The Extraction of β-Carotene from Microalgae for Testing Their Health Benefits
Abstract
:1. Introduction
2. Vitamin A (VA) and β-Carotene
2.1. VA and Its Metabolism
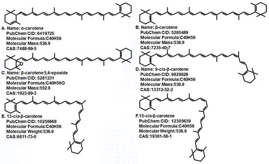
2.2. β-Carotene
3. Microalgae as a Source of Carotenoids and Other Bioactive Compounds
3.1. The Applications of Carotenoids and Other Components Extracted from Microalgae
3.2. Studies on the Carotenoid Content in Microalgae and Bioactivities
4. Industrial Extraction of β-Carotene from Microalgae
5. Studies of Bioactivities of β-Carotene in Microalgae
6. Conclusions and Future Perspectives
Author Contributions
Funding
Institutional Review Board Statement
Informed Consent Statement
Data Availability Statement
Acknowledgments
Conflicts of Interest
References
- Khan, M.I.; Shin, J.H.; Kim, J.D. The promising future of microalgae: Current status, challenges, and optimization of a sustainable and renewable industry for biofuels, feed, and other products. Microb. Cell Factories 2018, 17, 36. [Google Scholar] [CrossRef] [PubMed]
- Barsanti, L.; Coltelli, P.; Evangelista, V.; Frassanito, A.M.; Passarelli, V.; Vesentini, N.; Gualtieri, P. Oddities and Curiosities in the Algal World. In Algal Toxins: Nature, Occurrence, Effect and Detection; Springer: Dordrecht, The Netherlands, 2008. [Google Scholar]
- Weinrich, T.; Xu, Y.; Wosu, C.; Harvey, P.J.; Jeffery, G. Mitochondrial Function, Mobility and Lifespan Are Improved in Drosophila melanogaster by Extracts of 9-cis-β-Carotene from Dunaliella salina. Mar. Drugs 2019, 17, 279. [Google Scholar] [CrossRef] [Green Version]
- Bule, M.H.; Ahmed, I.; Maqbool, F.; Bilal, M.; Iqbal, H.M.N. Microalgae as a source of high-value bioactive compounds. Front. Biosci. 2018, 10, 197–216. [Google Scholar]
- Talero, E.; García-Mauriño, S.; Ávila-Román, J.; Rodríguez-Luna, A.; Alcaide, A.; Motilva, V. Bioactive Compounds Isolated from Microalgae in Chronic Inflammation and Cancer. Mar. Drugs 2015, 13, 6152–6209. [Google Scholar] [CrossRef] [PubMed]
- Domínguez, H. 1—Algae as a source of biologically active ingredients for the formulation of functional foods and nutraceuticals. In Functional Ingredients from Algae for Foods and Nutraceuticals; Domínguez, H., Ed.; Woodhead Publishing: Cambridge, UK, 2013; pp. 1–19. [Google Scholar]
- Gong, M.; Bassi, A. Carotenoids from microalgae: A review of recent developments. Biotechnol. Adv. 2016, 34, 1396–1412. [Google Scholar] [CrossRef] [PubMed]
- Sun, X.M.; Ren, L.J.; Zhao, Q.Y.; Ji, X.J.; Huang, H. Microalgae for the production of lipid and carotenoids: A review with focus on stress regulation and adaptation. Biotechnol. Biofuels 2018, 11, 272. [Google Scholar] [CrossRef] [PubMed] [Green Version]
- Cezare-Gomes, E.A.; Mejia-da-Silva, L.D.C.; Pérez-Mora, L.S.; Matsudo, M.C.; Ferreira-Camargo, L.S.; Singh, A.K.; de Carvalho, J.C.M. Potential of Microalgae Carotenoids for Industrial Application. Appl. Biochem. Biotechnol. 2019, 188, 602–634. [Google Scholar] [CrossRef]
- Zhang, X.; Rong, J.; Chen, H.; He, C.; Wang, Q. Current Status and Outlook in the Application of Microalgae in Biodiesel Production and Environmental Protection. Front. Energy Res. 2014, 2, 32. [Google Scholar] [CrossRef] [Green Version]
- Ugwu, C.U.; Aoyagi, H.; Uchiyama, H. Photobioreactors for mass cultivation of algae. Bioresour. Technol. 2008, 99, 4021–4028. [Google Scholar] [CrossRef]
- Xu, Z.; Jiang, Y.; Ji, J.; Forsberg, E.; Li, Y.; He, S. Classification, identification, and growth stage estimation of microalgae based on transmission hyperspectral microscopic imaging and machine learning. Opt. Express 2020, 28, 30686–30700. [Google Scholar] [CrossRef]
- Sanghvi, A.M.; Lo, Y.M. Present and potential industrial applications of macro- and microalgae. Recent Pat. Food Nutr. Agric. 2010, 2, 187–194. [Google Scholar] [CrossRef] [PubMed]
- Kratzer, R.; Murkovic, M. Food Ingredients and Nutraceuticals from Microalgae: Main Product Classes and Biotechnological Production. Foods 2021, 10, 1626. [Google Scholar] [CrossRef] [PubMed]
- Vieira, M.V.; Pastrana, L.M.; Fuciños, P. Microalgae Encapsulation Systems for Food, Pharmaceutical and Cosmetics Applications. Mar. Drugs 2020, 18, 644. [Google Scholar] [CrossRef]
- Barkia, I.; Saari, N.; Manning, S.R. Microalgae for High-Value Products Towards Human Health and Nutrition. Mar. Drugs 2019, 17, 304. [Google Scholar] [CrossRef] [PubMed] [Green Version]
- Ljubic, A.; Jacobsen, C.; Holdt, S.L.; Jakobsen, J. Microalgae Nannochloropsis oceanica as a future new natural source of vitamin D(3). Food Chem. 2020, 320, 126627. [Google Scholar] [CrossRef] [PubMed]
- Del Mondo, A.; Smerilli, A.; Sané, E.; Sansone, C.; Brunet, C. Challenging microalgal vitamins for human health. Microb. Cell Factories 2020, 19, 201. [Google Scholar] [CrossRef]
- Lafarga, T.; Fernández-Sevilla, J.M.; González-López, C.; Acién-Fernández, F.G. Spirulina for the food and functional food industries. Food Res. Int. 2020, 137, 109356. [Google Scholar] [CrossRef]
