Development of Vacuum-Steam Combination Heating System for Pasteurization of Sprout Barley Powder
Abstract
1. Introduction
2. Materials and Methods
2.1. Investigation of Design Factors for the Development of Vacuum-Heating System
2.1.1. Sample Preparation for Pre-Experiment
2.1.2. Powder Pasteurization Method Using Experimental Scale Vacuum Heating System
2.2. Discrete Element Method Simulation
2.2.1. Conditions of DEM Simulation Parameters
2.2.2. Contact Model of the Simulation
2.3. Vacuum-Steam Combination Heating System
2.4. Foodborne Pathogen Inoculum Preparation
2.5. Sprout Barley Powder Sample Preparation and Inoculation
2.6. Vacuum-Steam Combination Heating Treatment
2.7. Microbial Enumeration
2.8. Water Activity and Color Measurements
2.9. Statistical Analysis
3. Results and Discussion
3.1. Comparison of Vacuum and Atmospheric Pressure Heat Treatment Using Experimental Scale System
3.1.1. Changes in Temperature and Color of Powder
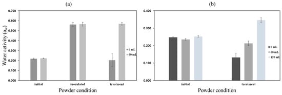
3.1.2. Changes in Microorganism Population and Water Activity of Sprout Barley Powder
3.2. Powder Mixing Patterns Depending on the Types of the Stirring Blade
3.3. Inactivation Rate
3.4. Color Change Assessment of Treated Powder
4. Conclusions
Author Contributions
Funding
Institutional Review Board Statement
Informed Consent Statement
Data Availability Statement
Acknowledgments
Conflicts of Interest
References
- Miyahira, R.F.; De, J.; Lopes, O.; Elisabete, A.; Antunes, C. The Use of Sprouts to Improve the Nutritional Value of Food Products: A Brief Review. Plant Foods Hum. Nutr. 2021, 76, 143–152. [Google Scholar] [CrossRef] [PubMed]
- Le, L.; Gong, X.; An, Q.; Xiang, D.; Zou, L.; Peng, L.; Wu, X.; Tan, M.; Nie, Z.; Wu, Q.; et al. Quinoa Sprouts as Potential Vegetable Source: Nutrient Composition and Functional Contents of Different Quinoa Sprout Varieties. Food Chem. 2021, 357, 129752. [Google Scholar] [CrossRef]
- Kim, J.E.; Lee, D.U.; Min, S.C. Microbial Decontamination of Red Pepper Powder by Cold Plasma. Food Microbiol. 2014, 38, 128–136. [Google Scholar] [CrossRef]
- Lee, H.S.; Park, H.H.; Min, S.C. Microbial Decontamination of Red Pepper Powder Using Pulsed Light Plasma. J. Food Eng. 2020, 284, 110075. [Google Scholar] [CrossRef]
- Kim, J.E.; Oh, Y.J.; Won, M.Y.; Lee, K.S.; Min, S.C. Microbial Decontamination of Onion Powder Using Microwave-Powered Cold Plasma Treatments. Food Microbiol. 2017, 62, 112–123. [Google Scholar] [CrossRef] [PubMed]
- Laroche, C.; Fine, F.; Gervais, P. Water Activity Affects Heat Resistance of Microorganisms in Food Powders. Int. J. Food Microbiol. 2005, 97, 307–315. [Google Scholar] [CrossRef] [PubMed]
- Rifna, E.J.; Singh, S.K.; Chakraborty, S.; Dwivedi, M. Effect of Thermal and Non-Thermal Techniques for Microbial Safety in Food Powder: Recent Advances. Food Res. Int. 2019, 126, 108654. [Google Scholar] [CrossRef] [PubMed]
- Pérez-Reyes, M.E.; Tang, J.; Barbosa-Cánovas, G.V.; Zhu, M.J. Influence of Water Activity and Dry-Heating Time on Egg White Powders Quality. LWT 2021, 140, 110717. [Google Scholar] [CrossRef]
- Ma, Y.; Xu, D.; Sang, S.; Jin, Y.; Xu, X.; Cui, B. Effect of Superheated Steam Treatment on the Structural and Digestible Properties of Wheat Flour. Food Hydrocoll. 2021, 112, 106362. [Google Scholar] [CrossRef]
