Preparation and Characterization of Aronia melanocarpa/Gellan Gum/Pea Protein/Chitosan Bilayer Films
Abstract
:1. Introduction
2. Materials and Methods
2.1. Materials
2.2. Film Preparation
2.2.1. Preparation of AM-GG Composite Film Solution
2.2.2. Preparation of PP-CS Composite Film Solution
2.2.3. Preparation of AM-GG/PP-CS Bilayer Films
2.3. Fourier-Transform Infrared Spectroscopy (FT-IR)
2.4. Microstructure of Films
2.5. Physical Properties of Films
2.5.1. Film Thickness
2.5.2. Moisture Content (MC)
2.5.3. Mechanical Properties
2.5.4. Puncture Resistance
2.6. Water Vapor Permeability (WVP)
2.7. Oil Permeability (OP)
2.8. Color Change of Film at Different pH Environments
2.9. Fresh-Keeping Effect
2.10. Experimental Design and Statistical Analysis
3. Results and Discussion
3.1. FT-IR Spectra
3.2. Microstructure of Bilayer Films
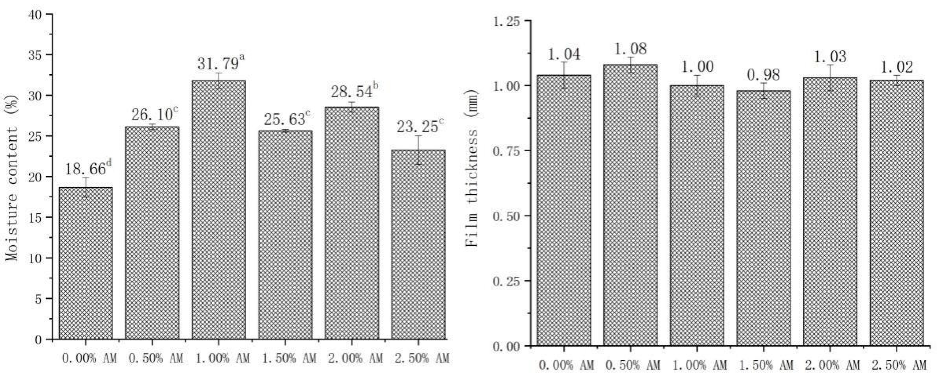
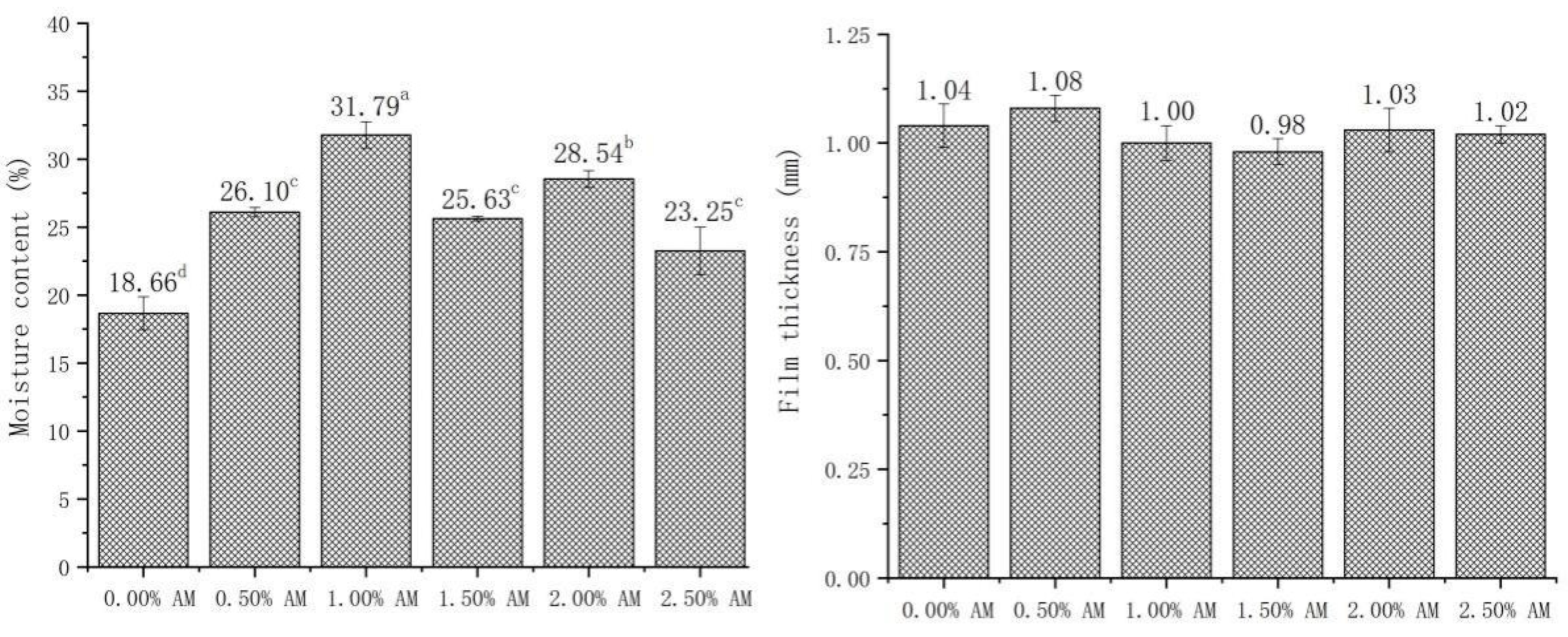
3.3. Moisture Content (MC) and Thickness of Bilayer Films
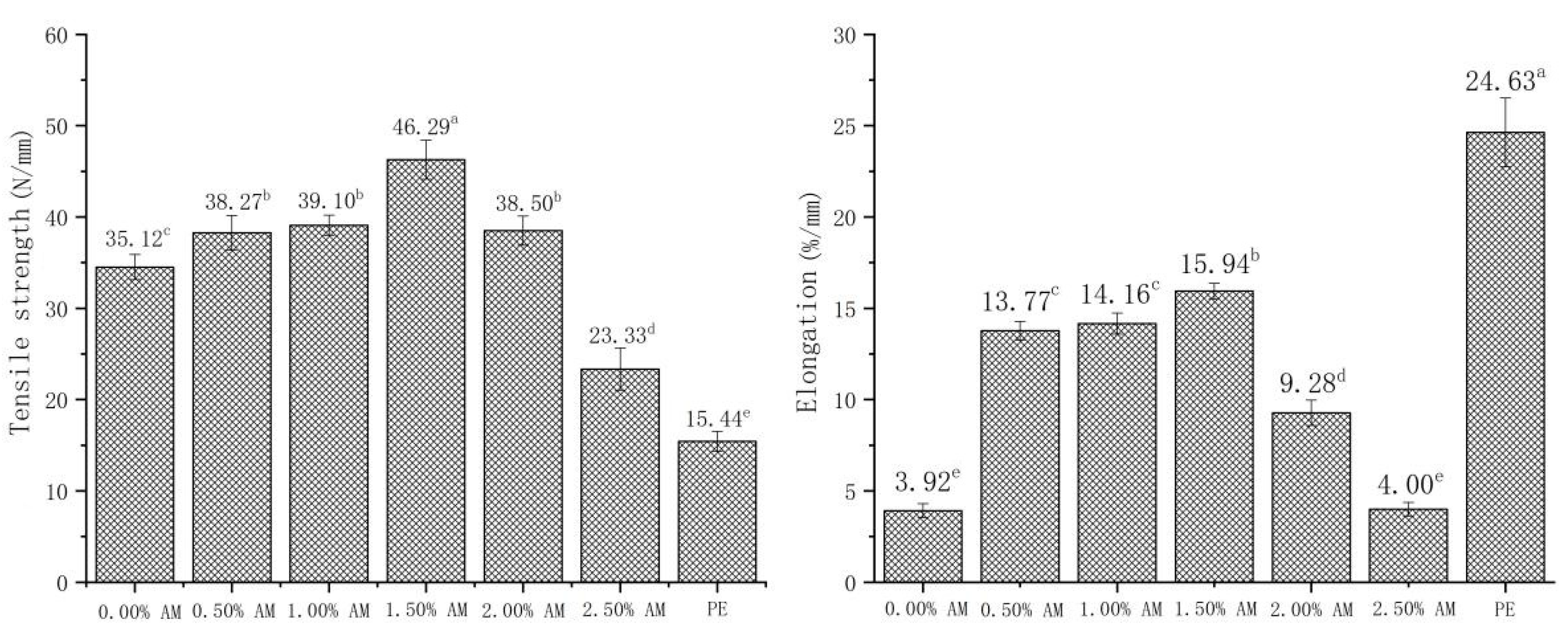
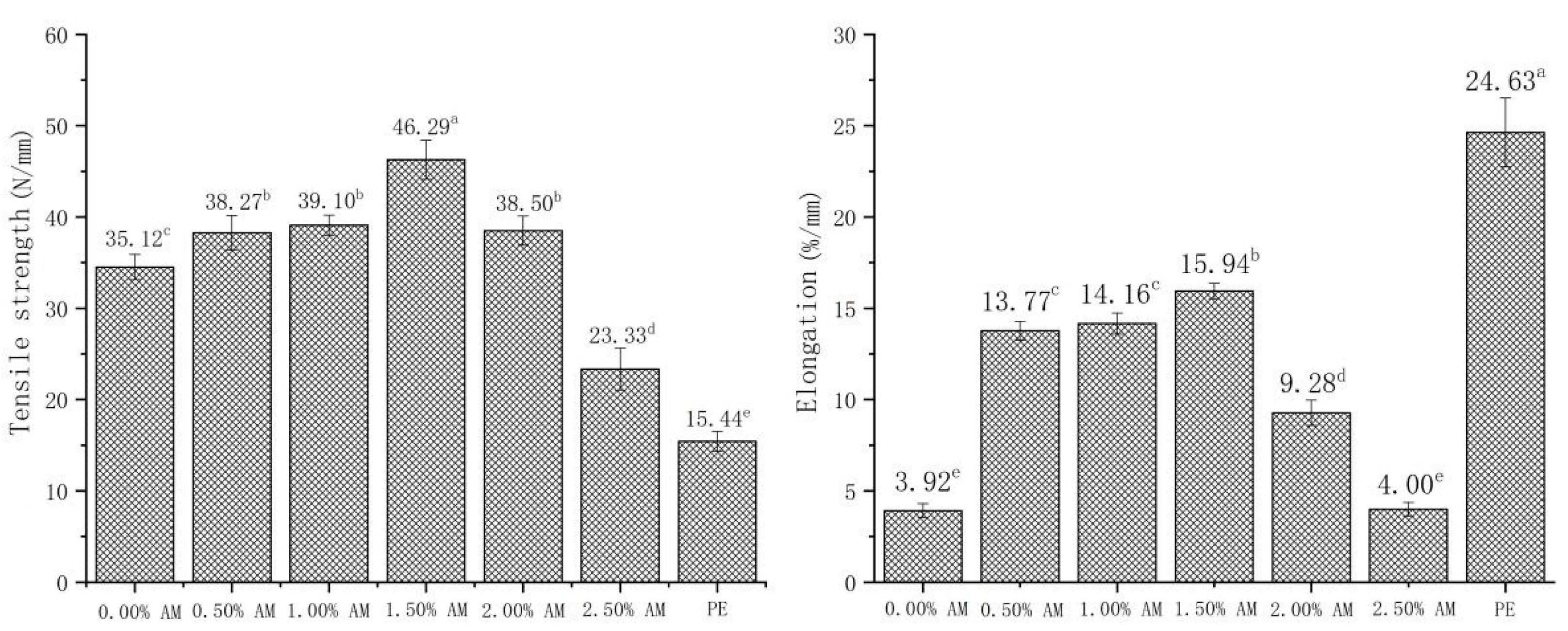
3.4. Mechanical Properties of Bilayer Films
3.5. Water Vapor Permeability (WVP) and Oil Permeability (OP)
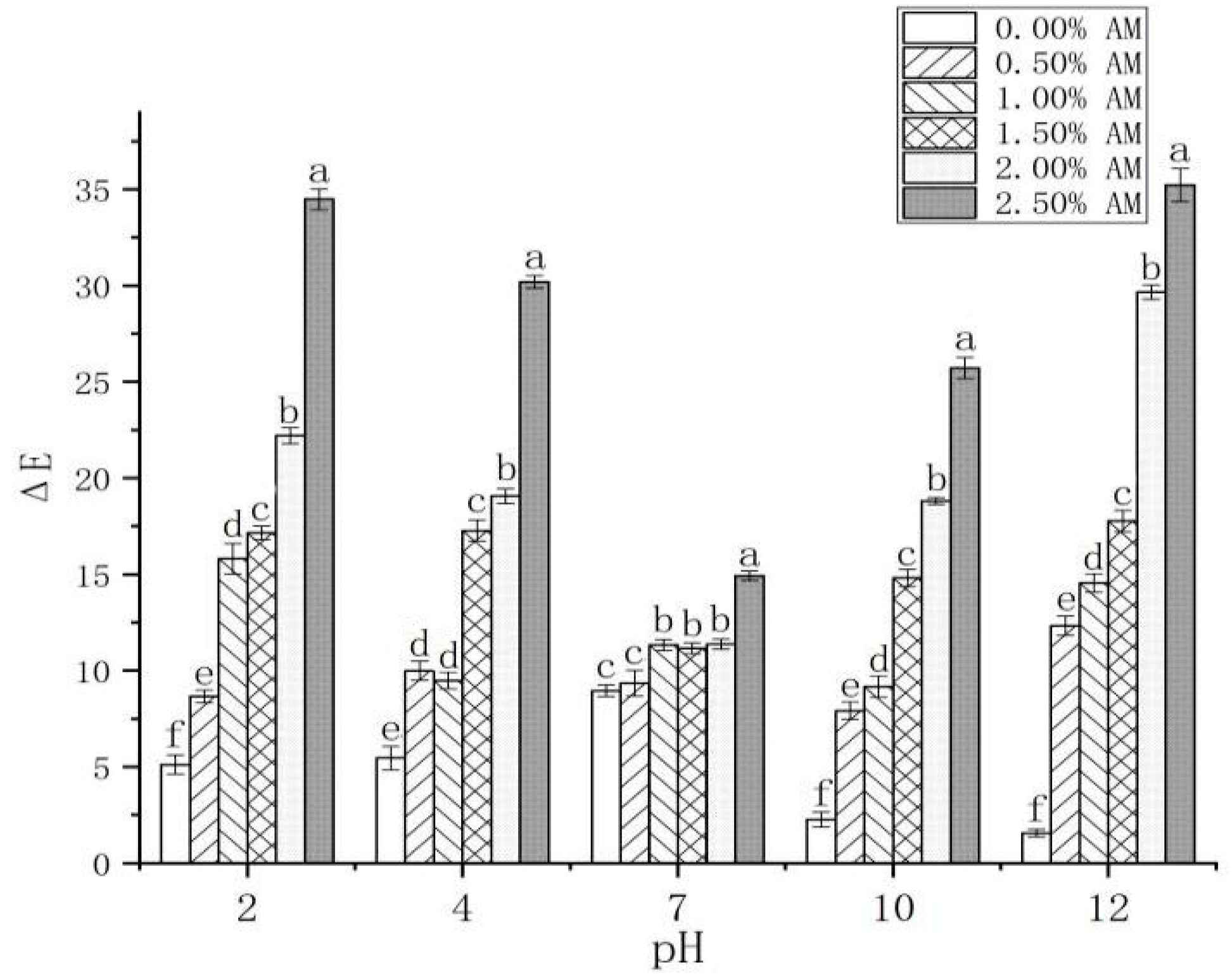
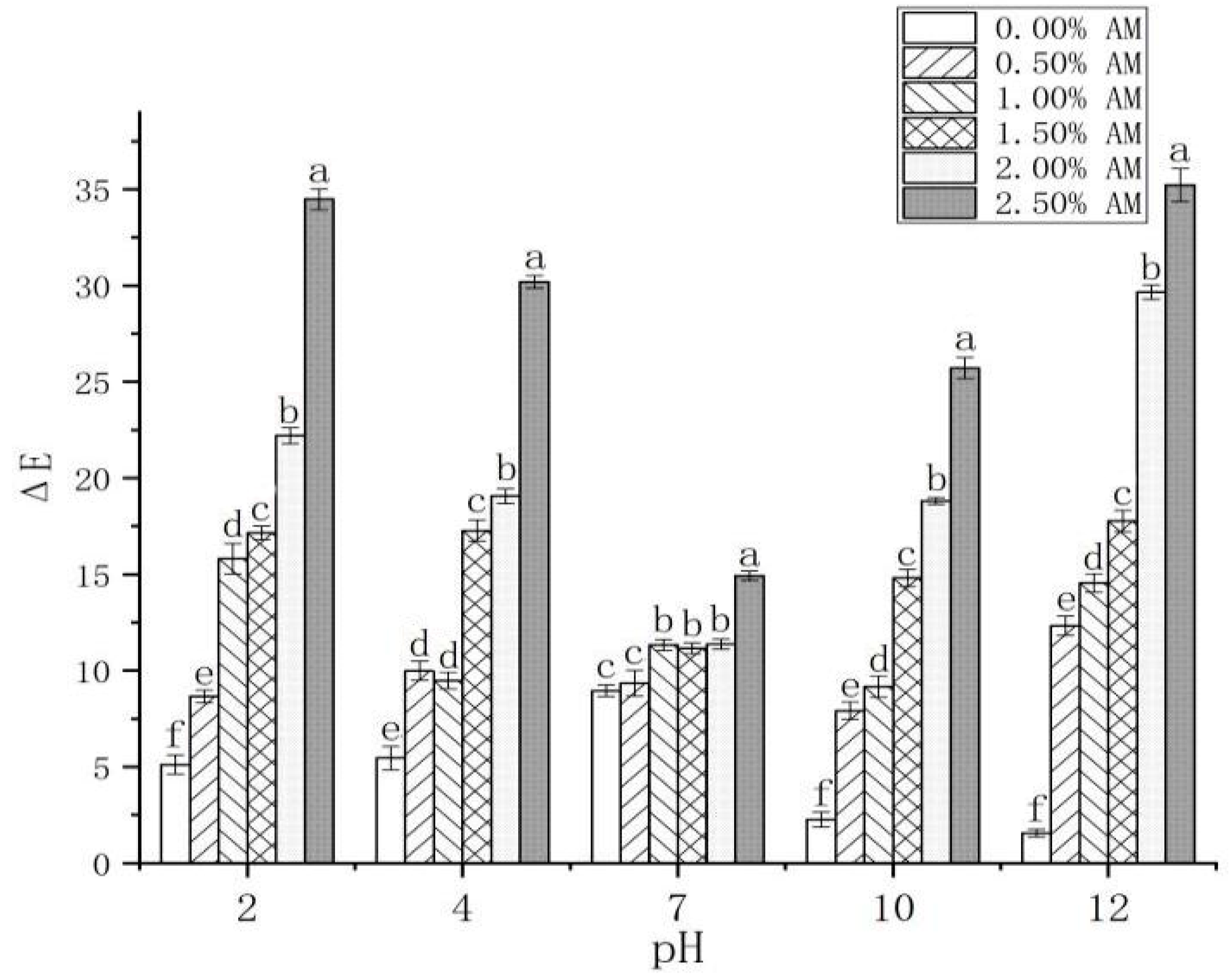
3.6. Color Changes of AM-GG/PP-CS Bilayer Films at Different pH Values
3.7. Fresh-Keeping Effect of AM-GG/PP-CS Bilayer Edible Composite Film on Fresh Pork
4. Conclusions
Author Contributions
Funding
Data Availability Statement
Conflicts of Interest
References
