High Concentrate Flavonoids Extract from Citrus Pomace Using Enzymatic and Deep Eutectic Solvents Extraction
Abstract
1. Introduction
2. Materials and Methods
2.1. Reagents and Samples
2.2. Determination of Chemical Composition of Pomace
2.3. DES Preparation
2.4. Extraction Procedures
2.5. Extracts Characterization
2.5.1. Total Phenolic Compounds (TPC)
2.5.2. Determination of Main Phenolic Compounds by High-Performance Liquid Chromatography (HPLC)
2.5.3. DPPH and FRAP Radical-Scavenging Activity
2.6. Statistical Analysis
3. Results and Discussion
3.1. Chemical Composition
3.2. Results Obtained for Non-Enzyme Assisted Phenolic Extraction in Deep Eutectic Solvents-Group 1
3.2.1. Total Phenolic Compounds (TPC)
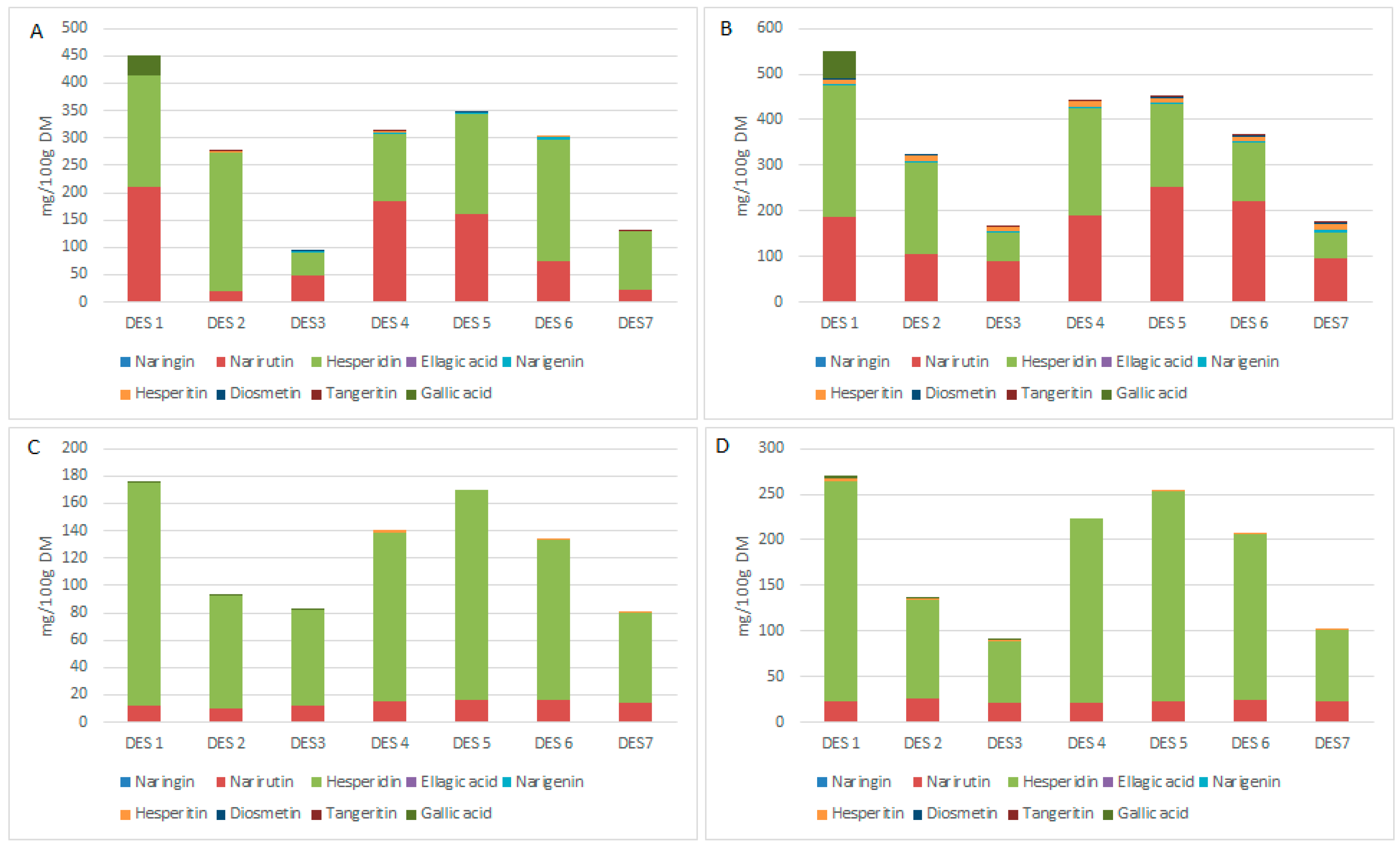
3.2.2. Phenolic Compounds Profile
3.2.3. Antioxidant Capacity
3.3. Results for Phenolic Enzymatic Assisted Extraction in Deep Eutectic Solvents-Group 2
3.3.1. Total Phenolic Compounds (TPC)
3.3.2. Individual Phenolic Compounds–Phenolic Compounds Profile
3.3.3. Antioxidant Activity
4. Conclusions
Author Contributions
Funding
Institutional Review Board Statement
Informed Consent Statement
Data Availability Statement
Acknowledgments
Conflicts of Interest
References
- United States Department of Agriculture [USDA]. Citrus: World Markets and Trade. Foreign Agricultural Service, United States July; 2019. Available online: https://www.fas.usda.gov/data/citrus-world-markets-and-trade (accessed on 22 August 2019).
- Mamma, D.; Christakopoulos, P. Biotransformation of Citrus By-Products into Value Added Products. Waste Biomass Valorization 2013, 5, 529–549. [Google Scholar] [CrossRef]
- Barbosa, P.d.P.M.; Ruviaro, A.R.; Macedo, G.A. Comparison of different Brazilian citrus by-products as source of natural antioxidants. Food Sci. Biotechnol. 2018, 4, 1301–1309. [Google Scholar] [CrossRef]
- Bocco, A.; Cuvelier, M.E.; Richard, H.; Berset, C. Antioxidant Activity and Phenolic Composition of Citrus Peel and Seed Extracts. J. Agric. Food Chem. 1998, 46, 2123–2129. [Google Scholar] [CrossRef]
- Li, B.B.; Smith, B.; Hossain, M.M. Extraction of phenolics from citrus peels. Sep. Purif. Technol. 2006, 48, 182–188. [Google Scholar] [CrossRef]
- Peterson, J.J.; Dwyer, J.T.; Beecher, G.R.; Bhagwat, S.A.; Gebhardt, S.E.; Haytowitz, D.B.; Holden, J.M. Flavanones in oranges, tangerines (mandarins), tangors, and tangelos: A compilation and review of the data from the analytical literature. J. Food Compos. Anal. 2006, 19, 66–73. [Google Scholar] [CrossRef]
