Volatile Composition and Sensory Characterization of Dry White Wines Made with Overripe Grapes by Means of Two Different Techniques
Abstract
:1. Introduction
2. Materials and Methods
2.1. Analysis of Volatile Compounds
2.2. Sensory Analysis
2.3. Statistical Analysis
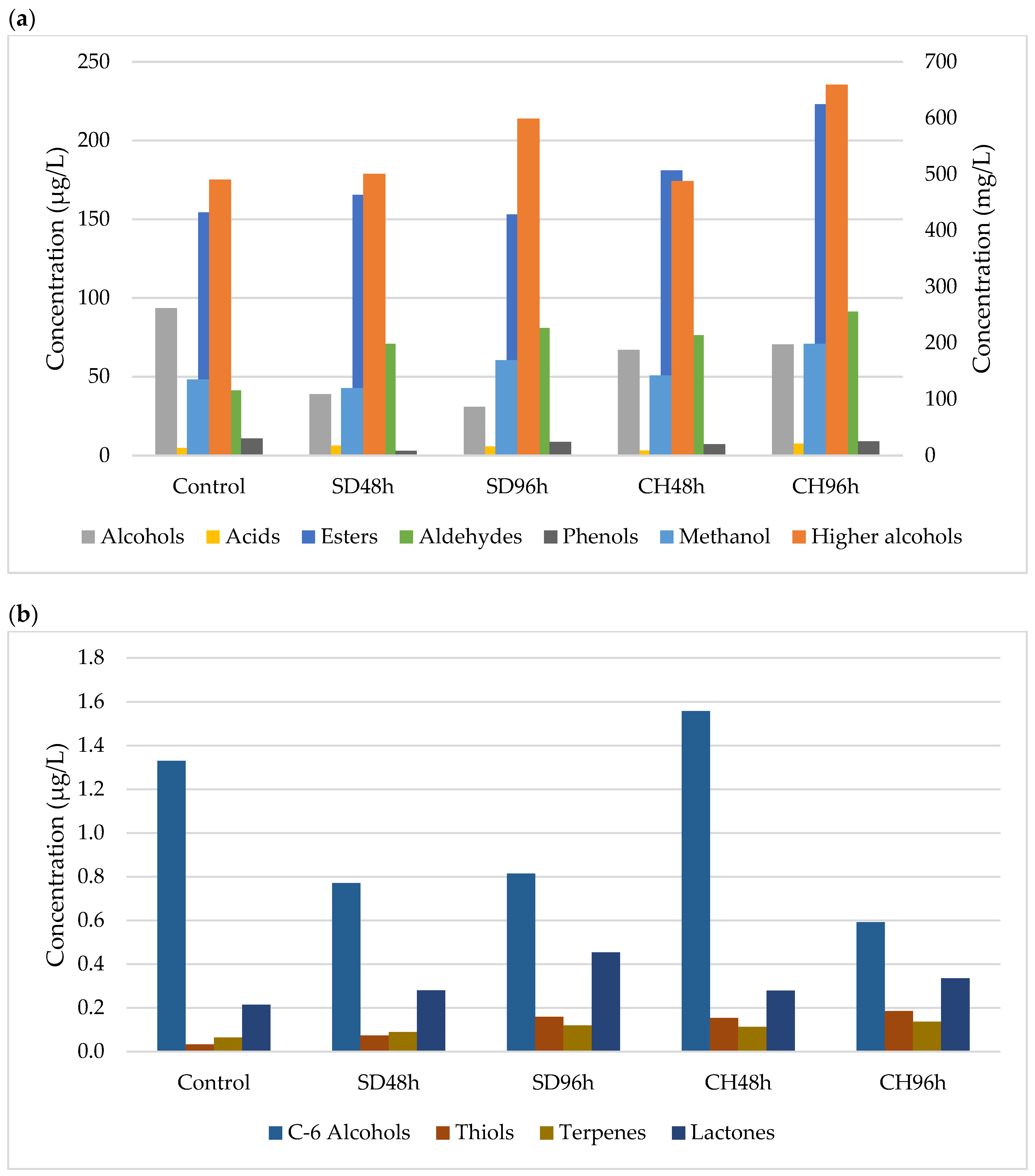
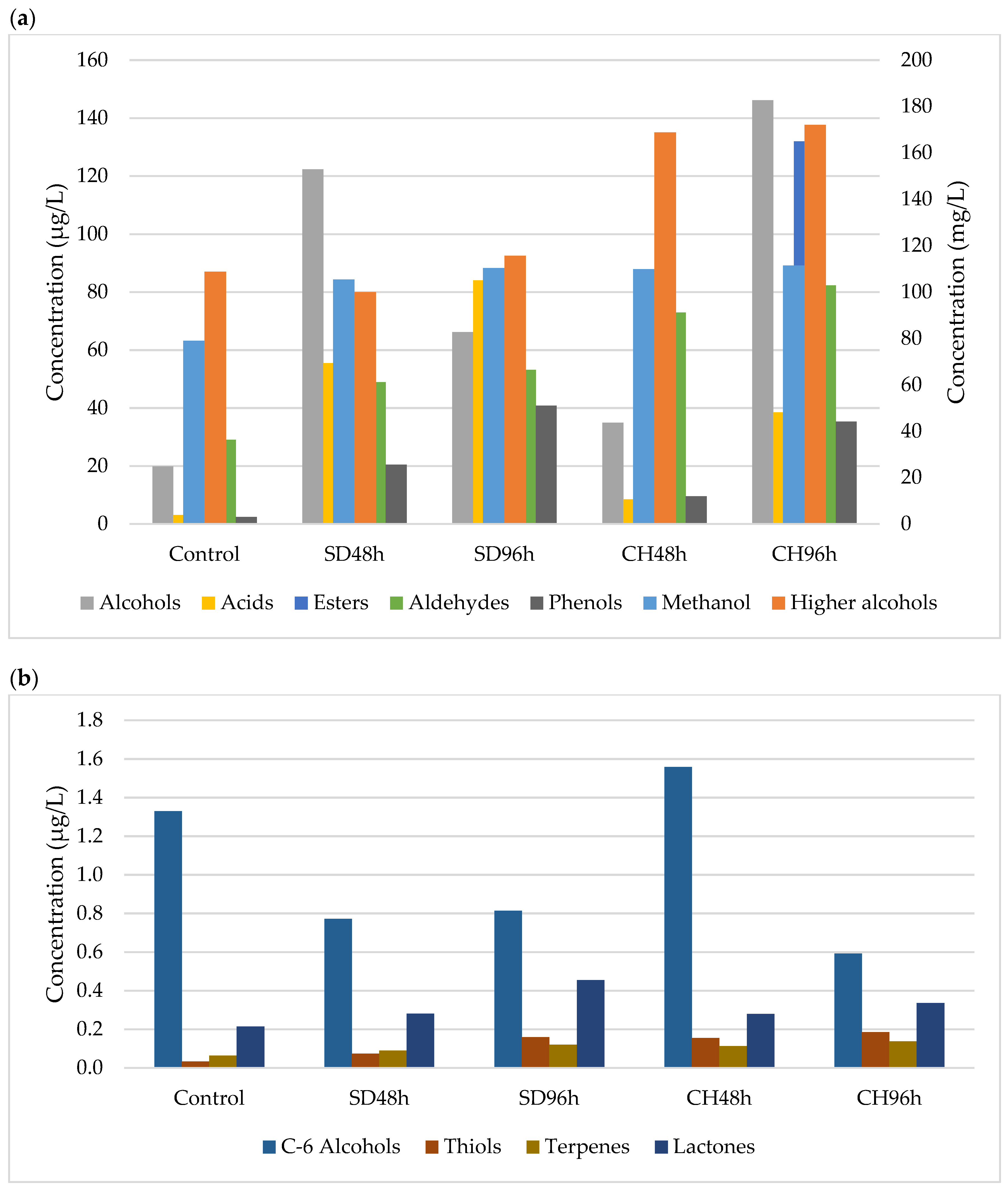
3. Results and Discussion
3.1. Methanol and Major Alcohols
3.2. Volatile Alcohols and Acids
3.3. Esters
3.4. Aldehydes
3.5. C6-Alcohols
3.6. Phenols and Minor Compounds
3.7. Sensory Analysis
4. Conclusions
Supplementary Materials
Author Contributions
Funding
Institutional Review Board Statement
Informed Consent Statement
Data Availability Statement
Conflicts of Interest
References
- Santos, J.A.; Fraga, H.; Malheiro, A.C.; Moutinho-Pereira, J.; Dinis, L.-T.; Correia, C.; Moriondo, M.; Leolini, L.; Dibari, C.; Costafreda-Aumedes, S.; et al. A Review of the Potential Climate Change Impacts and Adaptation Options for European Viticulture. Appl. Sci. 2020, 10, 3092. [Google Scholar] [CrossRef]
- Tonietto, J. Les Macroclimats Viticoles Mondiaux et l’Influence du Mésoclimat sur la Typicité de la Syrah et du Muscat de Hambourg dans le sud de la France: Méthodologie de Caractérisation. Ph.D. Thesis, Ecole Nationale Supérieure Agronomique, Montpellier, France, 1999; 233p. [Google Scholar]
- De Orduña, R.M. Climate change associate effects on grape and wine quality and production. Food Res. Int. 2010, 43, 1844–1855. [Google Scholar] [CrossRef]
- Duchene, E.; Schneider, C. Grapevine and climatic changes: A glance at the situation in Alsace. Agron. Sust. Dev. 2005, 25, 93–99. [Google Scholar] [CrossRef]