- Zou, X.B.; Xue, J.; Huang, X.W.; Zhai, X.D.; Zhang, J.J.; Zhang, Z.X.; Gan, Z.Y. Development and Application of an Intelligent Biolayer Packaging Film as a Freshness Indicator for Salmon. J. Food Sci. 2019, 40, 206–212. [Google Scholar]
- Sun, Y.Y. Research and Application of Freshness Indicative Smart Packaging for Food. Packag. J. 2012, 4, 16–20. [Google Scholar]
- Hu, W.Z.; Li, M.; Guo, D.X.; Shi, Y.; Yu, G.X.; Ma, F.M. Research progress on Aronia melanocarpa. Food Ferment. Ind. 2020, 46, 316–322. [Google Scholar]
- Petković, M.; Filipović, V.; Filipović, J.; Đurović, I.; Miletić, N.; Radovanović, J. Chemical, antioxidative, and sensory characteristics of wheat bread partially substituted with black chokeberry (Aronia melanocarpa L.) powder. J. Food Process. Preserv. 2020, 45, e15027. [Google Scholar] [CrossRef]
- Magdalena, E.S.; Gałązka, C.I.; Otlewska, A.; Czyżowska, A.; Nowak, A. Aronia melanocarpa (Michx.) Elliot, Chaenomeles superba Lindl. and Cornus mas L. Leaf Extracts as Natural Preservatives for Pork Meat Products. Molecules 2021, 26, 3009. [Google Scholar]
- Woo, W.H.; Lee, J.S. Characterization of electrospun Aronia melanocarpa fruit extracts loaded polyurethane nanoweb. Fash. Text. 2021, 8, 12. [Google Scholar] [CrossRef]
- Morris, E.R.; Katsuyoshi, N.; Marguerite, R. Gelation of gellan—A review. Food Hydrocoll. 2012, 28, 373–411. [Google Scholar] [CrossRef]
- Guo, N.; Zhu, G.L.; Zhang, F.Y.; Xu, D.B.; Yang, J.J. Preparation and characteristics analysis of gellan gum-Artemisia sphaerocephala Krasch gum-blueberry anthocyanin edible film. Food Ferment. Ind. 2020, 46, 172–176. [Google Scholar]
