Purification of Camellia Oil by Inorganic Ceramic Membrane
Abstract
1. Introduction
2. Materials and Methods
2.1. Materials
2.2. Purification Process
2.3. Determination of Phospholipids (PL) Content
2.4. Fatty Acid Composition
2.5. Physicochemical Characteristic Analysis
2.6. Data and Statistical Analysis
3. Results and discussion
3.1. Influence of Operating Conditions for Purification on Membrane Flux and Degumming Rate
3.2. Phospholipids (PL) Composition Analysis
3.3. Fatty Acid Composition Analysis
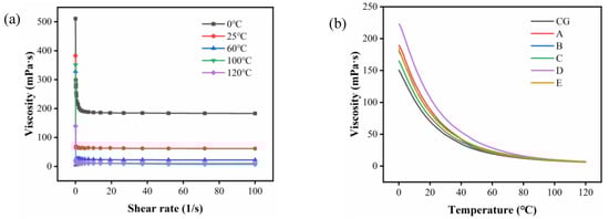
3.4. Physicochemical Characteristic of Camellia Oil Analysis
4. Conclusions
Author Contributions
Funding
Institutional Review Board Statement
Informed Consent Statement
Data Availability Statement
Conflicts of Interest
References
- Luan, F.; Zeng, J.; Yang, Y.; He, X.; Wang, B.; Gao, Y.; Zeng, N. Recent advances in Camellia oleifera Abel.: A review of nutritional constituents, biofunctional properties, and potential industrial applications. J. Funct. Foods 2020, 75, 104242. [Google Scholar] [CrossRef]
- Shi, T.; Wu, G.; Jin, Q.; Wang, X. Camellia oil authentication: A comparative analysis and recent analytical techniques developed for its assessment. A review. Trends Food Sci. Technol. 2020, 97, 88–99. [Google Scholar] [CrossRef]
- Shi, T.; Wu, G.; Jin, Q.; Wang, X. Detection of camellia oil adulteration using chemometrics based on fatty acids GC fingerprints and phytosterols GC–MS fingerprints. Food Chem. 2021, 352, 129422. [Google Scholar] [CrossRef] [PubMed]
- Chou, T.-Y.; Lu, Y.-F.; Inbaraj, B.S.; Chen, B.-H. Camelia oil and soybean-camelia oil blend enhance antioxidant activity and cardiovascular protection in hamsters. Nutrition 2018, 51, 86–94. [Google Scholar] [CrossRef]
- Guo, L.; Guo, Y.; Wu, P.; Lu, F.; Zhu, J.; Ma, H.; Chen, Y.; Zhang, T. Camellia oil lowering blood pressure in spontaneously hypertension rats. J. Funct. Foods 2020, 70, 103915. [Google Scholar] [CrossRef]
- Lei, X.; Liu, Q.; Cao, Z.; Zhang, J.; Kuang, T.; Fang, Y.; Liu, G.; Qian, K.; Fu, J.; Du, H. Camellia oil (Camellia oleifera Abel.) attenuates CCl4-induced liver fibrosis via suppressing hepatocyte apoptosis in mice. Food Funct. 2020, 11, 4582–4590. [Google Scholar] [CrossRef]
- Wei, Z.; Yang, K.; Guo, M.; Luan, X.; Duan, Z.; Li, X. The effect of thermal pretreatment processing on the distribution of free and bound phenolics in virgin Camellia oleifera seed oil. LWT 2022, 161, 113349. [Google Scholar] [CrossRef]
- De Morais Coutinho, C.; Chiu, M.C.; Basso, R.C.; Ribeiro, A.P.B.; Gonçalves, L.A.G.; Viotto, L.A. State of art of the application of membrane technology to vegetable oils: A review. Food Res. Int. 2009, 42, 536–550. [Google Scholar] [CrossRef]
- Gharby, S. Refining Vegetable Oils: Chemical and Physical Refining. Sci. World J. 2022, 2022, 6627013. [Google Scholar] [CrossRef]
- Lv, M.; Wu, W. Development of a new aqueous procedure for efficiently extracting high quality Camellia oleifera oil. Ind. Crop. Prod. 2019, 138, 111583. [Google Scholar] [CrossRef]