- Jones, G.V.; White, M.A.; Cooper, O.R.; Storchmann, K. Climate change and global wine quality. Clim. Chang. 2005, 73, 319–343. [Google Scholar] [CrossRef]
- Fraga, H.; Malheiro, A.C.; Moutinho-Pereira, J.; Santos, J.A. An overview of climate change impacts on European viticolture. Food Energy Secur. 2012, 1, 94–110. [Google Scholar] [CrossRef]
- Bonfante, A.; Monaco, E.; Langella, G.; Mercogliano, P.; Bucchignani, E.; Manna, P.; Terribile, F. A dynamic viticultural zoning to explore the resilience of terroir concept under climate change. Sci. Total Environ. 2018, 624, 294–308. [Google Scholar] [CrossRef]
- Stoll, M.; Bischoff-Schaefer, M.; Lafontaine, M.; Tittmann, S.; Henschke, J. Impact of various leaf area modifications on berry maturation in Vitis vinifera L. cv. Riesling. Acta Hortic 2013, 978, 293–299. [Google Scholar] [CrossRef]
- Hed, B.; Ngugi, H.K.; Travis, J.W. Short- and long-term effects of leaf removal and gibberellin on Chardonnay grapes in the Lake Erie region. Am. J. Enol. Vitic. 2014, 66, 22–29. [Google Scholar] [CrossRef]
- Molitor, D.; Behr, M.; Fischer, S.; Hoffmann, L.; Evers, D. Timing of cluster-zone leaf removal and its impact on canopy morphology, cluster structure and bunch rot susceptibility of grapes. J. Int. Des. Sci. Vigne Vin. 2011, 45, 149–159. [Google Scholar] [CrossRef]
- Basile, B.; Caccavello, G.; Giaccone, M.; Forlani, M. Effects of early shading and defoliation on bunch compactness, yield components, and berry composition of aglianico grapevines under warm climate conditions. Am. J. Enol. Vitic. 2015, 66, 234–243. [Google Scholar] [CrossRef] [Green Version]