- Jena, S.; Das, H. Modelling for Vacuum Drying Characteristics of Coconut Presscake. J. Food Eng. 2007, 79, 92–99. [Google Scholar] [CrossRef]
- Arévalo-Pinedo, A.; Xidieh Murr, F.E. Influence of Pre-Treatments on the Drying Kinetics during Vacuum Drying of Carrot and Pumpkin. J. Food Eng. 2007, 80, 152–156. [Google Scholar] [CrossRef]
- Swasdisevi, T.; Devahastin, S.; Sa-Adchom, P.; Soponronnarit, S. Mathematical Modeling of Combined Far-Infrared and Vacuum Drying Banana Slice. J. Food Eng. 2009, 92, 100–106. [Google Scholar] [CrossRef]
- Xiao, H.W.; Yao, X.D.; Lin, H.; Yang, W.X.; Meng, J.S.; Gao, Z.J. Effect of SSB (Superheated Steam Blanching) Time and Drying Temperature on Hot Air Impingement Drying Kinetics and Quality Attributes of Yam Slices. J. Food Process Eng. 2012, 35, 370–390. [Google Scholar] [CrossRef]
- Newkirk, J.J.; Wu, J.; Acuff, J.C.; Caver, C.B.; Mallikarjunan, K.; Wiersema, B.D.; Williams, R.C.; Ponder, M.A. Inactivation of Salmonella Enterica and Surrogate Enterococcus Faecium on Whole Black Peppercorns and Cumin Seeds Using Vacuum Steam Pasteurization. Front. Sustain. Food Syst. 2018, 2, 48. [Google Scholar] [CrossRef]
- Acuff, J.C.; Wu, J.; Marik, C.; Waterman, K.; Gallagher, D.; Huang, H.; Williams, R.C.; Ponder, M.A. Thermal Inactivation of Salmonella, Shiga Toxin-Producing Escherichia Coli, Listeria Monocytogenes, and a Surrogate (Pediococcus Acidilactici) on Raisins, Apricot Halves, and Macadamia Nuts Using Vacuum-Steam Pasteurization. Int. J. Food Microbiol. 2020, 333, 108814. [Google Scholar] [CrossRef] [PubMed]
- Snelling, J.; Malekmohammadi, S.; Bergholz, T.M.; Ohm, J.; Simsek, S. Effect of Vacuum Steam Treatment of Hard Red Spring Wheat on Flour Quality and Reduction of Escherichia Coli O121 and Salmonella Enteritidis PT 30. J. Food Prot. 2020, 83, 836–843. [Google Scholar] [CrossRef] [PubMed]
- Shah, M.; Eklund, B.; Conde Lima, L.G.; Bergholz, T.; Hall, C. Microbial and Chemical Shelf-Life of Vacuum Steam-Pasteurized Whole Flaxseed and Milled Flaxseed. J. Food Sci. 2018, 83, 300–308. [Google Scholar] [CrossRef]
- Vadivambal, R.; Jayas, D.S. Non-Uniform Temperature Distribution during Microwave Heating of Food Materials-A Review. Food Bioprocess Technol. 2010, 3, 161–171. [Google Scholar] [CrossRef]
- Jiao, S.; Deng, Y.; Zhong, Y.; Wang, D.; Zhao, Y. Investigation of Radio Frequency Heating Uniformity of Wheat Kernels by Using the Developed Computer Simulation Model. Food Res. Int. 2015, 71, 41–49. [Google Scholar] [CrossRef]
- Eliasson, L.; Isaksson, S.; Lövenklev, M.; Ahrné, L. A Comparative Study of Infrared and Microwave Heating for Microbial Decontamination of Paprika Powder. Front. Microbiol. 2015, 6, 1071. [Google Scholar] [CrossRef]
- Topcam, H.; Karatas, O.; Erol, B.; Erdogdu, F. Effect of Rotation on Temperature Uniformity of Microwave Processed Low-High Viscosity Liquids: A Computational Study with Experimental Validation. Innov. Food Sci. Emerg. Technol. 2020, 60, 102306. [Google Scholar] [CrossRef]