- Escobedo-Avellaneda, Z.; Gutiérrez-Uribe, J.; Valdez-Fragoso, A.; Torres, J.A.; Welti-Chanes, J. Phytochemicals and antioxidant activity of juice, flavedo, albedo and comminuted orange. J. Funct. Foods 2014, 6, 470–481. [Google Scholar] [CrossRef]
- Azmir, J.; Zaidul, I.S.M.; Rahman, M.M.; Sharif, K.M.; Mohamed, A.; Sahena, F.; Omar, A.K.M. Techniques for extraction of bioactive compounds from plant materials: A review. J. Food Eng. 2013, 117, 426–436. [Google Scholar] [CrossRef]
- Abbott, A.P.; Boothby, D.; Capper, G.; Davies, D.L.; Rasheed, R.K. Deep Eutectic Solvents Formed between Choline Chloride and Carboxylic Acids: Versatile Alternatives to Ionic Liquids. J. Am. Chem. Soc. 2004, 126, 9142–9147. [Google Scholar] [CrossRef]
- Radošević, K.; Ćurko, N.; Gaurina Srček, V.; Cvjetko Bubalo, M.; Tomašević, M.; Kovačević Ganić, K.; Radojčić Redovniković, I. Natural deep eutectic solvents as beneficial extractants for enhancement of plant extracts bioactivity. LWT 2016, 73, 45–51. [Google Scholar] [CrossRef]
- Tang, B.; Row, K.H. Recent developments in deep eutectic solvents in chemical sciences. Mon. Chem.-Chem. Mon. 2013, 144, 1427–1454. [Google Scholar] [CrossRef]
- Bonacci, S.; Di Gioia, M.L.; Costanzo, P.; Maiuolo, L.; Tallarico, S.; Nardi, M. Natural Deep Eutectic Solvent as Extraction Media for the Main Phenolic Compounds from Olive Oil Processing Wastes. Antioxidants 2020, 9, 513. [Google Scholar] [CrossRef] [PubMed]
- Zhang, H.; Tang, B.; Row, K. Extraction of catechin compounds from green tea with a new green solvent. Chem. Res. Chin. Univ. 2014, 30, 37–41. [Google Scholar] [CrossRef]
- Qi, X.L.; Peng, X.; Huang, Y.Y.; Li, L.; Wei, Z.F.; Zu, Y.G.; Fu, Y.J. Green and efficient extraction of bioactive flavonoids from Equisetum palustre L. by deep eutectic solvents-based negative pressure cavitation method combined with macroporous resin enrichment. Ind. Crops Prod. 2015, 70, 142–148. [Google Scholar] [CrossRef]
- Barrales, F.M.; Silveira, P.; Barbosa, P.P.M.; Ruviaro, A.R.; Paulino, B.N.; Pastore, G.M.; Macedo, G.A.; Martinez, J. Recovery of phenolic compounds from citrus by-products using pressurized liquids-an application to orange peel. Food Bioprod. Process. 2018, 112, 9–21. [Google Scholar] [CrossRef]
- Espinosa-Pardo, F.A.; Nakajima, V.M.; Macedo, G.A.; Macedo, J.A.; Martínez, J. Extraction of phenolic compounds from dry and fermented orange pomace using supercritical CO2 and cosolvents. Food Bioprod. Process. 2017, 101, 1–10. [Google Scholar] [CrossRef]