- Bedrech, S.A.; Farag, S.G. Usage of some sunscreens to protect the Thompson Seedless and Crimson Seedless grapevines growing in hot. Nat. Sci. 2015, 13, 35–41. [Google Scholar]
- Glenn, D.M.; Erez, A.; Puterka, G.J.; Gundrum, P. Particle films affect carbon assimilation and yield in ‘Empire’ Apple. J. Am. Soc. Hortic Sci. 2003, 128, 356–362. [Google Scholar] [CrossRef] [Green Version]
- Goldammer, T. Grape Grower’s Handbook—A Guide to Viticulture for Wine Production; APEX Publishers: Centreville, VA, USA, 2015; p. 713. [Google Scholar]
- Flexas, J.; Galmes, J.; Galle, A.; Gulias, J.; Pou, A.; Ribas-Carbo, M.; Tomas, M.; Medrano, H. Improving water use efficiency in grapevines: Potential physiological targets for biotechnological improvement. Aust. J. Grape Wine Res. 2010, 16, 106–121. [Google Scholar] [CrossRef]
- Butt, T.M.; Copping, L.G. Fungal biological control agents. Pestic. Outlook 2000, 11, 186–191. [Google Scholar] [CrossRef]
- Deutsch, C.A.; Tewksbury, J.J.; Tigchelaar, M.; Battisti, D.S.; Merrill, S.C.; Huey, R.B.; Naylor, R.L. Increase in crop losses to insect pests in a warming climate. Science 2018, 361, 916–919. [Google Scholar] [CrossRef] [PubMed] [Green Version]
- Bahar, E.; Yasasin, A.S. The yield and berry quality under different soil tillage and clusters thinning treatments in grape (Vitis vinifera L.) cv. Cabernet-Sauvignon. Afr. J. Agric. Res. 2010, 5, 2986–2993. [Google Scholar]
- Gomez, J.A.; Gema Guzman, M.; Giraldez, J.V.; Fereres, E. The influence of cover crops and tillage on water and sediment yield, and on nutrient, and organic matter losses in an olive orchard on a sandy loam soil. Soil Tillage Res. 2009, 106, 137–144. [Google Scholar] [CrossRef] [Green Version]