- Foong, L.C.; Loh, C.W.L.; Ng, H.S.; Lan, J.C. Recent development in the production strategies of microbial carotenoids. World J. Microbiol. Biotechnol. 2021, 37, 12. [Google Scholar] [CrossRef]
- Tanguy, G.; Legat, A.; Gonçalves, O.; Marchal, L.; Schoefs, B. Selection of Culture Conditions and Cell Morphology for Biocompatible Extraction of β-Carotene from Dunaliella salina. Mar. Drugs 2021, 19, 648. [Google Scholar] [CrossRef]
- Chen, W.; Chen, G. The Roles of Vitamin A in the Regulation of Carbohydrate, Lipid, and Protein Metabolism. J. Clin. Med. 2014, 3, 453–479. [Google Scholar] [CrossRef] [Green Version]
- Marcelino, G.; Machate, D.J.; Freitas, K.d.C.; Hiane, P.A.; Maldonade, I.R.; Pott, A.; Asato, M.A.; Candido, C.J.; Guimarães, R.d.C.A. β-Carotene: Preventive Role for Type 2 Diabetes Mellitus and Obesity: A Review. Molecules 2020, 25, 5803. [Google Scholar] [CrossRef] [PubMed]
- Riccio, G.; Lauritano, C. Microalgae with Immunomodulatory Activities. Mar. Drugs 2019, 18, 2. [Google Scholar] [CrossRef] [PubMed] [Green Version]
- Martínez Andrade, K.A.; Lauritano, C.; Romano, G.; Ianora, A. Marine Microalgae with Anti-Cancer Properties. Mar. Drugs 2018, 16, 165. [Google Scholar] [CrossRef] [PubMed] [Green Version]
- Ambati, R.R.; Gogisetty, D.; Aswathanarayana, R.G.; Ravi, S.; Bikkina, P.N.; Bo, L.; Yuepeng, S. Industrial potential of carotenoid pigments from microalgae: Current trends and future prospects. Crit. Rev. Food Sci. Nutr. 2019, 59, 1880–1902. [Google Scholar] [CrossRef]
- Murthy, K.N.; Rajesha, J.; Swamy, M.M.; Ravishankar, G.A. Comparative evaluation of hepatoprotective activity of carotenoids of microalgae. J. Med. Food 2005, 8, 523–528. [Google Scholar] [CrossRef]
- Ranga Rao, A.; Raghunath Reddy, R.L.; Baskaran, V.; Sarada, R.; Ravishankar, G.A. Characterization of microalgal carotenoids by mass spectrometry and their bioavailability and antioxidant properties elucidated in rat model. J. Agric. Food Chem. 2010, 58, 8553–8559. [Google Scholar] [CrossRef]
- Rammuni, M.N.; Ariyadasa, T.U.; Nimarshana, P.H.V.; Attalage, R.A. Comparative assessment on the extraction of carotenoids from microalgal sources: Astaxanthin from H. pluvialis and β-carotene from D. salina. Food Chem. 2019, 277, 128–134. [Google Scholar] [CrossRef]
- Poojary, M.M.; Barba, F.J.; Aliakbarian, B.; Donsi, F.; Pataro, G.; Dias, D.A.; Juliano, P. Innovative Alternative Technologies to Extract Carotenoids from Microalgae and Seaweeds. Mar. Drugs 2016, 14, 214. [Google Scholar] [CrossRef]
- Prado, M.J.; Veggi, C.P.; Meireles, A.A.M. Extraction Methods for Obtaining Carotenoids from Vegetables—Review. Curr. Anal. Chem. 2014, 10, 29–66. [Google Scholar] [CrossRef]
- Macías-Sánchez, M.D.; Fernandez-Sevilla, J.M.; Fernández, F.G.A.; García, M.C.C.; Grima, E.M. Supercritical fluid extraction of carotenoids from Scenedesmus almeriensis. Food Chem. 2010, 123, 928–935. [Google Scholar] [CrossRef]
- Institute of Medicine Panel on M. Dietary Reference Intakes for Vitamin A, Vitamin K, Arsenic, Boron, Chromium, Copper, Iodine, Iron, Manganese, Molybdenum, Nickel, Silicon, Vanadium, and Zinc; National Academies Press (US): Washington, DC, USA, 2001. [Google Scholar]
- O’Byrne, S.M.; Blaner, W.S. Retinol and retinyl esters: Biochemistry and physiology. J. Lipid Res. 2013, 54, 1731–1743. [Google Scholar] [CrossRef] [PubMed] [Green Version]
- Harrison, E.H. Mechanisms involved in the intestinal absorption of dietary vitamin A and provitamin A carotenoids. Biochim. Biophys. Acta 2012, 1821, 70–77. [Google Scholar] [CrossRef] [PubMed] [Green Version]
- Tanumihardjo, S.A. Assessing vitamin A status: Past, present and future. J. Nutr. 2004, 134, 290s–293s. [Google Scholar] [CrossRef] [PubMed] [Green Version]
- Alapatt, P.; Guo, F.; Komanetsky, S.M.; Wang, S.; Cai, J.; Sargsyan, A.; Rodríguez Díaz, E.; Bacon, B.T.; Aryal, P.; Graham, T.E. Liver retinol transporter and receptor for serum retinol-binding protein (RBP4). J. Biol. Chem. 2013, 288, 1250–1265. [Google Scholar] [CrossRef] [PubMed] [Green Version]
- Folli, C.; Calderone, V.; Ottonello, S.; Bolchi, A.; Zanotti, G.; Stoppini, M.; Berni, R. Identification, retinoid binding, and x-ray analysis of a human retinol-binding protein. Proc. Natl. Acad. Sci. USA 2001, 98, 3710–3715. [Google Scholar] [CrossRef] [PubMed] [Green Version]
- Shete, V.; Quadro, L. Mammalian metabolism of β-carotene: Gaps in knowledge. Nutrients 2013, 5, 4849–4868. [Google Scholar] [CrossRef] [Green Version]
- During, A.; Smith, M.K.; Piper, J.B.; Smith, J.C. β-Carotene 15,15′-Dioxygenase activity in human tissues and cells: Evidence of an iron dependency. J. Nutr. Biochem. 2001, 12, 640–647. [Google Scholar] [CrossRef] [Green Version]
- Dawson, M.I. The importance of vitamin A in nutrition. Curr. Pharm. Des. 2000, 6, 311–325. [Google Scholar] [CrossRef]
