Markov Transition Field Combined with Convolutional Neural Network Improved the Predictive Performance of Near-Infrared Spectroscopy Models for Determination of Aflatoxin B1 in Maize
Abstract
:1. Introduction
2. Materials and Methods
2.1. Sample Preparation
2.2. Detection of Aflatoxin B1 Content
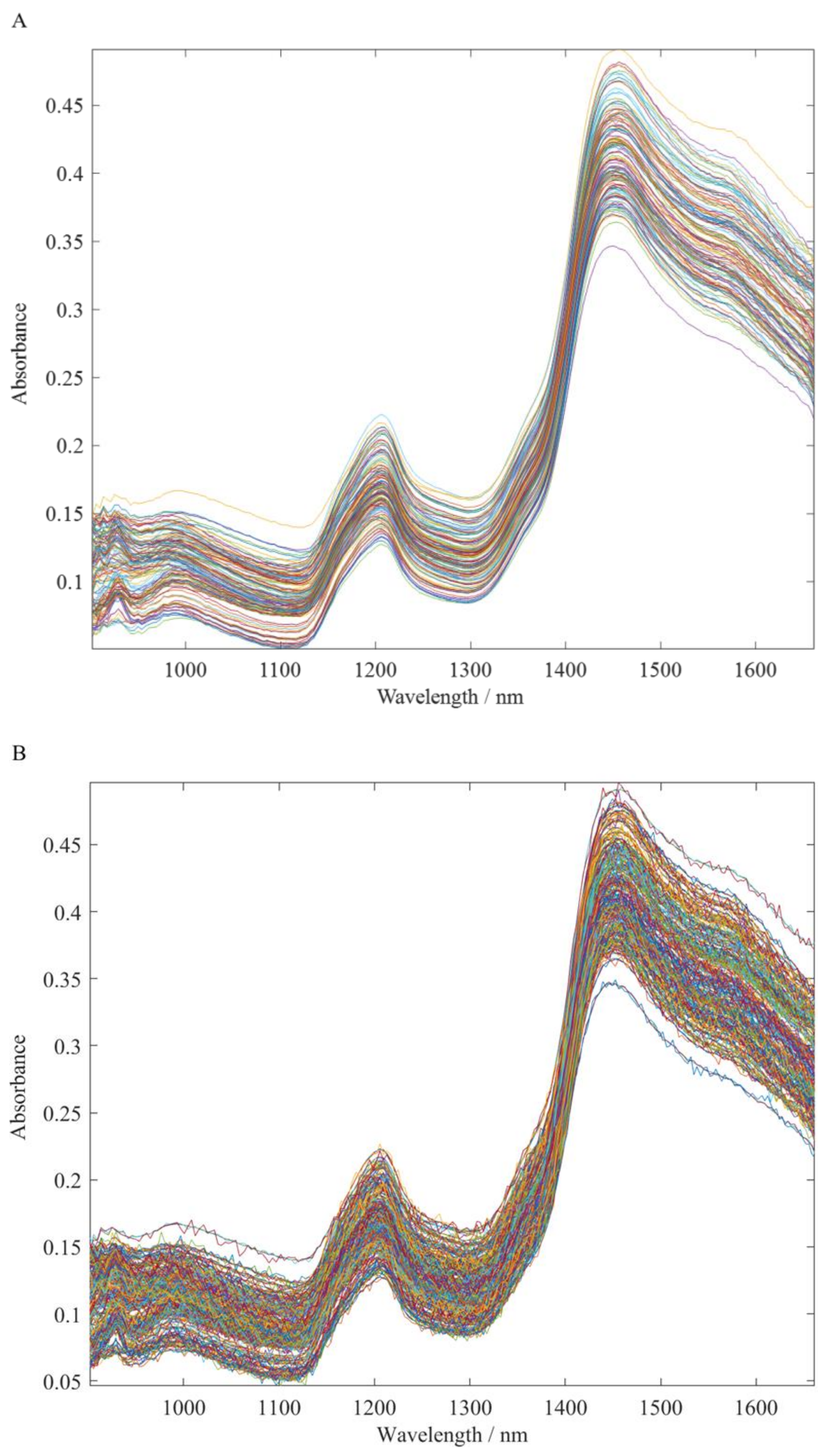
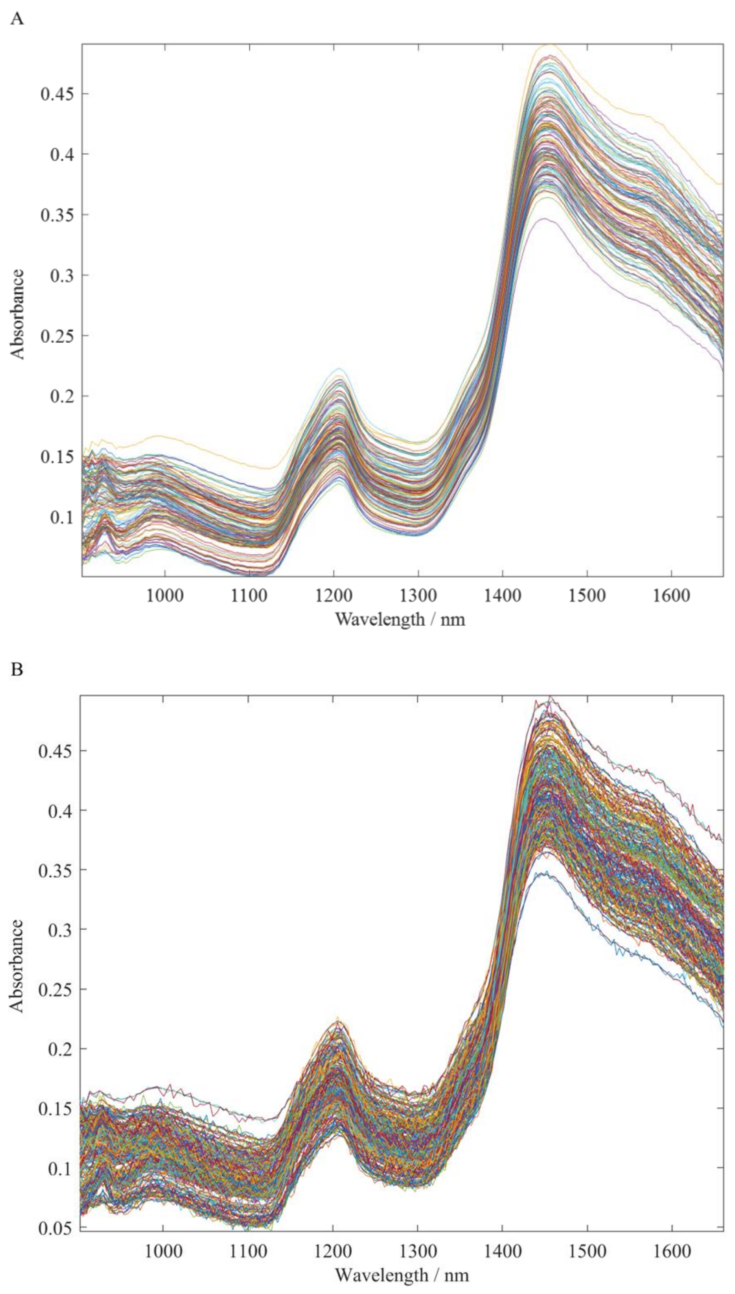
2.3. Spectral Acquisition
2.4. Data Analyses Methods
2.4.1. Spectral Augmentation
2.4.2. Markov Transition Field
2.4.3. Convolution Neural Network
2.5. Figures of Merit
3. Results
3.1. Division of Calibration Set and Prediction Set
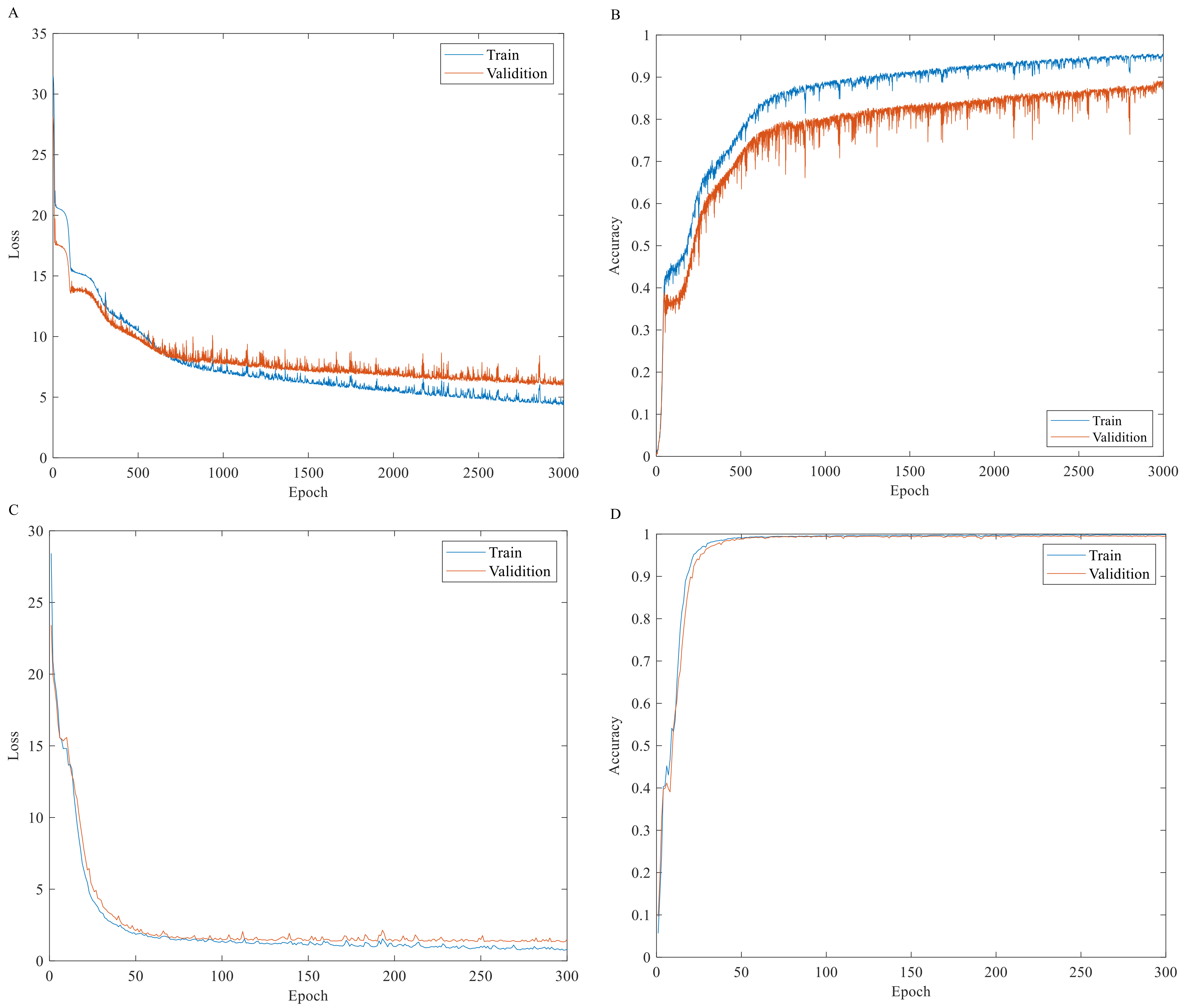
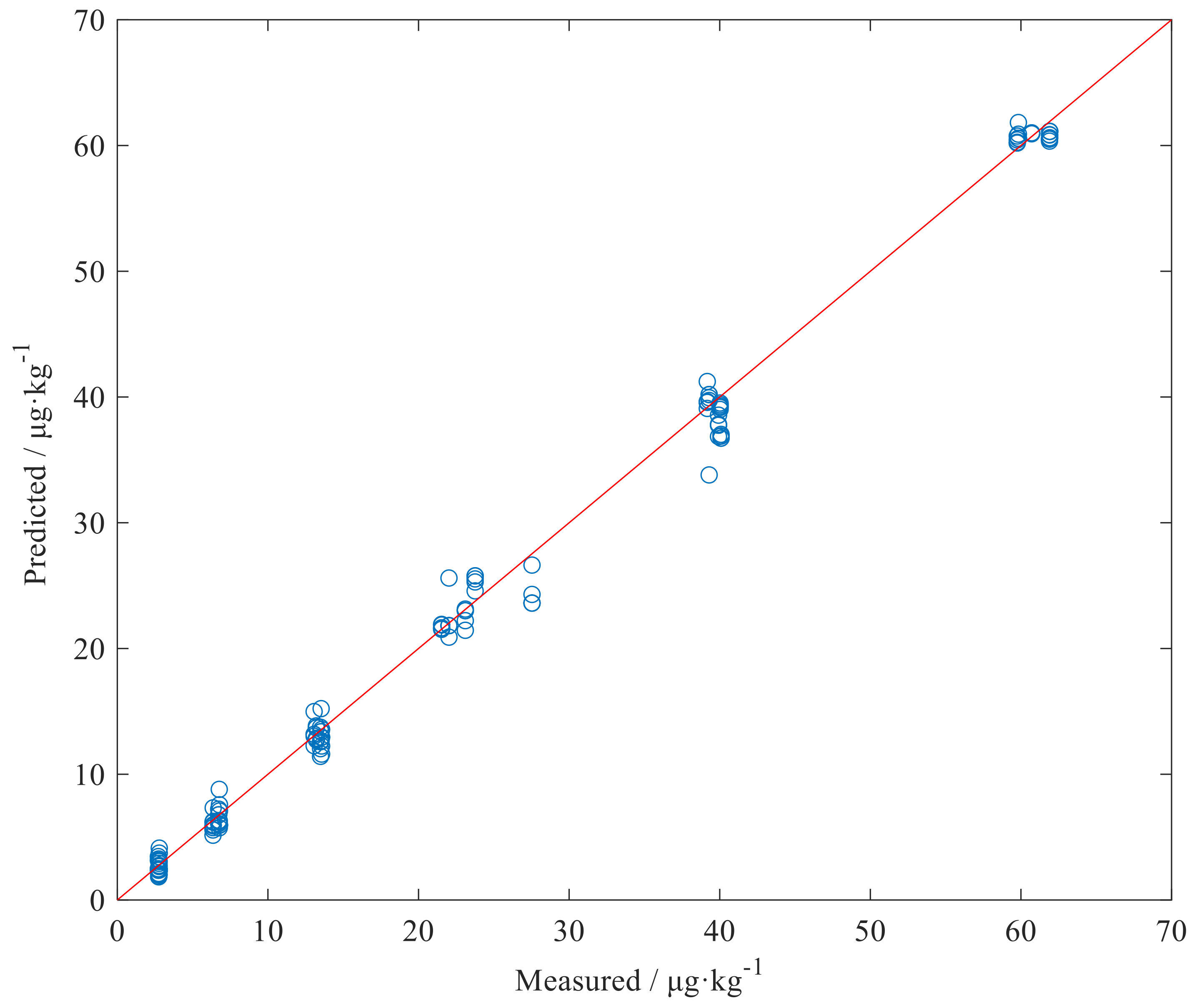
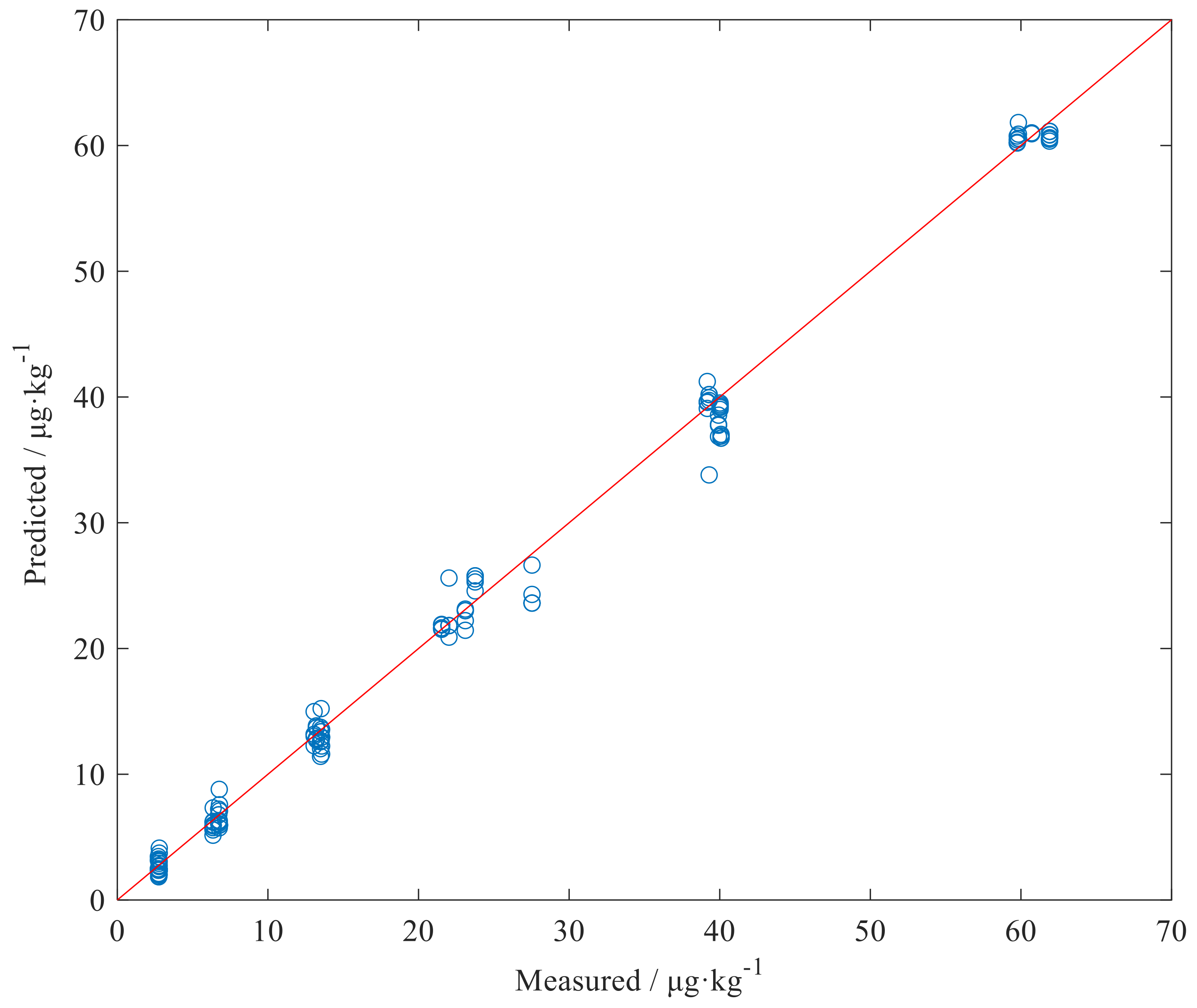
3.2. The Training Results of CNN Models
4. Discussion
5. Conclusions
Author Contributions
Funding
Institutional Review Board Statement
Informed Consent Statement
Data Availability Statement
Conflicts of Interest
References
- Iqbal, S.Z. Mycotoxins in food, recent development in food analysis and future challenges: A review. Current Opinion in Food Science 2021, 42, 237–247. [Google Scholar] [CrossRef]
- Suman, M. Last decade studies on mycotoxins’ fate during food processing: An overview. Curr. Opin. Food Sci. 2021, 41, 70–80. [Google Scholar] [CrossRef]
- Leite, M.; Freitas, A.; Silva, A.S.; Barbosa, J.; Ramos, F. Maize food chain and mycotoxins: A review on occurrence studies. Trends Food Sci. Technol. 2021, 115, 307–331. [Google Scholar] [CrossRef]
