How Does Cultivar, Maturation, and Pre-Treatment Affect Nutritional, Physicochemical, and Pasting Properties of Plantain Flours?
Abstract
1. Introduction
2. Materials and Methods
2.1. Sample Preparations
2.2. Proximate Analysis
2.3. Starch Analysis
2.4. Water-Holding Capacity (WHC)
2.5. Oil-Holding Capacity (OHC)
2.6. Total Phenolic Content (TPC)
2.7. Total Carotenoid Content
2.8. Colorimetric Measurement
2.9. Pasting Properties
2.10. Data Analysis
3. Results
3.1. Proximate Composition
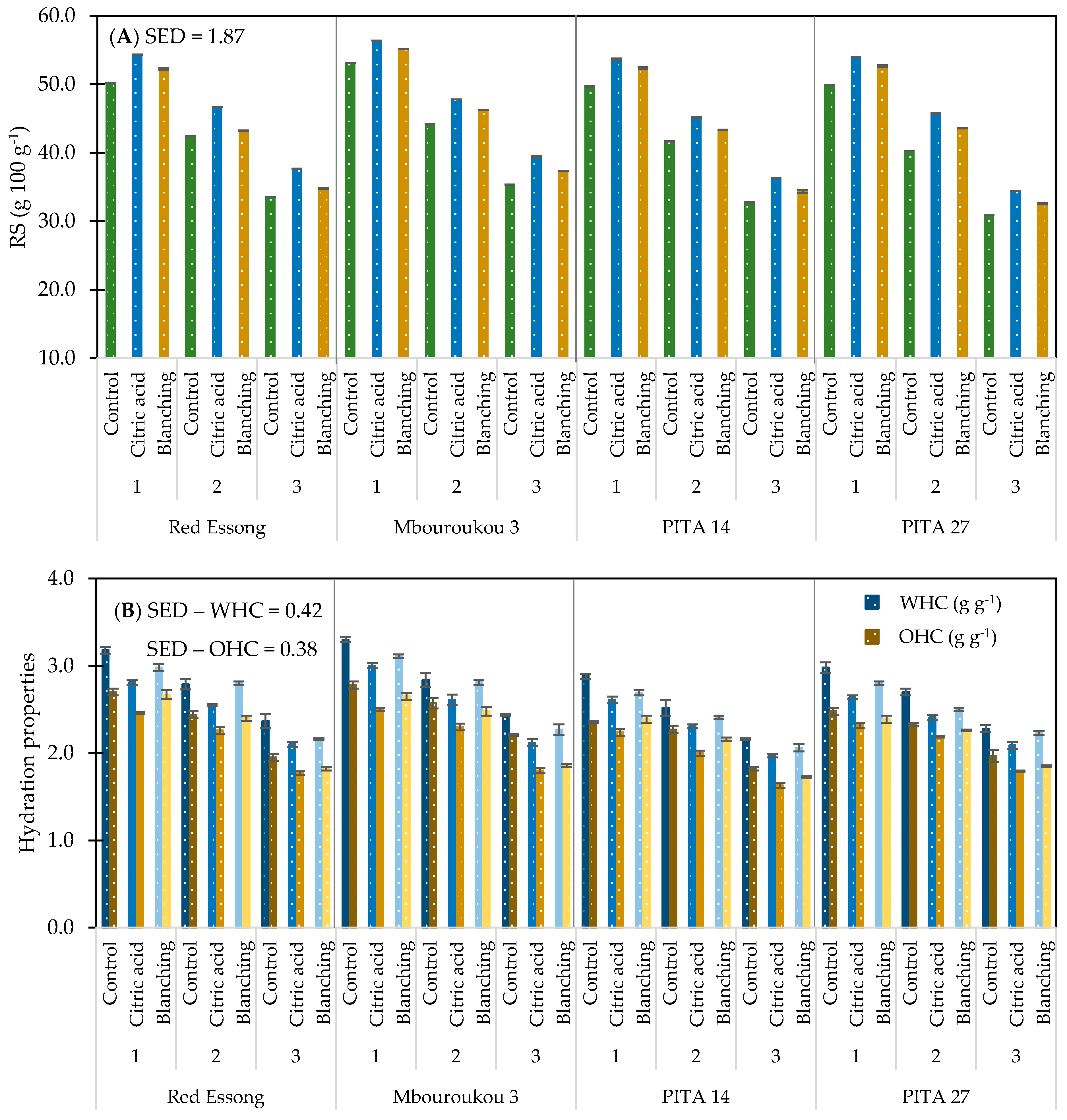
3.2. Starch Composition and Hydration Properties
3.3. Total Phenolic and Carotenoid Contents
3.4. Color
3.5. Pasting Properties
4. Discussion
5. Conclusions
Supplementary Materials
Author Contributions
Funding
Institutional Review Board Statement
Informed Consent Statement
Data Availability Statement
Acknowledgments
Conflicts of Interest
References
- Amah, D.; Stuart, E.; Mignouna, D.; Swennen, R.; Teeken, B. End-user preferences for plantain food products in Nigeria and implications for genetic improvement. Int. J. Food Sci. Technol. 2020, 56, 1148–1159. [Google Scholar] [CrossRef]
- Anyasi, T.A.; Jideani, A.I.O.; McHau, G.R.A. Phenolics and essential mineral profile of organic acid pretreated unripe banana flour. Food Res. Int. 2018, 104, 100–109. [Google Scholar] [CrossRef]
- Sidhu, J.S.; Zafar, T.A. Bioactive compounds in banana fruits and their health benefits. Food Qual. Saf. 2018, 2, 183–188. [Google Scholar] [CrossRef]
- Amah, D.; van Biljon, A.; Brown, A.; Perkins-Veazie, P.; Swennen, R.; Labuschagne, M. Recent advances in banana (Musa spp.) biofortification to alleviate vitamin A deficiency. Crit. Rev. Food Sci. Nutr. 2019, 59, 3498–3510. [Google Scholar] [CrossRef]
- Udomkun, P.; Masso, C.; Swennen, R.; Wossen, T.; Amah, D.; Fotso, A.; Lienou, J.; Adesokan, M.; Njukwe, E.; Vanlauwe, B. Variability of provitamin A carotenoids in plantain: Influence of cultivar, bunch type, maturation stage, and location. J. Food Compos. Anal. 2020, 94, 103636. [Google Scholar] [CrossRef]
- Naczk, M.; Shahidi, F. Phenolics in cereals, fruits and vegetables: Occurrence, extraction and analysis. J. Pharm. Biomed. Anal. 2006, 41, 1523–1542. [Google Scholar] [CrossRef]
- Bennett, R.N.; Shiga, T.M.; Hassimotto, N.M.A.; Rosa, E.A.S.; Lajolo, F.M.; Cordenunsi, B.R. Phenolics and antioxidant properties of fruit pulp and cell wall fractions of postharvest banana (Musa acuminata Juss.) cultivars. J. Agric. Food Chem. 2010, 58, 7991–8003. [Google Scholar] [CrossRef] [PubMed]
- Pereira, A.; Maraschin, M. Banana (Musa spp) from peel to pulp: Ethnopharmacology, source of bioactive compounds and its relevance for human health. J. Ethnopharmacol. 2015, 160, 149–163. [Google Scholar] [CrossRef]
- FAOSTAT. Available online: http://www.fao.org/faostat/en/#data/BC (accessed on 19 December 2020).
- Ogazi, P.O. Plantain: Production, Processing and Utilization; Paman and Associates Limited: Okigwe, Nigeria, 1996; pp. 1–305. [Google Scholar]
- Ekunwe, P.A.; Ajayi, H.I. Economics of plantain production in Edo State Nigeria. Res. J. Agric. Biol. Sci. 2010, 6, 902–905. [Google Scholar]
- Olawuni, I.A.; Oruakpa, F.O.; Uzoma, A. Unripe Plantain Flours. In Therapeutic, Probiotic, and Unconventional Foods; Grumezescu, A.M., Holban, A.M., Eds.; Academic Press: Cambrige, MA, USA, 2018; pp. 341–366. [Google Scholar]
- Happi Emaga, T.; Wathelet, B.; Paquot, M. Changements texturaux et biochimiques des fruits du bananier au cours de la maturation. Leur influence sur la préservation de la qualité du fruit et la maîtrise de la maturation. Biotechnol. Agron. Soc. Environ. 2008, 12, 89–98. [Google Scholar]
