Composition and Antioxidant Activity of Anthocyanins and Non-Anthocyanin Flavonoids in Blackberry from Different Growth Stages
Abstract
1. Introduction
2. Materials and Methods
2.1. Preparation of Samples
2.2. Separation of Anthocyanins and Non-Anthocyanin Flavonoid Fractions
2.3. UPLC-MS/MS Analysis
2.4. Free-Radical-Scavenging of 2,2’-Azino-bis(3-ethylbenzothiazoline-6-sulfonic Acid) (ABTS)
2.5. Free Radical Scavenging of 2,2-Diphenyl-1-picrylhydrazyl (DPPH)
2.6. Free-Radical Scavenging of Hydroxyl
2.7. Free-Radical Scavenging of Superoxide Anions
2.8. Reagents
2.9. Statistical Analysis
3. Results and Discussion
3.1. Changes in NAFC during Different Ripening Stages
3.2. Changes in AC during Different Ripening Stages
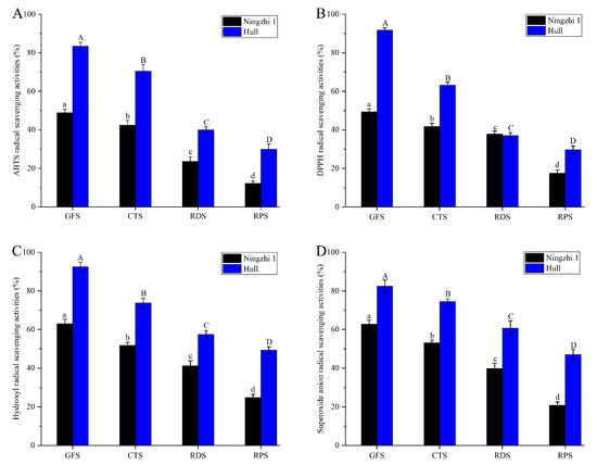
3.3. Changes in Antioxidant Activity of Non-Anthocyanin Flavonoid Fractions during Different Ripening Stages
3.4. Changes in Antioxidant Activity of Anthocyanin during Different Ripening Stages
3.5. Principal Component Analysis
4. Conclusions
Author Contributions
Funding
Data Availability Statement
Conflicts of Interest
References
- Li, W.; Wu, W.; Zhang, C.; Lyu, L.; Wang, X.; Shu, H. The status of industry development and scientific research of blackberry (Rubus spp.) in the world, with a prospect in China. J. Plant Resour. Environ. 2012, 21, 105–115. (In Chinese) [Google Scholar] [CrossRef]
- Fan, L.; Wang, Y.; Xie, P.; Zhang, L.; Li, Y.; Zhou, J. Copigmentation effects of phenolics on color enhancement and stability of blackberry wine residue anthocyanins: Chromaticity, kinetics and structural simulation. Food Chem. 2019, 275, 299–308. [Google Scholar] [CrossRef]
- Zhang, N.; Liu, R.; Dong, X.; Guo, Y.; Yu, Q.; Zhao, L.; Zhang, L.; Wang, C.; Wu, W.; Ji, B.; et al. Deacidification of blackberry juice by resin adsorption and preparation of fruit juice blends. Food Sci. 2020, 41, 281–287. (In Chinese) [Google Scholar] [CrossRef]
- Moser, R.; Raffaelli, R.; Thilmany-McFadden, D. Consumer Preferences for Fruit and Vegetables with Credence-Based Attributes: A Review. Int. Food Agribus. Manag. Rev. 2011, 14, 121–142. [Google Scholar] [CrossRef]
- Baby, B.; Antony, P.; Vijayan, R. Antioxidant and anticancer properties of berries. Crit. Rev. Food Sci. Nutr. 2018, 58, 2491–2507. [Google Scholar] [CrossRef]
- Kiss, A.K.; Piwowarski, J.P. Ellagitannins, Gallotannins and their Metabolites—The Contribution to the Anti-Inflammatory Effect of Food Products and Medicinal Plants. Curr. Med. Chem. 2018, 25, 4946–4967. [Google Scholar] [CrossRef] [PubMed]
- Parmenter, B.H.; Croft, K.D.; Hodgson, J.M.; Dalgaard, F.; Bondonno, C.P.; Lewis, J.R.; Cassidy, A.; Scalbert, A.; Bondonno, N.P. An overview and update on the epidemiology of flavonoid intake and cardiovascular disease risk. Food Funct. 2020, 11, 6777–6806. [Google Scholar] [CrossRef] [PubMed]
