Evaluation of the Quality Characteristics and Development of a Puffed-Rice Snack Enriched with Honeybee (Apis mellifera L.) Drone Pupae Powder
Abstract
:1. Introduction
2. Materials and Methods
2.1. Materials
2.2. Drone Pupae Preparation and Pre-Treatment for Processing to Powder
2.3. Development of the Puffed-Rice Snack Enriched with Drone Pupae Powder
2.4. Optimization of the Mixing Conditions for Drone Pupae Powder and Honey with Puffed Rice
2.5. Yield
2.6. Color
2.7. Odor Intensity
2.8. pH Value
2.9. Acid Value
2.10. Volatile Basic Nitrogen (VBN)
2.11. Thiobarbituric Acid Reactive Substance (TBARS)
2.12. Sensory Evaluation
2.13. Total Amino-Acid Content
2.14. Fatty-Acid Composition
2.15. Analysis of Nutrition and Minerals
2.16. Heavy Metals
2.17. Microbial Analysis
2.18. Moisture Content
2.19. Statistical Analysis
3. Results and Discussion
3.1. Establishment of Optimal Processing Conditions for Drone Pupae Powder
3.1.1. Sensory Evaluation Results of Drone Pupae Powders Using the Descriptive Test
3.1.2. Yields of Drone Pupae Powders
3.1.3. Instrumental Sensory Characteristic Results of Drone Pupae Powders
3.1.4. Physicochemical Quality Characteristics of Drone Pupae Powders
3.2. Analysis of Microbial Quality Characteristics and Moisture Content of the Optimal Drone Pupae Powder
3.3. The Nutritional Composition Results of the Optimal Drone Pupae Powder
3.3.1. Amino Acids
3.3.2. Fatty Acids
3.3.3. Minerals and Heavy Metals
3.4. Processing Optimization of the Puffed-Rice Snack Product Using Optimal Drone Pupae Powder and Honey by RSM
3.5. Product Quality Characteristics of the Puffed-Rice Snack Enriched with Drone Pupae Powder
3.5.1. Nutrition
3.5.2. Amino-Acid Composition
3.5.3. Fatty-Acid Composition
3.5.4. Minerals and Heavy Metals
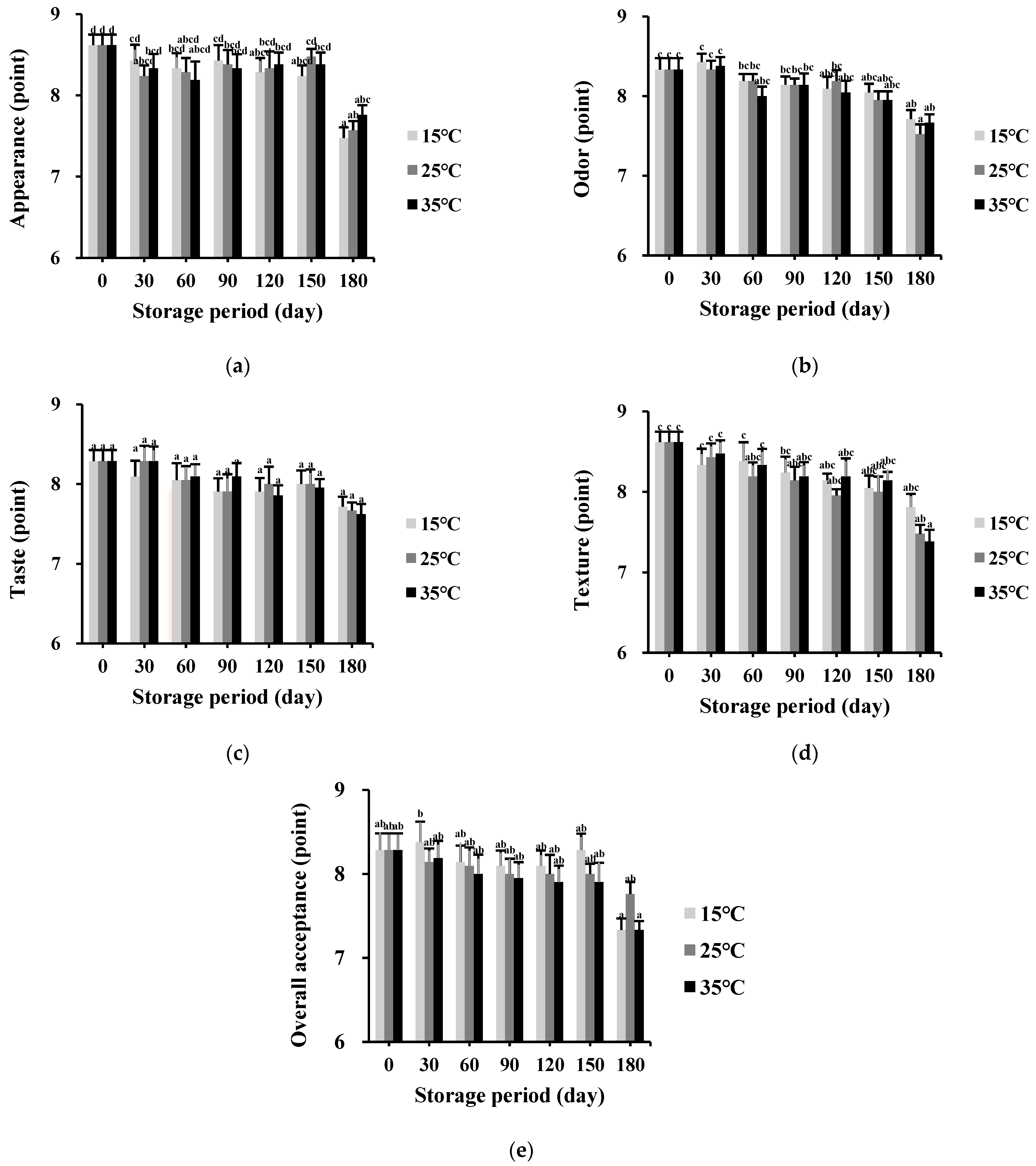
3.6. Effects of Different Storage Conditions on the Quality of the Puffed-Rice Snack Enriched with Drone Pupae Powder
4. Conclusions
Author Contributions
Funding
Institutional Review Board Statement
Data Availability Statement
Acknowledgments
Conflicts of Interest
References
- Choi, J.S. Nutrition, Safety, Health Functional Effects, and Availability of Honeybee (Apis mellifera L.) Drone Pupae. Insects 2021, 12, 771. [Google Scholar] [CrossRef] [PubMed]
- Evans, J.; Müller, A.; Jensen, A.B.; Dahle, B.; Flore, R.; Eilenberg, J.; Frøst, M.B. A descriptive sensory analysis of honeybee drone brood from Denmark and Norway. J. Insects Food Feed. 2016, 2, 277–283. [Google Scholar] [CrossRef]
- Han, S.M.; Moon, H.J.; Woo, S.O.; Bang, K.W.; Kim, S.G.; Kim, H.Y.; Choi, H.M.; Lee, M.Y. Bee Pupa Cookbook Nutritious, Bee Pupa Cooking, 1st ed.; Rural Development Administration: Wanju-gun, Korea, 2019. [Google Scholar]
- Kulma, M.; Tůmová, V.; Fialová, A.; Kouřimská, L. Insect consumption in the Czech Republic: What the eye does not see, the heart does not grieve over. J. Insects Food Feed. 2020, 6, 525–535. [Google Scholar] [CrossRef]
- Wilkinson, K.; Muhlhausler, B.; Motley, C.; Crump, A.; Bray, H.; Ankeny, R. Australian consumers’ awareness and acceptance of insects as food. Insects 2018, 9, 44. [Google Scholar] [CrossRef] [PubMed] [Green Version]