- Yang, L.; Paulson, A.T.; Nickerson, M.T. Mechanical and physical properties of calcium-treated gellan films. Food Res. Int. 2010, 43, 1439–1443. [Google Scholar] [CrossRef]
- Paolicelli, P.; Stefania, P.; Gabriele, V.; Martina, N.; Settimio, P.; Laura, D.M.; Jacopo, T.; Cecilia, B.; Stefania, C.; Maria, A.C.; et al. Effect of glycerol on the physical and mechanical properties of thin gellan gum films for oral drug delivery. Int. J. Pharm. 2018, 547, 226–234. [Google Scholar] [CrossRef]
- Sun, W.T. Preparation of Pea Protein/Chitosan/Aronia Melanocarpa Polyphenol Composite Film. Master’s Thesis, Shandong University of Technology, Zibo, China, 2021. [Google Scholar]
- Chen, L.Z.; Li, N.; Pei, N.; Shi, W.Z.; Wang, Z.H. Preparation of pullulan/carboxymethyl chitosan composite membrane and its fresh-keeping effect on Macrobrachium rosenbergii. Food Ferment. Ind. 2021, 47, 137–143. [Google Scholar]
- Chang, L.C.; Chiu, J.Y. A novel γ-PGA composite gellan membrane containing glycerol for guided bone regeneration. Mater. Sci. Eng. C 2021, 118, 111404. [Google Scholar]
- Wahidin, M.; Srimarlita, A.; Sulaiman, I.; Indarti, E. Transparency and thickness of jackfruit and durian seed starch edible film. IOP Conf. Ser. Earth Environ. Sci. 2021, 667, 012030. [Google Scholar] [CrossRef]
- Kumar, R.; Ghoshal, G.; Goyal, M. Moth bean starch (Vigna aconitifolia): Isolation, characterization, and development of edible/biodegradable films. J. Food Sci. Technol. 2019, 56, 4891–4900. [Google Scholar] [CrossRef]
- GB/T 1040.3-2006/ISO 527-3; Plastics-Determination of Tensile Properties-Part 3: Test Condition for Films and Sheets. 1995. Available online: https://www.chinesestandard.net/Related.aspx/GBT1040.3-2006 (accessed on 4 August 2022).