- Patias, L.D.; Fernandes, A.S.; Petry, F.C.; Mercadante, A.Z.; Jacob-Lopes, E.; Zepka, L.Q. Carotenoid profile of three microalgae/cyanobacteria species with peroxyl radical scavenger capacity. Food Res. Int. 2017, 100, 260–266. [Google Scholar] [CrossRef]
- Von Lintig, J. Provitamin A metabolism and functions in mammalian biology. Am. J. Clin. Nutr. 2012, 96, 1234s–1244s. [Google Scholar] [CrossRef] [Green Version]
- Eroglu, A.; Harrison, E.H. Carotenoid metabolism in mammals, including man: Formation, occurrence, and function of apocarotenoids. J. Lipid Res. 2013, 54, 1719–1730. [Google Scholar] [CrossRef] [PubMed] [Green Version]
- Van Bennekum, A.; Werder, M.; Thuahnai, S.T.; Han, C.H.; Duong, P.; Williams, D.L.; Wettstein, P.; Schulthess, G.; Phillips, M.C.; Hauser, H. Class B scavenger receptor-mediated intestinal absorption of dietary beta-carotene and cholesterol. Biochemistry 2005, 44, 4517–4525. [Google Scholar] [CrossRef] [PubMed]
- Kiefer, C.; Hessel, S.; Lampert, J.M.; Vogt, K.; Lederer, M.O.; Breithaupt, D.E.; von Lintig, J. Identification and characterization of a mammalian enzyme catalyzing the asymmetric oxidative cleavage of provitamin A. J. Biol. Chem. 2001, 276, 14110–14116. [Google Scholar] [CrossRef] [PubMed] [Green Version]
- Harrison, E.H.; Quadro, L. Apocarotenoids: Emerging Roles in Mammals. Annu. Rev. Nutr. 2018, 38, 153–172. [Google Scholar] [CrossRef] [PubMed]
- Harrison, E.H.; Kopec, R.E. Enzymology of vertebrate carotenoid oxygenases. Biochim. Biophys. Acta Mol. Cell Biol. Lipids 2020, 1865, 158653. [Google Scholar]
- Amengual, J.; Widjaja-Adhi, M.A.K.; Rodriguez-Santiago, S.; Hessel, S.; Golczak, M.; Palczewski, K.; von Lintig, J. Two carotenoid oxygenases contribute to mammalian provitamin A metabolism. J. Biol. Chem. 2013, 288, 34081–34096. [Google Scholar] [CrossRef] [PubMed] [Green Version]
- Gómez-Zorita, S.; Trepiana, J.; González-Arceo, M.; Aguirre, L.; Milton-Laskibar, I.; González, M.; Eseberri, I.; Fernández-Quintela, A.; Portillo, M.P. Anti-Obesity Effects of Microalgae. Int. J. Mol. Sci. 2019, 21, 41. [Google Scholar]
- Zarezadeh, M.; Faghfouri, A.H.; Radkhah, N.; Foroumandi, E.; Khorshidi, M.; Rasouli, A.; Zarei, M. Mohammadzadeh Honarvar N, Hazhir Karzar N, and Ebrahimi Mamaghani M, Spirulina supplementation and anthropometric indices: A systematic review and meta-analysis of controlled clinical trials. Phytother. Res. 2021, 35, 577–586. [Google Scholar] [CrossRef]
- Moradi, S.; Ziaei, R.; Foshati, S.; Mohammadi, H.; Nachvak, S.M.; Rouhani, M.H. Effects of Spirulina supplementation on obesity: A systematic review and meta-analysis of randomized clinical trials. Complement. Ther. Med. 2019, 47, 102211. [Google Scholar] [CrossRef]
- Finamore, A.; Palmery, M.; Bensehaila, S.; Peluso, I. Antioxidant, Immunomodulating, and Microbial-Modulating Activities of the Sustainable and Ecofriendly Spirulina. Oxid. Med. Cell Longev. 2017, 2017, 3247528. [Google Scholar] [CrossRef] [Green Version]
- Raposo, M.F.; de Morais, A.M.; de Morais, R.M. Carotenoids from Marine Microalgae: A Valuable Natural Source for the Prevention of Chronic Diseases. Mar. Drugs 2015, 13, 5128–5155. [Google Scholar] [CrossRef] [PubMed]
- Stahl, W.; Sies, H. β-Carotene and other carotenoids in protection from sunlight. Am. J. Clin. Nutr. 2012, 96, 1179s–1184s. [Google Scholar] [CrossRef] [PubMed]
- Kammeyer, A.; Luiten, R.M. Oxidation events and skin aging. Ageing Res. Rev. 2015, 21, 16–29. [Google Scholar] [CrossRef] [PubMed]
- Suganuma, K.; Nakajima, H.; Ohtsuki, M.; Imokawa, G. Astaxanthin attenuates the UVA-induced up-regulation of matrix-metalloproteinase-1 and skin fibroblast elastase in human dermal fibroblasts. J. Dermatol. Sci. 2010, 58, 136–142. [Google Scholar] [CrossRef] [PubMed]
- Meephansan, J.; Rungjang, A.; Yingmema, W.; Deenonpoe, R.; Ponnikorn, S. Effect of astaxanthin on cutaneous wound healing. Clin. Cosmet Investig. Dermatol. 2017, 10, 259–265. [Google Scholar] [CrossRef] [Green Version]
- Riley, W.W.; Nickerson, J.G.; Burton, G.W. Effect of oxidized β-carotene on the growth and feed efficiency of broilers. Poult. Sci. 2021, 100, 101088. [Google Scholar] [CrossRef]
- Morocho-Jácome, A.L.; Ruscinc, N.; Martinez, R.M.; de Carvalho, J.C.M.; Santos de Almeida, T.; Rosado, C.; Costa, J.G.; Velasco, M.V.R.; Baby, A.R. (Bio)Technological aspects of microalgae pigments for cosmetics. Appl. Microbiol. Biotechnol. 2020, 104, 9513–9522. [Google Scholar] [CrossRef]
- Baker, R.; Günther, C. The role of carotenoids in consumer choice and the likely benefits from their inclusion into products for human consumption. Trends Food Sci. Technol. 2004, 15, 484–488. [Google Scholar] [CrossRef]
- Borowitzka, L.J.; Borowitzka, M.A. β-Carotene (Provitamin A) Production with Algae. In Biotechnology of Vitamins, Pigments and Growth Factors; Vandamme, E.J., Ed.; Springer: Dordrecht, The Netherlands, 1989; pp. 15–26. [Google Scholar]