- Winston, M.L. The Biology of the Honey Bee; Harvard University Press: Cambridge, MA, USA, 1991. [Google Scholar]
- Ulmer, M.; Smetana, S.; Heinz, V. Utilizing honeybee drone brood as a protein source for food products: Life cycle assessment of apiculture in Germany. Resour. Conserv. Recy. 2020, 154, 104576. [Google Scholar] [CrossRef]
- Krell, R. Value-Added Products from Beekeeping; Food and Agriculture Organization of the United Nations: Rome, Italy, 1996; Volume 124, pp. 12–28. [Google Scholar]
- Ministry of Food and Drug Safety. Status of Temporary Recognition of Standards and Specifications for Food Ingredients. 44. Honeybee Drone Pupae (Apis mellifera L.). Available online: https://www.foodsafetykorea.go.kr/portal/board/boardDetail.do (accessed on 3 November 2021).
- Ramírez-Rivera, E.J.; Hernández-Santos, B.; Juárez-Barrientos, J.M.; Torruco-Uco, J.G.; Ramírez-Figueroa, E.; Rodríguez-Miranda, J. Effects of formulation and process conditions on chemical composition, color parameters, and acceptability of extruded insect-rich snack. J. Food Processing Preserv. 2021, 45, e15499. [Google Scholar] [CrossRef]
- García-Gutiérrez, N.; Mellado-Carretero, J.; Bengoa, C.; Salvador, A.; Sanz, T.; Wang, J.; Ferrando, M.; Güell, C.; Lamo-Castellví, S.D. ATR-FTIR Spectroscopy Combined with Multivariate Analysis Successfully Discriminates Raw Doughs and Baked 3D-Printed Snacks Enriched with Edible Insect Powder. Foods 2021, 10, 1806. [Google Scholar] [CrossRef]
- Roncolini, A.; Milanović, V.; Aquilanti, L.; Cardinali, F.; Garofalo, C.; Sabbatini, R.; Clementi, F.; Belleggia, L.; Pasquini, M.; Mozzon, M.; et al. Lesser mealworm (Alphitobius diaperinus) powder as a novel baking ingredient for manufacturing high-protein, mineral-dense snacks. Food Res. Int. 2020, 131, 109031. [Google Scholar] [CrossRef]
- Severini, C.; Azzollini, D.; Albenzio, M.; Derossi, A. On printability, quality and nutritional properties of 3D printed cereal based snacks enriched with edible insects. Food Res. Int. 2018, 106, 666–676. [Google Scholar] [CrossRef]
- Gallagher, E. Gluten-Free Food Science and Technology; John Wiley & Sons: Hoboken, NJ, USA, 2009. [Google Scholar]
- We, G.J.; Lee, I.A.; Cho, Y.S.; Yoon, M.R.; Shin, M.S.; Ko, S.H. Development of rice flour-based puffing snack for early childhood. Food Eng. Prog. 2010, 14, 322–327. [Google Scholar]
- Kang, S.M.; Maeng, A.R.; Seong, P.N.; Kim, J.H.; Cho, S.; Kim, Y.; Choi, Y.S. Effect of drone pupa meal added as replacement of sodium nitrite and vitamin C on physico-chemical quality characteristics of emulsion-type sausage. Korean J. Food Nutr. 2018, 31, 802–810. [Google Scholar]
- Kang, S.I.; Kim, K.H.; Lee, J.K.; Kim, Y.J.; Park, S.J.; Kim, M.W.; Choi, B.D.; Kim, D.; Kim, J.S. Comparison of the food quality of freshwater rainbow trout Oncorhynchus mykiss cultured in different regions. Korean J. Fish. Aquat. Sci. 2014, 47, 103–113. [Google Scholar] [CrossRef] [Green Version]
- Ministry of Food and Drug Safety (MFDS). 8th General Analysis Method. Food Code (Sik-Poom-Gong-Jeon); MFDS: Cheongju, Korea, 2021. Available online: https://www.foodsafetykorea.go.kr/foodcode/01_03.jsp?idx=11031 (accessed on 10 November 2021).