- Anyasi, T.A.; Jideani, A.I.O.; Mchau, R.A. Effect of organic acid pretreatment on some physical, functional and antioxidant properties of flour obtained from three unripe banana cultivars. Food Chem. 2015, 172, 515–522. [Google Scholar] [CrossRef]
- Fuentes-Zaragoza, E.; Riquelme-Navarrete, M.J.; Sánchez-Zapata, E.; Pérez-Álvarez, J.A. Resistant starch as functional ingredient—A review. Food Res. Int. 2010, 43, 931–942. [Google Scholar] [CrossRef]
- Menezes, E.W.; Tadini, C.C.; Tribess, T.B.; Zuleta, A.; Binaghi, J.; Pak, N. Chemical composition and nutritional value of unripe banana flour (Musa acuminata, var. Nanicao). Plant Foods Hum. Nutr. 2011, 66, 231–237. [Google Scholar] [CrossRef]
- Zhang, P.; Whistler, R.L.; BeMiller, J.N.; Hamaker, B.R. Banana starch: Production, physicochemical properties, and digestibility—A review. Carbohydr. Polym. 2005, 59, 443–458. [Google Scholar] [CrossRef]
- Zaman, S.A.; Sarbini, S.R. The potential of resistance starch as a prebiotic. Crit. Rev. Biotechnol. 2016, 36, 578–584. [Google Scholar] [PubMed]
- Birt, D.F.; Boylston, T.; Hendrich, S.; Jane, J.L.; Hollis, J.; Li, L.; McClelland, J.; Moore, S.; Phillips, G.J.; Rowling, M.; et al. Resistant starch: Promise for improving human health. Adv. Nutr. 2013, 4, 587–601. [Google Scholar] [CrossRef] [PubMed]
- Sardá, F.A.H.; de Lima, F.N.R.; Lopes, N.T.; Santos, A.O.; Tobaruela, E.C.; Kato, E.T.M. Identification of carbohydrate parameters in commercial unripe banana flour. Food Res. Int. 2016, 81, 203–209. [Google Scholar] [CrossRef]
- Gutiérrez, T.J. Plantain flours as potential raw materials for the development of gluten-free functional foods. Carbohydr. Polym. 2018, 202, 265–279. [Google Scholar] [CrossRef] [PubMed]
- Dhed’a Djailo, B.; Adheka, J.G.; Onautshu Odimba, D.; Swennen, R. La Culture des Bananiers et Plantains Dans les Zones Agroécologiques de la Republique Démocratique du Congo; Presse Universitaire UNIKIS: Kisangani, Democratic Republic of the Congo, 2019; p. 72. [Google Scholar]
- Arisa, N.U.; Adelekan, A.O.; Alamu, A.E.; Ogunfowora, E.J. The effects of pretreatments of plantain (Musa parasidiaca) flour on the pasting and sensory characteristics of biscuits. Int. J. Food Nutr. 2013, 2, 1. [Google Scholar]
- Wang, S.; Lin, T.; Man, G.; Li, H.; Zhao, L.; Wu, J. Effects of anti-browning combinations of ascorbic acid, citric acid, nitrogen and carbon dioxide on the quality of banana smoothies. Food Bioprocess Technol. 2014, 7, 161–173. [Google Scholar] [CrossRef]
- Eggleston, G.; Swennen, R.; Akoni, S. Physicochemical studies of starches isolated from plantain cultivars, plantain hybrids, and cooking bananas. Sträke 1992, 44, 121–128. [Google Scholar] [CrossRef]
- Ahmed, J.; Thomas, L.; Khashawi, R. Influence of hot-air drying on functional, rheological, structural and dielectric properties of green banana flour and dispersions. Food Hydrocoll. 2020, 99, 105331. [Google Scholar] [CrossRef]
- De Langhe, E.; Pillay, M.; Tenkouano, A.; Swennen, R. Integrating morphological and molecular taxonomy in Musa: The African plantains (Musa spp. AAB group). Plant Syst. Evol. 2005, 255, 225–236. [Google Scholar] [CrossRef]
- Adheka, J.G.; Komoy Losimba, J.; Tamaru, C.; Sivirihauma, C.; Dhed’a Djailo, B.; Karamura, D.; De Langhe, E.; Swennen, R.; Blomme, G. Banana diversity in the Oriental provinces, northeastern Democratic Republic of Congo. Acta Hortic. 2018, 1196, 255–264. [Google Scholar] [CrossRef]
- Tenkouano, A.; Lamien, N.; Agogbua, J.; Amah, D.; Swennen, R.; Traore, S.; Thiemele, D.; Aby, N.; Kobenan, K.; Gnonhouri, G.; et al. Promising high-yielding tetraploid plantain bred-hybrids in West Africa. Int. J. Agron. 2019, 2019, 3873198. [Google Scholar] [CrossRef]