- Valdo Madeira, J.; Rosas Ferreira, L.; Juliana, A.M.; Gabriela, A.M. Efficient tannase production using Brazilian citrus residues and potential application for orange juice valorization. Biocatal. Agric. Biotechnol. 2015, 4, 91–97. [Google Scholar] [CrossRef]
- Ferreira, L.R.; Macedo, J.A.; Ribeiro, M.L.; Macedo, G.A. Improving the chemopreventive potential of orange juice by enzymatic biotransformation. Food Res. Int. 2013, 51, 526–535. [Google Scholar] [CrossRef]
- Association of Official Analytical Chemists (AOAC). Official Methods of Analysis of the AOAC International, 16th ed.; Association of Official Analytical Chemists (AOAC): Arlington, TX, USA, 1995. [Google Scholar]
- Bligh, E.G.; Dyer, W.J. A rapid method of total lipid extraction and purification. Can. J. Physiol. Pharmacol. 1959, 37, 911–917. [Google Scholar]
- Singleton, V.L.; Orthofer, R.; Lamuela-Raventós, R.M. Analysis of total phenols and other oxidation substrates and antioxidants by means of folin-ciocalteu reagent. Methods Enzymol. 1999, 299, 152–178. [Google Scholar]
- Madeira, J.V.; Macedo, G.A. Simultaneous extraction and biotransformation process to obtain high bioactivity phenolic compounds from brazilian citrus residues. Biotechnol. Prog. 2015, 31, 1273–1279. [Google Scholar] [CrossRef]
- Macedo, J.A.; Battestin, V.; Ribeiro, M.L.; Macedo, G.A. Increasing the antioxidant power of tea extracts by biotransformation of polyphenols. Food Chem. 2011, 126, 491–497. [Google Scholar] [CrossRef]
- Benzie, I.F.F.; Strain, J.J. The Ferric Reducing Ability of Plasma (FRAP) as a Measure of “Antioxidant Power”: The FRAP Assay. Anal. Biochem. 1996, 239, 70–76. [Google Scholar] [CrossRef]
- Aravantinos-Zafiris, G.; Oreopoulou, V.; Tzia, C.; Thomopoulos, C.D. Fibre Fraction from Orange Peel Residues after Pectin Extraction. LWT-Food Sci. Technol. 1994, 27, 468–471. [Google Scholar] [CrossRef]
- Alonso-Salces, R.; Korta, E.; Barranco, A.; Berrueta, L.; Gallo, B.; Vicente, F. Pressurized liquid extraction for the determination of polyphenols in apple. J. Chromatogr. 2001, 933, 37–43. [Google Scholar] [CrossRef]
- Yapo, B.M. Lemon juice improves the extractability and quality characteristics of pectin from yellow passion fruit by-product as compared with commercial citric acid extractant. Bioresour. Technol. 2009, 100, 3147–3151. [Google Scholar] [CrossRef] [PubMed]
- Chanioti, S.; Siamandoura, P.; Tzia, C. Evaluation of Extracts Prepared from Olive Oil ByProducts Using Microwave-Assisted Enzymatic Extraction: Effect of Encapsulation on the Stability of Final Products. Waste Biomass Valorization 2016, 7, 831–842. [Google Scholar] [CrossRef]