- Buege, J.A.; Aust, S.D. MDA levels in plasma and TBARs. Methods Enzym. 1978, 12, 302–310. [Google Scholar]
- ISO1329; Sensory Analysis—Methodology—General Guidance for Establishing a Sensory Profile. International Organization for Standardization: Geneva, Switzerland, 2016.
- AOAC International. International Official Methods of Analysis Official Methods 994.12, 17th ed.; Association of Official Analytical Chemists: Washington, DC, USA, 2000. [Google Scholar]
- Bligh, E.G.; Dyer, W.J. The diet of amphioxus in subtropical Hong Kong as indicated by fatty acid and stable isotopic analyses. Can. J. Biochem. Physiol. 1959, 37, 911–917. [Google Scholar] [CrossRef]
- Official Methods and Recommended Practices of the AOCS. AOCS Official Method Ce 1c-89, 7th ed.; American Oil Chemists’ Society: Urbana, IL, USA, 2006. [Google Scholar]
- American Oil Chemists’ Society. AOCS Official Method Cd 14c-94; American Oil Chemists’ Society: Urbana, IL, USA, 2006. [Google Scholar]
- AOAC International. International Official Methods of Analysis Official Methods 925.09, 923.03, 979.09, 962.09, and 923.05, 17th ed.; Association of Official Analytical Chemists: Washington, DC, USA, 2000. [Google Scholar]
- AOAC International. Method of Analysis–Official methods 990.12. In International Official Methods of Analysis Official Methods, 18th ed.; Association of Official Analytical Chemists: Arlington, VA, USA, 2002. [Google Scholar]
- AOAC International. Method of Analysis–Official methods 991.14. In International Official Methods of Analysis Official Methods, 18th ed.; Association of Official Analytical Chemists: Arlington, VA, USA, 2002. [Google Scholar]
- Lin, C.Y.; Lin, Y.C.; Kuo, H.K.; Hwang, J.J.; Lin, J.L.; Chen, P.C.; Lin, L.Y. Association among acrylamide, blood insulin, and insulin resistance in adults. Diabetes Care 2009, 32, 2206–2211. [Google Scholar] [CrossRef] [Green Version]
- Suderman, D.R.; WIKER, J.; Cunningham, F.E. Factors affecting adhesion of coating to poultry skin: Effects of various protein and gum sources in the coating composition. J. Food Sci. 1981, 46, 1010–1011. [Google Scholar] [CrossRef]
- Hwang, S.Y.; Kim, G.S. A Study on Quality Characteristics of Silkworm (Bombyx mori L.) by various pretreatment methods. Culin. Sci. Hosp. Res. 2020, 26, 149–161. [Google Scholar]
- Pyo, S.J.; Jung, C.E.; Sohn, H.Y. Platelet aggregatory and antidiabetic activities of larvae, pupae, and adult of honeybee drone (Apis mellifera). J. Apic. 2020, 35, 41–48. [Google Scholar]
- Andrikopoulos, N.K.; Dedoussis, G.V.; Falirea, A.; Kalogeropoulos, N.; Hatzinikola, H.S. Deterioration of natural antioxidant species of vegetable edible oils during the domestic deep-frying and pan-frying of potatoes. Int. J. Food Sci. Nutr. 2002, 53, 351–363. [Google Scholar] [CrossRef]
- Guillen-Sans, R.; Guzman-Chozas, M. The thiobarbituric acid (TBA) reaction in foods: A review. Crit. Rev. Food Sci. Nutr. 1998, 38, 315–350. [Google Scholar] [CrossRef]
- Koh, H.Y.; Kowon, Y.J. Effect of storage temperature and humidity on water absorption and rancidity of peanuts. J. Korean Soc. Food Nutr. 1989, 18, 216–222. [Google Scholar]
- AL-KAHTANI, H.A.; ABU-TARBOUSH, H.M.; BAJABER, A.S.; ATIA, M.; ABOU-ARAB, A.A.; EL-MOJADDIDI, M.A. Chemical changes after irradiation and post-irradiation storage in tilapia and Spanish mackerel. J. Food Sci. 1996, 61, 729–733. [Google Scholar] [CrossRef]
- Santos, M.S. Biogenic amines: Their importance in foods. Int. J. Food Microbiol. 1996, 29, 213–231. [Google Scholar] [CrossRef]
- Jin, S.K.; Kim, I.S.; Hah, K.H.; Hur, S.J.; Lyou, H.J.; Park, K.H.; Bae, D.S. Changes of qualities in aerobic packed ripening pork using a Korea traditional seasoning during storage. J. Anim. Sci. Technol. 2005, 47, 73–82. [Google Scholar]
- Kim, J.E.; Kim, S.G.; Kang, S.J.; Kim, Y.H. Physicochemical Properties of the Bee Pupa and Main Pollen, Symposium for the Development of the Beekeeping Industry, Korea, 20–21 October 2016; The Apicultural Society of Korea: Suwonsi, Korea, 2016; p. 142. [Google Scholar]
- Kim, J.E.; Kim, D.I.; Koo, H.Y.; Kim, H.J.; Kim, S.Y.; Lee, Y.B.; Kim, J.S.; Kim, H.H.; Moon, J.H.; Choi, Y.S. Analysis of Nutritional Compounds and Antioxidant Effect of Freeze-Dried powder of the Honey Bee (Apis mellifera L.) Drone (Pupal stage). Korean J. Appl. Entomol. 2020, 59, 265–275. [Google Scholar]
- Ghosh, S.; Sohn, H.Y.; Pyo, S.J.; Jensen, A.B.; Meyer-Rochow, V.B.; Jung, C. Nutritional composition of Apis mellifera drones from Korea and Denmark as a potential sustainable alternative food source: Comparison between developmental stages. Foods 2020, 9, 389. [Google Scholar] [CrossRef] [Green Version]
- Ghosh, S.; Jung, C.; Meyer-Rochow, V.B. Nutritional value and chemical composition of larvae, pupae, and adults of worker honey bee, Apis mellifera ligustica as a sustainable food source. J. Asia-Pac. Entomol. 2016, 19, 487–495. [Google Scholar] [CrossRef]
- Lee, J.S.; Cho, S.Y.; Choi, S.G. Application of Soybean Oil in the Food Industry, Food Industry and Nutrition, Korea, December 1996, Busan; The Korean Society of Food Science and Nutrition: Daejeon, Korea, 1996; pp. 27–36. [Google Scholar]
- Recommended Intakes of Macronutrients (Nordic Nutrition Recommendations 2012). Available online: http://norden.diva-portal.org/smash/get/diva2:704251/FULLTEXT01.pdf (accessed on 6 November 2021).
