Variable Retort Temperature Profiles (VRTPs) and Retortable Pouches as Tools to Minimize Furan Formation in Thermally Processed Food
Abstract
:1. Introduction
2. Importance of Furan Presence in Thermal Processed Foods
3. Food Microstructure and Its Contribution to Furan Formation during Thermal Processing
4. Furan Formation in Thermally Processed Baby Food
4.1. Ascorbic Acid
4.2. Lipid and Carotenoids
4.3. Carbohydrates and Amino Acids
4.4. Other Precursors and Intermediates in Furan Formation
5. Kinetic Model Applied to Describe Furan Formation in Food Materials
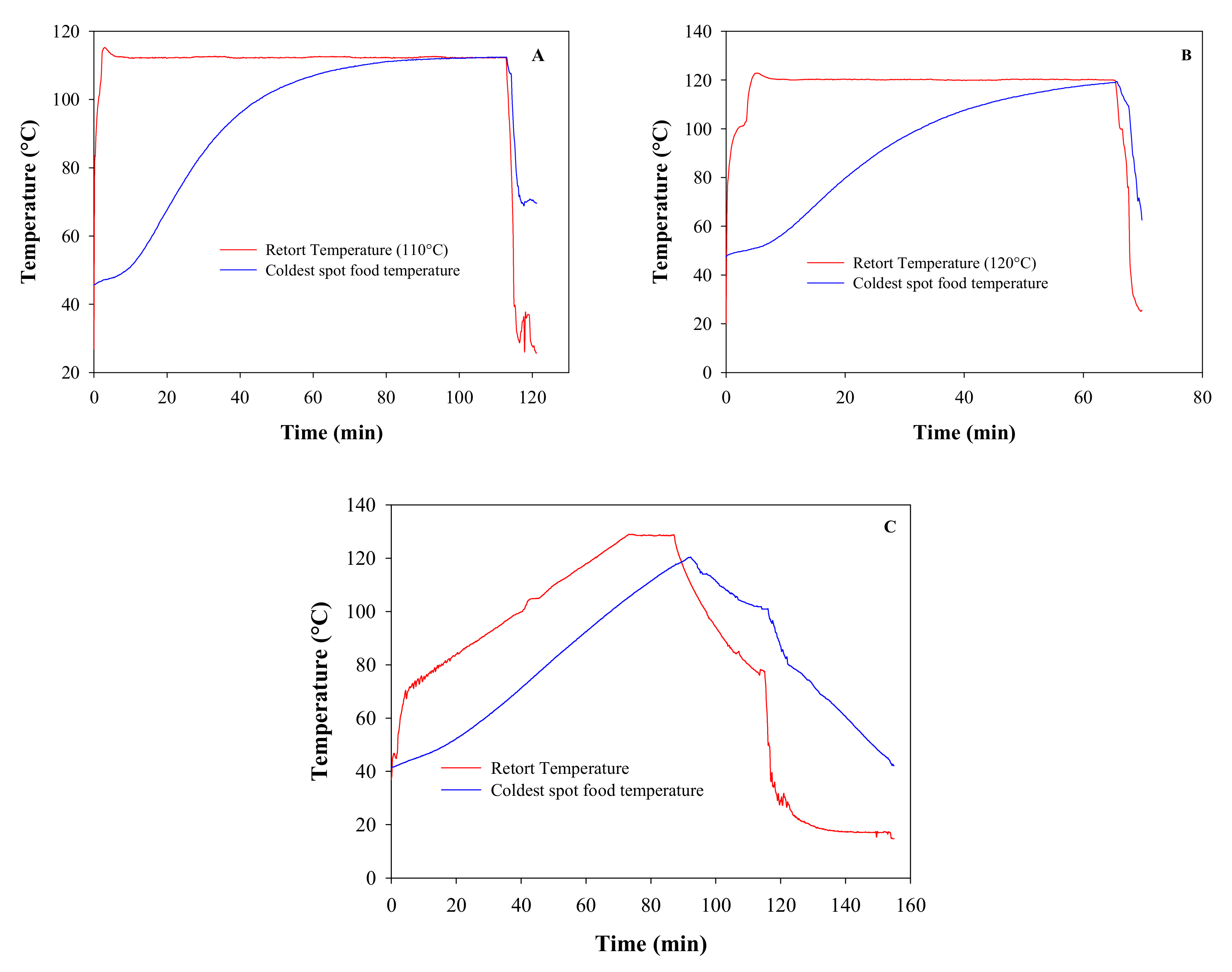
6. Variable Retort Temperature Profiles v/s Constant Retort Temperature Profiles: De-Signing Processes to Delay Precursors Release
7. Package Design to Improve Quality Retention in Processed Food
8. Final Remarks and Conclusions
Author Contributions
Funding
Institutional Review Board Statement
Informed Consent Statement
Acknowledgments
Conflicts of Interest
References
- Holdsworth, S.D.; Simpson, R. Thermal Processing of Packaged Foods, 3rd ed.; Springer: Berlin/Heidelberg, Germany, 2016; ISBN 9783319249025. [Google Scholar]
- Joardder, M.U.H.; Kumar, C.; Karim, M.A. Food structure: Its formation and relationships with other properties. Crit. Rev. Food Sci. Nutr. 2015, 57, 1190–1205. [Google Scholar] [CrossRef] [PubMed]
- Karim, M.A.; Rahman, M.M.; Pham, N.D.; Fawzia, S. 3-Food Microstructure as affected by processing and its effect on quality and stability. In Woodhead Publishing Series in Food Science, Technology and Nutrition; Woodhead Publishing: Sawston, UK, 2018; pp. 43–57. ISBN 978-0-08-100764-8. [Google Scholar]
- Ko, W.-C.; Liu, W.-C.; Tsang, Y.-T.; Hsieh, C.-W. Kinetics of winter mushrooms (Flammulina velutipes) microstructure and quality changes during thermal processing. J. Food Eng. 2007, 81, 587–598. [Google Scholar] [CrossRef]
- Mariotti, M.S.; Granby, K.; Rozowski, J.; Pedreschi, F. Furan: A critical heat induced dietary contaminant. Food Funct. 2013, 4, 1001–1015. [Google Scholar] [CrossRef] [PubMed]