- Huang, X.; Wu, Y.; Zhang, S.; Yang, H.; Wu, W.; Lyu, L.; Li, W. Variation in Bioactive Compounds and Antioxidant Activity of Rubus Fruits at Different Developmental Stages. Foods 2022, 11, 1169. [Google Scholar] [CrossRef] [PubMed]
- Cefali, L.C.; Franco, J.G.; Nicolini, G.F.; Ataide, J.A.; Mazzola, P.G. In vitro antioxidant activity and solar protection factor of blackberry and raspberry extracts in topical formulation. J. Cosmet. Dermatol. 2019, 18, 539–544. [Google Scholar] [CrossRef] [PubMed]
- Gong, E.S.; Li, B.; Li, B.; Podio, N.S.; Chen, H.; Li, T.; Sun, X.; Gao, N.; Wu, W.; Yang, T.; et al. Identification of key phenolic compounds responsible for antioxidant activities of free and bound fractions of blackberry varieties’ extracts by boosted regression trees. J. Sci. Food Agric. 2022, 102, 984–994. [Google Scholar] [CrossRef] [PubMed]
- Veldea, F.V.D.; Gracec, M.H.; Espositoc, D.; Pirovania, M.É.; Lila, M.A. Quantitative comparison of phytochemical profile, antioxidant, and anti-inflammatory properties of blackberry fruits adapted to Argentina. J. Food Compos. Anal. 2016, 47, 82–91. [Google Scholar] [CrossRef]
- Zhang, C.; Xiong, Z.; Yang, H.; Wu, W. Changes in pericarp morphology, physiology and cell wall composition account for flesh firmness during the ripening of blackberry (Rubus spp.) fruit. Sci. Hortic. 2019, 250, 59–68. [Google Scholar] [CrossRef]
- Gunderman, A.L.; Collins, J.; Myer, A.; Threlfall, R.; Chen, Y. Tendon-driven soft robotic gripper for berry harvesting. arXiv 2021, arXiv:2103.04270. [Google Scholar]
- Sampaio, C.I.; Sousa, L.F.; Dias, A.M. Separation of Anthocyaninic and Nonanthocyaninic Flavonoids by Liquid–Liquid Extraction Based on Their Acid–Base Properties: A Green Chemistry Approach. J. Chem. Educ. 2020, 97, 4533–4539. [Google Scholar] [CrossRef]
- Lee, J.H.; Hwang, C.E.; Cho, E.J.; Song, Y.H.; Kim, S.C.; Cho, K.M. Improvement of nutritional components and in vitro antioxidative properties of soy-powder yogurts using Lactobacillus plantarum. J. Food Drug Anal. 2018, 26, 1054–1065. [Google Scholar] [CrossRef]
- Yu, M.; He, S.; Tang, M.; Zhang, Z.; Zhu, Y.; Sun, H. Antioxidant activity and sensory characteristics of Maillard reaction products derived from different peptide fractions of soybean meal hydrolysate. Food Chem. 2018, 243, 249–257. [Google Scholar] [CrossRef] [PubMed]
- Ren, J.; Liao, L.; Shang, S.; Zheng, Y.; Sha, W.; Yuan, E. Purification, Characterization, and Bioactivities of Polyphenols from Platycladus orientalis (L.) Franco. J. Food Sci. 2019, 84, 667–677. [Google Scholar] [CrossRef] [PubMed]
- Yang, S.X.; Liu, B.; Tang, M.; Yang, J.; Kuang, Y.; Zhang, M.z.; Zhang, C.y.; Wang, C.y.; Qin, J.c.; Guo, L.p.; et al. Extraction of flavonoids from Cyclocarya paliurus (Juglandaceae) leaves using ethanol/salt aqueous two-phase system coupled with ultrasonic. J. Food Process. Preserv. 2020, 44, e14469. [Google Scholar] [CrossRef]