- Eskola, M.; Kos, G.; Elliott, C.T.; Hajslova, J.; Mayar, S.; Krska, R. Worldwide contamination of food-crops with mycotoxins: Validity of the widely cited ‘FAO estimate’ of 25%. Crit. Rev. Food Sci. Nutr. 2020, 60, 2773–2789. [Google Scholar] [CrossRef] [PubMed]
- Hidalgo-Ruiz, J.L.; Romero-Gonzalez, R.; Martinez Vidal, J.L.; Garrido Frenich, A. Determination of mycotoxins in nuts by ultra high-performance liquid chromatography-tandem mass spectrometry: Looking for a representative matrix. J. Food Compos. Anal. 2019, 82, 103228. [Google Scholar] [CrossRef]
- Yu, L.; Ma, F.; Ding, X.; Wang, H.; Li, P. Silica/graphene oxide nanocomposites: Potential adsorbents for solid phase extraction of trace aflatoxins in cereal crops coupled with high performance liquid chromatography. Food Chem. 2018, 245, 1018–1024. [Google Scholar] [CrossRef]
- Hossain, M.Z.; Goto, T. Determination of sterigmatocystin in grain using gas chromatography-mass spectrometry with an on-column injector. Mycotoxin Res. 2015, 31, 17–22. [Google Scholar] [CrossRef]
- Hu, L.; Liu, A.; Chen, W.; Yang, H.; Wang, X.; Chen, F. A non-toxic enzyme-linked immunosorbent assay for aflatoxin B1 using anti-idiotypic antibodies as substitutes. J. Sci. Food Agric. 2017, 97, 1543–1548. [Google Scholar] [CrossRef]
- Sun, X.L.; Zhao, X.L.; Tang, J.; Zhou, J.; Chu, F.S. Preparation of gold-labeled antibody probe and its use in immunochromatography assay for detection of aflatoxin B1. Int. J. Food Microbiol. 2005, 99, 185–194. [Google Scholar]