- Parada, J.; Aguilera, J. Food Microstructure Affects the Bioavailability of Several Nutrients. J. Food Sci. 2007, 72, R21–R32. [Google Scholar] [CrossRef]
- Lemmens, L.; Van Buggenhout, S.; Van Loey, A.M.; Hendrickx, M.E. Particle Size Reduction Leading to Cell Wall Rupture Is More Important for the β-Carotene Bioaccessibility of Raw Compared to Thermally Processed Carrots. J. Agric. Food Chem. 2010, 58, 12769–12776. [Google Scholar] [CrossRef]
- Ma, Z.; Boye, J.I.; Simpson, B.K.; Prasher, S.O.; Monpetit, D.; Malcolmson, L. Thermal processing effects on the functional properties and microstructure of lentil, chickpea, and pea flours. Food Res. Int. 2011, 44, 2534–2544. [Google Scholar] [CrossRef]
- Crews, C.; Castle, L. A review of the occurrence, formation and analysis of furan in heat-processed foods. Trends Food Sci. Technol. 2007, 18, 365–372. [Google Scholar] [CrossRef]
- Paciulli, M.; Ganino, T.; Carini, E.; Pellegrini, N.; Pugliese, A.; Chiavaro, E. Effect of different cooking methods on structure and quality of industrially frozen carrots. J. Food Sci. Technol. 2016, 53, 2443–2451. [Google Scholar] [CrossRef] [PubMed] [Green Version]
- Palmers, S.; Grauwet, T.; Celus, M.; Kebede, B.T.; Hendrickx, M.E.; Van Loey, A. Furan formation as a function of pressure, temperature and time conditions in spinach purée. LWT 2015, 64, 565–570. [Google Scholar] [CrossRef] [Green Version]
- Mogol, B.A.; Gökmen, V. Thermal process contaminants: Acrylamide, chloropropanols and furan. Curr. Opin. Food Sci. 2016, 7, 86–92. [Google Scholar] [CrossRef]
- Rychlý, R.; Nývlt, J. Measuring and Calculating Heat of Crystallisation. Cryst. Res. Technol. 1974, 9, 799–810. [Google Scholar] [CrossRef]
- FDA Exploratory Data on Furan in Food: Individual Food Products. Available online: https://www.fda.gov/food/chemicals/exploratory-data-furan-food (accessed on 17 March 2021).