- Chen, F.; Zhang, Q.; Gu, H.; Yang, L. An approach for extraction of kernel oil from Pinus pumila using homogenate-circulating ultrasound in combination with an aqueous enzymatic process and evaluation of its antioxidant activity. J. Chromatogr. A 2016, 1471, 68–79. [Google Scholar] [CrossRef] [PubMed]
- Wu, X.H.; Li, L. Optimization of ultrasound-assisted extraction of oil from camellia (Camellia oleifera abel) seed. Adv. Mater. Res. 2011, 236, 1854–1858. [Google Scholar] [CrossRef]
- Clausen, K. Enzymatic oil-degumming by a novel microbial phospholipase. Eur. J. Lipid Sci. Technol. 2001, 103, 333–340. [Google Scholar] [CrossRef]
- De Souza, M.P.; Petrus, J.C.C.; Gonçalves, L.A.G.; Viotto, L.A. Degumming of corn oil/hexane miscella using a ceramic membrane. J. Food Eng. 2008, 86, 557–564. [Google Scholar] [CrossRef]
- Szydłowska-Czerniak, A.; Łaszewska, A. Optimization of a soft degumming process of crude rapeseed oil—Changes in its antioxidant capacity. Food Bioprod. Process. 2017, 105, 26–35. [Google Scholar] [CrossRef]
- Zhang, L.; Akhymetkan, S.; Chen, J.; Dong, Y.; Gao, Y.; Yu, X. Convenient method for the simultaneous production of high-quality fragrant rapeseed oil and recovery of phospholipids via electrolyte degumming. LWT 2022, 155, 112947. [Google Scholar] [CrossRef]
- Rossi, M.; Gianazza, M.; Alamprese, C.; Stanga, F. The role of bleaching clays and synthetic silica in palm oil physical refining. Food Chem. 2003, 82, 291–296. [Google Scholar] [CrossRef]
- Pohndorf, R.S.; Cadaval, T.R.S., Jr.; Pinto, L.A.A. Kinetics and thermodynamics adsorption of carotenoids and chlorophylls in rice bran oil bleaching. J. Food Eng. 2016, 185, 9–16. [Google Scholar] [CrossRef]
- More, N.S.; Gogate, P.R. Intensification of degumming of crude soybean oil using ultrasound in combination with oxidizing agents. Chem. Eng. Process. 2018, 128, 132–142. [Google Scholar] [CrossRef]
- Rafe, A.; Razavi, S.M.A.; Khodaparast, M.H. Refining of crude canola oil using PSA ultrafiltration membrane. Int. J. Food Eng. 2012, 8, 1–23. [Google Scholar] [CrossRef]
- Widodo, S.; Ariono, D.; Khoiruddin, K.; Hakim, A.N.; Wenten, I.G. Recent advances in waste lube oils processing technologies. Environ. Prog. Sustain. Energy 2018, 37, 1867–1881. [Google Scholar] [CrossRef]
- Pagliero, C.; Mattea, M.; Ochoa, N.; Marchese, J. Fouling of polymeric membranes during degumming of crude sunflower and soybean oil. J. Food Eng. 2007, 78, 194–197. [Google Scholar] [CrossRef]
- Koris, A.; Vatai, G. Dry degumming of vegetable oils by membrane filtration. Desalination 2002, 148, 149–153. [Google Scholar] [CrossRef]
- Manjula, S.; Subramanian, R. Simultaneous degumming, dewaxing and decolorizing crude rice bran oil using nonporous membranes. Sep. Purif. Technol. 2009, 66, 223–228. [Google Scholar] [CrossRef]
- AOCS. Official Method Ca 12-55, Sampling and Analysis of Commercial Fats and Oils: Phospholipid, Official Methods and Recommended Practices of the AOCS; AOCS Press: Champaign, IL, USA, 2009. [Google Scholar]