- Cuq, B.; Berthiaux, H.; Gatumel, C. Powder Mixing in the Production of Food Powders. In Handbook of Food Powders: Processes and Properties; Elsevier Inc.: Amsterdam, The Netherlands, 2013; pp. 200–229. ISBN 9780857098672. [Google Scholar]
- Sebastian Escotet-Espinoza, M.; Foster, C.J.; Ierapetritou, M. Discrete Element Modeling (DEM) for Mixing of Cohesive Solids in Rotating Cylinders. Powder Technol. 2018, 335, 124–136. [Google Scholar] [CrossRef]
- Pantaleev, S.; Yordanova, S.; Janda, A.; Marigo, M.; Ooi, J.Y. An Experimentally Validated DEM Study of Powder Mixing in a Paddle Blade Mixer. Powder Technol. 2017, 311, 287–302. [Google Scholar] [CrossRef]
- Horabik, J.; Molenda, M. Parameters and Contact Models for DEM Simulations of Agricultural Granular Materials: A Review. Biosyst. Eng. 2016, 147, 206–225. [Google Scholar] [CrossRef]
- Bharadwaj, R.; Ketterhagen, W.R.; Hancock, B.C. Discrete Element Simulation Study of a Freeman Powder Rheometer. Chem. Eng. Sci. 2010, 65, 5747–5756. [Google Scholar] [CrossRef]
- Marigo, M.; Cairns, D.L.; Davies, M.; Ingram, A.; Stitt, E.H. A Numerical Comparison of Mixing Efficiencies of Solids in a Cylindrical Vessel Subject to a Range of Motions. Powder Technol. 2012, 217, 540–547. [Google Scholar] [CrossRef]
- Syed, Z.; Tekeste, M.; White, D. A Coupled Sliding and Rolling Friction Model for DEM Calibration. J. Terramech. 2017, 72, 9–20. [Google Scholar] [CrossRef]
- Therdthai, N.; Zhou, W. Characterization of Microwave Vacuum Drying and Hot Air Drying of Mint Leaves (Mentha Cordifolia Opiz Ex Fresen). J. Food Eng. 2009, 91, 482–489. [Google Scholar] [CrossRef]
- Guo, X.N.; Wu, S.H.; Zhu, K.X. Effect of Superheated Steam Treatment on Quality Characteristics of Whole Wheat Flour and Storage Stability of Semi-Dried Whole Wheat Noodle. Food Chem. 2020, 322, 126738. [Google Scholar] [CrossRef] [PubMed]
- Mori, Y.; Sakai, M. Advanced DEM Simulation on Powder Mixing for Ellipsoidal Particles in an Industrial Mixer. Chem. Eng. J. 2022, 429, 132415. [Google Scholar] [CrossRef]
- Basinskas, G.; Sakai, M. Numerical Study of the Mixing Efficiency of a Ribbon Mixer Using the Discrete Element Method. Powder Technol. 2016, 287, 380–394. [Google Scholar] [CrossRef]
















| Parameters | Value |
|---|---|
| Total particle number | ≤100,000 |
| Mixer operating speed (rpm) | 100 |
| Particle diameter (mm) | 0.1 |
| Particle density (kg/m3) | 1500 |
| Particle shear modulus (Pa) | 107 |
| Particle Poisson’s ratio | 0.25 |
| Geometry density (kg/m3) | 4000 |
| Geometry shear modulus (Pa) | 1010 |
| Geometry Poisson’s ratio | 0.25 |
| Particle-particle static friction coefficient | 0.32 |
| Particle-particle rolling friction coefficient | 0.15 |
| Particle-particle restitution coefficient | 0.75 |
| Particle-Geometry static friction coefficient | 0.45 |
| Particle-Geometry rolling friction coefficient | 0.15 |
| Particle-Geometry restitution coefficient | 0.5 |
| Control (Initial Values) | L* | a* | b* | ΔE | ||
|---|---|---|---|---|---|---|
| Time | Pressure | Temperature | 57.61 ± 2.57 abc | −3.78 ± 0.62 abc | 26.39 ± 2.68 ab | - |
| 15 min | 1 bar | 60 °C | 58.46 ± 3.29 ab | −3.46 ± 0.29 bc | 25.59 ± 1.92 ab | 3.49 ± 1.31 ab |
| 80 °C | 57.85 ± 3.46 ab | −3.29 ± 0.73 cd | 24.45 ± 1.98 a | 4.07 ± 1.16 b | ||