- EFSA Scientific Committee Statement on the applicability of the Margin of Exposure approach for the safety assessment of impurities which are both genotoxic and carcinogenic in substances added to food/feed. EFSA J. 2012, 10, 2578. [CrossRef]
- Knutsen, H.K.; Alexander, J.; Barregård, L.; Bignami, M.; Brüschweiler, B.; Ceccatelli, S.; Cottrill, B.; Dinovi, M.; Edler, L.; Grasl-Kraupp, B.; et al. Risks for public health related to the presence of furan and methylfurans in food. EFSA J. 2017, 15, e05005. [Google Scholar] [CrossRef] [PubMed]
- Arisseto, A.P.; Vicente, E.; Toledo, M.D.F. Determination of furan levels in commercial samples of baby food from Brazil and preliminary risk assessment. Food Addit. Contam. Part A 2010, 27, 1051–1059. [Google Scholar] [CrossRef] [PubMed]
- Chen, C.; Ramaswamy, H. Modeling and Optimization of Constant Retort Temperature (CRT) Thermal Processing Using Coupled Neural Networks and Genetic Algorithms. J. Food Process. Eng. 2002, 25, 351–379. [Google Scholar] [CrossRef]
- Almonacid-Merino, S.F.; Simpson, R.; Torres, J.A. Time-Variable Retort Temperature Profiles for Cylindrical Cans: Batch Process Time, Energy Consumption and Quality Retention Model. J. Food Process. Eng. 1993, 16, 271–287. [Google Scholar] [CrossRef]
- Simpson, R.; Abakarov, A.; Teixeira, A. Variable retort temperature optimization using adaptive random search techniques. Food Control. 2008, 19, 1023–1032. [Google Scholar] [CrossRef]
- Ansorena, M.; Salvadori, V. Optimization of thermal processing of canned mussels. Food Sci. Technol. Int. 2011, 17, 449–458. [Google Scholar] [CrossRef]
- Simpson, R.; Ramirez, C.; Jiménez, D.; Almonacid, S.; Nuñez, H.; Angulo, A. Simultaneous multi-product sterilization: Revisited, explored, and optimized. J. Food Eng. 2019, 241, 149–158. [Google Scholar] [CrossRef]
- Simpson, R.; Jiménez, D.; Almonacid, S.; Nuñez, H.; Pinto, M.; Ramírez, C.; Vega-Castro, O.; Fuentes, L.; Angulo, A. Assessment and outlook of variable retort temperature profiles for the thermal processing of packaged foods: Plant productivity, product quality, and energy consumption. J. Food Eng. 2020, 275, 109839. [Google Scholar] [CrossRef]
- Durance, T.D. Improving canned food quality with variable retort temperature processes. Trends Food Sci. Technol. 1997, 8, 113–118. [Google Scholar] [CrossRef]
- Avila-Gaxiola, E.; Delgado-Vargas, F.; Zazueta-Niebla, J.; López-Angulo, G.; Vega-García, M.; Caro-Corrales, J. Variable Retort Temperature Profiles for Canned Papaya Puree. J. Food Process. Eng. 2015, 39, 11–18. [Google Scholar] [CrossRef]
- Zöller, O.; Sager, F.; Reinhard, H. Furan in food: Headspace method and product survey. Food Addit. Contam. 2007, 24, 91–107. [Google Scholar] [CrossRef] [PubMed]
- FAO/WHO. Safety Evaluation of Certain Contaminants in Food/Prepared by the Seventy-Second Meeting of the Joint FAO/WHO Expert Committe of Food Aditives (JECFA); WHO Food Additives Series; WHO: Geneva, Switzerland, 2011; pp. 487–603. [Google Scholar]