- Pieri, P.; Gaudillere, J.P. Sensitivity to training system parameters and soil surface albedo of solar radiation intercepted by vine rows. Vitis 2003, 42, 77–82. [Google Scholar]
- Molitor, D.; Schultz, M.; Mannes, R.; Pallez-Barthel, M.; Hoffmann, L.; Beyer, M. Semi-minimal pruned hedge: A potential climate change adaptation strategy in viticulture. Agronomy 2019, 9, 173. [Google Scholar] [CrossRef] [Green Version]
- Morales-Castilla, I.; García de Cortázar-Atauri, I.; Cook, B.I.; Lacombe, T.; Parker, A.; van Leeuwen, C.; Nicholas, K.A.; Wolkovich, E.M. Diversity buffers winegrowing regions from climate change losses. Proc. Natl. Acad. Sci. USA 2020, 117, 2864–2869. [Google Scholar] [CrossRef]
- Duchene, E.; Butterlin, G.; Dumas, V.; Merdinoglu, D. Towards the adaptation of grapevine varieties to climate change: QTLs and candidate genes for developmental stages. Appl. Genet. 2012, 124, 623–635. [Google Scholar] [CrossRef] [PubMed]
- Moriondo, M.; Jones, G.V.; Bois, B.; Dibari, C.; Ferrise, R.; Trombi, G.; Bindi, M. Projected shifts of wine regions in response to climate change. Clim. Chang. 2013, 119, 825–839. [Google Scholar] [CrossRef]
- Karvonen, J.I. Northern european viticulture compared to Central European high altitude viticulture: Annual growth cycle of grapevines in the years 2012–2013. Int. J. Wine Res. 2014, 6, 1–7. [Google Scholar] [CrossRef] [Green Version]
- Egarter Vigl, L.; Schmid, A.; Moser, F.; Balotti, A.; Gartner, E.; Hatz, H.; Quendler, S.; Ventura, S.; Raifer, B. Upward shifts in elevation—A winning strategy for mountain viticulture in the context of climate change? In Proceedings of the 12th International Terroir Congress, Zaragoza, Spain, 18–22 June 2018.