- Moigradean, D.; Poiana, M.-A.; Alda, L.-M.; Gogoasa, I. Quantitative identification of fatty acids from walnut and coconut oils using GC-MS method. J. Agroaliment. Process. Technol. 2013, 19, 459–463. [Google Scholar]
- Ganguly, S.; Ghosh, M.; Bandyopadhyay, K. Effect on rheology and frying stability of edible oil before and after addition of fenugreek seeds. J. Indian Chem. Soc. 2021, 98, 100209. [Google Scholar] [CrossRef]
- AOCS. Official Method Ca 2d-25, Moisture and Volatile Matter, in Fats and Oils, Vacuum Oven Method, Official Methods and Recommended Practices of the AOCS; AOCS Press: Champaign, IL, USA, 2017. [Google Scholar]
- AOCS. Official Method Cd 3d-63, Acid Value of Fats and Oils. Official Methods and Recommended Practices of the AOCS; AOCS Press: Champaign, IL, USA, 2017. [Google Scholar]
- AOCS. Official Method Cd 8-53, Peroxide Value Acetic Acid-Chloroform. Official Methods and Recommended Practices of the AOCS; AOCS Press: Champaign, IL, USA, 1998. [Google Scholar]
- Ariponnammal, S. A novel method of using refractive index as a tool for finding the adultration of oils. Res. I Recent Sci. 2012, 2277, 2502. [Google Scholar]
- AOCS. Official Method Cd 3-25, Saponification Value of Fats and Oils, Official Methods and Recommended Practices of the AOCS; AOCS Press: Champaign, IL, USA, 2017. [Google Scholar]
- Conceição, J.N.; Marangoni, B.S.; Michels, F.S.; Oliveira, I.P.; Passos, W.E.; Trindade, M.A.; Oliveira, S.L.; Caires, A.R. Evaluation of molecular spectroscopy for predicting oxidative degradation of biodiesel and vegetable oil: Correlation analysis between acid value and UV–Vis absorbance and fluorescence. Fuel Process. Technol. 2019, 183, 1–7. [Google Scholar] [CrossRef]
- Schäfer, A.; Fane, A.G.; Waite, T. Fouling effects on rejection in the membrane filtration of natural waters. Desalination 2000, 131, 215–224. [Google Scholar] [CrossRef]
- Cheryan, M. Ultrafiltration Handbook; Technomic Publishing Co. Inc.: Lancaster, PA, USA, 1986. [Google Scholar]
- Aryanti, N.; Hesti Wardhani, D.; Nafiunisa, A. Ultrafiltration membrane for degumming of crude palm oil-isopropanol mixture. Chem. Biochem. Eng. Q. 2018, 32, 325–334. [Google Scholar] [CrossRef]
- García, A.; Álvarez, S.; Riera, F.; Álvarez, R.; Coca, J. Sunflower oil miscella degumming with polyethersulfone membranes: Effect of process conditions and MWCO on fluxes and rejections. J. Food Eng. 2006, 74, 516–522. [Google Scholar] [CrossRef]
- Lin, L.; Rhee, K.; Koseoglu, S. Bench-scale membrane degumming of crude vegetable oil: Process optimization. J. Membr. Sci. 1997, 134, 101–108. [Google Scholar] [CrossRef]
- Basso, R.C.; Gonçalves, L.A.G.; Grimaldi, R.; Viotto, L.A. Degumming and production of soy lecithin, and the cleaning of a ceramic membrane used in the ultrafiltration and diafiltration of crude soybean oil. J. Membr. Sci. 2009, 330, 127–134. [Google Scholar] [CrossRef]