- GB/T 37841-2019; Test Method for Puneture Resistance of Plastic Film and Sheeting. Available online: https://www.chinesestandard.net/Related.aspx/GBT37841-2019 (accessed on 4 August 2022).
- Yan, Q.Q.; Hou, H.X.; Guo, P.; Dong, H.Z. Effects of extrusion and glycerol content on properties of oxidized and acetylated corn starch-based films. Carbohydr. Polym. 2012, 87, 707–712. [Google Scholar] [CrossRef]
- Natali, S.B.; Mohammad, G.; Seyed MS, A.; Niloufar, V. The quality characteristics of dough and toast bread prepared with wheat flour containing different levels of Portulaca Oleracea leaf powder. Food Sci. Technol. 2022, 42, 299–306. [Google Scholar]
- Xu, X.; Li, B.; Kennedy, J.F.; Xie, B.J.; Huang, M. Characterization of konjac glucomannan–gellan gum blend films and their suitability for release of nisin incorporated therein. Carbohydr. Polym. 2007, 70, 192–197. [Google Scholar] [CrossRef]
- Li, M.Q. Study on Preparation and Application of the Edible and Composite Film Based on Gellan and Agar. Master’s Thesis, Ocean University of China, Qingdao, China, 2012. [Google Scholar]
- Xiang, G.; Liu, B.J.; Li, M.Q.; Wang, D.F.; Xu, Y. Study on preparation of chitosan and gellan gum biodegradable composite film by ionic cross-linking. Sci. Technol. Food Ind. 2012, 33, 282–285. [Google Scholar]
- Staroszczyk, H.; Sztuka, K.; Wolska, J.; Wojtasz-Pająk, A.; Kołodziejska, I. Interactions of fish gelatin and chitosan in uncrosslinked and crosslinked with EDC films: FT-IR study. Spectrochim. Acta Part A Mol. Biomol. Spectrosc. 2014, 117, 707–712. [Google Scholar] [CrossRef]