- Tortoe, C.; Johnson, P.N.T.; Nyarko, A.I. Effects of osmo-dehydration, blanching and semi-ripening on the viscoelastic, water activity and colorimetry properties of flour from three cultivars of plantain (Musa AAB). Innov. Food Sci. Emerg. Technol. 2009, 10, 82–86. [Google Scholar] [CrossRef]
- Association of Official Analytical Chemist. Official Methods of Analysis, 15th ed.; Association of Official Analytical Chemist: Arlington, VA, USA, 1990. [Google Scholar]
- Fadimu, G.J.; Sanni, L.O.; Adebowale, A.A.; Kareem, S.O.; Sobukola, O.P.; Kajihausa, O.E.; Abdulsalam-Saghir, P.; Siwoku, B.O.; Akinsanya, A.O.; Adenekan, M.K. Optimisation of pre-treatment conditions for plantain (Musa parasidiaca) flour using Box-Behnken design. Qual. Assur. Saf. Crops Foods 2018, 10, 223–232. [Google Scholar] [CrossRef]
- Williams, P.C.; Kuzina, F.D.; Hlynka, L. A rapid colorimetric procedure for estimating the amylose content of starches. Cereal Chem. 1970, 47, 411–420. [Google Scholar]
- American Association of the Cereal Chemistry. Approved methods of the American Association of Cereal Chemists, 10th ed.; American Association of the Cereal Chemistry: Eagan, MN, USA, 2000. [Google Scholar]
- Savlak, N.; Türker, B.; Yeşilkanat, N. Effects of particle size distribution on some physical, chemical and functional properties of unripe banana flour. Food Chem. 2016, 213, 180–186. [Google Scholar] [CrossRef] [PubMed]
- Shamla, I.; Nisha, P. Acrylamide formation in plantain (Musa paradisiaca) chips influenced by different ripening stages: A correlation study with respect to reducing sugars, amino acids and phenolic content. Food Chem. 2017, 222, 53–60. [Google Scholar] [CrossRef]
- Rodriguez-Amaya, D.B.; Kimura, M. HarvestPlus Handbook for Carotenoid Analysis; IFPRI and CIAT: Washington, DC, USA; Cali, WA, USA, 2004; p. 58. [Google Scholar]
- Khoozani, A.A.; Bekhit, A.E.A.; Birch, J. Effects of different drying conditions on the starch content, thermal properties and some of the physicochemical parameters of whole green banana flour. Int. J. Biol. Macromol. 2019, 130, 938–946. [Google Scholar] [CrossRef] [PubMed]
- Ssonko, U.; Muranga, F.I. Partial characterization of starches from major banana (matooke) cultivars grown in Uganda. Food Sci. Nutr. 2017, 5, 1145–1153. [Google Scholar] [CrossRef]
- Rayo, L.M.; Carvalho, L.C.; Sardá, F.A.H.; Dacanal, G.C.; Menezes, E.W.; Tadini, C.C. Production of instant green banana flour (Musa cavendischii, var. Nanicão) by a pulsed-fluidized bed agglomeration. LWT Food Sci. Technol. 2015, 63, 461–469. [Google Scholar] [CrossRef]
- Rodriguez-Ambriz, S.L.; Islas-Hernández, J.J.; Agama-Acevedo, E.; Tovar, J.; Bello-Perez, L.A. Characterization of a fiber-rich powder prepared by liquefaction of unripe banana flour. Food Chem. 2008, 107, 1515–1521. [Google Scholar] [CrossRef]
- Kumar, P.S.; Saravanan, A.; Sheeba, N.; Uma, S. Structural, functional characterization and physicochemical properties of green banana flour from dessert and plantain bananas (Musa spp.). LWT Food Sci. Technol. 2019, 116, 108524. [Google Scholar] [CrossRef]
- Suntharalingam, S.; Ravindran, G. Physical and biochemical properties of green banana flour. Plant Foods Hum. Nutr. 1993, 43, 19–27. [Google Scholar] [CrossRef] [PubMed]
- Vatanasuchart, N.; Niyomwit, B.; Wongkrajang, K. Resistant starch content, in vitro starch digestibility and physico-chemical properties of flour and starch from Thai bananas. Maejo Int. J. Sci. Technol. 2012, 6, 259. [Google Scholar]
- Utrilla-Coello, R.G.; Rodríguez-Huezo, M.E.; Carrillo-Navas, H.; Hernámdez-Jaimes, C.; Vernon-Carter, E.J.; Alvarez-Ramirez, J. In vitro digestibility, physicochemical, thermal and rheological properties of banana starches. Carbohydr. Polym. 2014, 101, 154–162. [Google Scholar] [CrossRef] [PubMed]