- Bernáth, S.; Paulen, O.; Šiška, B.; Kusá, Z.; Tóth, F. Influence of Climate Warming on Grapevine (Vitis vinifera L.) Phenology in Conditions of Central Europe (Slovakia). Plants 2021, 10, 1020. [Google Scholar] [CrossRef] [PubMed]
- Sancho-Galán, P.; Amores-Arrocha, A.; Palacios, V.; Jiménez-Cantizano, A. Effect of Grape Over-Ripening and Its Skin Presence on White Wine Alcoholic Fermentation in a Warm Climate Zone. Foods 2021, 10, 1583. [Google Scholar] [CrossRef]
- López, I.; Morales, J.; Ramirez, P.; Instituto de Formación Agraria y Pesquera, IFAPA, Córdoba, Spain; Consejería de Agricultura y Pesca, Junta de Andalucía, Sevilla, Spain; Palencia, L.; Romero, C.; Sociedad Cooperativa AECOVI, Jerez de la Frontera, Cádiz, Spain. Personal communication, 2007.
- Durán-Guerrero, E.; Castro, R.; García-Moreno, M.d.V.; Rodríguez-Dodero, M.d.C.; Schwarz, M.; Guillén-Sánchez, D. Aroma of Sherry Products: A Review. Foods 2021, 10, 753. [Google Scholar] [CrossRef]
- Franco, M.; Peinado, R.A.; Medina, M.; Moreno, J. Off-Vine Grape Drying Effect on Volatile Compounds and Aromatic Series in Must from Pedro Ximénez Grape Variety. J. Agric. Food Chem. 2004, 52, 3905–3910. [Google Scholar] [CrossRef] [PubMed]
- Mestre, M.V.; Maturano, Y.P.; Gallardo, C.; Combina, M.; Mercado, L.; Toro, M.E.; Carrau, F.; Vazquez, F.; Dellacassa, E. Impact on sensory and aromatic profile of low ethanol Malbec wines fermented by sequential culture of Hanseniaspora uvarum and Saccharomyces cerevisiae native yeasts. Fermentation 2019, 5, 65. [Google Scholar] [CrossRef] [Green Version]
- Castro, R.; Marquez, M.; Barroso, C.G. Cambios aromáticos y polifenólicos durante el pasificado natural y artificial de uvas. Resultados preliminares. Av. Cienc. Téc. Enol. 2005, 1, 334–335. [Google Scholar]
- Serratosa, M.P.; López-Toledano, A.; Medina, M.; Mérida, J. Drying of Pedro Ximenez Grapes in Chamber at controlled Temperature and with Dipping Pretreatments. Changes in the color fraction. J. Agric. Food Chem. 2008, 56, 10739–10746. [Google Scholar] [CrossRef]
- Ruiz-Bejarano, M.J.; Rodríguez-Dodero, M.C.; García-Barroso, C. Optimizing the Process of Making Sweet Wines to Minimize the Content of Ochratoxin A. J. Agric. Food Chem. 2010, 58, 13006–13012. [Google Scholar] [CrossRef] [PubMed]
- Polášková, P.; Herszage, J.; Ebeler, S.E. Wine flavor: Chemistry in a glass. Chem. Soc. Rev. 2008, 37, 2478–2489. [Google Scholar] [CrossRef] [PubMed]
- King, E.S.; Kievit, R.L.; Curtin, C.; Swiegers, J.H.; Pretorius, I.S.; Bastian, S.E.P.; Leigh Francis, I. The effect of multiple yeasts co-inoculations on Sauvignon Blanc wine aroma composition, sensory properties and consumer preference. Food Chem. 2010, 122, 618–626. [Google Scholar] [CrossRef]
- Belda, I.; Ruiz, J.; Esteban-Fernández, A.; Navascués, E.; Marquina, D.; Santos, A.; Moreno-Arribas, M.V. Microbial contribution to Wine aroma and its intended use for Wine quality improvement. Molecules 2017, 22, 189. [Google Scholar] [CrossRef] [PubMed] [Green Version]