- Zareef, M.; Arslan, M.; Hassan, M.M.; Ahmad, W.; Ali, S.; Li, H.; Ouyang, Q.; Wu, X.; Hashim, M.M.; Chen, Q. Recent advances in assessing qualitative and quantitative aspects of cereals using nondestructive techniques: A review. Trends Food Sci. Technol. 2021, 116, 815–828. [Google Scholar] [CrossRef]
- Acuna-Gutierrez, C.; Schock, S.; Jimenez, V.M.; Mueller, J. Detecting fumonisin B1 in black beans (Phaseolus vulgaris L.) by near-infrared spectroscopy (NIRS). Food Control 2021, 130, 108335. [Google Scholar] [CrossRef]
- Cheng, X.; Vella, A.; Stasiewicz, M.J. Classification of aflatoxin contaminated single corn kernels by ultraviolet to near infrared spectroscopy. Food Control 2019, 98, 253–261. [Google Scholar] [CrossRef]
- Jiang, H.; Wang, J.; Chen, Q. Comparison of wavelength selected methods for improving of prediction performance of PLS model to determine aflatoxin B-1 (AFB(1)) in wheat samples during storage. Microchem. J. 2021, 170, 106642. [Google Scholar] [CrossRef]
- Gaspardo, B.; Del Zotto, S.; Torelli, E.; Cividino, S.R.; Firrao, G.; Della Riccia, G.; Stefanon, B. A rapid method for detection of fumonisins B-1 and B-2 in corn meal using Fourier transform near infrared (FT-NIR) spectroscopy implemented with integrating sphere. Food Chem. 2012, 135, 1608–1612. [Google Scholar] [CrossRef] [PubMed]