- de Moura, J.M.; Gonçalves, L.A.; Petrus, J.C.C.; Viotto, L.A. Degumming of vegetable oil by microporous membrane. J. Food Eng. 2005, 70, 473–478. [Google Scholar] [CrossRef]
- Ochoa, N.; Pagliero, C.; Marchese, J.; Mattea, M. Ultrafiltration of vegetable oils: Degumming by polymeric membranes. Sep. Purif. Technol. 2001, 22, 417–422. [Google Scholar] [CrossRef]
- Alicieo, T.; Mendes, E.; Pereira, N.; Lima, O.M. Membrane ultrafiltration of crude soybean oil. Desalination 2002, 148, 99–102. [Google Scholar] [CrossRef]
- Zhu, M.; Wen, X.; Zhao, J.; Liu, F.; Ni, Y.; Ma, L.; Li, J. Effect of industrial chemical refining on the physicochemical properties and the bioactive minor components of peanut oil. J. Am. Oil Chem. Soc. 2016, 93, 285–294. [Google Scholar] [CrossRef]
- Gharby, S.; Hajib, A.; Ibourki, M.; Nounah, I.; Moudden, H.E.; Elibrahimi, M.; Harhar, H. Induced changes in olive oil subjected to various chemical refining steps: A comparative study of quality indices, fatty acids, bioactive minor components, and oxidation stability kinetic parameters. Chem. Data Collect. 2021, 33, 100702. [Google Scholar] [CrossRef]
- Sipos, E.; Szuhaj, B. Soybean oil. In Bailey’s Industrial Oil and Fat Products; Wiley: Hoboken, NJ, USA, 1996; Volume 2, pp. 497–601. [Google Scholar]
- Liu, K.-T.; Gao, S.; Chung, T.-W.; Huang, C.-M.; Lin, Y.-S. Effect of process conditions on the removal of phospholipids from Jatropha curcas oil during the degumming process. Chem. Eng. Res. Des. 2012, 90, 1381–1386. [Google Scholar] [CrossRef]
- Thummar, U.G.; Saxena, M.; Ray, S.; Singh, P.S. Solvent-resistant polyvinyl alcohol nanofilm with nanopores for high-flux degumming. J. Membr. Sci. 2022, 650, 120430. [Google Scholar] [CrossRef]





| Nomenclature | Description |
|---|---|
| Manufacturer | TAMI Separation Technologies (Suzhou Industrial Park) Co. |
| Membrane type | Tubular |
| Activated microfiltration separation layer | ZrO2 |
| Activated ultrafiltration separation layer | TiO2 |
| Membrane support material | Al2O3/TiO2/ZrO2 |
| Pore size (nm) | 200, 140, 50, 15, 10 |
| Pure water permeability (25 °C, 0.1 MPa) | 468.44, 434.28, 218.28, 64.89, 32.70 |
| Length (cm) | 25 |
| Outer diameter (mm) | 6 |
| Channel diameter (mm) | 5.5 |
| Number of channels | 1 |
| Surface area (m2) | 0.0043175 |
| Operating pH | 0~14 |
| Maximum operating temperature (°C) | 350 |
| Fatty Acids | Samples (Permeate) | |||||
|---|---|---|---|---|---|---|
| CG | 200 nm | 40 nm | 20 nm | 15 nm | 10 nm | |
| ethyl oleate (C18:1) | 82.2 ± 0.033 a | 82.2 ± 0.042 a | 82.0 ± 0.065 b | 82.2 ± 0.026 a | 82.0 ± 0.0054 b | 81.6 ± 0.02 c |
| Methyl linoleate (C18:2) | 7.67 ± 0.028 ab | 7.65 ± 0.03 ab | 7.69 ± 0.05 ab | 7.63 ± 0.018 ab | 7.70 ± 0.035 a | 7.62 ± 0.042 b |
| Methyl palmitate (C16:0) | 7.46 ± 0.020 c | 7.46 ± 0.0018 c | 7.59 ± 0.0021 b | 7.46 ± 0.024 c | 7.62 ± 0.053 b | 7.88 ± 0.06 a |
| Methyl stearate (C18:0) | 1.65 ± 0.009 b | 1.65 ± 0.023 b | 1.69 ± 0.024 ab | 1.67 ± 0.10 ab | 1.65 ± 0.057 b | 1.77 ± 0.026 a |