- García-Jares, C.; García-Martín, S.; Cela-Torrijos, R. Analysis of some highly volatile compounds of wine by means of purge and cold trapping injector capillary gas chromatography. Application to the differentiation of Rias Baixas Spannish white wines. J. Agric. Food Chem. 1995, 43, 764–768. [Google Scholar] [CrossRef]
- Schreier, P. Flavour composition of wines: A review. Crit. Rev. Food Sci. Nutr. 1979, 12, 59–111. [Google Scholar] [CrossRef] [PubMed]
- Rapp, A.; Mandery, H. Wine aroma. Experientia 1986, 42, 873–884. [Google Scholar] [CrossRef]
- Álvarez-Pérez, J.M.; Campo, E.; San-Juan, F.; Coque, J.J.R.; Ferreira, V.; Hernández-Orte, P. Sensory and chemical characterisation of the aroma of Prieto Picudo rosé wines: The differential role of autochthonous yeast strains on aroma profiles. Food Chem. 2012, 133, 284–292. [Google Scholar] [CrossRef]
- Lee, S.J.; Rathbone, D.; Asimont, S.; Adden, R.; Ebeler, S.E. Dynamic changes in ester formation during Chardonnay juice fermentations with different yeast inoculation and initial Brix conditions. Am. J. Enol. Vitic. 2004, 55, 346–354. [Google Scholar]
- Hernández-Orte, P.; Ibarz, M.J.; Cacho, J.; Ferreira, V. Effect of the addition of ammonium and amino acids to muests of Airen variety on aromatic composition and sensory properties of the obtained wine. Food Chem. 2005, 89, 163–174. [Google Scholar] [CrossRef]
- Albisu-Aguado, L.M.; Zeballos, M.G. Consumo de Vino en España. Tendencias y Comportamiento del Consumidor. In La Economía del Vino en España y en el Mundo, 1st ed.; Compés-López, R., Castillo-Valero, J.S., Eds.; Monografías Cajamar: Murcia, Spain, 2014; pp. 99–140. [Google Scholar]
- Jiménez-Cantizano, A.; Puertas, B.; Serrano, M.J. Adaptation and selection of cultivars of grapevine for quality wines in warm climate. Acta Hortic. 2011, 910, 89–101. [Google Scholar] [CrossRef]
- Sancho-Galán, P.; Amores-Arrocha, A.; Jiménez-Cantizano, A.; Palacios, V. Influence of the Presence of Grape Skins during White Wine Alcoholic Fermentation. Agronomy 2021, 11, 452. [Google Scholar] [CrossRef]
- Amores-Arrocha, A.; Roldán, A.; Jiménez-Cantizano, A.; Caro, I.; Palacios, V. Evaluation of the use of multiflora bee pollen on the volatile compounds and sensorial profile of Palomino Fino and Riesling white young wines. Food Res. Int. 2018, 105, 197–209. [Google Scholar] [CrossRef] [PubMed]
- Sancho-Galán, P.; Amores-Arrocha, A.; Jiménez-Cantizano, A.; Palacios, V. Use of Multiflora Bee Pollen as a Flor Velum Yeast Growth Activator in Biological Aging Wines. Molecules 2019, 24, 1763. [Google Scholar] [CrossRef] [PubMed] [Green Version]
- Di Stefano, R. Proposition d’une méthode de préparation de l’echantillon pour la détermination des terpènes libres et glycosides des raisins et des vins. Bull. OIV 1991, 64, 219–223. [Google Scholar]