- De Girolamo, A.; von Holst, C.; Cortese, M.; Cervellieri, S.; Pascale, M.; Longobardi, F.; Catucci, L.; Porricelli, A.C.R.; Lippolis, V. Rapid screening of ochratoxin A in wheat by infrared spectroscopy. Food Chem. 2019, 282, 95–100. [Google Scholar] [CrossRef]
- Zou, X.; Zhao, J.; Povey, M.J.W.; Holmes, M.; Mao, H. Variables selection methods in near-infrared spectroscopy. Anal. Chim. Acta 2010, 667, 14–32. [Google Scholar]
- Yun, Y.-H.; Li, H.-D.; Deng, B.-C.; Cao, D.-S. An overview of variable selection methods in multivariate analysis of near-infrared spectra. TRAC-Trends Anal. Chem. 2019, 113, 102–115. [Google Scholar] [CrossRef]
- Kamilaris, A.; Prenafeta-Boldu, F.X. Deep learning in agriculture: A survey. Comput. Electron. Agric. 2018, 147, 70–90. [Google Scholar] [CrossRef] [Green Version]
- Young, T.; Hazarika, D.; Poria, S.; Cambria, E. Recent trends in deep learning based natural language processing. IEEE Comput. Intell. Mag. 2018, 13, 55–75. [Google Scholar] [CrossRef]
- Zhou, L.; Zhang, C.; Liu, F.; Qiu, Z.; He, Y. Application of deep learning in food: A review. Compr. Rev. Food Sci. Food Saf. 2019, 18, 1793–1811. [Google Scholar] [CrossRef] [Green Version]
- Zhang, X.; Lin, T.; Xu, J.; Luo, X.; Ying, Y. DeepSpectra: An end-to-end deep learning approach for quantitative spectral analysis. Anal. Chim. Acta 2019, 1058, 48–57. [Google Scholar] [CrossRef] [PubMed]
- Xu, L.; Cai, F.; Hu, Y.; Lin, Z.; Liu, Q. Using deep learning algorithms to perform accurate spectral classification. Optik 2021, 231, 166423. [Google Scholar] [CrossRef]