- Kim, S.G.; Woo, S.O.; Bang, K.W.; Jang, H.R.; Han, S.M. Chemical composition of drone pupa of Apis mellifera and its nutritional evaluation. Korean J. Apic. 2018, 33, 17–23. [Google Scholar]
- Aparna, A.R.; Rajalakshmi, D. Honey—its characteristics, sensory aspects, and applications. Food Rev. Int. 1999, 15, 455–471. [Google Scholar] [CrossRef]
- Jensen, A.B.; Evans, J.; Jonas-Levi, A.; Benjamin, O.; Martinez, I.; Dahle, B.; Roos, N.; Lecocq, A.; Foley, K. Standard methods for Apis mellifera brood as human food. J. Apic. Res. 2019, 58, 1–28. [Google Scholar] [CrossRef] [Green Version]
- Biró, B.; Sipos, M.A.; Kovács, A.; Badak-Kerti, K.; Pásztor-Huszár, K.; Gere, A. Cricket-Enriched Oat Biscuit: Technological Analysis and Sensory Evaluation. Foods 2020, 9, 1561. [Google Scholar] [CrossRef] [PubMed]
- Monthly Agricultural Technology (Nongsaro Agricultural Technology Portal in Rural Development Administration). Available online: http://www.nongsaro.go.kr/portal/ps/psv/psvr/psvre/curationDtl.ps?menuId=PS03352&srchCurationNo=1689&totalSearchYn=Y (accessed on 6 November 2021).
- Choi, E.S.; Gil, B.I. Effects of Thermooxidation of Soybean Oil in Association with Fried Foods on Quantity Food Production. J. East Asian Soc. Diet. Life 2011, 21, 723–730. [Google Scholar]
- Ney, D.M. Potential for enhancing the nutritional properties of milk fat. J. Dairy Sci. 1991, 74, 4002–4012. [Google Scholar] [CrossRef]
- Hernandez, E.; Hosokawa, M. (Eds.) Omega-3 Oils: Applications in Functional Foods; Elsevier: Amsterdam, The Netherlands, 2015. [Google Scholar]
- Gunaratne, T.M.; Gunaratne, N.M.; Navaratne, S.B. Selection of best packaging method to extend the shelf life of rice crackers. Int. J. Sci. Eng. Res. 2015, 6, 638–645. [Google Scholar]
- Son, Y.J.; Ahn, W.; Kim, S.H.; Park, H.N.; Choi, S.Y.; Lee, D.G.; Kim, A.N.; Hwang, I.K. Study on the oxidative and microbial stabilities of four edible insects during cold storage after sacrificing with blanching methods. Korean J. Food Nutr. 2016, 29, 849–859. [Google Scholar] [CrossRef] [Green Version]







| Independent Variables | Symbol | Unit | Range Level | ||||
|---|---|---|---|---|---|---|---|
| −1.414 | −1 | 0 | +1 | +1.414 | |||
| Drone pupae powder | X1 | % | 2.172 | 3.0 | 5.0 | 7.0 | 7.828 |
| Honey | X2 | % | 0.586 | 1.0 | 2.0 | 3.0 | 4.414 |
| Sensory Quality | Descriptive Terms | Definition | Standard and Scores |
|---|---|---|---|
| Appearance | Darkness color | Low illumination and absorbs light, such as black and brown. | White sugar = 0, Grey oyster mushroom = 4, Black sesame = 10 |
| Brownness color | Orange of low brightness and saturation. | Curry powder = 3, Chocolate = 6, Americano coffee = 10 | |
| Aroma | Nutty aroma | Containing, smelling of, or similar to nuts. | Water = 0, Cheese powder = 6, Parched cereal powder = 8, Sesame oil = 10 |
| Taste | Sweetness taste 1 | Perceived when eating foods rich in sugars | Whipped cream = 5, Chocolate = 8, Honey = 10 |
| Burnt taste | Overwhelmingly bitter and unpleasantly overshadowed by acridness. | Water = 0, Grilled meat surface = 5, Over extracted-espresso = 10 | |
| Bitter taste | Sharp, pungent, or disagreeable flavor. | Lettuce = 3, Grapefruit = 7, Ginseng = 10 | |
| Texture | Sticky texture | Tending to hold like glue. | Tofu (okara) powder = 5, Ketchup = 7, Caramel = 10 |
| Rough texture | Uneven surface and not smooth. | Flour = 1, White sugar = 6, Bread crumbs = 10 |