- Li, Z.; Guo, K.; Lin, L.; He, W.; Zhang, L.; Wei, C. Comparison of physicochemical properties of starches from flesh and peel of green banana fruit. Molecules 2018, 23, 2312. [Google Scholar] [CrossRef] [PubMed]
- Shi, H.; Zhang, Y. Pear 14-3-3a gene (Pp 14-3-3a) is regulated during fruit ripening and senescense, and involved in response to salicylic acid and ethylene signalling. J. Genet. 2014, 93, 747–753. [Google Scholar] [CrossRef]
- Toledo, T.T.; Nogueira, S.B.; Cordenunsi, B.R.; Gozzo, F.C.; Pilau, E.J.; Lajolo, F.M.; do Nascimento, J.R.O. Proteomic analysis of banana fruit reveals proteins that are differentially accumulated during ripening. Postharvest Biol. Technol. 2012, 70, 51–58. [Google Scholar] [CrossRef]
- Campuzano, A.; Rosell, C.M.; Cornejo, F. Physicochemical and nutritional characteristics of banana flour during ripening. Food Chem. 2018, 256, 11–17. [Google Scholar] [CrossRef]
- Baiyeri, K.P.; Aba, S.C.; Otitoju, G.T.; Mbah, O.B. The effects of ripening and cooking method on mineral and proximate composition of plantain (Musa sp. AAB cv. ‘Agbagba’) fruit pulp. Afr. J. Biotechnol. 2011, 10, 6979–6984. [Google Scholar]
- Gao, H.; Huang, S.; Dong, T.; Yang, Q.; Yi, G. Analysis of resistant starch degradation in postharvest ripening of two banana cultivars: Focus on starch structure and amylases. Postharvest Biol. Technol. 2016, 119, 1–8. [Google Scholar] [CrossRef]
- Bi, Y.; Zhang, Y.; Gu, Z.; Cheng, L.; Li, Z.; Li, C.; Hong, Y. Effect of ripening on in vitro digestibility and structural characteristics of plantain (Musa ABB) starch. Food Hydrocoll. 2019, 93, 235–241. [Google Scholar] [CrossRef]
- Liu, Y.; Xu, Y.; Yan, Y.; Hu, D.; Yang, L.; Shen, R. Application of Raman spectroscopy in structure analysis and crystallinity calculation of corn starch. Stärke 2015, 67, 612–619. [Google Scholar] [CrossRef]
- Gutiérrez, T.J.; Pérez, E.; Guzmán, R.; Tapia, M.S.; Famá, L. Physicochemical and functional properties of native and modified by crosslinking, dark-cush-cush yam (Dioscorea Trifida) and cassava (Manihot esculenta) starch. J. Polym. Biopolym. Phys. Chem. 2014, 2, 1–5. [Google Scholar]
- Pelissari, F.M.; Andrade-Mahecha, M.M.; do Sobral, P.J.A.; Menegalli, F.C. Isolation and characterization of the flour and starch of plantain bananas (Musa paradisiaca). Stärke 2012, 64, 382–391. [Google Scholar] [CrossRef]
- Aguirre-Cruz, A.; Alvarez-Castillo, A.; Yee-Madeira, H.; Bello-Pérez, L.A. Production of fiber-rich powder by the acid treatment of unripe banana flour. J. Appl. Polym. Sci. 2008, 109, 382–387. [Google Scholar] [CrossRef]
- Liutkevičius, A.; Speičienė, V.; Kaminskas, A.; Jablonskienė, V.; Alenčikienė, G.; Mieželienė, A.; Garmienė, G. Development of a functional whey beverage, containing calcium, vitamin D, and prebiotic dietary fiber, and its influence on human health. CyTA J. Food 2016, 14, 309–316. [Google Scholar] [CrossRef]
- Gonzalez-Soto, R.A.; Mora-Escobedo, R.; Hernandez-Sanchez, H.; Sanchez Rivera, M.; Bello Perez, L.A. The influence of time and storage temperature on resistant starch formation from autoclaved debranched banana starch. Food Res. Int. 2007, 40, 304–310. [Google Scholar] [CrossRef]
- Tribess, T.; Hernandez-Uribe, J.P.; Mendez-Montealvo, G.; de Menezes, E.W.; Bello-Perez, L.A.; Tadini, C.C. Thermal properties and resistant starch content of green banana flour (Musa cavendishii) produced at different drying conditions. LWT Food Sci. Technol. 2009, 42, 1022–1025. [Google Scholar] [CrossRef]
- Wang, J.; Tang, X.J.; Chen, P.S.; Huang, H.H. Changes in resistant starch from two banana cultivars during postharvest storage. Food Chem. 2014, 156, 319–325. [Google Scholar] [CrossRef]
- Almanza-Benitez, S.; Osorio-Diaz, P.; Méndez-Monteallvo, G.; Islas-Hernández, J.J. Addition of acid-treated unripe plantain flour modified the starch digestibility, indigestible carbohydrate content and antioxidant capacity of semolina spaghetti. LWT Food Sci. Technol. 2015, 62, 1127–1133. [Google Scholar] [CrossRef]