- Oliveira, J.A.R.; Komesu, A.; Martins, L.H.S.; Rogez, H.; Pena, R.S. Enzyme-assisted extraction of phenolic compounds from murucizeiro leaves (Byrsonima crassifolia). Sci. Plena 2020, 16, 1–9. [Google Scholar] [CrossRef]
- García, A.; Rodríguez-Juan, E.; Rodríguez-Gutiérrez, G.; Rios, J.J.; Fernández-Bolaños, J. Extraction of phenolic compounds from virgin olive oil by deep eutectic solvents (DESs). Food Chem. 2016, 197, 554–561. [Google Scholar] [CrossRef] [PubMed]
- Vieira, V.; Prieto, M.A.; Barros, L.; Coutinho, J.A.P.; Ferreira, I.C.F.R.; Ferreira, O. Enhanced extraction of phenolic compounds using choline chloride based deep eutectic solvents from Juglans regia L. Ind. Crops Prod. 2018, 115, 261–271. [Google Scholar] [CrossRef]
- Ozturk, B.; Parkinson, C.; Gonzalez-Miquel, M. Extraction of polyphenolic antioxidants from orange peel waste using deep eutectic solvents. Sep. Purif. Technol. 2018, 206, 1–13. [Google Scholar] [CrossRef]
- Altunaya, N.; Elikb, A.; Gürkan., R. Preparation and application of alcohol based deep eutectic solvents for extraction of curcumin in food samples prior to its spectrophotometric determination. Food Chem. 2020, 310, 125–933. [Google Scholar] [CrossRef] [PubMed]
- Dai, Y.; Witkamp, G.; Verpoorte, R.; Choi, Y.H. Natural Deep Eutectic Solvents as a New Extraction Media for Phenolic Metabolites in Carthamus tinctorius L. Anal. Chem. 2013, 85, 6272–6278. [Google Scholar] [CrossRef]
- Khan, M.K.; Abert-Vian, M.; Fabiano-Tixier, A.S.; Dangles, O.; Chemat, F. Ultrasound-assisted extraction of polyphenols (flavanone glycosides) from orange (Citrus sinensis L.) peel. Food Chem. 2010, 119, 851–858. [Google Scholar] [CrossRef]
- Li, N.; Wang, Y.; Xu, K.; Huang, Y.; Wen, Q.; Ding, X. Development of green Betaine-based deep eutectic solvent aqueous two-phase system for the extraction of protein. Talanta 2016, 152, 23–32. [Google Scholar] [CrossRef] [PubMed]
- Zahrina, I.; Nasikin, M.; Krisanti, E.; Mulia, K. Deacidification of palm oil using betaine monohydrate-based natural deep eutectic solvents. Food Chem. 2018, 240, 490–495. [Google Scholar] [CrossRef] [PubMed]
- Altamash, T.; Nasser, M.S.; Elhamarnah, Y.; Magzoub, M.; Ullah, R.; Hazim, Q.; Aparicio, S.; Atilhan, M. Gas solubility and rheological behavior study of betaine and alanine based natural deep eutectic solvents (NADES). J. Mol. Liq. 2018, 256, 286–295. [Google Scholar] [CrossRef]