| Descriptive Terms | UHD 1 | SHD 2 | DHD 3 | UFD 4 | SFD 5 | DFD 6 |
|---|---|---|---|---|---|---|
| Darkness color | 6.25 ± 0.46 b | 5.75 ± 0.46 b | 7.38 ± 0.74 a | 2.75 ± 0.46 c | 3.00 ± 0.76 c | 8.00 ± 0.76 a |
| Brownness color | 5.63 ± 0.74 b | 3.50 ± 0.53 c | 8.88 ± 0.64 a | 1.50 ± 0.74 d | 2.38 ± 0.52 d | 8.13 ± 0.99 a |
| Nutty aroma | 6.13 ± 0.64 b | 6.25 ± 0.46 b | 7.38 ± 0.52 a | 4.75 ± 0.89 c | 5.63 ± 0.52 bc | 8.00 ± 0.76 a |
| Burnt taste | 2.63 ± 0.92 b | 3.88 ± 0.35 a | 4.50 ± 0.76 a | 2.13 ± 0.35 b | 2.38 ± 0.52 b | 4.50 ± 0.76 a |
| Bitter taste | 2.13 ± 0.64 b | 2.00 ± 0.93 b | 2.63 ± 0.92 b | 4.38 ± 0.74 a | 4.25 ± 0.71 a | 2.63 ± 0.52 b |
| Sticky texture | 2.63 ± 0.52 c | 2.75 ± 0.71 c | 6.25 ± 0.89 a | 1.25 ± 0.46 d | 1.13 ± 0.35 d | 5.13 ± 0.64 b |
| Rough texture | 2.50 ± 0.53 b | 2.63 ± 0.92 b | 5.25 ± 0.71 a | 2.75 ± 1.04 b | 3.63 ± 0.52 b | 6.00 ± 0.76 a |
| Powders | Control Drone Pupae (Frozen) | UHD | SHD | DHD | UFD | SFD | DFD |
|---|---|---|---|---|---|---|---|
| Weight (g) | 700 | 156 ± 2.65 d | 150 ± 3.61 d | 206 ± 2.65 b | 172 ± 2.00 c | 167 ± 1.00 c | 222 ± 2.65 a |
| Yield (w/w %) | - | 22.29 ± 0.38 d | 21.43 ± 0.52 d | 29.43 ± 0.38 b | 24.57 ± 0.29 c | 23.86 ± 0.14 c | 31.71 ± 0.38 a |
| Powders | Color | Odor Intensity (VCI) | |||
|---|---|---|---|---|---|
| L | a | b | ΔE | ||
| Control drone pupae | 56.84 ± 0.67 a | 3.31 ± 0.11 e | 25.55 ± 0.45 a | 32.92 ± 0.73 a | 349.67 ± 2.5 d |
| UHD | 27.36 ± 0.22 d | 8.83 ± 0.08 a | 19.37 ± 0.10 b | 17.76 ± 0.12 c | 382.33 ± 1.53 b |
| SHD | 26.42 ± 0.09 e | 7.16 ± 0.02 c | 17.63 ± 0.04 c | 16.33 ± 0.04 e | 365.67 ± 1.53 c |
| DHD | 15.09 ± 0.05 g | 8.21 ± 0.06 b | 12.03 ± 0.06 e | 12.91 ± 0.03 g | 376.00 ± 2.00 bc |
| UFD | 41.28 ± 0.03 b | 2.26 ± 0.01 g | 12.02 ± 0.01 e | 21.87 ± 0.02 b | 453.67 ± 3.06 a |
| SFD | 33.62 ± 0.02 c | 2.96 ± 0.02 f | 12.88 ± 0.02 d | 16.90 ± 0.01 d | 336.00 ± 8.72 e |
| DFD | 21.07 ± 0.07 f | 5.82 ± 0.04 d | 11.41 ± 0.04 f | 13.19 ± 0.14 f | 302.67 ± 0.58 f |
| Samples | Total Bacteria Count (Log CFU/g) | E. coli and (CFU/g) | Total Coliform Group (CFU/g) | Moisture Content (w/w % Wet Basis) |
|---|---|---|---|---|
| Control drone pupae | 2.56 ± 0.29 a | - | - | 51.9 ± 0.10 a |
| Drone pupae powder (DHD) | 2.30 ± 0.01 a | - | - | 4.54 ± 0.02 b |
| Amino Acids | The Experimental Sample (g/100 g) | Recommended Daily Requirement | |||
|---|---|---|---|---|---|
| Amount | % WHO | % MOHW | WHO 1 (g/70 kg Body Weight) | MOHW 2 (g of 19–29 Ages/Male) | |
| Histidine | 0.92 | 87.6 | 92.0 | 1.05 | 1.0 |
| Isoleucine | 1.86 | 88.6 | 143.1 | 2.10 | 1.3 |
| Leucine | 2.89 | 70.0 | 96.3 | 4.13 | 3.0 |
| Lysine | 2.19 | 69.5 | 73.0 | 3.15 | 3.0 |
| SAA 3 | 1.04 | 67.5 | 80.0 | 1.54 | 1.3 |
| AAA 4 | 3.08 | 115.8 | 110.0 | 2.66 | 2.8 |
| Threonine | 1.28 | 79.5 | 91.4 | 1.61 | 1.4 |
| Tryptophan | 0.25 | 6.0 | 83.3 | 4.20 | 0.3 |
| Valine | 2.14 | 78.4 | 164.6 | 2.73 | 1.3 |
| ∑ EAA 5 | 15.65 | 67.5 | 101.6 | 23.17 | 15.4 |
| Aspartate | 3.40 | ||||
| Serine | 1.18 | ||||
| Glutamic | 5.43 | ||||
| Proline | 2.20 | ||||
| Glycine | 2.06 | ||||
| Alanine | 2.08 | ||||
| Arginine | 1.72 | ||||
| ∑ NAA 6 | 18.07 | ||||
| Fatty Acids | The Experimental Sample | Ghosh et al. [41] | Kim et al. [39] |
|---|---|---|---|
| Deep Fried and Hot Air-Dried | Oven-Dried | Freeze-Dried (−70~85 °C, 72 h) | |
| 20 Days Old | 21 Days within | 16–20 Days Old | |
