.02 ± 0.41 |
| 28 | 6.07 ± 1.25 | 7.50 ± 1.43 | 7.17 ± 1.32 | 5.99 ± 1.08 | 8.96 ± 0.40 | 9.81 ± 1.04 | 9.04 ± 0.00 | 9.21 ± 0.63 |
| 35 | 5.48 ± 0.79 | 5.63 ± 0.90 | 5.26 ± 0.88 | 5.08 ± 0.00 | 9.42 ± 0.58 | 8.89 ± 0.38 | 8.96 ± 0.41 | 8.92 ± 0.00 |
| Source of Variation | Appearance | Colour | Consistency | Odour | Syneresis | Taste | Total Score |
|---|---|---|---|---|---|---|---|
| Max. Score | 1 | 1 | 4 | 2 | 2 | 10 | 20 |
| Extract content (%) | p = 0.254 | p = 0.045 * | p = 0.306 | p = 0.001 * | p = 0.252 | p = 0.001 * | p = 0.001 * |
| 0 | 0.98 ± 0.00 a | 1.0 ± 0.00 b | 3.68 ± 0.08 a | 1.88 ± 0.04 b | 2.0 ± 0.00 a | 8.20 ± 0.20 b | 17.74 ± 0.02 b |
| 1.5 | 0.98 ± 0.00 a | 1.0 ± 0.00 b | 3.68 ± 0.08 a | 1.92 ± 0.04 b | 2.0 ± 0.00 a | 8.60 ± 0.20 b | 18.18 ± 0.02 b |
| 3 | 0.96 ± 0.02 a | 1.0 ± 0.00 b | 3.60 ± 0.08 a | 1.84 ± 0.04 ab | 1.96 ± 0.04 a | 8.00 ± 0.20 ab | 17.36 ± 0.03 ab |
| 5 | 0.96 ± 0.02 a | 0.96 ± 0.02 a | 3.60 ± 0.08 a | 1.76 ± 0.04 a | 2.0 ± 0.00 a | 7.40 ± 0.20 a | 16.68 ± 0.03 a |
| Storage time (day) | p = 0.182 | p = 0.067 | p = 0.207 | p = 0.022 * | p = 0.019 * | p = 0.001 * | p = 0.016 * |
| 1 | 0.98 ± 0.02 a | 0.98 ± 0.02 a | 3.68 ± 0.08 a | 1.84 ± 0.04 ab | 2.0 ± 0.00 b | 8.40 ± 0.20 ab | 17.88 ± 0.03 ab |
| 7 | 0.98 ± 0.00 a | 1.0 ± 0.00 a | 3.68 ± 0.08 a | 1.84 ± 0.04 ab | 2.0 ± 0.00 b | 8.20 ± 0.20 ab | 17.70 ± 0.02 ab |
| 14 | 0.98 ± 0.00 a | 1.0 ± 0.00 a | 3.60 ± 0.08 a | 1.96 ± 0.00 b | 2.0 ± 0.00 b | 8.80 ± 0.20 b | 18.34 ± 0.02 b |
| 21 | 0.98 ± 0.00 a | 1.0 ± 0.00 a | 3.68 ± 0.08 a | 1.88 ± 0.04 ab | 2.0 ± 0.00 b | 8.40 ± 0.20 ab | 17.94 ± 0.02 ab |
| 28 | 0.92 ± 0.02 a | 0.98 ± 0.02 a | 3.52 ± 0.08 a | 1.80 ± 0.04 ab | 1.92 ± 0.04 a | 7.60 ± 0.40 ab | 16.74 ± 0.05 a |
| 35 | 0.96 ± 0.02 a | 0.98 ± 0.02 a | 3.68 ± 0.08 a | 1.72 ± 0.04 a | 2.0 ± 0.00 b | 7.00 ± 0.40 a | 16.34 ± 0.03 a |
| Grand mean | 0.96 | 0.98 | 3.60 | 1.84 | 2.00 | 8.0 | 17.38 |
Publisher’s Note: MDPI stays neutral with regard to jurisdictional claims in published maps and institutional affiliations. |
© 2022 by the authors. Licensee MDPI, Basel, Switzerland. This article is an open access article distributed under the terms and conditions of the Creative Commons Attribution (CC BY) license (https://creativecommons.org/licenses/by/4.0/).
Share and Cite
Barukčić, I.; Filipan, K.; Lisak Jakopović, K.; Božanić, R.; Blažić, M.; Repajić, M. The Potential of Olive Leaf Extract as a Functional Ingredient in Yoghurt Production: The Effects on Fermentation, Rheology, Sensory, and Antioxidant Properties of Cow Milk Yoghurt. Foods 2022, 11, 701. https://doi.org/10.3390/foods11050701
Barukčić I, Filipan K, Lisak Jakopović K, Božanić R, Blažić M, Repajić M. The Potential of Olive Leaf Extract as a Functional Ingredient in Yoghurt Production: The Effects on Fermentation, Rheology, Sensory, and Antioxidant Properties of Cow Milk Yoghurt. Foods. 2022; 11(5):701. https://doi.org/10.3390/foods11050701
Chicago/Turabian StyleBarukčić, Irena, Katarina Filipan, Katarina Lisak Jakopović, Rajka Božanić, Marijana Blažić, and Maja Repajić. 2022. "The Potential of Olive Leaf Extract as a Functional Ingredient in Yoghurt Production: The Effects on Fermentation, Rheology, Sensory, and Antioxidant Properties of Cow Milk Yoghurt" Foods 11, no. 5: 701. https://doi.org/10.3390/foods11050701
APA StyleBarukčić, I., Filipan, K., Lisak Jakopović, K., Božanić, R., Blažić, M., & Repajić, M. (2022). The Potential of Olive Leaf Extract as a Functional Ingredient in Yoghurt Production: The Effects on Fermentation, Rheology, Sensory, and Antioxidant Properties of Cow Milk Yoghurt. Foods, 11(5), 701. https://doi.org/10.3390/foods11050701