- Scholl, G.; Humblet, M.-F.; Scippo, M.-L.; De Pauw, E.; Eppe, G.; Saegerman, C. Preliminary assessment of the risk linked to furan ingestion by babies consuming only ready-to-eat food. Food Addit. Contam. Part A 2013, 30, 654–659. [Google Scholar] [CrossRef] [PubMed]
- Pugajeva, I.; Rozentale, I.; Viksna, A.; Bartkiene, E.; Bartkevics, V. The application of headspace gas chromatography coupled to tandem quadrupole mass spectrometry for the analysis of furan in baby food samples. Food Chem. 2016, 212, 20–26. [Google Scholar] [CrossRef] [PubMed]
- Condurso, C.; Cincotta, F.; Verzera, A. Determination of furan and furan derivatives in baby food. Food Chem. 2018, 250, 155–161. [Google Scholar] [CrossRef]
- Anese, M.; Suman, M. Mitigation strategies of furan and 5-hydroxymethylfurfural in food. Food Res. Int. 2013, 51, 257–264. [Google Scholar] [CrossRef]
- FAO/WHO. FAO/WHO Summary Report of the 72nd Meeting of the Joint FAO/WHO ExpertCommittee on Food Additives (JECFA); WHO: Geneva, Switzerland, 2010; pp. 1–16. [Google Scholar]
- VKM Report. Risk assessment of furan exposure in the Norwegian population. Nor. Sci. Comm. Food Saf. 2012, 30, 78–79. [Google Scholar]
- Lachenmeier, D.W.; Reusch, H.; Kuballa, T. Risk assessment of furan in commercially jarred baby foods, including insights into its occurrence and formation in freshly home-cooked foods for infants and young children. Food Addit. Contam. Part A 2009, 26, 776–785. [Google Scholar] [CrossRef]
- Mariotti, M.S.; Toledo, C.; Hevia, K.; Gomez, J.P.; Fromberg, A.; Granby, K.; Rosowski, J.; Castillo, O.; Pedreschi, F. Are Chileans exposed to dietary furan? Food Addit. Contam. Part A 2013, 30, 1715–1721. [Google Scholar] [CrossRef] [Green Version]
- Altaki, M.S.; Santos, F.J.; Puignou, L.; Galceran, M.T. Furan in commercial baby foods from the Spanish market: Estimation of daily intake and risk assessment. Food Addit. Contam. Part A 2017, 34, 1–12. [Google Scholar] [CrossRef]
- Roberts, D.; Crews, C.; Grundy, H.; Mills, C.; Matthews, W. Effect of consumer cooking on furan in convenience foods. Food Addit. Contam. Part A 2008, 25, 25–31. [Google Scholar] [CrossRef] [PubMed] [Green Version]
- Kim, T.-K.; Lee, Y.-K.; Park, Y.; Lee, K.-G. Effect of cooking or handling conditions on the furan levels of processed foods. Food Addit. Contam. Part A 2009, 26, 767–775. [Google Scholar] [CrossRef] [PubMed]
- Sirot, V.; Rivière, G.; Leconte, S.; Vin, K.; Traore, T.; Jean, J.; Carne, G.; Gorecki, S.; Veyrand, B.; Marchand, P.; et al. French infant total diet study: Dietary exposure to heat-induced compounds (acrylamide, furan and polycyclic aromatic hydrocarbons) and associated health risks. Food Chem. Toxicol. 2019, 130, 308–316. [Google Scholar] [CrossRef] [PubMed]
- Cilla, A.; Alegria, A.; De Ancos, B.; Sanchez-Moreno, C.; Cano, M.P.; Plaza, L.; Clemente, G.; Lagarda, M.J.; Barberá, R. Bioaccessibility of Tocopherols, Carotenoids, and Ascorbic Acid from Milk- and Soy-Based Fruit Beverages: Influence of Food Matrix and Processing. J. Agric. Food Chem. 2012, 60, 7282–7290. [Google Scholar] [CrossRef]