| Caprylic acid | 0.02 | - | - |
| Capric acid | 0.01 | - | - |
| Lauric acid | 0.09 | 0.4 | 0.64 |
| Myristic acid | 1.21 | 2.9 | 4.64 |
| Pentadecanoic acid | 0.03 | - | - |
| Palmitic acid | 24.22 | 35.1 | 35.49 |
| Magaric acid | 0.05 | - | - |
| Stearic acid | 6.79 | 12.6 | 14.46 |
| Arachidic acid | 0.21 | - | 0.74 |
| Heneicosylic acid | - | - | - |
| Behenic acid | - | - | 0.22 |
| Tricosanoic acid | - | - | 2.17 |
| Lignoceric acid | 0.02 | - | 1.26 |
| ∑ SFA | 32.65 | 51.1 | 59.62 |
| Myristoleic acid | 0.02 | - | - |
| Pentadecenoic acid | - | - | - |
| Palmitoleic acid | 0.35 | 0.6 | 1.13 |
| Magaoleic acid | 0.05 | - | |
| Oleic acid | 32.19 | 47.6 | 35.91 |
| Eicosenoic acid | 0.09 | 0.8 | 0.17 |
| Eicosadienoic acid | 0.01 | - | - |
| Erucic acid | 0.01 | - | - |
| ∑ MUFA | 32.72 | 48.9 | 37.20 |
| Linoleic acid | 31.14 | - | 1.14 |
| γ-Linolenic acid | - | - | - |
| Dihomo γ-Linolenic acid | 0.02 | - | - |
| Arachidonic acid | 0.04 | - | - |
| Docosadienoic acid | - | - | - |
| ∑ n-6 | 31.2 | - | 1.14 |
| Linolenic acid | 3.34 | - | 2.04 |
| Eicosatrienoic acid | - | - | - |
| Eicosapentaenoic acid | 0.08 | - | - |
| Docosapentaenoic acid | - | - | - |
| Docosahexaenoic acid | - | - | - |
| ∑ n-3 | 3.42 | - | 2.04 |
| ∑ PUFA | 34.62 | - | 3.18 |
| ∑ UFA | 67.34 | 48.9 | 40.38 |
| Total fatty acid (%) | 100.0 | 100.0 | 100.0 |
| Minerals and Heavy Metals | Unit | Result | Amount % and Recommendations | Remark | |||
|---|---|---|---|---|---|---|---|
| % | MFDS | % | International | ||||
| Sodium | mg/100 g | 41.90 | 2.1 | <2000 1 | 1.8 | <2300 2 | Following the standard of nutrition facts |
| Calcium | g/100 g | 0.03 | 4.3 | >0.7 1 | 2.3 | >1.3 2 | |
| Potassium | g/100 g | 1.04 | 29.4 | >3.5 1 | 22.1 | >4.7 2 | |
| Iron | mg/100 g | 5 | 41.67 | >12 1 | 62.5 | >8 2 | |
| Phosphorus | g/100 g | 0.57 | 81.4 | >0.7 3 | 81.4 | >0.7 4 | Following the standard of minerals |
| Magnesium | g/100 g | 0.07 | 19.4 | >0.36 3 | 16.7 | >0.42 4 | |
| Zinc | mg/100 g | 4.44 | 44.4 | >10 3 | 40.4 | >11 4 | |
| Copper | mg/100 g | 1.19 | 12.5 | <9.5 3 | 11.9 | <10 4 | |
| Lead | mg/kg | 0.01 | 10 | <0.1 5 | 10 | <0.1 6 | Following the standard of heavy metals |
| Cadmium | mg/kg | 0.01 | 10 | <0.1 5 | 20 | <0.05 7 | |
| Mercury | mg/kg | <0.01 | - | - | <2 | <0.5 8 | |
| Arsenic | mg/kg | 0.01 | 10 | <0.1 5 | 10 | <0.1 6 | |
| Run No. | Coded Values | Actual Values | Responses | |||
|---|---|---|---|---|---|---|
| X1 | X2 | Drone Pupae Powder (X1) | Honey (X2) | Nutty Aroma (Y1) | Sweetness Taste (Y2) | |
| 1 | −1 | −1 | 3 | 1 | 8.00 | 7.88 |
| 2 | +1 | −1 | 7 | 1 | 9.13 | 7.13 |
| 3 | −1 | +1 | 3 | 3 | 6.13 | 8.50 |
| 4 | +1 | +1 | 7 | 3 | 7.13 | 8.25 |
| 5 | −1.414 | 0 | 2.17 | 2 | 7.00 | 8.38 |
| 6 | +1.414 | 0 | 7.83 | 2 | 8.25 | 7.38 |
| 7 | 0 | −1.414 | 5 | 0.59 | 8.00 | 6.50 |
| 8 | 0 | +1.414 | 5 | 4.41 | 7.13 | 8.50 |
| 9 | 0 | 0 | 5 | 2 | 8.13 | 8.00 |
| 10 | 0 | 0 | 5 | 2 | 7.88 | 8.13 |
| 11 | 0 | 0 | 5 | 2 | 7.88 | 7.88 |
| Responses | R2 | Lack of Fit (>0.05) | p-Values (<0.05) | |||
|---|---|---|---|---|---|---|
| Model | Linear (X1, X2) | Quadratic (X1X1, X2X2) | Interaction (X1X2) | |||
| Y1 (nutty aroma) | 0.854 | 0.087 | >0.011 | 0.004, 0.013 | >0.526, 0.821 | - |
| Y2 (sweetness taste) | 0.902 | 0.155 | >0.001 | 0.015, 0.001 | >0.970, 0.165 | - |
| Responses | Optimal Conditions | Predicted Values | Experimental Values | Desirability | |
|---|---|---|---|---|---|