- Chen, C.; Yang, B.; Si, R.; Chen, C.; Chen, F.; Gao, R.; Li, Y.; Tang, J.; Lv, X. Fast detection of cumin and fennel using NIR spectroscopy combined with deep learning algorithms. Optik 2021, 242, 167080. [Google Scholar] [CrossRef]
- Yang, J.; Wang, X.; Wang, R.; Wang, H. Combination of Convolutional Neural Networks and Recurrent Neural Networks for predicting soil properties using Vis-NIR spectroscopy. Geoderma 2020, 380, 114616. [Google Scholar] [CrossRef]
- Zhu, H.F.; Yang, L.H.; Gao, J.Y.; Gao, M.; Han, Z.Z. Quantitative detection of Aflatoxin B1 by subpixel CNN regression. Spectrochim. Acta Part A-Mol. Biomol. Spectrosc. 2022, 268, 120633. [Google Scholar] [CrossRef] [PubMed]
- Yang, D.; Yuan, J.H.; Chang, Q.; Zhao, H.Y.; Cao, Y. Early determination of mildew status in storage maize kernels using hyperspectral imaging combined with the stacked sparse auto-encoder algorithm. Infrared Phys. Technol. 2020, 109, 103412. [Google Scholar] [CrossRef]
- Han, Z.Z.; Gao, J.Y. Pixel-level aflatoxin detecting based on deep learning and hyperspectral imaging. Comput. Electron. Agric. 2019, 164, 104888. [Google Scholar] [CrossRef]
- Zhang, X.; Yang, J.; Lin, T.; Ying, Y. Food and agro-product quality evaluation based on spectroscopy and deep learning: A review. Trends Food Sci. Technol. 2021, 112, 431–441. [Google Scholar] [CrossRef]