- ISO NORM. Sensory Analysis: Apparatus Wine Tasting Glass; ISO: Geneva, Switzerland, 2006. [Google Scholar]
- Jackson, R.S. Wine Tasting: A Professional Handbook; Academic Press: London, UK, 2009. [Google Scholar]
- ISO NORM. Sensory Analysis: Methodology. Ranking; ISO: Geneva, Switzerland, 2006. [Google Scholar]
- Styger, G.; Prior, B.; Bauer, F.F. Wine flavor and aroma. J. Ind. Microbiol. Biotechnol. 2011, 38, 1145–1159. [Google Scholar] [CrossRef]
- Ribéreau-Gayon, P.; Dubourdieu, D.; Donéche, B.; Lonvaud, A. Tratado de Enologia: Microbiología del Vino. Vinificaciones; Mundi-Prensa: Buenos Aires, Argentina, 2003. [Google Scholar]
- Togores, J.H. Tratado de Enología I.; Mundi Prensa: Madrid, Spain, 2011. [Google Scholar]
- Amores-Arrocha, A.; Sancho-Galán, P.; Jiménez-Cantizano, A.; Palacios, V. A Comparative Study on Volatile Compounds and Sensory Profile of White and Red Wines Elaborated Using Bee Pollen versus Commercial Activators. Foods 2021, 10, 1082. [Google Scholar] [CrossRef]
- Amores-Arrocha, A.; Sancho-Galán, P.; Jiménez-Cantizano, A.; Palacios, V. Bee Pollen Role in Red Winemaking: Volatile Compounds and Sensory Characteristics of Tintilla de Rota Warm Climate Red Wines. Foods 2020, 9, 981. [Google Scholar] [CrossRef]
- Crouzet, J.; Flanzy, C. Les Enzymes En Oenologie. In Œnologie, Fondements Scientifiques et Technologiques; Tec & doc-Lavoisier: Paris, France, 1998; pp. 362–413. [Google Scholar]
- Szczesna, T. Long-chain fatty acids composition of honeybee-collected pollen. J. Apic. Sci. 2006, 50, 65–79. [Google Scholar]
- Domínguez, C.; Guillén, D.A.; Barroso, C.G. Análisis de fenoles volátiles en vino fino de jerez, mediante GC-FID, utilizando SPE como preparación de muestras. In Proceedings of the VI Jornadas Científicas 2001 Grupos de Investigación Enológica, Valencia, Spain, 5–7 June 2001; p. 29. [Google Scholar]
- Cheynier, V.; Schneider, R.; Salmon, J.M.; Fulcrand, H. Chemistry of Wine. In Comprehensive Natural Products II, 1st ed.; Hung-Wen, L., Mander, L., Eds.; Elsevier: Amsterdam, The Netherlands, 2010; pp. 1119–1172. [Google Scholar]
- Bayonove, C.L.; Baumes, R.L.; Crouzet, J.; Günata, Z. Aromas. In Enología: Fundamentos científicos y tecnológicos, 1st ed.; Flanzy, C., Ed.; Mundi-Prensa: Madrid, Spain, 2003; pp. 137–176. [Google Scholar]
- Genovese, A.; Gambutti, A.; Piombino, P.; Moio, L. Sensory properties and aroma compounds of sweet Fiano wine. Food Chem. 2007, 103, 1228–1236. [Google Scholar] [CrossRef]
- Ruiz, M.J.; Zea, L.; Moyano, L.; Medina, M. Aroma active compounds during the drying of grapes cv. Pedro Ximenez destined to the production of Sweet Sherry wine. Eur. Food Res. Technol. 2009, 230, 429–435. [Google Scholar] [CrossRef]
- Ferreira, V.; López, R.; Cacho, J.F. Quantitative determination of the odorants of young red wines from different grape varieties. J. Sci. Food Agric. 2000, 80, 1659–1667. [Google Scholar] [CrossRef]