- Singh, B.; Singh, J.P.; Kaur, A.; Singh, N. Bioactive compounds in banana and their associated health benefits—A review. Food Chem. 2016, 206, 1–11. [Google Scholar] [CrossRef]
- Singh, J.; Dartois, A.; Kaur, L. Starch digestibility in food matrix: A review. Trends Food Sci. Technol. 2010, 21, 168–180. [Google Scholar] [CrossRef]
- Zhang, G.; Venkatachalam, M.; Hamaker, B.R. Structural basis for the slow digestion property of native cereal starches. Biomacromolecules 2006, 7, 3259–3266. [Google Scholar] [CrossRef] [PubMed]
- Zhang, P.; Hamaker, B.R. Banana starch structure and digestibility. Carbohydr. Polym. 2012, 87, 1552–1558. [Google Scholar] [CrossRef]
- Giraldo Toro, A.; Gibert, O.; Ricci, J.; Dufour, D.; Mestres, C.; Bohuon, P. Digestibility prediction of cooked plantain flour as a function of water content and temperature. Carbohydr. Polym. 2015, 118, 257–265. [Google Scholar] [CrossRef] [PubMed]
- Alkarkhi, A.F.M.; Bin Ramli, S.; Yong, Y.S.; Easa, A.M. Comparing physicochemical properties of banana pulp and peel flours prepared from green and ripe fruits. Food Chem. 2011, 129, 312–318. [Google Scholar] [CrossRef]
- Baek, M.H.; Yoo, B.; Lim, S.T. Effects of sugars and sugar alcohols on thermal transition and cold stability of corn starch gel. Food Hydrocoll. 2004, 18, 133–142. [Google Scholar] [CrossRef]
- Peroni-Okita, F.H.; Cardoso, M.B.; Agopian, R.G.; Louro, R.P.; Nascimento, J.R.; Purgatto, E.; Cordenunsi, B.R. The cold storage of green bananas affects the starch degradation during ripening at higher temperature. Carbohydr. Polym. 2013, 96, 137–147. [Google Scholar] [CrossRef]
- Abbas, F.M.A.; Saifullah, R.; Azhar, M.E. Assessment of physical properties of ripe banana flour prepared from two varieties: Cavendish and dream banana. Int. Food Res. J. 2009, 16, 183–189. [Google Scholar]
- Gómez, A.V.; Buchner, D.; Tadini, C.C.; Añón, M.C.; Puppo, M.C. Emulsifiers: Effects on quality of fibre-enriched wheat bread. Food Bioprocess Technol. 2013, 6, 1228–1239. [Google Scholar] [CrossRef]
- Blessington, T.; Nzaramba, M.N.; Scheuring, D.C.; Hale, A.L.; Reddivari, L.; Miller, J.C. Cooking methods and storage treatments of potato: Effects on carotenoids, antioxidant activity, and phenolics. Am. J. Potato Res. 2010, 87, 479–491. [Google Scholar] [CrossRef]
- Huang, D.-W.; Shen, S.-C. Caffeic acid and cinnamic acid ameliorate glucose metabolism via modulating glycogenesis and gluconeogenesis in insulin-resistant mouse hepatocytes. J. Funct. Foods 2012, 4, 358–366. [Google Scholar] [CrossRef]
- Parr, A.J.; Bolwell, G.P. Phenols in the plant and in man. The potential for possible nutritional enhancement of the diet by modifying the phenols content or profile. J. Sci. Food Agric. 2000, 80, 985–1012. [Google Scholar] [CrossRef]
- Méndez, C.D.M.V.; Forster, M.P.; Rodríguez-Delgado, M.Á.; Rodríguez-Rodríguez, E.M.; Romero, C.D. Content of free phenolic compounds in bananas from Tenerife (Canary Islands) and Ecuador. Eur. Food Res. Technol. 2003, 217, 287–290. [Google Scholar] [CrossRef]
- Arranz, S.; Saura-Calixto, F.; Shaha, S.; Kroon, P.A. High contents of nonextractable polyphenols in fruits suggest that polyphenol contents of plant foods have been underestimated. J. Agric. Food Chem. 2019, 57, 7298–7303. [Google Scholar] [CrossRef] [PubMed]
- Harnly, J.M.; Doherty, R.F.; Beecher, G.R.; Holden, J.M.; Haytowitz, D.B.; Bhagwat, S.; Gebhardt, S. Flavonoid content of US fruits, vegetables, and nuts. J. Agric. Food Chem. 2006, 54, 9966–9977. [Google Scholar] [CrossRef] [PubMed]