- Koyano, T.; Koshizaki, N.; Umehara, H.; Nagura, M.; Minoura, N. Surface states of PVA/chitosan blended hydrogels. Polymer 2000, 41, 4461–4465. [Google Scholar] [CrossRef]
- Xu, T.L. The Preparation of Curdlan and Chitosan Composite Membranes and Its Application on Chilled Meat. Master’s Thesis, Nanjing Agricultural University, Nanjing, China, 2017. [Google Scholar]
- Ma, L.; Zhang, X.H.; Liu, Q.; Li, Z.Y.; Zhao, M.Y.; Zhang, J.S.; Hu, Y.C.; Hu, J. Effects of sugar components content on equilibrium moisture content in cut tobacco. Acta Tab. Sin. 2010, 16, 10–13. [Google Scholar]
- Danaya, P.; Phanwipa, W.; Khwanchat, P.; Juthathip, P.; Nathdanai, H. Biodegradable Poly (Butylene Adipate-Co-Terephthalate) and Thermoplastic Starch-Blended TiO2 Nanocomposite Blown Films as Functional Active Packaging of Fresh Fruit. Polym. Mater. Food Packag. 2021, 13, 4192. [Google Scholar]
- Yao, L.Y.; Zhang, Y.; Zhang, L.Y.; Li, Y.; Liu, J.X. Comparison of Flavonoids and Polysaccharides Contents between Aronia melanocarpa and Two Kinds of Small Berries. J. Anhui Agric. Sci. 2016, 44, 122–124. [Google Scholar]
- Huang, J.S.; Cao, Q.C.; Jin, Y.Z.; Pu, J.Y.; Jin, S.Y. Polyphenols content and antioxidant activity of aronia melanocarpa fruit in vitro. J. Yangzhou Univ. (Agric. Life Sci. Ed.) 2019, 40, 100–104. [Google Scholar]
- Yu, D.; Sun, J.S.; Wang, L.; Wu, C.H.; Gong, J.N.; Lin, L.S.; Mu, R.J.; Pang, J. Development of antimicrobial packaging materials by incorporation of gallic acid into Ca2+ crosslinking konjac glucomannan/gellan gum films. Int. J. Biol. Macromol. 2019, 137, 1076–1085. [Google Scholar]