- Ruiz-Bejarano, M.J. Elaboración de Vinos Dulces de Andalucía a Partir de uvas Secadas Artificialmente. Ph.D Thesis, Universidad de Cádiz, Puerto Real, Spain, 2016. [Google Scholar]
- Pérez-Serradilla, J.A.; Luque de Castro, M.D. Role of lees in wine production: A review. Food Chem. 2008, 111, 447–456. [Google Scholar] [CrossRef] [PubMed]
- Cejudo-Bastante, M.J.; Castro-Vázquez, L.; Hermosín-Gutiérrez, I.; Pérez-Coello, M.S. Combined Effects of Prefermentative Skin Maceration and Oxygen Addition of Must on Color-Related Phenolics, Volatile Composition, and Sensory Characteristics of Airén White Wine. J. Agric. Food Chem. 2011, 59, 12171–12182. [Google Scholar] [CrossRef] [PubMed]
- Test, S.L.; Noble, A.C.; Schmidt, J.O. Effect of pomace contact on chardonnay musts and wines. Am. J. Enol. Vitic. 1986, 37, 133–136. [Google Scholar]
- Soares, S.; Brandão, E.; Guerreiro, C.; Soares, S.; Mateus, N.; de Freitas, V. Tannins in Food: Insights into the Molecular Perception of Astringency and Bitter Taste. Molecules 2020, 25, 2590. [Google Scholar] [CrossRef] [PubMed]
- Soares, S.; Brandão, E.; Mateus, N.; de Freitas, V. Sensorial properties of red wine polyphenols: Astringency and bitternes. Crit. Rev. Food Sci. Nutr. 2017, 57, 937–948. [Google Scholar] [CrossRef] [PubMed]








| 2018 | 2019 | |||
|---|---|---|---|---|
| Without GS | With GS | Without GS | With GS | |
| F test | 354.6 | 392.6 | 385.6 | 397.0 |
Publisher’s Note: MDPI stays neutral with regard to jurisdictional claims in published maps and institutional affiliations. |
© 2022 by the authors. Licensee MDPI, Basel, Switzerland. This article is an open access article distributed under the terms and conditions of the Creative Commons Attribution (CC BY) license (https://creativecommons.org/licenses/by/4.0/).
Share and Cite
Sancho-Galán, P.; Amores-Arrocha, A.; Palacios, V.; Jiménez-Cantizano, A. Volatile Composition and Sensory Characterization of Dry White Wines Made with Overripe Grapes by Means of Two Different Techniques. Foods 2022, 11, 509. https://doi.org/10.3390/foods11040509
Sancho-Galán P, Amores-Arrocha A, Palacios V, Jiménez-Cantizano A. Volatile Composition and Sensory Characterization of Dry White Wines Made with Overripe Grapes by Means of Two Different Techniques. Foods. 2022; 11(4):509. https://doi.org/10.3390/foods11040509
Chicago/Turabian StyleSancho-Galán, Pau, Antonio Amores-Arrocha, Víctor Palacios, and Ana Jiménez-Cantizano. 2022. "Volatile Composition and Sensory Characterization of Dry White Wines Made with Overripe Grapes by Means of Two Different Techniques" Foods 11, no. 4: 509. https://doi.org/10.3390/foods11040509
APA StyleSancho-Galán, P., Amores-Arrocha, A., Palacios, V., & Jiménez-Cantizano, A. (2022). Volatile Composition and Sensory Characterization of Dry White Wines Made with Overripe Grapes by Means of Two Different Techniques. Foods, 11(4), 509. https://doi.org/10.3390/foods11040509