- Mikulic-Petkovsek, M.; Koron, D.; Zorenc, Z.; Veberic, R. Do optimally ripe blackberries contain the highest levels of metabolites? Food Chem. 2017, 215, 41–49. [Google Scholar] [CrossRef] [PubMed]
- Yousheng, W.; Zuchen, G.; Fan, Z. Multivariate Analysis of Pro-and Anti-Oxidant Properties of Raspberry and Blackberry from Different Varieties at Different Maturity Stages. Food Sci. 2012, 33, 81–86. CNKI:SUN:SPKX.0.2012-09-017(In Chinese) [Google Scholar]
- Kalt, W.; Lawand, C.; Ryan, D.; Mcdonald, J.E.; Forney, C.F. Oxygen Radical Absorbing Capacity, Anthocyanin and Phenolic Content of Highbush Blueberries (Vaccinium corymbosum L.) during Ripening and Storage. J. Am. Soc. Hort. Sci. 2003, 128, 917–923. [Google Scholar] [CrossRef]
- Sun, Y.; Li, M.; Mitra, S.; Hafiz Muhammad, R.; Debnath, B.; Lu, X.; Jian, H.; Qiu, D. Comparative Phytochemical Profiles and Antioxidant Enzyme Activity Analyses of the Southern Highbush Blueberry (Vaccinium corymbosum) at Different Developmental Stages. Molecules 2018, 23, 2209. [Google Scholar] [CrossRef] [PubMed]
- Wenkai, D.; Guofu, Z.; Shiping, J.; Xin, T.; Peilong, S. Comparison of transcriptional profiles of flavonoid genes and anthocyanin content during fruit development in Chinese bayberry (Myrica rubra Sieb. & Zucc.). Chem. Eng. Trans. 2015, 46, 1423–1428. [Google Scholar] [CrossRef]
- Moscatello, S.; Frioni, T.; Blasi, F.; Proietti, S.; Pollini, L.; Verducci, G.; Rosati, A.; Walker, R.P.; Battistelli, A.; Cossignani, L.; et al. Changes in Absolute Contents of Compounds Affecting the Taste and Nutritional Properties of the Flesh of Three Plum Species Throughout Development. Foods 2019, 8, 486. [Google Scholar] [CrossRef] [PubMed]
- Kennedy, J.A.; Hayasaka, Y.; Vidal, S.p.; Waters, E.J.; Jones, G.P. Composition of grape skin proanthocyanidins at different stages of berry development. J. Agric. Food. Chem. 2010, 49, 5348–5355. [Google Scholar] [CrossRef] [PubMed]
- Acosta-Montoya, Ó.; Vaillant, F.; Cozzano, S.; Mertz, C.; Pérez, A.M.; Castro, M.V. Phenolic content and antioxidant capacity of tropical highland blackberry (Rubus adenotrichus Schltdl.) during three edible maturity stages. Food Chem. 2010, 119, 1497–1501. [Google Scholar] [CrossRef]
- Ho Ju, F.-C.; Ronald, E.W. Anthocyanin Pigment Composition of Blackberries. J. Food Sci. Technol. (Mysore) 2006, 70, 198–202. [Google Scholar] [CrossRef]
- Araya, M.; Carvajal, Y.; Alvarez, V.; Orozco, R.; Rodriguez, G. Polyphenol characterization of three varieties of Blackberry fruits (Rubus adenotrichos), cultivated in Costa Rica. J. Berry Res. 2017, 7, 97–107. [Google Scholar] [CrossRef]
- Thanyaporn, S.; Wrolstad, R.E.; Finn, C.E.; Pereira, C.B. Influence of Cultivar, Maturity, and Sampling on Blackberry (Rubus L. Hybrids) Anthocyanins, Polyphenolics, and Antioxidant Properties. J. Agric. Food. Chem. 2005, 52, 8021–8030. [Google Scholar] [CrossRef]