| Methyl 11-eicosenoate (C20:1) | 0.416 ± 0.02 a | 0.411 ± 0.07 a | 0.415 ± 0.023 a | 0.412 ± 0.018 a | 0.410 ± 0.014 a | 0.410 ± 0.020 a |
| Methyl linolenate (C18:3) | 0.243 ± 0.0024 ab | 0.240 ± 0.0009 c | 0.245 ± 0.001 a | 0.245 ± 0.0014 a | 0.240 ± 0.0018 c | 0.242 ± 0.001 bc |
| Methyl palmitoleate (C16:1) | 0.068 ± 0.002 e | 0.069 ± 0.0028 de | 0.084 ± 0.0024 c | 0.071 ± 0.0018 d | 0.087 ± 0.0014 b | 0.110 ± 0.0012 a |
| Methyl nervonate (C24:1) | 0.056 ± 0.0018 a | 0.056 ± 0.0023 a | 0.057 ± 0.0022 a | 0.055 ± 0.0018 a | 0.055 ± 0.0011 a | 0.055 ± 0.0014 a |
| Methyl heptadecanoate (C17:0) | 0.054 ± 0.0014 a | 0.053 ± 0.0024 a | 0.055 ± 0.0015 a | 0.054 ± 0.0020 a | 0.053 ± 0.0023 a | 0.055 ± 0.0024 a |
| Methyl heptadecenoate (C17:1) | 0.052 ± 0.0015 a | 0.054 ± 0.0013 a | 0.054 ± 0.001 a | 0.053 ± 0.002 a | 0.053 ± 0.0017 a | 0.054 ± 0.0013 a |
| Methyl arachidate (C20:0) | 0.029 ± 0.0014 a | 0.029 ± 0.0017 a | 0.030 ± 0.002 a | 0.029 ± 0.0024 a | 0.028 ± 0.0012 a | 0.031 ± 0.0010 a |
| Methyl myristate (C14:0) | 0.028 ± 0.002 bc | 0.026 ± 0.0015 c | 0.030 ± 0.0013 b | 0.029 ± 0.0017 b | 0.028 ± 0.0012 bc | 0.038 ± 0.0018 a |
| Methyl erucate (C22:1) | 0.028 ± 0.0023 a | 0.028 ± 0.001 a | 0.028 ± 0.001 a | 0.028 ± 0.0027 a | 0.029 ± 0.002 a | 0.026 ± 0.0034 a |
| Methyl lignocerate (C24:0) | 0.025 ± 0.005 a | 0.026 ± 0.0029 a | 0.025 ± 0.003 a | 0.026 ± 0.0017 a | 0.024 ± 0.003 a | 0.025 ± 0.004 a |
| Methyl Docosahexaenoate (C22:6) | 0.022 ± 0.001 bc | 0.020 ± 0.001 c | 0.021 ± 0.0005 c | 0.024 ± 0.0023 ab | 0.024 ± 0.0017 ab | 0.025 ± 0.0021 a |
| Methyl behenate (C22:0) | 0.012 ± 0.0011 a | 0.011 ± 0.0013 ab | 0.011 ± 0.0017 ab | 0.010 ± 0.002 b | 0.011 ± 0.001 ab | 0.012 ± 0.001 ab |
| Methyl pentadecanoate (C15:0) | 0.005 ± 0.0002 c | 0.006 ± 0.0002 b | 0.007 ± 0.0002 a | 0.006 ± 0.0002 b | 0.006 ± 0.0001 b | 0.007 ± 0.0003 a |
Publisher’s Note: MDPI stays neutral with regard to jurisdictional claims in published maps and institutional affiliations. |
© 2022 by the authors. Licensee MDPI, Basel, Switzerland. This article is an open access article distributed under the terms and conditions of the Creative Commons Attribution (CC BY) license (https://creativecommons.org/licenses/by/4.0/).
Share and Cite
Cao, D.; Gai, L.; Niu, D.; Li, Y.; Li, J.; Tian, R.; Li, K. Purification of Camellia Oil by Inorganic Ceramic Membrane. Foods 2022, 11, 3644. https://doi.org/10.3390/foods11223644
Cao D, Gai L, Niu D, Li Y, Li J, Tian R, Li K. Purification of Camellia Oil by Inorganic Ceramic Membrane. Foods. 2022; 11(22):3644. https://doi.org/10.3390/foods11223644
Chicago/Turabian StyleCao, Danyu, Lili Gai, Debao Niu, Yarong Li, Jianbin Li, Run Tian, and Kai Li. 2022. "Purification of Camellia Oil by Inorganic Ceramic Membrane" Foods 11, no. 22: 3644. https://doi.org/10.3390/foods11223644
APA StyleCao, D., Gai, L., Niu, D., Li, Y., Li, J., Tian, R., & Li, K. (2022). Purification of Camellia Oil by Inorganic Ceramic Membrane. Foods, 11(22), 3644. https://doi.org/10.3390/foods11223644