- Krisanti, E.A.; Saputra, K.; Arif, M.M.; Mulia, K. Formulation and characterization of betaine-based deep eutectic solvent for extraction phenolic compound from spent coffee grounds. In Proceedings of the 5th International Symposium on Applied Chemistry, Tangerang, Indonesia, 23–24 October 2019. [Google Scholar]
- Fanali, C.; Posta, S.D.; Dugo, L.; Gentili, A.; Mondello, L.; De Gara, L. Choline-chloride and betaine-based deep eutectic solvents for green extraction of nutraceutical compounds from spent coffee ground. J. Pharm. Biomed. Anal. 2020, 20, 113–421. [Google Scholar] [CrossRef]
- Gutiérrez, A.; Alcalde, R.; Atilhan, M.; Aparicio, S. Insights on Betaine + Lactic Acid Deep Eutectic Solvent. Ind. Eng. Chem. Res. 2020, 59, 11880–11892. [Google Scholar] [CrossRef]
- Yazici, S.O.; Ozmen, I. Ultrasound assisted extraction of phenolic compounds from Capparis Ovata var canescens fruit using deep eutectic solvents. J. Process. Preserv. 2021, 46, 162–172. [Google Scholar]
- Park, G.; Park, J.Y.; Chang, Y.H. Changes in flavonoid aglycone contents and antioxidant activities of citrus peel depending on enzyme treatment times. J. Korean Soc. Food Sci. Nutr. 2019, 48, 542–550. [Google Scholar] [CrossRef]
- Moore, J.; Yu, L. Methods for Antioxidant Capacity Estimation of Wheat and Wheat-Based Food Products. In Wheat Antioxidants; Yu, L., Ed.; John Wiley & Sons: Hoboken, NJ, USA, 2008; pp. 118–166. [Google Scholar]





| Abbreviation | Components | Mol Ratio | pH | |
|---|---|---|---|---|
| Component 1 | Component 2 | |||
| DES 1 | Betaine | Lactic acid | 1:1 | 3.5 | 
| DES 2 | Choline chloride | Citric acid | 2:1 | 3.8 | 
| DES 3 | Choline chloride | Lactic acid | 1:2 | 3.6 | 
| DES 4 | Choline chloride | Maltose | 1:2 | 5.8 | 
| DES 5 | Choline chloride | Glycerol | 1:2 | 5.9 | 
| DES 6 | Betaine | Glycerol | 1:2 | 5.7 | 
| DES 7 | Choline chloride | Oxalic acid | 1:2 | 3.8 | 
| Component (g/100) | Citrus Pomace with Pectin (CPWP) | Citrus Pomace No Pectin (CPNP) | 
|---|---|---|
| Moisture | 7.02 ± 0.09 a | 7.51 ± 0.08 b | 
| Ashes | 3.12 ± 0.02 a | 0.98 ± 0.05 b | 
| Proteins | 7.11 ± 0.10 a | 6.65 ± 0.30 b | 
| Lipids | 3.98 ± 0.20 a | 4.35 ± 0.20 a | 
| Carbohydrates | 78.77 ± 0.08 a | 80.51 ± 0.07 a | 
| Total | 100 | 100 | 
| DES | Total Phenolic Compounds (mg/100 g DM)–CPWP | Total Phenolic Compounds (mg/100 g DM)–CPNP | ||
|---|---|---|---|---|
| Extraction at 40 °C | Extraction at 60 °C | Extraction at 40 °C | Extraction at 60 °C | |
| Water:ethanol (1:1) | 381.34 ± 9.26 g | 545.96 ± 4.66 f | 159.87 ± 3.40 h | 259.45 ± 3.45 h | 
| DES 1 | 463.34 ± 7.88 b | 559.2 ± 2.79 a | 266.91 ± 4.14 a | 273.30 ± 4.52 a | 
| DES 2 | 333.44 ± 5.47 d | 335.32 ± 9.36 d | 99.32 ± 0.72 fg | 143.92 ± 5.96 e | 