- Bhosale, P.; Bernstein, P.S. Microbial xanthophylls. Appl. Microbiol. Biotechnol. 2005, 68, 445–455. [Google Scholar] [CrossRef]
- Moeller, S.M.; Jacques, P.F.; Blumberg, J.B. The potential role of dietary xanthophylls in cataract and age-related macular degeneration. J. Am. Coll. Nutr. 2000, 19, 522s–527s. [Google Scholar] [CrossRef]
- Lin, J.H.; Lee, D.J.; Chang, J.S. Lutein production from biomass: Marigold flowers versus microalgae. Bioresour. Technol. 2015, 184, 421–428. [Google Scholar] [CrossRef] [PubMed]
- Ou, Y.; Lin, L.; Yang, X.; Pan, Q.; Cheng, X. Antidiabetic potential of phycocyanin: Effects on KKAy mice. Pharm. Biol. 2013, 51, 539–544. [Google Scholar] [CrossRef] [PubMed]
- Chen, J.C.; Liu, K.S.; Yang, T.J.; Hwang, J.H.; Chan, Y.C.; Lee, I.T. Spirulina and C-phycocyanin reduce cytotoxicity and inflammation-related genes expression of microglial cells. Nutr. Neurosci. 2012, 15, 252–256. [Google Scholar] [CrossRef] [PubMed]
- Reddy, M.C.; Subhashini, J.; Mahipal, S.V.; Bhat, V.B.; Srinivas Reddy, P.; Kiranmai, G.; Madyastha, K.M.; Reddanna, P. C-Phycocyanin, a selective cyclooxygenase-2 inhibitor, induces apoptosis in lipopolysaccharide-stimulated RAW 264.7 macrophages. Biochem. Biophys. Res Commun. 2003, 304, 385–392. [Google Scholar] [CrossRef]
- Santos, H.O.; Price, J.C.; Bueno, A.A. Beyond Fish Oil Supplementation: The Effects of Alternative Plant Sources of Omega-3 Polyunsaturated Fatty Acids upon Lipid Indexes and Cardiometabolic Biomarkers—An Overview. Nutrients 2020, 12, 3159. [Google Scholar] [CrossRef] [PubMed]
- Khozin-Goldberg, I.; Iskandarov, U.; Cohen, Z. LC-PUFA from photosynthetic microalgae: Occurrence, biosynthesis, and prospects in biotechnology. Appl. Microbiol. Biotechnol. 2011, 91, 905–915. [Google Scholar] [CrossRef] [PubMed]
- Martins, D.A.; Custódio, L.; Barreira, L.; Pereira, H.; Ben-Hamadou, R.; Varela, J.; Abu-Salah, K.M. Alternative sources of n-3 long-chain polyunsaturated fatty acids in marine microalgae. Mar. Drugs 2013, 11, 2259–2281. [Google Scholar] [CrossRef] [Green Version]
- Aasen, A.J.; Eimhjellen, K.E.; Liaaen-Jensen, S. An extreme source of beta-carotene. Acta Chem. Scand. 1969, 23, 2544–2545. [Google Scholar] [CrossRef] [Green Version]
- MiL’Ko, F. The effect of various environmental factors upon pigments formation in the alga Dunaliella salina. Mikrobiologiya 1963, 32, 299–307. [Google Scholar]
- Koyande, A.K.; Chew, K.W.; Rambabu, K.; Tao, Y.; Chu, D.-T.; Show, P.-L. Microalgae: A potential alternative to health supplementation for humans. Food Sci. Hum. Wellness 2019, 8, 16–24. [Google Scholar] [CrossRef]
- Fernandes, A.S.; Petry, F.C.; Mercadante, A.Z.; Jacob-Lopes, E.; Zepka, L.Q. HPLC-PDA-MS/MS as a strategy to characterize and quantify natural pigments from microalgae. Curr. Res. Food Sci. 2020, 3, 100–112. [Google Scholar] [CrossRef] [PubMed]
- Soares, A.T.; da Costa, D.C.; Vieira, A.A.H. Antoniosi Filho NR, Analysis of major carotenoids and fatty acid composition of freshwater microalgae. Heliyon 2019, 5, e01529. [Google Scholar] [CrossRef] [PubMed] [Green Version]
- Diprat, A.B.; Menegol, T.; Boelter, J.F.; Zmozinski, A. Rodrigues Vale MG, Rodrigues E, Rech R, Chemical composition of microalgae Heterochlorella luteoviridis and Dunaliella tertiolecta with emphasis on carotenoids. J Sci. Food Agric. 2017, 97, 3463–3468. [Google Scholar] [CrossRef] [PubMed]
- Zanella, L.; Vianello, F. Microalgae of the genus Nannochloropsis: Chemical composition and functional implications for human nutrition. J. Funct. Foods 2020, 68, 103919. [Google Scholar] [CrossRef]
- Di Lena, G.; Casini, I.; Lucarini, M.; Lombardi-Boccia, G. Carotenoid profiling of five microalgae species from large-scale production. Food Res. Int. 2019, 120, 810–818. [Google Scholar] [CrossRef]
- Li, Z.; Sun, M.; Li, Q.; Li, A.; Zhang, C. Profiling of carotenoids in six microalgae (Eustigmatophyceae) and assessment of their β-carotene productions in bubble column photobioreactor. Biotechnol. Lett. 2012, 34, 2049–2053. [Google Scholar] [CrossRef]
- Inbaraj, B.S.; Chien, J.T.; Chen, B.H. Improved high performance liquid chromatographic method for determination of carotenoids in the microalga Chlorella pyrenoidosa. J. Chromatogr. A 2006, 1102, 193–199. [Google Scholar] [CrossRef]
- Moulton, T.P.; Borowitzka, L.J.; Vincent, D.J. The mass culture of Dunaliella salina for β-carotene: From pilot plant to production plant. Hydrobiologia 1987, 151, 99–105. [Google Scholar] [CrossRef]
- Přibyl, P.; Cepák, V.; Zachleder, V. Oil Overproduction by Means of Microalgae. In Algal Biorefineries: Volume 1: Cultivation of Cells and Products; Bajpai, R., Prokop, A., Zappi, M., Eds.; Springer Netherlands: Dordrecht, The Netherlands, 2014; pp. 241–273. [Google Scholar]
- Marino, T.; Casella, P.; Sangiorgio, P.; Verardi, A.; Ferraro, A.; Hristoforou, E.; Molino, A.; Musmarra, D. Natural Beta-carotene: A Microalgae Derivate for Nutraceutical Applications. Chem. Eng. Trans. 2021, 79, 103–108. [Google Scholar]