- Mukemre, M.; Konczak, I.; Uzun, Y.; Dalar, A. Phytochemical profile and biological activities of Anatolian Plantain (Plantago anatolica). Food Biosci. 2020, 36, 100658. [Google Scholar] [CrossRef]
- Tsamo, C.V.P.; Herent, M.; Tomekpe, K.; Emaga, T.H.; Quetin-Leclercq, J.; Rogez, H.; Larondelle, Y. Phenolic profiling in the pul p and peel of nine plantain cultivars (Musa sp.). Food Chem. 2015, 167, 197–204. [Google Scholar] [CrossRef]
- Borges, C.V.; Amorim, V.B.O.; Ramlov, F.; Ledo, C.A.S.; Donato, M.; Maraschin, M.; Amorim, E.P. Characterisation of metabolic profile of banana genotypes, aiming at biofortified Musa spp. cultivars. Food Chem. 2014, 145, 496–504. [Google Scholar] [CrossRef]
- Starrett, D.A.; Laties, G.G. Involvement of wound and climacteric ethylene in ripening avocado discs. Plant Physiol. 1991, 97, 720–729. [Google Scholar] [CrossRef] [PubMed][Green Version]
- Borges, C.V.; Maraschin, M.; Coelho, D.S.; Leonel, M.; Gomez, H.A.G.; Belin, M.A.F.; Diamante, M.S.; Amorim, E.P.; Gianeti, T.; Castro, G.R.; et al. Nutritional value and antioxidant compounds during the ripening and after domestic cooking of banana and plantains. Food Res. Int. 2020, 132, 109601. [Google Scholar] [CrossRef] [PubMed]
- Bajwa, V.S.; Shukla, M.R.; Sherif, S.M.; Murch, S.J.; Saxena, P.K. Identification and characterization of serotonin as an anti-browning compound of apple and pear. Postharvest Biol. Technol. 2015, 110, 183–189. [Google Scholar] [CrossRef]
- Borges, C.V.; Belin, M.A.F.; Amorin, E.P.; Minatel, I.O.; Monteiro, G.C.; Gomez-Gomez, H.A.; Monar, G.R.S.; Lima, G.P.P. Bioactive amines change during the ripening and thermal processes of bananas and plantains. Food Chem. 2019, 298, 125020. [Google Scholar] [CrossRef] [PubMed]
- Ngoh Newilah, G.; Dhuique-Mayer, C.; Rojas-Gonzalez, J.; Tomekpe, K.; Fokou, E.; Etoa, F.X. Carotenoid contents during ripening of banana hybrids and cultivars grown in Cameroon. Fruits 2009, 64, 197–206. [Google Scholar] [CrossRef]
- Ekesa, B.; Poulaert, M.; Davey, M.W.; Kimiywe, J.; Van Den Bergh, I.; Blomme, G.; Dhuique-Mayer, C. Bioaccessibility of provitamin A carotenoids in bananas (Musa spp.) and derived dishes in African countries. Food Chem. 2012, 133, 1471–1477. [Google Scholar] [CrossRef]
- Jeet, P.; Immanuel, G.; Prakash, O. Effects of blanching on the dehydration characteristics on unripe banana slices dried at different temperature. Agric. Eng. Int. 2015, 17, 168–175. [Google Scholar]
- Borges, C.V.; Minatel, I.O.; Amorim, E.P.; Belin, M.A.F.; Gomez-Gomez, H.A.; Correa, C.R.; Lima, G.P.P. Ripening and cooking processes influence the carotenoid content in bananas and plantains (Musa spp.). Food Res. Int. 2018, 124, 129–136. [Google Scholar] [CrossRef]
- Krishnan, J.G.; Padmaja, G.; Moorthy, S.S.; Suja, G.; Sankarakutty, S.M. Effect of pre-soaking treatments on the nutritional profile and browning index of sweet potato and yam flours. Innov. Food Sci. Emerg. Technol. 2010, 11, 387–393. [Google Scholar] [CrossRef]
- De Souza, B.S.; O’Hare, T.J.; Durigan, J.F.; de Souza, P.S. Impact of atmosphere, organic acids, and calcium on quality of fresh-cut ‘Kensington’ mango. Postharvest Biol. Technol. 2006, 42, 161–167. [Google Scholar] [CrossRef]
- Afoakwa, O.E.; Sefa-Dedeh, S. Viscoelastic properties and changes in pasting characteristics of trifoliate yam (Dioscorea dumetorum) starch after harvest. Food Chem. 2002, 77, 203–208. [Google Scholar] [CrossRef]
- Tao, Y.; Han, M.; Gao, X.; Han, Y.; Show, P.L.; Liu, C.; Ye, X.; Xie, G. Applications of water blanching, surface contacting ultrasound-assisted air drying, and their combination for dehydration of white cabbage: Drying mechanism, bioactive profile, color, and rehydration property. Ultrason. Sonochem. 2019, 53, 192–201. [Google Scholar] [CrossRef]