- Mishra, P.; Passos, D. A synergistic use of chemometrics and deep learning improved the predictive performance of near-infrared spectroscopy models for dry matter prediction in mango fruit. Chemom. Intell. Lab. Syst. 2021, 212, 104287. [Google Scholar] [CrossRef]
- Ba Tuan, L. Application of deep learning and near infrared spectroscopy in cereal analysis. Vib. Spectrosc. 2020, 106, 103009. [Google Scholar]
- Wang, X.; Wang, K.; Lian, S. A survey on face data augmentation for the training of deep neural networks. Neural Comput. Appl. 2020, 32, 15503–15531. [Google Scholar] [CrossRef] [Green Version]
- Jiang, J.-R.; Yen, C.-T. Product quality prediction for wire electrical discharge machining with Markov transition fields and convolutional long short-term memory neural networks. Appl. Sci. 2021, 11, 5922. [Google Scholar] [CrossRef]
- Rere, L.M.R.; Fanany, M.I.; Arymurthy, A.M. Metaheuristic algorithms for convolution neural network. Comput. Intell. Neurosci. 2016, 2016, 1537325. [Google Scholar] [CrossRef] [PubMed] [Green Version]
- Debus, B.; Parastar, H.; Harrington, P.; Kirsanov, D. Deep learning in analytical chemistry. TRAC-Trends Anal. Chem. 2021, 145, 116459. [Google Scholar] [CrossRef]
- Acquarelli, J.; van Laarhoven, T.; Gerretzen, J.; Tran, T.N.; Buydens, L.M.C.; Marchiori, E. Convolutional neural networks for vibrational spectroscopic data analysis. Anal. Chim. Acta 2017, 954, 22–31. [Google Scholar] [CrossRef] [Green Version]





| Sample Sets | Sample Number | g·kg−1 | Minimum/g·kg−1 | g·kg−1 | g·kg−1 |