- Ismail, N.A.; Khairul, A.M.A.; Mohd, H.R. Preparation of Gellan Gum (GG) Film: The effect of GG, Calcium Chloride (CaCl2), Glycerol Concentration and Heat Treatment. IOP Conf. Ser. Mater. Sci. Eng. 2018, 440, 012006. [Google Scholar] [CrossRef]
- Zhang, J.; Li, Y.C.; Huang, J.Y.; Wu, J.X.; Liu, Q.; Wu, S.Z.; Gao, Z.R.; Zhang, S.; Yang, L. The effect of al particle size on thermal decomposition, mechanical strength and sensitivity of Al/ZrH_2/PTFE composite. Def. Technol. 2021, 17, 829–835. [Google Scholar] [CrossRef]
- Wu, J. Characterization of Pullulan-Chitosan Blend Film. Master’s Thesis, Jiangnan University, Wuxi, China, 2012. [Google Scholar]
- Zhang, Y.B.; Jiang, J. Research progress of edible films. China Food Addit. 2011, 1, 191–198. [Google Scholar]
- Tanwar, R.; Gupta, V.; Kumar, P.; Kumar, A.; Singh, S.; Gaikwad, K.K. Development and characterization of PVA-starch incorporated with coconut shell extract and sepiolite clay as an antioxidant film for active food packaging applications. Int. J. Biol. Macromol. 2021, 185, 451–461. [Google Scholar] [CrossRef]
- Ludueña, L.; Vázquez, A.; Alvarez, V. Effect of lignocellulosic filler type and content on the behavior of polycaprolactone based eco-composites for packaging applications. Carbohydr. Polym. 2012, 87, 411–421. [Google Scholar] [CrossRef]
- Phanwipa, W.; Maturin, K.; Thanalee, S.; Nathdanai, H. Novel edible starch films incorporating papain for meat tenderization. Food Packag. Shelf Life 2022, 31, 100787. [Google Scholar]