- Vasco, C.; Ruales, J.; Kamal-Eldin, A. Total phenolic compounds and antioxidant capacities of major fruits from Ecuador. Food Chem. 2008, 111, 816–823. [Google Scholar] [CrossRef]
- Duchnowicz, P.; Broncel, M.; Podsedek, A.; Koter-Michalak, M. Hypolipidemic and antioxidant effects of hydroxycinnamic acids, quercetin, and cyanidin 3-glucoside in hypercholesterolemic erythrocytes (in vitro study). Eur. J. Nutr. 2012, 51, 435–443. [Google Scholar] [CrossRef] [PubMed]
- Hassan, H.A.; Abdel-Aziz, A.F. Evaluation of free radical-scavenging and anti-oxidant properties of black berry against fluoride toxicity in rats. Food Chem. Toxicol. 2010, 48, 1999–2004. [Google Scholar] [CrossRef] [PubMed]
- Gowd, V.; Bao, T.; Wang, L.; Huang, Y.; Chen, S.; Zheng, X.; Cui, S.; Chen, W. Antioxidant and antidiabetic activity of blackberry after gastrointestinal digestion and human gut microbiota fermentation. Food Chem. 2018, 269, 618–627. [Google Scholar] [CrossRef] [PubMed]
- Zannou, O.; Koca, I. Greener extraction of anthocyanins and antioxidant activity from blackberry (Rubus spp.) using natural deep eutectic solvents. LWT-Food Sci. Technol. 2022, 158, 113184. [Google Scholar] [CrossRef]




| Compounds | Ningzhi 1 | Hull | ||||||
|---|---|---|---|---|---|---|---|---|
| GFSN (μg/g) | CTSN (μg/g) | RDSN (μg/g) | RPSN (μg/g) | GFSH (μg/g) | CTSH (μg/g) | RDSH (μg/g) | RPSH (μg/g) | |
| Kaempferol-3-O-rut | 0.40 ± 0.01 c | 1.04 ± 0.34 a | 0.81 ± 0.15 b | 0.67 ± 0.03 b,c | 38.73 ± 1.78 a | 23.00 ± 1.47 b | 20.00 ± 1.21 c | 3.58 ± 0.43 d |
| Naringenin | 0.12 ± 0.01 b | 0.24 ± 0.04 a | 0.13 ± 0.02 b | 0.11 ± 0.01 b | 0.01 ± 0.00 b | 0.01 ± 0.00 b | 0.02 ± 0.00 b | 0.05 ± 0.00 a |
| Naringenin-7-O-glu | 2.93 ± 0.81 b | 14.73 ± 1.09 a | 2.90 ± 0.07 b | 2.17 ± 0.20 b | 0.79 ± 0.04 a | 0.72 ± 0.08 a | 0.65 ± 0.00 a | 0.76 ± 0.19 a |
| Quercetin-3-O-glu | 11.97 ± 0.81 b | 14.73 ± 1.09 a | 9.30 ± 0.66 c | 6.26 ± 0.28 d | 173.67 ± 14.98 a | 107.63 ± 18.75 b | 92.50 ± 8.87 b | 43.53 ± 5.46 c |
| Rutin | 0.79 ± 0.03 b | 2.40 ± 0.32 d | 1.40 ± 0.15 c | 3.42 ± 0.21 a | 219.67 ± 14.57 a | 144.33 ± 11.85 b | 119.83 ± 11.79 c | 24.47 ± 1.58 d |
| Procyanidin B2 | 85.97 ± 3.50 a | 52.53 ± 3.35 b | 13.63 ± 0.72 c | 13.07 ± 1.02 c | 147.00 ± 13.23 a | 97.33 ± 5.41 b | 87.50 ± 4.99 b | 45.77 ± 4.21 c |
| Procyanidin B3 | 375.33 ± 28.88 a | 243.67 ± 14.29 b | 76.2 3± 5.23 c | 52.17 ± 7.17 c | 301.00 ± 15.87 a | 218.33 ± 12.22 b | 132 ± 16.52 c | 65.10 ± 4.06 d |
| Procyanidin C1 | 14.87 ± 0.46 a | 9.63 ± 0.33 b | 1.76 ± 0.13 c | 1.60 ± 0.11 c | 18.87 ± 0.98 a | 10.68 ± 1.01 b | 8.50 ± 0.32 c | 2.25 ± 0.09 d |
| NAFC | 492.38 ± 25.25 a | 327.54 ± 14.73 b | 106.17 ± 4.30 c | 79.43 ± 6.35 d | 899.74 ± 28.75 a | 602.04 ± 31.02 b | 461.00 ± 2.93 c | 185.52 ± 6.15 d |
| Compounds | Ningzhi 1 | Hull | ||||||
|---|---|---|---|---|---|---|---|---|