| 100 °C | 52.85 ± 0.73 de | −2.80 ± 0.42 d | 26.2 ± 0.60 ab | 4.11 ± 0.69 b | ||
| 0.2 bar | 60 °C | 58.90 ± 1.68 ab | −3.60 ± 0.86 a | 25.93 ± 2.91 ab | 3.29 ± 0.79 ab | |
| 80 °C | 54.70 ± 1.05 cd | −3.24 ± 0.22 cd | 26.88 ± 3.58 ab | 4.44 ± 1.05 b | ||
| 100 °C | 53.30 ± 2.01 de | −3.76 ± 0.50 abc | 30.65 ± 0.76 c | 5.03 ± 2.69 c | ||
| 30 min | 1 bar | 60 °C | 58.45 ± 2.32 ab | −3.95 ± 0.26 ab | 26.59 ± 1.2 ab | 2.48 ± 0.68 a |
| 80 °C | 59.61 ± 1.55 a | −3.82 ± 0.39 abc | 25.46 ± 1.58 ab | 2.50 ± 1.83 a | ||
| 100 °C | 51.39 ± 1.72 f | −1.81 ± 0.17 e | 26.51 ± 0.22 ab | 6.74 ± 1.44 e | ||
| 0.2 bar | 60 °C | 57.15 ± 1.40 abc | −3.27 ± 0.59 cd | 25.6 ± 2.60 ab | 2.90 ± 0.51 a | |
| 80 °C | 55.15 ± 2.16 bcd | −3.18 ± 0.28 cd | 27.25 ± 3.53 ab | 2.45 ± 0.39 a | ||
| 100 °C | 52.31 ± 1.20 ef | −3.75 ±0.57 abc | 31.01 ± 0.54 c | 4.93 ± 2.86 c | ||
| 60 min | 1 bar | 60 °C | 59.78 ± 2.01 a | −4.14 ± 0.38 a | 27.18 ± 0.65 ab | 2.82 ± 1.28 a |
| 80 °C | 56.65 ± 1.34 bcd | −3.40 ± 0.68 bc | 25.23 ± 0.75 a | 2.09 ± 0.68 a | ||
| 100 °C | 52.88 ± 2.41 de | −1.67 ± 0.36 e | 26.88 ± 0.57 ab | 5.97 ± 1.29 d | ||
| 0.2 bar | 60 °C | 57.26 ± 0.33 abc | −3.60 ± 0.77 abc | 25.72 ± 2.93 ab | 2.80 ± 0.79 a | |
| 80 °C | 59.05 ± 3.29 ab | −3.52 ± 0.32 abc | 28.09 ± 3.75 b | 3.44 ± 1.48 ab | ||
| 100 °C | 52.9 ± 1.03 de | −3.48 ± 0.56 abc | 31.13 ± 0.97 c | 5.08 ± 2.45 c | ||
| Control (Initial Values) | L* | a* | b* | ΔE | |
|---|---|---|---|---|---|
| Sample | Steam (mL) | 50.93 ± 3.26 a | −7.51 ± 1.75 a | 32.66 ± 2.16 a | - |
| (a) Inoculated | 0 | 47.95 ± 0.03 a | −5.94 ± 0.02 b | 32.47 ± 0.01 a | 3.37 a |
| 60 | 39.79 ± 2.03 c | −3.63 ± 0.89 c | 31.13 ± 1.39 a | 11.89 d | |
| (b) Un-inoculated | 0 | 50.41 ± 2.71 a | −8.12 ± 1.21 a | 37.53 ± 0.53 b | 4.94 b |
| 60 | 43.87 ±1.36 b | −2.48 ± 0.27 d | 37.27 ± 1.21 b | 9.62 c | |
| 120 | 44.28 ± 1.67 b | −2.16 ± 0.06 d | 36.03 ± 0.48 b | 9.17 c | |
Publisher’s Note: MDPI stays neutral with regard to jurisdictional claims in published maps and institutional affiliations. |
© 2022 by the authors. Licensee MDPI, Basel, Switzerland. This article is an open access article distributed under the terms and conditions of the Creative Commons Attribution (CC BY) license (https://creativecommons.org/licenses/by/4.0/).
Share and Cite
Hwang, S.H.; Joe, S.Y.; So, J.-H.; Lee, S.H. Development of Vacuum-Steam Combination Heating System for Pasteurization of Sprout Barley Powder. Foods 2022, 11, 3425. https://doi.org/10.3390/foods11213425
Hwang SH, Joe SY, So J-H, Lee SH. Development of Vacuum-Steam Combination Heating System for Pasteurization of Sprout Barley Powder. Foods. 2022; 11(21):3425. https://doi.org/10.3390/foods11213425
Chicago/Turabian StyleHwang, Seon Ho, Sung Yong Joe, Jun-Hwi So, and Seung Hyun Lee. 2022. "Development of Vacuum-Steam Combination Heating System for Pasteurization of Sprout Barley Powder" Foods 11, no. 21: 3425. https://doi.org/10.3390/foods11213425
APA StyleHwang, S. H., Joe, S. Y., So, J.-H., & Lee, S. H. (2022). Development of Vacuum-Steam Combination Heating System for Pasteurization of Sprout Barley Powder. Foods, 11(21), 3425. https://doi.org/10.3390/foods11213425