- Zhang, X.H.; Liu, D.H.; Jin, T.Z.; Chen, W.J.; He, Q.; Zou, Z.P.; Zhao, H.H.; Ye, X.Q.; Guo, M.M. Preparation and characterization of gellan gum-chitosan polyelectrolyte complex films with the incorporation of thyme essential oil nanoemulsion. Food Hydrocoll. 2021, 114, 106570. [Google Scholar] [CrossRef]
- Wang, Y.; Liu, Q.; Chen, Y.; Li, J.Y.; Wen, Q.L. Research Development and Active Ingredients in Aronia melanocarpa. Food Ind. 2020, 41, 249–253. [Google Scholar]








| Samples | pH | |||||
|---|---|---|---|---|---|---|
| Blank Control | 2 | 4 | 7 | 10 | 12 | |
| 0.00% AM | ![]() | ![]() | ![]() | ![]() | ![]() | ![]() |
| 0.50% AM | ![]() | ![]() | ![]() | ![]() | ![]() | ![]() |
| 1.00% AM | ![]() | ![]() | ![]() | ![]() | ![]() | ![]() |
| 1.50% AM | ![]() | ![]() | ![]() | ![]() | ![]() | ![]() |
| 2.00% AM | ![]() | ![]() | ![]() | ![]() | ![]() | ![]() |
| 2.50% AM | ![]() | ![]() | ![]() | ![]() | ![]() | ![]() |
| Samples | Blank Control | Positive Control | 0.00% AM | 0.50% AM | 1.00% AM | 1.50% AM | 2.00% AM | 2.50% AM | |
|---|---|---|---|---|---|---|---|---|---|
| Days | |||||||||
| 0 d | ![]() | ![]() | ![]() | ![]() | ![]() | ![]() | ![]() | ![]() | |
| 1 d | ![]() | ![]() | ![]() | ![]() | ![]() | ![]() | ![]() | ![]() | |
| 2 d | ![]() | ![]() | ![]() | ![]() | ![]() | ![]() | ![]() | ![]() | |
| 3 d | ![]() | ![]() | ![]() | ![]() | ![]() | ![]() | ![]() | ![]() | |
| 4 d | ![]() | ![]() | ![]() | ![]() | ![]() | ![]() | ![]() | ![]() | |
| 5 d | ![]() | ![]() | ![]() | ![]() | ![]() | ![]() | ![]() | ![]() | |
| 6 d | ![]() | ![]() | ![]() | ![]() | ![]() | ![]() | ![]() | ![]() | |