- Cilla, A.; Bosch, L.; Barberá, R.; Alegría, A. Effect of processing on the bioaccessibility of bioactive compounds–A review focusing on carotenoids, minerals, ascorbic acid, tocopherols and polyphenols. J. Food Compos. Anal. 2018, 68, 3–15. [Google Scholar] [CrossRef]
- Aguilera, J.M. Why food microstructure? J. Food Eng. 2005, 67, 3–11. [Google Scholar] [CrossRef]
- Zhou, L.-Y.; Li, W.; Pan, W.-J.; Sajid, H.; Wang, Y.; Guo, W.-Q.; Cai, Z.-N.; Wang, D.; Yang, W.-W.; Chen, Y. Effects of thermal processing on nutritional characteristics and non-volatile flavor components from Tricholoma lobayense. Emir. J. Food Agric. 2017, 29, 1. [Google Scholar] [CrossRef] [Green Version]
- Akıllıoğlu, H.G.; Bahçeci, K.S.; Gökmen, V. Investigation and kinetic evaluation of furan formation in tomato paste and pulp during heating. Food Res. Int. 2015, 78, 224–230. [Google Scholar] [CrossRef]
- Seok, Y.-J.; Her, J.-Y.; Kim, Y.-G.; Kim, M.Y.; Jeong, S.Y.; Kim, M.K.; Lee, J.-Y.; Kim, C.-I.; Yoon, H.-J.; Lee, K.-G. Furan in Thermally Processed Foods-A Review. Toxicol. Res. 2015, 31, 241–253. [Google Scholar] [CrossRef]
- Shen, M.; Zhang, F.; Hong, T.; Xie, J.; Wang, Y.; Nie, S.; Xie, M. Comparative study of the effects of antioxidants on furan formation during thermal processing in model systems. LWT 2017, 75, 286–292. [Google Scholar] [CrossRef]
- Limacher, A.; Kerler, J.; Conde-Petit, B.; Blank, I. Formation of furan and methylfuran from ascorbic acid in model systems and food. Food Addit. Contam. 2007, 24, 122–135. [Google Scholar] [CrossRef]
- Mogol, B.A.; Gökmen, V. Kinetics of Furan Formation from Ascorbic Acid during Heating under Reducing and Oxidizing Conditions. J. Agric. Food Chem. 2013, 61, 10191–10196. [Google Scholar] [CrossRef]
- Owczarek-Fendor, A.; De Meulenaer, B.; Scholl, G.; Adams, A.; Van Lancker, F.; Yogendrarajah, P.; Uytterhoeven, V.; Eppe, G.; De Pauw, E.; Scippo, M.-L.; et al. Importance of Fat Oxidation in Starch-Based Emulsions in the Generation of the Process Contaminant Furan. J. Agric. Food Chem. 2010, 58, 9579–9586. [Google Scholar] [CrossRef] [PubMed]
- Adams, A.; Bouckaert, C.; Van Lancker, F.; De Meulenaer, B.; De Kimpe, N. Amino Acid Catalysis of 2-Alkylfuran Formation from Lipid Oxidation-Derived α,β-Unsaturated Aldehydes. J. Agric. Food Chem. 2011, 59, 11058–11062. [Google Scholar] [CrossRef] [PubMed]
- Märk, J.; Pollien, P.; Lindinger, C.; Blank, I.; Märk, T. Quantitation of Furan and Methylfuran Formed in Different Precursor Systems by Proton Transfer Reaction Mass Spectrometry. J. Agric. Food Chem. 2006, 54, 2786–2793. [Google Scholar] [CrossRef]
- Becalski, A.; Forsyth, D.; Casey, V.; Lau, B.P.-Y.; Pepper, K.; Seaman, S. Development and validation of a headspace method for determination of furan in food. Food Addit. Contam. 2005, 22, 535–540. [Google Scholar] [CrossRef] [PubMed]
- Shen, M.; Liu, Q.; Jiang, Y.; Nie, S.; Zhang, Y.; Xie, J.; Wang, S.; Zhu, F.; Xie, M. Influences of Operating Parameters on the Formation of Furan During Heating Based on Models of Polyunsaturated Fatty Acids. J. Food Sci. 2015, 80, T1432–T1437. [Google Scholar] [CrossRef]