| X1 (%) | X2 (%) | ||||
| Y1 (nutty aroma) | +0.271 (5.54%) | +0.129 (2.13%) | 7.992 | 8.19 ± 0.40 | 0.9714 |
| Y2 (sweetness taste) | 7.997 | 8.43 ± 0.51 | 0.9183 | ||
| Items | The puffed Rice Snack | Daily Values | ||||||
|---|---|---|---|---|---|---|---|---|
| Control | Enriched with Drone Pupae Powder | |||||||
| Amount | % FDA | % MFDS | Amount | % FDA | % MFDS | FDA 1 | MFDS 2 | |
| Calories (cal) | 375.14 | - | - | 389.9 | - | - | - | - |
| Sodium (mg) | 15.22 | 0.7 | 0.8 | 12.87 | 0.6 | 0.6 | <2300 | <2000 |
| Carbohydrate (g) | 89.04 | 32.4 | 27.5 | 82.65 | 30.1 | 25.5 | >275 | >324 |
| Sugar (g) | 44.28 | 88.6 | 44.3 | 38.18 | 76.4 | 38.2 | <50 | <100 |
| Dietary fiber (g) | 1.33 | 4.8 | 5.3 | 1.44 | 5.1 | 5.8 | >28 | >25 |
| Crude fat (g) | 1.06 | 1.4 | 2.0 | 4.60 | 5.9 | 8.5 | <78 | <54 |
| Trans fat (g) | - | - | - | - | - | - | <2 | - |
| Saturated fat (g) | 0.34 | 1.7 | 2.3 | 1.44 | 7.2 | 9.6 | <20 | <15 |
| Cholesterol (mg) | - | - | - | 17.16 | 5.7 | 5.7 | <300 | <300 |
| Crude protein (g) | 2.36 | 4.7 | 4.3 | 4.45 | 8.9 | 8.1 | >50 | >55 |
| Vitamin D (μg) | - | - | - | - | - | - | >20 | >10 |
| Potassium (g) | 0.04 | 0.9 | 1.1 | 0.10 | 2.1 | 2.9 | >4.7 | >3.5 |
| Iron (mg) | 8.54 | 47.4 | 71.2 | 8.97 | 49.8 | 74.8 | >18 | >12 |
| Calcium (g) | 0.02 | 1.5 | 2.9 | 0.01 | 0.8 | 1.4 | >1.3 | >0.7 |
| Amino Acids | The Puffed Rice Snack (g/100 g) | |||||
|---|---|---|---|---|---|---|
| Control | Enriched with Drone Pupae Powder | |||||
| Amount | % WHO | % MOHW | Amount | % WHO | % MOHW | |
| Histidine | 0.06 | 5.7 | 6.0 | 0.10 | 9.5 | 10.0 |
| Isoleucine | 0.08 | 3.8 | 6.2 | 0.19 | 9.0 | 14.6 |
| Leucine | 0.20 | 4.8 | 6.7 | 0.35 | 8.5 | 11.7 |
| Lysine | 0.07 | 2.2 | 2.3 | 0.16 | 5.1 | 5.3 |
| SAA | 0.11 | 7.1 | 8.5 | 0.15 | 9.7 | 11.5 |
| AAA | 0.22 | 8.3 | 7.9 | 0.39 | 14.7 | 13.9 |
| Threonine | 0.09 | 5.6 | 6.4 | 0.16 | 9.9 | 11.4 |
| Tryptophan | 0.02 | 0.5 | 6.7 | 0.03 | 0.7 | 10.0 |
| Valine | 0.12 | 4.4 | 9.2 | 0.25 | 9.2 | 19.2 |
| ∑ EAA | 0.97 | 4.2 | 6.3 | 1.78 | 7.7 | 11.6 |
| Aspartate | 0.22 | 0.40 | ||||
| Serine | 0.14 | 0.21 | ||||
| Glutamic | 0.47 | 0.75 | ||||
| Proline | 0.14 | 0.25 | ||||
| Glycine | 0.11 | 0.22 | ||||
| Alanine | 0.15 | 0.26 | ||||
| Arginine | 0.19 | 0.28 | ||||
| ∑ NAA | 1.42 | 2.37 | ||||
| Fatty Acids | Shorthand | The Puffed Rice Snack | |
|---|---|---|---|
| % Control | % Enriched with Drone Pupae Powder | ||
| Caprylic acid | C8:0 | 0.15 | 0.03 |
| Capric acid | C10:0 | 0.08 | 0.01 |
| Lauric acid | C12:0 | 0.25 | 0.10 |
| Myristic acid | C14:0 | 1.14 | 1.15 |
| Pentadecanoic acid | C15:0 | 0.18 | 0.02 |
| Palmitic acid | C16:0 | 26.92 | 23.24 |
| Magaric acid | C17:0 | 0.17 | 0.09 |
| Stearic acid | C18:0 | 2.97 | 6.47 |
| Arachidic acid | C20:0 | 0.22 | 0.28 |
| Heneicosylic acid | C21:0 | - | - |
| Behenic acid | C22:0 | - | - |
| Lignoceric acid | C24:0 | 0.07 | 0.04 |
| ∑ SFA | 32.15 | 31.43 | |
| Myristoleic acid | C14:1 | 0.06 | 0.02 |
| Pentadecenoic acid | C15:1 | 0.05 | 0.01 |
| Palmitoleic acid | C16:1 | 0.43 | 0.35 |
| Magaoleic acid | C17:1 | 0.09 | 0.03 |
| Oleic acid | C18:1 | 31.10 | 35.01 |
| Eicosenoic acid | C20:1 | 0.15 | 0.14 |
| Eicosadienoic acid | C20:2 | - | 0.02 |
| Erucic acid | C22:1 | 0.09 | 0.02 |
| ∑ MUFA | 31.97 | 35.6 | |
| Linoleic acid | C18:2 n-6 | 34.29 | 29.69 |
| γ-Linolenic acid | C18:3 n-6 | 0.03 | 0.01 |
| Dihomo γ-Linolenic acid | C20:3 n-6 | - | 0.03 |