- Novoveská, L.; Ross, M.E.; Stanley, M.S.; Pradelles, R.; Wasiolek, V.; Sassi, J.-F. Microalgal Carotenoids: A Review of Production, Current Markets, Regulations, and Future Direction. Mar. Drugs 2019, 17, 640. [Google Scholar] [CrossRef] [Green Version]
- Saefurahman, G.; Turner, S.; Basharat, S.; O’Regan, F.J.; Garcia, R.H.; Beatty, S.; Nolan, J.M. Macular Carotenoids Conference 2015 Cambridge, UK—8–10 July 2015. Eur. J. Ophthalmol. 2015, 25, e65–e66. [Google Scholar]
- Cerón-García, M.C.; González-López, C.V.; Camacho-Rodríguez, J.; López-Rosales, L.; García-Camacho, F.; Molina-Grima, E. Maximizing carotenoid extraction from microalgae used as food additives and determined by liquid chromatography (HPLC). Food Chem. 2018, 257, 316–324. [Google Scholar] [CrossRef]
- Pour Hosseini, S.R.; Tavakoli, O. Sarrafzadeh MH, Experimental optimization of SC-CO2 extraction of carotenoids from Dunaliella salina. J. Supercrit. Fluids 2017, 121, 89–95. [Google Scholar] [CrossRef]
- Abu-Rezq, T.S.; Al-Hooti, S.; Jacob, D.; Al-Shamali, M.; Ahmed, A.; Ahmed, N. Induction and extraction of β-carotene from the locally isolated Dunaliella salina. J. Algal Biomass Util. 2010, 1, 58–83. [Google Scholar]
- Denery, J.R.; Dragull, K.; Tang, C.S.; Li, Q.X. Pressurized fluid extraction of carotenoids from Haematococcus pluvialis and Dunaliella salina and kavalactones from Piper methysticum. Anal. Chim. Acta 2004, 501, 175–181. [Google Scholar] [CrossRef] [Green Version]
- Mendes, R.L.; Nobre, B.P.; Cardoso, M.T.; Pereira, A.P.; Palavra, A.F. Supercritical carbon dioxide extraction of compounds with pharmaceutical importance from microalgae. Inorg. Chim. Acta 2003, 356, 328–334. [Google Scholar] [CrossRef]
- Ruegg, R. Extraction Process for Beta-Carotene in Patent. U.S. Patent 4,439,629, 27 March 1984. [Google Scholar]
- Hejazi, M.A.; Kleinegris, D.; Wijffels, R.H. Mechanism of extraction of beta-carotene from microalga Dunaliellea salina in two-phase bioreactors. Biotechnol. Bioeng. 2004, 88, 593–600. [Google Scholar] [CrossRef]
- Hejazi, M.A.; Wijffels, R.H. Milking of microalgae. Trends Biotechnol. 2004, 22, 189–194. [Google Scholar] [CrossRef]
- Hejazi, M.A.; Wijffels, R.H. Effect of light intensity on beta-carotene production and extraction by Dunaliella salina in two-phase bioreactors. Biomol. Eng. 2003, 20, 171–175. [Google Scholar] [CrossRef]
- Jaime, L.; Mendiola, J.A.; Ibáñez, E.; Martin-Alvarez, P.J.; Cifuentes, A.; Reglero, G.; Señoráns, F.J. Beta-carotene isomer composition of sub- and supercritical carbon dioxide extracts. Antioxidant activity measurement. J. Agric. Food Chem. 2007, 55, 10585–10590. [Google Scholar] [CrossRef]
- Montero, O.; Macías-Sánchez, M.D.; Lama, C.M.; Lubián, L.M.; Mantell, C.; Rodríguez, M.; de la Ossa, E.M. Supercritical CO2 extraction of beta-carotene from a marine strain of the cyanobacterium Synechococcus species. J. Agric. Food Chem. 2005, 53, 9701–9707. [Google Scholar] [CrossRef] [PubMed]
- Nobre, B.P.; Villalobos, F.; Barragán, B.E.; Oliveira, A.C.; Batista, A.P.; Marques, P.A.; Mendes, R.L.; Sovová, H.; Palavra, A.F.; Gouveia, L. A biorefinery from Nannochloropsis sp. Microalga—Extraction of oils and pigments. Production of biohydrogen from the leftover biomass. Bioresour. Technol. 2013, 135, 128–136. [Google Scholar] [CrossRef] [PubMed] [Green Version]
- Wang, L.; Pan, B.; Sheng, J.; Xu, J.; Hu, Q. Antioxidant activity of Spirulina platensis extracts by supercritical carbon dioxide extraction. Food Chem. 2007, 105, 36–41. [Google Scholar] [CrossRef]
- Gracia, I.; Rodríguez, J.F.; García, M.T.; Alvarez, A.; García, A. Isolation of aroma compounds from sugar cane spirits by supercritical CO2. J. Supercrit. Fluids 2007, 43, 37–42. [Google Scholar] [CrossRef]
- Mendiola, J.A.; Santoyo, S.; Cifuentes, A.; Reglero, G.; IbÁÑEz, E.; SeÑOrÁNs, F.J. Antimicrobial Activity of Sub- and Supercritical CO2 Extracts of the Green Alga Dunaliella salina. J. Food Prot. 2008, 71, 2138–2143. [Google Scholar] [CrossRef]
- Sathasivam, R.; Ki, J.S. A Review of the Biological Activities of Microalgal Carotenoids and Their Potential Use in Healthcare and Cosmetic Industries. Mar. Drugs 2018, 16, 26. [Google Scholar] [CrossRef] [Green Version]
- Gateau, H.; Solymosi, K.; Marchand, J.; Schoefs, B. Carotenoids of Microalgae Used in Food Industry and Medicine. Mini Rev. Med. Chem. 2017, 17, 1140–1172. [Google Scholar] [CrossRef]
- Yabuzaki, J. Carotenoids Database: Structures, chemical fingerprints and distribution among organisms. Database 2017, 2017, bax004. [Google Scholar] [CrossRef] [Green Version]
- Pourkarimi, S.; Hallajisani, A.; Alizadehdakhel, A.; Nouralishahi, A.; Golzary, A. Factors affecting production of beta-carotene from Dunaliella salina microalgae. Biocatal. Agric. Biotechnol. 2020, 29, 101771. [Google Scholar] [CrossRef]