- Limacher, A.; Kerler, J.; Davidek, T.; Schmalzried, F.; Blank, I. Formation of Furan and Methylfuran by Maillard-Type Reactions in Model Systems and Food. J. Agric. Food Chem. 2008, 56, 3639–3647. [Google Scholar] [CrossRef]
- Locas, C.P.; Yaylayan, V.A. Origin and Mechanistic Pathways of Formation of the Parent FuranA Food Toxicant. J. Agric. Food Chem. 2004, 52, 6830–6836. [Google Scholar] [CrossRef]
- Van Lancker, F.; Adams, A.; Owczarek-Fendor, A.; De Meulenaer, B.; De Kimpe, N. Mechanistic Insights into Furan Formation in Maillard Model Systems. J. Agric. Food Chem. 2011, 59, 229–235. [Google Scholar] [CrossRef] [PubMed]
- Varelis, P.; Hucker, B. Thermal decarboxylation of 2-furoic acid and its implication for the formation of furan in foods. Food Chem. 2011, 126, 1512–1513. [Google Scholar] [CrossRef]
- Delatour, T.; Huertas-Pérez, J.F.; Dubois, M.; Theurillat, X.; Desmarchelier, A.; Ernest, M.; Stadler, R.H. Thermal degradation of 2-furoic acid and furfuryl alcohol as pathways in the formation of furan and 2-methylfuran in food. Food Chem. 2020, 303, 125406. [Google Scholar] [CrossRef]
- Mariotti-Celis, M.S.; Zúñiga, R.; Cortés, P.; Pedreschi, F. A Kinetic Study of Furan Formation in Wheat Flour-Based Model Systems during Frying. J. Food Sci. 2017, 82, 232–239. [Google Scholar] [CrossRef]
- Palmers, S.; Grauwet, T.; Celus, M.; Wibowo, S.; Kebede, B.; Hendrickx, M.E.; Van Loey, A. A kinetic study of furan formation during storage of shelf-stable fruit juices. J. Food Eng. 2015, 165, 74–81. [Google Scholar] [CrossRef] [Green Version]
- Al-Baali, A.G.A.-G.; Farid, M.M. Principles of Thermal Sterilization. In Sterilization of Food in Retort Pouches; Al-Baali, A.G.A.-G., Farid, M.M., Eds.; Springer: Boston, MA, USA, 2006; pp. 25–32. ISBN 978-0-387-31129-6. [Google Scholar]
- Hauck, C.; Ramirez, C.; Simpson, R. Efecto del Procesamiento Térmico de Zanahoria (d. carota) en la Biodisponibilidad de ß-Caroteno Obtenida Mediante Estudios In Vitro; Universidad Tecnica Federico Santa Maria: Valparaíso, Chile, 2017. [Google Scholar]
- Erdoǧdu, F.; Balaban, M.O. Nonlinear Constrained Optimization of Thermal Processing II. Variable Process Temperature Profiles to Reduce Process Time and to Improve nutrient Retention in Spherical and Finite Cylindrical Geometries. J. Food Process. Eng. 2003, 26, 303–314. [Google Scholar] [CrossRef]
- Chen, C.; Ramaswamy, H. Multiple Ramp-variable Retort Temperature Control for Optimal Thermal Processing. Food Bioprod. Process. 2004, 82, 78–88. [Google Scholar] [CrossRef]
- Noronha, J.; Hendrickx, M.; Suys, J.; Tobback, P. Optimization of Surface Quality Retention During the Thermal Processing of Conduction Heated Foods Using Variable Temperature Retort Profiles. J. Food Process. Preserv. 1993, 17, 75–91. [Google Scholar] [CrossRef]
- Salgado, C.; Ramirez, C.; Simpson, R.; Nuñez, H. Aplicación de Perfiles Variables de Temperatura (VRT) para la Esterilización Simultánea de Multiprocesos; Universidad Tecnica Federico Santa Maria: Valparaíso, Chile, 2019. [Google Scholar]
