Stabilization and Release of Palm Tocotrienol Emulsion Fabricated Using pH-Sensitive Calcium Carbonate
Abstract
1. Introduction
2. Materials and Methods
2.1. Materials
2.2. Preparation and Characterization of CaCO3 Dispersion
2.3. Homogenization Process
2.4. Emulsion Characterization
2.5. Emulsion Viscosity
2.6. Tocotrienol Determination
2.6.1. Extraction
2.6.2. HPLC Analysis
2.7. Statistical Analyses
3. Results and Discussion
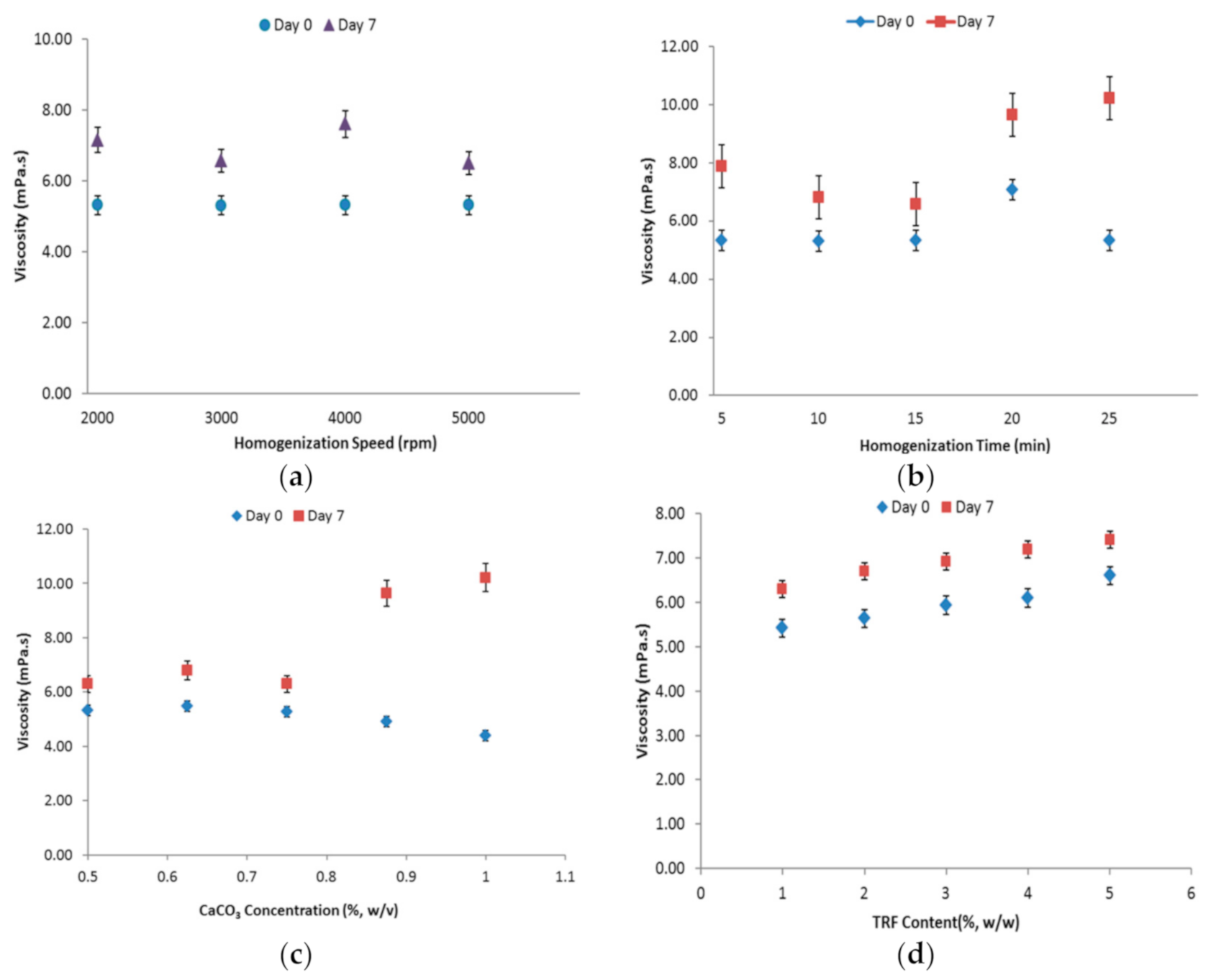
3.1. Effect of Homogenization Speed
3.2. Effect of Homogenization Time
3.3. Effect of CaCO3 Concentration
3.4. Effect of TRF Concentration
3.5. Effect of pH on Tocotrienol Release
4. Conclusions
Author Contributions
Funding
Acknowledgments
Conflicts of Interest
References
- Aggarwal, B.B.; Sundaram, C.; Prasad, S.; Kannappan, R. Tocotrienols, the Vitamin E of the 21st century: Its potential against cancer and other chronic diseases. Biochem. Pharmacol. 2010, 80, 1613–1631. [Google Scholar] [CrossRef]
- Chen, Z.-Y.; Ma, K.Y.; Liang, Y.; Peng, C.; Zuo, Y. Role and classification of cholesterol-lowering functional foods. J. Funct. Foods 2011, 3, 61–69. [Google Scholar] [CrossRef]
- Fu, J.-Y.; Che, H.-L.; Tan, D.M.-Y.; Teng, K.-T. Bioavailability of tocotrienols: Evidence in human studies. Nutr. Metab. 2014, 11, 5. [Google Scholar] [CrossRef] [PubMed]
- Büsing, A.; Ternes, W. Separation of α-tocotrienol oxidation products and eight tocochromanols by HPLC with DAD and fluorescence detection and identification of unknown peaks by DAD, PBI-EIMS, FTIR, and NMR. Anal. Bioanal. Chem. 2011, 401, 2843. [Google Scholar] [CrossRef] [PubMed]
- Aditya, N.P.; Hamilton, I.E.; Norton, I.T. Amorphous nano-curcumin stabilized oil in water emulsion: Physico chemical characterization. Food Chem. 2017, 224, 191–200. [Google Scholar] [CrossRef]