- Favas, R.; Morone, J.; Martins, R.; Vasconcelos, V.; Lopes, G. Cyanobacteria and microalgae bioactive compounds in skin-ageing: Potential to restore extracellular matrix filling and overcome hyperpigmentation. J. Enzym. Inhib. Med. Chem. 2021, 36, 1829–1838. [Google Scholar] [CrossRef]
- Abd El-Hack, M.E.; Abdelnour, S.; Alagawany, M.; Abdo, M.; Sakr, M.A.; Khafaga, A.F.; Mahgoub, S.A.; Elnesr, S.S.; Gebriel, M.G. Microalgae in modern cancer therapy: Current knowledge. Biomed. Pharmacother. 2019, 111, 42–50. [Google Scholar] [CrossRef] [PubMed]
- Ruperez, F.J.; Garcia-Martinez, D.; Baena, B.; Maeso, N.; Vallejo, M.; Angulo, S.; Garcia, A.; Ibañez, E.; Señorans, F.J.; Cifuentes, A.; et al. Dunaliella salina extract effect on diabetic rats: Metabolic fingerprinting and target metabolite analysis. J. Pharm. Biomed. Anal. 2009, 49, 786–792. [Google Scholar] [CrossRef] [PubMed]
- El-Baz, F.K.; Salama, A.A.A.; Hussein, R.A. Dunaliella salina microalgae oppose thioacetamide-induced hepatic fibrosis in rats. Toxicol. Rep. 2019, 7, 36–45. [Google Scholar] [CrossRef]
- El-Baz, F.K.; Saleh, D.O.; Abdel Jaleel, G.A.; Hussein, R.A. Attenuation of Age-Related Hepatic Steatosis by Dunaliella salina Microalgae in Senescence Rats through the Regulation of Redox Status, Inflammatory Indices, and Apoptotic Biomarkers. Adv. Pharmacol. Pharm. Sci. 2020, 2020, 3797218. [Google Scholar] [CrossRef] [PubMed]
- Chidambara Murthy, K.N.; Vanitha, A.; Rajesha, J.; Mahadeva Swamy, M.; Sowmya, P.R.; Ravishankar, G.A. In vivo antioxidant activity of carotenoids from Dunaliella salina—A green microalga. Life Sci. 2005, 76, 1381–1390. [Google Scholar] [CrossRef] [PubMed]
- Raja, R.; Hemaiswarya, S.; Balasubramanyam, D.; Rengasamy, R. Protective effect of Dunaliella salina (Volvocales, Chlorophyta) against experimentally induced fibrosarcoma on wistar rats. Microbiol. Res. 2007, 162, 177–184. [Google Scholar] [CrossRef]
- Miranda, M.S.; Cintra, R.G.; Barros, S.B.; Mancini Filho, J. Antioxidant activity of the microalga Spirulina maxima. Braz. J. Med. Biol. Res. 1998, 31, 1075–1079. [Google Scholar] [CrossRef]
- Rao, A.R.; Sarada, R.; Baskaran, V.; Ravishankar, G.A. Antioxidant activity of Botryococcus braunii extract elucidated in vitro models. J. Agric. Food Chem. 2006, 54, 4593–4599. [Google Scholar] [CrossRef]
- Manzocchi, E.; Guggenbühl, B.; Kreuzer, M.; Giller, K. Effects of the substitution of soybean meal by spirulina in a hay-based diet for dairy cows on milk composition and sensory perception. J. Dairy Sci. 2020, 103, 11349–11362. [Google Scholar] [CrossRef]
- Robertson, R.C.; Guihéneuf, F.; Bahar, B.; Schmid, M.; Stengel, D.B.; Fitzgerald, G.F.; Ross, R.P.; Stanton, C. The Anti-Inflammatory Effect of Algae-Derived Lipid Extracts on Lipopolysaccharide (LPS)-Stimulated Human THP-1 Macrophages. Mar. Drugs 2015, 13, 5402–5424. [Google Scholar] [CrossRef] [Green Version]
- Martins, C.B.; Ferreira, O.; Rosado, T.; Gallardo, E.; Silvestre, S.; Santos, L.M.A. Eustigmatophyte strains with potential interest in cancer prevention and treatment: Partial chemical characterization and evaluation of cytotoxic and antioxidant activity. Biotechnol. Lett. 2021, 43, 1487–1502. [Google Scholar] [CrossRef] [PubMed]
- Ambrico, A.; Trupo, M.; Magarelli, R.; Balducchi, R.; Ferraro, A.; Hristoforou, E.; Marino, T.; Musmarra, D.; Casella, P.; Molino, A. Effectiveness of Dunaliella salina Extracts against Bacillus subtilis and Bacterial Plant Pathogens. Pathogens 2020, 9, 613. [Google Scholar] [CrossRef] [PubMed]
- Levin, G.; Mokady, S. Antioxidant activity of 9-cis compared to all-trans beta-carotene in vitro. Free Radic. Biol. Med. 1994, 17, 77–82. [Google Scholar] [CrossRef]
- Bechor, S.; Zolberg Relevy, N.; Harari, A.; Almog, T.; Kamari, Y.; Ben-Amotz, A.; Harats, D.; Shaish, A. 9-cis β-Carotene Increased Cholesterol Efflux to HDL in Macrophages. Nutrients 2016, 8, 435. [Google Scholar] [CrossRef] [Green Version]
- Rotenstreich, Y.; Belkin, M.; Sadetzki, S.; Chetrit, A.; Ferman-Attar, G.; Sher, I.; Harari, A.; Shaish, A.; Harats, D. Treatment with 9-cis β-carotene-rich powder in patients with retinitis pigmentosa: A randomized crossover trial. JAMA Ophthalmol. 2013, 131, 985–992. [Google Scholar] [CrossRef] [Green Version]
- Xu, Y.; Ibrahim, I.M.; Wosu, C.I.; Ben-Amotz, A.; Harvey, P.J. Potential of New Isolates of Dunaliella Salina for Natural β-Carotene Production. Biology 2018, 7, 14. [Google Scholar] [CrossRef] [Green Version]
- Khoo, H.E.; Prasad, K.N.; Kong, K.W.; Jiang, Y.; Ismail, A. Carotenoids and their isomers: Color pigments in fruits and vegetables. Molecules 2011, 16, 1710–1738. [Google Scholar] [CrossRef]


| Strains | Units/Analysis | α-Carotene | β-Carotene | β-Carotene-5,6-epoxide | 9, 13 or 15-cis-β-carotene | Total | Ref. |
|---|---|---|---|---|---|---|---|
| Chlorella sorokiniana | µg/g DW/HPLC-PDA-MS for analysis | 71 | 156 | 42 (9-cis) | 1408 | [75] | |