- Blakiestone, B. Retortable Pouches. In Encyclopedia of Agricultural, Food and Biological Engineering; Heldman, D., Moraru, C., Eds.; CRC Press Taylor & Francis Group: Boca Raton, FL, USA, 2010; ISBN 9781439811115. [Google Scholar]
- Lebowitz, S.F.; Bhowmik, S.R. Effect on Retortable Pouch Heat Transfer Coefficients of Different Thermal Processing Stages and Pouch Material. J. Food Sci. 1990, 55, 1421–1424. [Google Scholar] [CrossRef]
- Shah, M.A.; Bosco, S.J.D.; Mir, S.A.; Sunooj, K. Evaluation of shelf life of retort pouch packaged Rogan josh, a traditional meat curry of Kashmir, India. Food Packag. Shelf Life 2017, 12, 76–82. [Google Scholar] [CrossRef]
- Ghai, G.; Teixeira, A.A.; Welt, B.A.; Goodrich-Schneider, R.; Yang, W.; Almonacid, S. Measuring and Predicting Head Space Pressure during Retorting of Thermally Processed Foods. J. Food Sci. 2011, 76, E298–E308. [Google Scholar] [CrossRef] [PubMed]
- Bindu, J.; Ravishankar, C.; Gopal, T.S. Shelf life evaluation of a ready-to-eat black clam (Villorita cyprinoides) product in indigenous retort pouches. J. Food Eng. 2007, 78, 995–1000. [Google Scholar] [CrossRef]
- Tribuzi, G.; De Aragão, G.M.F.; Laurindo, J.B. Processing of chopped mussel meat in retort pouch. Food Sci. Technol. 2015, 35, 612–619. [Google Scholar] [CrossRef] [Green Version]


| Product | Furan Concentration (ng/g of Product) | Ratio Furan/2-Methylfuran | Ratio Furan/2-Ethylfuran | Ratio Furan/2-Butylfuran | Ratio Furan/2-Pentylfuran | Ratio Furan/2-Acetylfuran | Ratio Furan/Furfural | Ratio Furan/Furfuryl Alcohol |
|---|---|---|---|---|---|---|---|---|
| Apple-Banana | 3.89 | 12.55 | 10.81 | --- | 0.79 | --- | 0.48 | --- |
| Apple | 3.95 | 13.17 | 11.29 | --- | 0.81 | --- | 0.49 | --- |
| Apple-Banana | 3.78 | 11.81 | 10.50 | --- | 0.76 | --- | 0.47 | --- |
| Apple-Apricot | 4.16 | 13.00 | 11.24 | 65.00 | 0.83 | 36.17 | 0.51 | 3.33 |
| Multifruit | 4.12 | 12.48 | 11.44 | 63.38 | 0.82 | 34.05 | 0.50 | 3.22 |
| Pear | 4.02 | 12.56 | 10.86 | --- | 0.81 | --- | 0.49 | --- |
| Pear | 4.19 | 12.70 | 11.32 | --- | 0.85 | --- | 0.51 | --- |
| Pear | 4.03 | 12.21 | 11.19 | 62.97 | 0.80 | --- | 0.49 | --- |
| Veal | 30.14 | 8.56 | 2.68 | 20.64 | 2.15 | 5.90 | 1.08 | 1.47 |
| Veal | 29.94 | 8.60 | 2.65 | 19.32 | 2.16 | 5.96 | 1.07 | 1.47 |
| Veal | 31.04 | 8.65 | 2.77 | 20.56 | 2.26 | 5.91 | 1.13 | 1.45 |
| Veal | 24.05 | 7.99 | 2.67 | 18.64 | 2.35 | 5.00 | 0.96 | 1.42 |
| Beef | 28.91 | 8.33 | 2.58 | 19.40 | 2.09 | 5.55 | 1.05 | 1.37 |
| Beef | 30.39 | 8.61 | 2.69 | 19.36 | 2.18 | 5.74 | 1.09 | 1.44 |
| Beef | 29.15 | 8.38 | 2.59 | 18.45 | 2.14 | 5.52 | 1.07 | 1.43 |
| Beef | 23.92 | 8.00 | 2.63 | 18.26 | 2.31 | 4.87 | 0.98 | 1.50 |
| Chicken | 29.45 | 8.39 | 2.61 | 18.64 | 2.10 | 5.69 | 1.06 | 1.41 |
| Chicken | 23.96 | 7.93 | 2.61 | 18.29 | 2.33 | 5.00 | 0.96 | 1.45 |
| Chicken | 19.19 | 8.57 | 2.44 | 19.38 | 2.44 | 7.65 | 0.94 | 1.95 |
| Chicken | 23.54 | 7.82 | 2.48 | 18.39 | 2.28 | 4.88 | 0.95 | 1.43 |