| 7 d | ![]() | ![]() | ![]() | ![]() | ![]() | ![]() | ![]() | ![]() | |
Publisher’s Note: MDPI stays neutral with regard to jurisdictional claims in published maps and institutional affiliations. |
© 2022 by the authors. Licensee MDPI, Basel, Switzerland. This article is an open access article distributed under the terms and conditions of the Creative Commons Attribution (CC BY) license (https://creativecommons.org/licenses/by/4.0/).
Share and Cite
Chen, X.; Ji, W.; Nan, X.; Wang, H.; Li, J.; Dong, L.; Sheng, G.; Zhou, Q. Preparation and Characterization of Aronia melanocarpa/Gellan Gum/Pea Protein/Chitosan Bilayer Films. Foods 2022, 11, 2835. https://doi.org/10.3390/foods11182835
Chen X, Ji W, Nan X, Wang H, Li J, Dong L, Sheng G, Zhou Q. Preparation and Characterization of Aronia melanocarpa/Gellan Gum/Pea Protein/Chitosan Bilayer Films. Foods. 2022; 11(18):2835. https://doi.org/10.3390/foods11182835
Chicago/Turabian StyleChen, Xuanhong, Wei Ji, Xijun Nan, Honglei Wang, Jiayi Li, Leichao Dong, Guihua Sheng, and Quancheng Zhou. 2022. "Preparation and Characterization of Aronia melanocarpa/Gellan Gum/Pea Protein/Chitosan Bilayer Films" Foods 11, no. 18: 2835. https://doi.org/10.3390/foods11182835
APA StyleChen, X., Ji, W., Nan, X., Wang, H., Li, J., Dong, L., Sheng, G., & Zhou, Q. (2022). Preparation and Characterization of Aronia melanocarpa/Gellan Gum/Pea Protein/Chitosan Bilayer Films. Foods, 11(18), 2835. https://doi.org/10.3390/foods11182835





































































