| Scenedesmus bijuga | 41 | 166 | 13 | 54 (9-cis), 16 (13-cis) | 1196 | ||
| Chlorella zofingiensis | mg/g DW/HPLC-APCI-MS/MS for analysis | 0.09 | 0.29 | [76] | |||
| Selenastrum bibraianum | 0.08 | 0.16 | |||||
| Desmodesmus denticulatus var. linearis | 0.21 | 0.4 | |||||
| Coelastrum sphaericum | 0.11 | ||||||
| Mougeotia sp. | 0.14 | ||||||
| Scenedesmus | µg/g DW/HPLC–PDA–MS/MS for analysis | 42 | 778 | 21 | 124 (9-cis), 47 (13-cis) | 2651 | [42] |
| Chlorella | 352 | 49 | 40 (9-cis), 17 (13-cis) | 1977 | |||
| Aphanothece | 368 | 62 | 46 (9-cis), 17 (13-cis) | 1399 | |||
| Nannochloropsis limnetica | mg/g DW/HPLC chromatograms for analysis | 0.28 | 3.0 | [78] | |||
| Mougeotia. salina | 0.084 | 2.22 | 5.1 | ||||
| Nannochloropsis oceanica | 0.1–1.7 | ||||||
| Nannochloropsis sp. | 0.67 | 8.6 | |||||
| Nannochloropsis oceanica | 0.3–1.1 | ||||||
| Nannochloropsis oculata | 0.07–0.14 | ||||||
| Mougeotia salina | 2.22 | ||||||
| Nannochloropsis limnetica | 0.28 | ||||||
| Nannochloropsis spp. | 0.3 | ||||||
| Porphiridium cruentum | mg/100 g DW/HPLC chromatograms for analysis | 53 | 167 | [79] | |||
| Isochrysis galbana | 53 | 1760 | |||||
| Phaeodactylum tricornutum | 34 | 1022 | |||||
| Tetraselmis suecica | 42 | 43 | 297 | ||||
| Nannochloropsis gaditana | 100 | 447 | |||||
| Dunaliella tertiolecta | mg/g DW/HPLC-APCI-MS/MS for analysis | 0.04 | 0.62 | 0.13 (9-cis), 0.06 (13-cis), 0.02 (15-cis) | 3.4 | [77] | |
| Heterochlorella luteoviridis | 0.47 | 0.50 | 0.13 (9-cis), 0.12(13-cis), 0.04 (15-cis) | 3.47 | |||
| Eustigmatos magnus | mg/g DW for total and % of total carotenoids for individuals/HPLC chromatograms for analysis | 53 | 25 | [80] | |||
| Eustigmatos polyphem | 51 | 14 | |||||
| Eustigmatos vischeri | 53 | 19 | |||||
| Vischeria helvetica | 58 | 25 | |||||
| Vischeria punctata | 57 | 33 | |||||
| Vischeria stellata | 62 | 55 | |||||
| Chlorella pyrenoidosa | μg/g DW/HPLC chromatograms for analysis | 2466 | 2155 | 580 (9-cis) | [81] |
| Strains | Unit/Analysis | Total | Lutein | Zea | Anth | Luth | Vio | Vau | Fuco | Ech | Asx | Neo | Crx | Ddx | Dtx | Ctx | Ref. |
|---|---|---|---|---|---|---|---|---|---|---|---|---|---|---|---|---|---|
| Chlorella sorokiniana | µg/g DW/HPLC-PDA-MS for analysis | 1408 | 909 | 45 | 54 | 131 | [75] | ||||||||||
| Scenedesmus bijuga | 1196 | 671 | 36 | 33 | 15 | 151 | |||||||||||
| Chlorella zofingiensis | mg/g DW/HPLC-APCI-MS/MS for analysis | 0.49 | 5.7 | 0.11 | 0.18 | [76] | |||||||||||
| Selenastrum bibraianum | 1.73 | 0.41 | 1.34 | 0.03 | |||||||||||||
| Desmodesmus denticulatus var. linearis | 8.46 | 0.07 | |||||||||||||||
| Coelastrum sphaericum | 2.75 | 15 | 0.42 | 0.21 | |||||||||||||
| Mougeotia sp. | 1.56 | 0.92 | 3.48 | 0.73 | |||||||||||||
| Scenedesmus | µg/g DW/HPLC–PDA–MS/MS for analysis | 2651 | 776 | 332 | 38 | 55 | 32 | 273 | 61 | 24 | 21 | 10 | [42] | ||||
| Chlorella | 1977 | 184 | 271 | 19 | 17 | 13 | 716 | 21 | 15 | 22 | 104 | ||||||
| Aphanothece | 1399 | 33 | 103 | 14 | 597 | 10 | 52 | ||||||||||
| Nannochloropsis limnetica | mg/g DW/HPLC chromatograms for analysis | 3.0 | 0.14 | 0.34 | 1.2 | 0.18 | 0.42 | 0.14 | 0.003 | [78] | |||||||
| Mougeotia salina | 5.1 | 0.58 | 1.7 | 0.01 | 0.05 | 0.14 | 0.14 | ||||||||||
| Nannochloropsis sp. | 8.6 | 6.4 | |||||||||||||||
| Porphiridium cruentum | mg/100 g DW/HPLC chromatograms for analysis | 167 | 107 | 6.5 | [79] | ||||||||||||
| Isochrysis galbana | 1760 | 1643 | 40 | 25 | |||||||||||||
| Phaeodactylum tricornutum | 1022 | 913 | 32 | 44 | |||||||||||||
| Tetraselmis suecica | 297 | 85 | 82 | ||||||||||||||
| Nannochloropsis gaditana | 447 | 10 | 337 | ||||||||||||||
| Heterochlorella luteoviridis | mg/g DW/HPLC-APCI-MS/MS for analysis | 3.4 | 1.8 | 0.08 | 0.08 | 0.59 | [77] | ||||||||||
| Dunaliella tertio-lecta | 3.5 | 1.3 | 0.14 | 0.79 | |||||||||||||
| Eustigmatos magnus | mg/g DW for total and % of total carotenoids for individuals/HPLC chromatograms for analysis | 25 | 2.6 | 1.9 | 2.1 | 15 | 12 | [80] | |||||||||
| Eustigmatos polyphem | 14 | 3.2 | 2.2 | 4.9 | 2.5 | 13 | |||||||||||
| Eustigmatos vischeri | 2.5 | 1.9 | 2.6 | 3.5 | 10 | 14 | |||||||||||
| Vischeria helvetica | 25 | 1.2 | 2.3 | 4.2 | 12 | 11 | |||||||||||
| Vischeria punctata | 33 | 1.7 | 2.4 | 4.7 | 11 | 12 | |||||||||||
| Vischeria stellata | 55 | 1.6 | 1.8 | 3.6 | 13 | 7.6 | |||||||||||
| Chlorella pyrenoidosa | μg/g DW/HPLC chromatograms for analysis | 140376 | 2170 | 38 | 259 | 335 | [81] |
| Strains | Materials/Analysis | Isoforms | Subjects Used | Results | Ref. |
|---|---|---|---|---|---|
| D. salina | Lyophilized biomass and extracts using supercritical CO2 and pre-pared by red light treatment/HPLC (UV-vis, 3D image) chromatograms for analysis | all-trans and 9-cis-β-carotene | Male and female Drosophila melanogaster Dahomey | Extract extends the median lifespan, which is attributed to the improvement of mitochondrial functions by 9-cis-β-carotene | [3] |