| Turkey | 30.09 | 8.62 | 2.66 | 19.80 | 2.15 | 5.80 | 1.11 | 1.45 |
| Turkey | 24.59 | 8.12 | 2.61 | 19.06 | 2.39 | 4.97 | 0.99 | 1.49 |
| Turkey | 18.53 | 8.46 | 2.34 | 20.36 | 2.34 | 7.89 | 0.91 | 1.85 |
| Turkey | 23.89 | 7.91 | 2.52 | 18.52 | 2.31 | 4.92 | 0.94 | 1.45 |
| Foods | 1–4 Months | 5–7 Months | 7–12 Months | 13–36 Months | ||||
|---|---|---|---|---|---|---|---|---|
| LB | UB | LB | UB | LB | UB | LB | UB | |
| Milk-based beverage | 3.5 | 2.2 | 2.4 | 2.3 | 1.5 | 1.4 | 0.7 | 0.7 |
| Cereals-based food | 22.6 | 14.4 | 4.9 | 4.6 | 2.9 | 2.7 | 1.8 | 1.6 |
| Milk-based dessert | 0.2 | 0.4 | 0.4 | 1.2 | 0.4 | 1.3 | 0.1 | 0.4 |
| fruit juice | 0.9 | 0.6 | 0.6 | 0.6 | 0.4 | 0.4 | 0.2 | 0.2 |
| Growing-up milk | --- | --- | --- | --- | 0.2 | 0.6 | 0.8 | 2.4 |
| Soup puree | 4.8 | 3.0 | 3.1 | 2.9 | 3.6 | 3.4 | 3.5 | 3.1 |
| Fruit puree | 3.1 | 2.0 | 4.8 | 4.4 | 3.5 | 3.3 | 1.7 | 1.5 |
| Vegetable-based ready to eat meal | 33.2 | 21.1 | 38.5 | 35.8 | 23.0 | 21.7 | 15.4 | 13.6 |
| Meat/fish based ready to eat meal | --- | --- | 28.9 | 26.9 | 52.3 | 49.4 | 28.6 | 25.2 |
| Infant formula | 25.9 | 49.4 | 0.3 | 0.8 | 0.0 | 0.1 | --- | --- |
| Follow-on formula | 3.0 | 2.5 | 10.8 | 13.8 | 3.7 | 5.1 | 0.2 | 0.3 |
| Total Infant foods | 97.2 | 95.4 | 94.7 | 93.3 | 91.5 | 89.4 | 53.2 | 48.9 |
| Total common food | 2.8 | 4.6 | 5.3 | 6.7 | 8.5 | 10.6 | 46.8 | 51.2 |
Publisher’s Note: MDPI stays neutral with regard to jurisdictional claims in published maps and institutional affiliations. |
© 2021 by the authors. Licensee MDPI, Basel, Switzerland. This article is an open access article distributed under the terms and conditions of the Creative Commons Attribution (CC BY) license (https://creativecommons.org/licenses/by/4.0/).
Share and Cite
Fardella, M.; Ramírez, C.; Caballero, E.; Sánchez, E.; Pinto, M.; Núñez, H.; Valencia, P.; Almonacid, S.; Simpson, R. Variable Retort Temperature Profiles (VRTPs) and Retortable Pouches as Tools to Minimize Furan Formation in Thermally Processed Food. Foods 2021, 10, 2205. https://doi.org/10.3390/foods10092205
Fardella M, Ramírez C, Caballero E, Sánchez E, Pinto M, Núñez H, Valencia P, Almonacid S, Simpson R. Variable Retort Temperature Profiles (VRTPs) and Retortable Pouches as Tools to Minimize Furan Formation in Thermally Processed Food. Foods. 2021; 10(9):2205. https://doi.org/10.3390/foods10092205
Chicago/Turabian StyleFardella, Matías, Cristian Ramírez, Eduardo Caballero, Elizabeth Sánchez, Marlene Pinto, Helena Núñez, Pedro Valencia, Sergio Almonacid, and Ricardo Simpson. 2021. "Variable Retort Temperature Profiles (VRTPs) and Retortable Pouches as Tools to Minimize Furan Formation in Thermally Processed Food" Foods 10, no. 9: 2205. https://doi.org/10.3390/foods10092205
APA StyleFardella, M., Ramírez, C., Caballero, E., Sánchez, E., Pinto, M., Núñez, H., Valencia, P., Almonacid, S., & Simpson, R. (2021). Variable Retort Temperature Profiles (VRTPs) and Retortable Pouches as Tools to Minimize Furan Formation in Thermally Processed Food. Foods, 10(9), 2205. https://doi.org/10.3390/foods10092205