|---|---|---|---|---|---|
| Calibration set | 450 | 63.0195 | 2.6214 | 24.4588 | 20.4806 |
| Prediction set | 150 | 61.9111 | 2.7252 | 24.4746 | 20.3720 |
| Models | Layers | Size | Number | Activation | Output Shape | Parameters |
|---|---|---|---|---|---|---|
| 1D-CNN | Input | (215,1) | - | - | - | - |
| Conv1 | 3×1 | 32 | Relu | (213,32) | 128 | |
| Max pooling | 3×1 | - | - | (71,32) | 0 | |
| Conv2 | 3×1 | 64 | Relu | (69,64) | 6208 | |
| Max pooling | 3×1 | - | - | (23,64) | 0 | |
| Conv3 | 3×1 | 64 | Relu | (21,64) | 12,352 | |
| Max pooling | 3×1 | - | - | (7,64) | 0 | |
| Conv4 | 3×1 | 64 | Relu | (5,64) | 12,352 | |
| Max pooling | 2×1 | - | - | (2,64) | 0 | |
| Flatten | - | - | - | 128 | 0 | |
| Dense | 1 | - | Linear | 1 | 129 | |
| 2D-MTF-CNN | ||||||
| Input | (215,215,1) | |||||
| Conv1 | 11×11 | 6 | Relu | (206,206,6) | 732 | |
| Max pooling | 2×2 | - | - | (103,103,6) | 0 | |
| Conv2 | 11×11 | 32 | Relu | (93,93,32) | 23,264 | |
| Max pooling | 3×3 | - | - | (31,31,32) | 0 | |
| Flatten | - | - | - | 30,752 | 0 | |
| Dense1 | 10 | - | Relu | 10 | 307,530 | |
| Dense2 | 10 | - | Relu | 10 | 110 | |
| Dense3 | 1 | - | Relu | 1 | 11 |
| Models | Input Shape | kg−1 | kg−1 | RPD | ||
|---|---|---|---|---|---|---|
| 1D-CNN | (215,1) | 3.7397 | 0.9637 | 5.5360 | 0.9227 | 3.8101 |
| 2D-MTF-CNN | (215,215,1) | 0.6799 | 0.9989 | 1.3591 | 0.9955 | 14.9386 |
Publisher’s Note: MDPI stays neutral with regard to jurisdictional claims in published maps and institutional affiliations. |