| D. salina | Pressurized fluid extraction and hexane/HPLC chromatograms for analysis | β-carotene | Bacteria: P. syringae pv. tomato EPS3, B. subtilis ET-1, P. carotovorum subsp. carotovorum DSM30168 | Hexane extract inhibits bacterial growth, and re-duces speck spot diseases in tomato plants. | [118] |
| S. platensis and D. salina | Hexane:isopropyl alcohol (1:1 vol/vol) extraction/HPLC chromatograms for analysis | β-carotene in S. plantensis; carotenoids and xanthophyl in D. salina | Male and female Wistar rats | The extract of D. Salina has better hepato-protective activity than that of S. plantensis. | [27] |
| D. Salina | Hexane:ethyl acetate (80:20) extraction/HPLC chromatograms and GC/MS for analysis | β-carotene (15.2% of the algal extract) | Adult male albino Wistar rats | D. salina extract protects against TAA-induced hepatic fibrosis in rats. | [109] |
| S. platensis | Spray-dried mass/HPLC for analysis | Diet with 5% spray-dried S. platensis that contain β-carotene | Cows | Supplementation of S. platensis leads to higher β-carotene content in the milk than the control group. | [115] |
| D. Salina | Hexane: ethyl acetate (80:20) extraction/Repeated chromatographic analysis | Carotenoids | Male Wistar rats | Extracted carotenoids protects age-induced hepatic steatosis via regulating redox status, inflammation, and apoptosis in senescence rats. | [110] |
| D. Salina | n-Hexane: isopropyl alcohol (1:1) extraction/HPLC for analysis | Carotenoids | Wistar rats | Extracted carotenoids have better antioxidant activity than synthetic carotene in rat liver homogenates. | [111] |
| D. Salina | Lyophilized pellets/Absorption spectroscopy at 443 and 475 nm to confirm the presence β-carotene isomers | 9-cis- and 11-cis-β-carotene | Male Wistar rats | 9-cis-β-carotene in algae pellets might have anti-cancer activity. | [112] |
| S. platensis, H. pluvialis, and B. braunii | Extracted with acetone, chloroform, methanol, and petroleum ether separately, and pooled/MS for detection | Carotenoids and chlorophyll | Male Wistar rats | The treated rats have higher antioxidant enzymes, and activities in the blood and liver than the controls. | [28] |
| P. lutheri, P. palmata, P. dioica and C. crispus | Extracted with methanol:chloroform 1:1 (v/v), then water added to collect the organic phase/HPLC chromatograms for analysis | Extracts have 34–42% total fatty acids as n-3 PUFA and 5–7% as pigments, including chlorophyll a, β-carotene and fucoxanthin. | Human THP-1 macrophage cells | Crude extracts inhibit lipopolysaccharide-induced inflammatory responses in human THP-1 macrophage cells. | [116] |
| S. platensis | Lyophilized algae were extracted with ethyl ether and then methanol/Absorption spectroscopy for analysis | Extracts (per liter solvent) have 96.3 mg phenolic, 18 mg tocopherol and 27.5 mg β-carotene. | Male Wistar rats | Extracts show antioxidant activity both in vitro and in vivo. | [113] |
| B. braunii (LB 572) | Acetone extract/HPLC chromatograms for analysis | The extract has 4.7–7.6 µg/mg carotenoids and 11–12.7 µg/mg polyphenols. | Male Wistar rats | The extract acts as antioxidant to reduces free radicals and hydroxy radicals and prevent lipid peroxidation. | [114] |
| Characiopsis aquilonaris, Chlorobotrys gloeothece and Chlorobotrys regularis | Dichloromethane: methanol (1:1, v/v) extraction/HPLC chromatograms for analysis | Extracts (mg/g DW) contain respectively chlorophyll a (18.4, 7.3, 17.5), carotenoids (2.3, 1.2, 1.4) and phenolic acid (6.2, 3.2, 5.7) | Normal human dermal fibroblasts | Extracts from these microalgae show antioxidant activities. | [117] |
Publisher’s Note: MDPI stays neutral with regard to jurisdictional claims in published maps and institutional affiliations. |
© 2022 by the authors. Licensee MDPI, Basel, Switzerland. This article is an open access article distributed under the terms and conditions of the Creative Commons Attribution (CC BY) license (https://creativecommons.org/licenses/by/4.0/).
Share and Cite
Wang, J.; Hu, X.; Chen, J.; Wang, T.; Huang, X.; Chen, G. The Extraction of β-Carotene from Microalgae for Testing Their Health Benefits. Foods 2022, 11, 502. https://doi.org/10.3390/foods11040502
Wang J, Hu X, Chen J, Wang T, Huang X, Chen G. The Extraction of β-Carotene from Microalgae for Testing Their Health Benefits. Foods. 2022; 11(4):502. https://doi.org/10.3390/foods11040502
Chicago/Turabian StyleWang, Jing, Xinge Hu, Junbin Chen, Tiannan Wang, Xianju Huang, and Guoxun Chen. 2022. "The Extraction of β-Carotene from Microalgae for Testing Their Health Benefits" Foods 11, no. 4: 502. https://doi.org/10.3390/foods11040502
APA StyleWang, J., Hu, X., Chen, J., Wang, T., Huang, X., & Chen, G. (2022). The Extraction of β-Carotene from Microalgae for Testing Their Health Benefits. Foods, 11(4), 502. https://doi.org/10.3390/foods11040502