- Agama-Acevedo, E.; Nuñez-Santiago, M.C.; Alvarez-Ramirez, J.; Bello-Pérez, L.A. Physicochemical, digestibility and structural characteristics of starch isolated from banana cultivars. Carbohydr. Polym. 2015, 124, 17–24. [Google Scholar] [CrossRef]
- Bakare, A.H.; Ogunbowale, O.D.; Adegunwa, M.O.; Olusanya, J.O. Effects of pretreatments of banana (Musa AAA, Omini) on the composition, rheological properties, and baking quality of its flour and composite blends with wheat flour. Food Sci. Nutr. 2017, 5, 182–196. [Google Scholar] [CrossRef] [PubMed]
- do Nascimento, J.R.O.; Júnior, A.V.; Bassinello, P.Z.; Cordenunsi, B.R.; Mainardi, J.A.; Purgatto, E.; Lajolo, F.M. Beta-amylase expression and starch degradation during banana ripening. Postharvest Biol. Technol. 2006, 40, 41–47. [Google Scholar] [CrossRef]
- Rasper, V. Theoretical Aspects of Amilographology. In The Amylograph Handbook; Shuey, W.C., Tipples, K.H., Eds.; American Association of Cereal Chemists: St Paul, MN, USA, 1982. [Google Scholar]
- Blazek, J.; Copeland, L. Pasting and swelling properties of wheat flour and starch in relation to amylose content. Carbohydr. Polym. 2008, 71, 380–387. [Google Scholar] [CrossRef]
- Sackey, E.K. The Chemical and Physiochemical Characterization of Xanthosoma Sagitifolium Cormels and Colocasia Esculenta var Esculenta Corms. Master’s Thesis, Department of Nutrition and Food Science, University of Ghana, Legon-Accra, Ghana, 1998. [Google Scholar]
- Wahab, B.A.; Adebowale, A.R.A.; Sanni, S.A.; Sobukola, O.P.; Obadina, A.O.; Kajihausa, O.E.; Adegunwa, M.O.; Sanni, L.O.; Tomlins, K. Effect of species, pretreatments, and drying methods on the functional and pasting properties of high-quality yam flour. Food Sci. Nutr. 2016, 4, 50–58. [Google Scholar] [CrossRef]
- Vatanasuchart, N.; Naivikul, O.; Charoenrein, S.; Sriroth, K. Effects of different UV irradiation on properties of cassava starch and biscuit expansion. Agric. Nat. Resour. 2003, 37, 334–344. [Google Scholar]
- Hernández, O.; Emaldi, U.; Tovar, J. In vitro digestibility of edible films from various starch sources. Carbohydr. Polym. 2008, 71, 648–655. [Google Scholar] [CrossRef]






| Parameter | Moisture (g 100 g−1) | Crude Fat (g 100 g−1) | Crude Protein (g 100 g−1) | Carbohydrate (g 100 g−1) | Total Ash (g 100 g−1) | Crude Fiber (g 100 g−1) | 
|---|---|---|---|---|---|---|
| Range | 10.47–12.20 | 0.45–0.73 | 2.92–4.56 | 79.25–82.09 | 1.62–3.22 | 1.34–2.66 | 
| Mean | 11.22 | 0.59 | 3.65 | 80.57 | 2.09 | 1.87 | 
| SD | 0.39 | 0.07 | 0.40 | 0.79 | 0.38 | 0.31 | 
| CV | 3.47 | 12.13 | 10.86 | 0.99 | 17.94 | 16.48 | 
| SE | 0.05 | 0.01 | 0.05 | 0.09 | 0.04 | 0.04 | 
| p of cultivar (C) | ns | *** | *** | *** | *** | *** | 
| p of ripening stage (R) | ns | *** | *** | ns | ns | *** | 
| p of pre-treatment (P) | *** | ns | *** | *** | *** | *** | 
| p of C × R | ns | *** | *** | *** | *** | *** | 
| p of C × P | ns | *** | *** | *** | *** | *** | 
| p of R × P | *** | ns | *** | *** | *** | ns | 
| p of C × R × P | ns | ns | *** | *** | *** | ns | 
| Parameter | Amylose (g 100 g−1) | Amylopectin (g 100 g−1) | TS (g 100 g−1) | RS (g 100 g−1) | AS (g 100 g−1) | WHC (g g−1) | OHC (g g−1) | 
|---|---|---|---|---|---|---|---|
| Range | 22.51–31.25 | 68.75–77.49 | 60.23–86.84 | 30.52–56.48 | 24.89–34.08 | 1.95–3.32 | 1.61–2.80 | 
| Mean | 26.74 | 73.31 | 73.99 | 43.97 | 30.02 | 2.57 | 2.21 | 
| SD | 2.24 | 2.19 | 8.53 | 7.66 | 1.93 | 0.35 | 0.31 | 
| CV | 8.39 | 2.99 | 11.53 | 17.42 | 6.44 | 13.58 | 14.08 | 
| SE | 0.26 | 0.26 | 1.01 | 0.90 | 0.23 | 0.04 | 0.04 | 
| p of cultivar (C) | *** | *** | *** | *** | *** | *** | *** | 
| p of ripening stage (R) | *** | *** | *** | *** | *** | *** | *** | 
| p of pre-treatment (P) | *** | *** | *** | *** | *** | *** | *** | 