| DES 3 | 99.50 ± 7.24 f | 172.64 ± 6.52 e | 86.39 ± 1.40 g | 101.74 ± 6.86 fg | 
| DES 4 | 395.23 ± 9.65 c | 470.75 ± 7.24 b | 202.98 ± 3.88 cd | 226.40 ± 5.13 b | 
| DES 5 | 402.89 ± 1.71 c | 465.84 ± 6.17 b | 219.73 ± 0.79 bc | 271.26 ± 3.62 a | 
| DES 6 | 388.15 ± 9.86 c | 405.71 ± 2.96 c | 199.78 ± 0.49 d | 211.04 ± 9.48 bcd | 
| DES 7 | 167.65 ± 2.54 e | 181.97 ± 5.13 e | 87.66 ± 2.09 g | 110.31 ± 5.81 f | 
| DES or Extractive Mixture | FRAP (µmol TE/ g DM) | DPPH (µmol TE/ g DM) | ||
|---|---|---|---|---|
| Extraction at 40 °C | Extraction at 60 °C | Extraction at 40 °C | Extraction at 60 °C | |
| Ethanol:water (1:1) | 52,113.15 ± 298.33 c | 53,985.00 ± 643.13 bc | 8710.03 ± 122.21 b | 9655.04 ± 174.45 a | 
| DES 1 | 55,770.8 ± 500.99 b | 59,100.0 ± 2243.13 a | 8845.07 ± 143.46 b | 9661.12 ± 168.58 ab | 
| DES 2 | 38,129.2 ± 73.06 d | 36,662.5 ± 1110.27 de | 2485.10 ± 466.87 f | 2456.87 ± 183.81 f | 
| DES 3 | 33,541.7 ± 187.50 fg | 31,930.0 ± 325.36 g | 2061.70 ± 58.65 f | 2256.49 ± 212.20 f | 
| DES 4 | 38,804.2 ± 338.19 d | 38,904.2 ± 171.85 d | 4204.80 ± 159.80 e | 8164.04 ± 191.58 bc | 
| DES 5 | 52,029.2 ± 318.93 c | 53,833.3 ± 732.33 bc | 7108.45 ± 157.85 d | 8499.13 ± 234.44 b | 
| DES 6 | 38,295.8 ± 1789.04 d | 37,216.7 ± 752.91 de | 4181.43 ± 159.69 e | 7411.06 ± 292.27 cd | 
| DES 7 | 35,154.2 ± 279.23 ef | 34,537.5 ± 473.74 ef | 1253.26 ± 126.75 g | 2443.92 ± 156.60 f | 
| DES or Extractive Mixture | FRAP (µmol TE/ g DM) | DPPH (µmol TE/ g DM) | ||
|---|---|---|---|---|
| Extraction at 40 °C | Extraction at 60 °C | Extraction at 40 °C | Extraction at 60 °C | |
| Ethanol:water (1:1) | 19,103 ± 145.12 abc | 22,912.05 ± 774,90 a | 2301.01 ± 202.30 d | 2943.01 ± 154.80 b | 
| DES 1 | 20,773.42 ± 231.27 ab | 23,229.2 ± 774.90 a | 2215.20 ± 162.30 d | 3131.40 ± 98.80 b | 
| DES2 | 17,808.94 ± 325.81 de | 22,062.5 ± 493.76 ab | 1133.60 ± 33.30 e | 2118.10 ± 109.40 d | 
| DES 3 | 15,696.95 ± 391.34 f | 18,370.8 ± 170.63 de | 842.40 ± 31.10 fg | 1164.60 ± 148.20 f | 
| DES 4 | 19,183.09 ± 510.92 cd | 22,520.8 ± 202.07 ab | 1334.10 ± 56.80 ef | 2603.40 ± 36.50 c | 
| DES 5 | 19,494.43 ± 268.95 bc | 23,100 ± 3651.93 a | 1371.2 ± 152.60 ef | 2756.0 ± 200.00 a | 
| DES 6 | 18,335.67 ± 243,91 de | 22,333.3 ± 966.42 ab | 1215.90 ± 35.10 ef | 2600.80 ± 111.90 c | 
| DES 7 | 16,693.02 ± 338.89 ef | 20,900 ± 817.04 abc | 1066.70 ± 58.00 f | 2082 ± 57.20 d | 
| DES or Extractive Mixture | Total Phenolic Compounds (mg/100 g DM) | |
|---|---|---|
| E1S | E2S | |