| GFSN (μg/g) | CTSN (μg/g) | RDSN (μg/g) | RPSN (μg/g) | GFSH (μg/g) | CTSH (μg/g) | RDSH (μg/g) | RPSH (μg/g) | |
| Cyd-3-O-glu | 5.74 ± 0.41 c | 14.53 ± 0.50 c | 332.00 ± 20.95 b | 404.33 ± 12.42 a | 5.52 ± 0.21 d | 56.60 ± 3.38 c | 145.33 ± 13.20 b | 507.67 ± 28.53 a |
| Cyd-3-O-sop | 0.16 ± 0.01 c | 3.06 ± 0.19 c | 402.33 ± 9.50 b | 423.00 ± 8.19 a | 0.08 ± 0.01 b | 0.04 ± 0.00 b | 0.05 ± 0.00 b | 0.65 ± 0.05 a |
| Cyd-3-O-xyl | 0.01 ± 0.00 c | 0.02 ± 0.00 c | 0.44 ± 0.04 b | 1.13 ± 0.14 a | 0.49 ± 0.01 c | 5.07 ± 0.37 c | 15.54 ± 0.56 b | 193.00 ± 6.24 a |
| Pelargonidin-3-O-glu | 0.07 ± 0.00 c | 0.24 ± 0.01 c | 2.37 ± 0.28 b | 7.92 ± 0.32 a | 0.01 ± 0.00 b | 0.05 ± 0.00 b | 0.12 ± 0.01 b | 11.28 ± 0.63 a |
| Petunidin-3-O-glu | 0.08 ± 0.00 c | 0.09 ± 0.00 a | 0.10 ± 0.00 a | 0.09 ± 0.00 b | 0.08 ± 0.00 c | 0.08 ± 0.00 c | 0.09 ± 0.00 b | 0.10 ± 0.00 a |
| Cyd-3-O-rut | 0.23 ± 0.02 c | 1.19 ± 0.10 c | 131.00 ± 5.29 b | 186.33 ± 9.07 a | 0.36 ± 0.01 d | 1.24 ± 0.10 c | 1.84 ± 0.19 b | 4.50 ± 0.58 a |
| Ped-3-O-gal | 0.32 ± 0.01 c | 0.34 ± 0.02 c | 0.41 ± 0.01 b | 0.72 ± 0.05 a | 0.42 ± 0.02 c | 0.54 ± 0.01 c | 0.9 ± 0.02 b | 4.92 ± 0.17 a |
| Ped-3-O-glu | 0.01 ± 0.00 c | 0.03 ± 0.00 c | 2.00 ± 0.08 b | 3.55 ± 0.04 a | 0.06 ± 0.00 c | 0.17 ± 0.01 c | 0.56 ± 0.04 b | 5.33 ± 0.26 a |
| AC | 6.61 ± 0.41 c | 19.50 ± 0.54 c | 870.66 ± 14.39 b | 1027.08 ± 22.40 a | 7.03 ± 0.21 d | 63.78 ± 3.66 c | 164.43 ± 13.85 b | 727.45 ± 26.80 a |
Publisher’s Note: MDPI stays neutral with regard to jurisdictional claims in published maps and institutional affiliations. |
© 2022 by the authors. Licensee MDPI, Basel, Switzerland. This article is an open access article distributed under the terms and conditions of the Creative Commons Attribution (CC BY) license (https://creativecommons.org/licenses/by/4.0/).
Share and Cite
Li, J.; Shi, C.; Shen, D.; Han, T.; Wu, W.; Lyu, L.; Li, W. Composition and Antioxidant Activity of Anthocyanins and Non-Anthocyanin Flavonoids in Blackberry from Different Growth Stages. Foods 2022, 11, 2902. https://doi.org/10.3390/foods11182902
Li J, Shi C, Shen D, Han T, Wu W, Lyu L, Li W. Composition and Antioxidant Activity of Anthocyanins and Non-Anthocyanin Flavonoids in Blackberry from Different Growth Stages. Foods. 2022; 11(18):2902. https://doi.org/10.3390/foods11182902
Chicago/Turabian StyleLi, Jing, Chong Shi, Dongbei Shen, Tianyu Han, Wenlong Wu, Lianfei Lyu, and Weilin Li. 2022. "Composition and Antioxidant Activity of Anthocyanins and Non-Anthocyanin Flavonoids in Blackberry from Different Growth Stages" Foods 11, no. 18: 2902. https://doi.org/10.3390/foods11182902
APA StyleLi, J., Shi, C., Shen, D., Han, T., Wu, W., Lyu, L., & Li, W. (2022). Composition and Antioxidant Activity of Anthocyanins and Non-Anthocyanin Flavonoids in Blackberry from Different Growth Stages. Foods, 11(18), 2902. https://doi.org/10.3390/foods11182902