| p of C × R | *** | *** | *** | *** | *** | *** | *** | 
| p of C × P | *** | *** | ns | *** | *** | ns | ns | 
| p of R × P | *** | *** | *** | *** | *** | *** | *** | 
| p of C × R × P | *** | *** | ns | *** | *** | *** | *** | 
| Parameter | TP (mg GAE g−1) | Carotenoids (μg g−1) | L* (−) | a* (−) | b* (−) | Chroma (−) | Browning Index (−) | 
|---|---|---|---|---|---|---|---|
| Range | 0.12–4.13 | 0.03–3.78 | 47.09–70.48 | 0.31–1.19 | 8.63–14.39 | 8.66–14.41 | 14.51–30.94 | 
| Mean | 1.68 | 1.13 | 56.88 | 0.75 | 11.07 | 11.10 | 22.34 | 
| SD | 1.19 | 0.96 | 4.84 | 0.18 | 1.56 | 1.56 | 3.72 | 
| CV | 70.68 | 84.78 | 8.50 | 24.60 | 14.12 | 14.07 | 16.64 | 
| SE | 0.14 | 0.11 | 0.57 | 0.02 | 0.18 | 0.18 | 0.44 | 
| p of cultivar (C) | *** | *** | *** | *** | *** | *** | *** | 
| p of ripening stage (R) | *** | *** | *** | *** | *** | *** | *** | 
| p of pre-treatment (P) | *** | *** | *** | *** | *** | *** | *** | 
| p of C × R | ns | *** | *** | *** | *** | *** | *** | 
| p of C × P | *** | *** | *** | *** | *** | *** | *** | 
| p of R × P | *** | *** | *** | *** | *** | *** | *** | 
| p of C × R × P | *** | *** | *** | *** | *** | *** | *** | 
| Parameter | Peak Viscosity (mPa s) | Trough Viscosity (mPa s) | Final Viscosity (mPa s) | Breakdown (mPa s) | Setback (mPa s) | Peak Time (min) | Pasting Temperature (°C) | 
|---|---|---|---|---|---|---|---|
| Range | 219.5–694.7 | 170.8–487.6 | 289.3–580.8 | 14.3–262.6 | 5.9–226.2 | 4.8–7.0 | 60.9–90.6 | 
| Mean | 445.0 | 293.8 | 416.2 | 153.8 | 123.1 | 5.3 | 80.5 | 
| SD | 114.6 | 64.3 | 68.6 | 67.8 | 55.8 | 0.6 | 8.2 | 
| CV | 25.7 | 21.9 | 16.5 | 44.1 | 45.3 | 10.3 | 10.1 | 
| SE | 13.5 | 7.6 | 8.1 | 11.3 | 9.3 | 0.1 | 1.0 | 
| p of cultivar (C) | *** | *** | *** | *** | *** | *** | *** | 
| p of ripening stage (R) | *** | *** | *** | *** | *** | *** | *** | 
| p of pre-treatment (P) | *** | *** | *** | *** | *** | *** | *** | 
| p of C × R | *** | *** | ns | *** | *** | ns | *** | 
| p of C × P | *** | *** | *** | *** | *** | *** | *** | 
| p of R × P | *** | ns | ns | *** | *** | *** | *** | 
| p of C × R × P | *** | *** | ns | *** | *** | ns | *** | 
| Publisher’s Note: MDPI stays neutral with regard to jurisdictional claims in published maps and institutional affiliations. | 
© 2021 by the authors. Licensee MDPI, Basel, Switzerland. This article is an open access article distributed under the terms and conditions of the Creative Commons Attribution (CC BY) license (https://creativecommons.org/licenses/by/4.0/).
Share and Cite
Udomkun, P.; Masso, C.; Swennen, R.; Innawong, B.; Alakonya, A.; Fotso Kuate, A.; Vanlauwe, B. How Does Cultivar, Maturation, and Pre-Treatment Affect Nutritional, Physicochemical, and Pasting Properties of Plantain Flours? Foods 2021, 10, 1749. https://doi.org/10.3390/foods10081749
Udomkun P, Masso C, Swennen R, Innawong B, Alakonya A, Fotso Kuate A, Vanlauwe B. How Does Cultivar, Maturation, and Pre-Treatment Affect Nutritional, Physicochemical, and Pasting Properties of Plantain Flours? Foods. 2021; 10(8):1749. https://doi.org/10.3390/foods10081749
Chicago/Turabian StyleUdomkun, Patchimaporn, Cargele Masso, Rony Swennen, Bhundit Innawong, Amos Alakonya, Apollin Fotso Kuate, and Bernard Vanlauwe. 2021. "How Does Cultivar, Maturation, and Pre-Treatment Affect Nutritional, Physicochemical, and Pasting Properties of Plantain Flours?" Foods 10, no. 8: 1749. https://doi.org/10.3390/foods10081749
APA StyleUdomkun, P., Masso, C., Swennen, R., Innawong, B., Alakonya, A., Fotso Kuate, A., & Vanlauwe, B. (2021). How Does Cultivar, Maturation, and Pre-Treatment Affect Nutritional, Physicochemical, and Pasting Properties of Plantain Flours? Foods, 10(8), 1749. https://doi.org/10.3390/foods10081749
 
        

 
                         
       