| Water:ethanol (1:1) | 545.96 ± 26.80 b | - | 
| DES 1 | 604.53 ± 14.13 a | 615.63 ± 28.01 a | 
| DES 2 | 270.95 ± 13.08 fg | 323.14 ± 20.60 e | 
| DES 3 | 218.21 ± 11.64 h | 234.69 ± 14.36 gh | 
| DES 4 | 460.60 ± 14.86 d | 545.20 ± 28.20 bc | 
| DES 5 | 560.58 ± 26.80 b | 544.30 ± 17.61 b | 
| DES 6 | 348.41 ± 11.88 e | 500.16 ± 10.60 cd | 
| DES 7 | 96.42 ± 5.03 i | 258.19 ± 9.37 ef | 
| Phenolic Compounds (mg/100 g DM) | Water:Ethanol (1:1) | DES1 | DES2 | DES3 | DES4 | DES5 | DES6 | DES7 | 
|---|---|---|---|---|---|---|---|---|
| Naringin | nd | 5.76 ± 0.73 a | nd | 3.36 ± 0.04 b | 5.30 ± 0.27 a | nd | 3.25 ± 0.01 b | nd | 
| Narirutin | 127.91 ± 23.42 a | 203.79 ± 12.46 b | 32.45 ± 1.89 bc | 47.17 ± 0.32 de | 279.93 ± 3.11 c | 188.24 ± 2.4 ef | 153.66 ± 4.60 d | 24.16 ± 1.01 f | 
| Hesperidin | 252.21 ± 8.29 a | 184.33 ± 7.95 b | 45.04 ± 0.57 hi | 48.39 ± 1.08 hi | 83.70 ± 6.40 g | 214.56 ± 9.49 ef | 77.88 ± 0.04 i | 15.80 ± 0.14 j | 
| Ellagic acid | nd | 2.97 ± 1.59 def | 4.47 ± 0.41 d | 7.70 ± 0.07 bc | 2.53 ± 0.23 ef | nd | 9.00 ± 0.81 ab | 4.10 ± 0.18 de | 
| Naringenin | 2.37 ± 0.04 g | nd | 24.31 ± 2.14 cde | 24.64 ± 0.15 cde | 4.89 ± 0.14 g | nd | 22.59 ± 0.08 def | 22.35 ± 0.40 ef | 
| Hesperitin | 1.34 ± 0.04 h | nd | 18.11 ± 0.18 g | 16.50 ± 0.10 g | 1.46 ± 0.04 h | nd | 22.77 ± 0.15 de | 20.31 ± 0.42 ef | 
| Diosmetin | 0.85 ± 0.03 d | nd | 3.39 ± 0.39 b | nd | nd | nd | 3.36 ± 0.04 b | 3.03 ± 0.03 bc | 
| Tangeritin | 0.99 ± 0.07 f | 1.73 ± 0.00 c | 1.14 ± 0.02 e | 1.18 ± 0.02 e | 1.44 ± 0.01 d | 1.78 ± 0.00 bc | 1.24 ± 0.00 e | 1.14 ± 0.02 e | 
| Gallic acid | 34.60 ± 0.42 a | 4.98 ± 0.23 c | nd | nd | nd | 6.02 ± 0.13 b | nd | nd | 
| Phenolic Compounds (mg/100 g DM) | DES1 | DES2 | DES3 | DES4 | DES5 | DES6 | DES7 | 
|---|---|---|---|---|---|---|---|
| Naringin | nd | nd | 2.77 ± 0.06 b | nd | nd | nd | nd | 
| Narirutin | 33.61 ± 2.19 def | 21.58 ± 0.16 f | 29.44 ± 1.47 ef | 48.97 ± 5.90 ef | 26.90 ± 2.43 ef | 25.52 ± 0.18 ef | 15.56 ± 0.13 f | 
| Hesperidin | 269.72 ± 5.35 d | 151.02 ± 0.10 hi | nd | 299.27 ± 6.76 fg | 360.16 ± 9.74 c | 256.24 ± 0.39 h | 142.17 ± 0.91 hi | 
| Ellagic acid | 9.59 ± 0.35 a | 2.24 ± 0.18 f | nd | 2.12 ± 0.36 f | 6.74 ± 0.27 c | 8.33 ± 0.14 abc | 0.31 ± 0.10 g | 
| Naringenin | 82.26 ± 0.80 a | 42.92 ± 0.07 def | 75.56 ± 0.35 cd | 56.17 ± 1.49 bc | 27.35 ± 2.50 bc | 78.71 ± 0.11 b | 70.04 ± 0.14 f | 
| Hesperitin | 83.55 ± 0.41 a | 46.50 ± 0.20 c | 76.81 ± 0.39 c | 24.99 ± 1.39 d | 21.65 ± 0.61 f | 51.57 ± 0.01 b | 23.44 ± 0.18 de | 