| Arachidonic acid | C20:4 n-6 | - | 0.03 |
| ∑ n-6 | 34.32 | 29.76 | |
| Linolenic acid | C18:3 n-3 | 1.39 | 3.05 |
| Eicosatrienoic acid | C20:3 n-3 | - | - |
| Eicosapentaenoic acid (EPA) | C20:5 n-3 | 0.10 | 0.13 |
| Docosapentaenoic acid (DPA) | C22:5 n-3 | - | - |
| Docosahexaenoic acid (DHA) | C22:6 n-3 | 0.05 | 0.03 |
| ∑ n-3 | 1.54 | 3.21 | |
| n-3/n-6 (%) | 4.5 | 10.8 | |
| ∑ PUFA | 35.86 | 32.97 | |
| ∑ UFA | 67.83 | 68.57 | |
| Total fatty acid (%) | 100 | 100 | |
| Minerals and Heavy Metals | Unit | The Puffed Rice Snack | |||||
|---|---|---|---|---|---|---|---|
| Control | Enriched with Drone Pupae Powder | ||||||
| Amount | % MFDS | % Int’l | Amount | % MFDS | % Int’l | ||
| Phosphorus | g/100 g | 0.04 | 6.7 | 6.7 | 0.08 | 10.9 | 10.9 |
| Magnesium | g/100 g | 0.01 | 2.7 | 2.3 | 0.02 | 4.1 | 3.5 |
| Zinc | mg/100 g | 1.92 | 19.2 | 17.5 | 1.62 | 16.2 | 14.7 |
| Copper | mg/100 g | 0.23 | 2.4 | 2.3 | 0.35 | 3.7 | 3.5 |
| Lead | mg/kg | 0.01 | 10 | 10 | 0.01 | 10 | 10 |
| Cadmium | mg/kg | 0.01 | 10 | 20 | 0.01 | 10 | 20 |
| Mercury | mg/kg | <0.01 | - | <2 | <0.01 | - | <2 |
| Arsenic | mg/kg | 0.01 | 10 | 10 | 0.01 | 10 | 10 |
| Temperature | Day | Total Bacteria Count (Log CFU/g) | E.coli and Total Coliform Group (CFU/g) |
|---|---|---|---|
| 15 °C | 0 | 1.57 ± 0.09 a | - |
| 30 | 1.29 ± 0.21 a | - | |
| 60 | 1.37 ± 0.15 a | - | |
| 90 | 1.22 ± 0.20 a | - | |
| 120 | 1.39 ± 0.07 a | - | |
| 150 | 1.25 ± 0.10 a | - | |
| 180 | 1.41 ± 0.19 a | - | |
| 25 °C | 0 | 1.57 ± 0.09 a | - |
| 30 | 1.35 ± 0.13 a | - | |
| 60 | 1.22 ± 0.20 a | - | |
| 90 | 1.37 ± 0.05 a | - | |
| 120 | 1.29 ± 0.09 a | - | |
| 150 | 1.10 ± 0.14 a | - | |
| 180 | 1.28 ± 0.14 a | - | |
| 35 °C | 0 | 1.57 ± 0.09 a | - |
| 30 | 1.53 ± 0.10 a | - | |
| 60 | 1.29 ± 0.09 a | - | |
| 90 | 1.16 ± 0.12 a | - | |
| 120 | 1.26 ± 0.20 a | - | |
| 150 | 1.29 ± 0.21 a | - | |
| 180 | 1.10 ± 0.14 a | - |
Publisher’s Note: MDPI stays neutral with regard to jurisdictional claims in published maps and institutional affiliations. |
© 2022 by the authors. Licensee MDPI, Basel, Switzerland. This article is an open access article distributed under the terms and conditions of the Creative Commons Attribution (CC BY) license (https://creativecommons.org/licenses/by/4.0/).
Share and Cite
Cho, W.-H.; Park, J.-M.; Kim, E.-J.; Mohibbullah, M.; Choi, J.-S. Evaluation of the Quality Characteristics and Development of a Puffed-Rice Snack Enriched with Honeybee (Apis mellifera L.) Drone Pupae Powder. Foods 2022, 11, 1599. https://doi.org/10.3390/foods11111599
Cho W-H, Park J-M, Kim E-J, Mohibbullah M, Choi J-S. Evaluation of the Quality Characteristics and Development of a Puffed-Rice Snack Enriched with Honeybee (Apis mellifera L.) Drone Pupae Powder. Foods. 2022; 11(11):1599. https://doi.org/10.3390/foods11111599
Chicago/Turabian StyleCho, Woo-Hee, Jung-Min Park, Eun-Ji Kim, Md. Mohibbullah, and Jae-Suk Choi. 2022. "Evaluation of the Quality Characteristics and Development of a Puffed-Rice Snack Enriched with Honeybee (Apis mellifera L.) Drone Pupae Powder" Foods 11, no. 11: 1599. https://doi.org/10.3390/foods11111599
APA StyleCho, W.-H., Park, J.-M., Kim, E.-J., Mohibbullah, M., & Choi, J.-S. (2022). Evaluation of the Quality Characteristics and Development of a Puffed-Rice Snack Enriched with Honeybee (Apis mellifera L.) Drone Pupae Powder. Foods, 11(11), 1599. https://doi.org/10.3390/foods11111599