© 2022 by the authors. Licensee MDPI, Basel, Switzerland. This article is an open access article distributed under the terms and conditions of the Creative Commons Attribution (CC BY) license (https://creativecommons.org/licenses/by/4.0/).
Share and Cite
Wang, B.; Deng, J.; Jiang, H. Markov Transition Field Combined with Convolutional Neural Network Improved the Predictive Performance of Near-Infrared Spectroscopy Models for Determination of Aflatoxin B1 in Maize. Foods 2022, 11, 2210. https://doi.org/10.3390/foods11152210
Wang B, Deng J, Jiang H. Markov Transition Field Combined with Convolutional Neural Network Improved the Predictive Performance of Near-Infrared Spectroscopy Models for Determination of Aflatoxin B1 in Maize. Foods. 2022; 11(15):2210. https://doi.org/10.3390/foods11152210
Chicago/Turabian StyleWang, Bo, Jihong Deng, and Hui Jiang. 2022. "Markov Transition Field Combined with Convolutional Neural Network Improved the Predictive Performance of Near-Infrared Spectroscopy Models for Determination of Aflatoxin B1 in Maize" Foods 11, no. 15: 2210. https://doi.org/10.3390/foods11152210
APA StyleWang, B., Deng, J., & Jiang, H. (2022). Markov Transition Field Combined with Convolutional Neural Network Improved the Predictive Performance of Near-Infrared Spectroscopy Models for Determination of Aflatoxin B1 in Maize. Foods, 11(15), 2210. https://doi.org/10.3390/foods11152210