| Diosmetin | 6.54 ± 0.16 a | nd | 2.69 ± 0.06 c | nd | 2.66 ± 0.00 c | 2.72 ± 0.02 c | nd | 
| Tangeritin | nd | nd | 2.08 ± 0.08 a | 1.89 ± 0.00 b | nd | 1.62 ± 0.07 c | nd | 
| Gallic acid | 5.82 ± 0.13 b | 6.03 ± 0.22 b | 3.52 ± 0.12 d | 4.66 ± 0.04 c | nd | 3.75 ± 0.17 d | 3.86 ± 0.09 d | 
| DES or Extractive Mixture | FRAP (µmol TE/g DM) | DPPH (µmol TE/g DM) | ||
|---|---|---|---|---|
| E1S | E2S | E1S | E2S | |
| Water:ethanol (1:1) | 6920 ± 721.69 e | - | 16,682.04 ± 2139 a | - | 
| DES 1 | 15,981 ± 877.57 b | 23,200 ± 721.69 a | 7647 ± 237.47 bcde | 10,545 ± 75.47 b | 
| DES 2 | 3061.50 ± 184.46 g | 7566.70 ± 649.52 e | 6076 ± 1423.41 cde | 8700 ± 1977.86 bcde | 
| DES 3 | 987.50 ± 190.94 h | 3132.80 ± 272.09 g | 5058.52 ± 1641.07 e | 6956 ± 1277.05 bcde | 
| DES 4 | 7370.00 ± 288.68 e | 10,725 ± 741.23 d | 6851 ± 781.31 bcde | 9776. ± 822.30 bc | 
| DES 5 | 12,890 ± 697.87 c | 15,302.10 ± 721.25 b | 7547 ± 642.30 bcde | 10,138.10 ± 593.35 b | 
| DES 6 | 5058.30 ± 288.68 f | 7836.70 ± 288.68 e | 6110.73 ± 479.09 cde | 9587.15 ± 393.51 bcd | 
| DES 7 | 2496 ± 232.84 gh | 7210 ± 288.68 e | 5901 ± 931.87 de | 8083.37 ± 2169 bcde | 
| Publisher’s Note: MDPI stays neutral with regard to jurisdictional claims in published maps and institutional affiliations. | 
© 2022 by the authors. Licensee MDPI, Basel, Switzerland. This article is an open access article distributed under the terms and conditions of the Creative Commons Attribution (CC BY) license (https://creativecommons.org/licenses/by/4.0/).
Share and Cite
de Oliveira, J.A.R.; de Paula Menezes Barbosa, P.; Macêdo, G.A. High Concentrate Flavonoids Extract from Citrus Pomace Using Enzymatic and Deep Eutectic Solvents Extraction. Foods 2022, 11, 3205. https://doi.org/10.3390/foods11203205
de Oliveira JAR, de Paula Menezes Barbosa P, Macêdo GA. High Concentrate Flavonoids Extract from Citrus Pomace Using Enzymatic and Deep Eutectic Solvents Extraction. Foods. 2022; 11(20):3205. https://doi.org/10.3390/foods11203205
Chicago/Turabian Stylede Oliveira, Johnatt Allan Rocha, Paula de Paula Menezes Barbosa, and Gabriela Alves Macêdo. 2022. "High Concentrate Flavonoids Extract from Citrus Pomace Using Enzymatic and Deep Eutectic Solvents Extraction" Foods 11, no. 20: 3205. https://doi.org/10.3390/foods11203205
APA Stylede Oliveira, J. A. R., de Paula Menezes Barbosa, P., & Macêdo, G. A. (2022). High Concentrate Flavonoids Extract from Citrus Pomace Using Enzymatic and Deep Eutectic Solvents Extraction. Foods, 11(20), 3205. https://doi.org/10.3390/foods11203205
 
        


 
                         
       