- Frelichowska, J.; Bolzinger, M.-A.; Chevalier, Y. Effects of solid particle content on properties of o/w pickering emulsions. J. Colloid Interface Sci. 2010, 351, 348–356. [Google Scholar] [CrossRef]
- Tang, J.; Quinlan, P.J.; Tam, K.C. Stimuli-responsive pickering emulsions: Recent advances and potential applications. Soft Matter 2015, 11, 3512–3529. [Google Scholar] [CrossRef]
- Dickinson, E. Stabilising emulsion-based colloidal structures with mixed food ingredients. J. Sci. Food Agric. 2013, 93, 710–721. [Google Scholar] [CrossRef]
- Leclercq, L. Get beyond limits: From colloidal tectonics concept to the engineering of eco-friendly catalytic systems. Front. Chem. 2018, 6, 168. [Google Scholar] [CrossRef]
- Mathapa, B.G.; Paunov, V.N. Cyclodextrin stabilised emulsions and cyclodextrinosomes. Phys. Chem. Chem. Phys. 2013, 15, 17903–17914. [Google Scholar] [CrossRef]
- Leong, J.-Y.; Tey, B.-T.; Tan, C.-P.; Chan, E.-S. Nozzleless fabrication of oil-core biopolymeric microcapsules by the interfacial gelation of pickering emulsion templates. ACS Appl. Mater. Interfaces 2015, 7, 16169–16176. [Google Scholar] [CrossRef] [PubMed]
- Cui, Z.-G.; Shi, K.-Z.; Cui, Y.-Z.; Binks, B.P. Double phase inversion of emulsions stabilized by a mixture of CaCO3 nanoparticles and sodium dodecyl sulphate. Colloids Surf. A Physicochem. Eng. Asp. 2008, 329, 67–74. [Google Scholar] [CrossRef]
- Kang, M.K.; Kim, J.-C. pH-dependent release from ethylcellulose microparticles containing alginate and calcium carbonate. Colloid Polym. Sci. 2010, 288, 265–270. [Google Scholar] [CrossRef]
- Wang, X.; Zhou, W.; Cao, J.; Liu, W.; Zhu, S. Preparation of core–shell CaCO3 capsules via pickering emulsion templates. J. Colloid Interface Sci. 2012, 372, 24–31. [Google Scholar] [CrossRef]
- Zhu, Y.; Lu, L.-H.; Gao, J.; Cui, Z.-G.; Binks, B.P. Effect of trace impurities in triglyceride oils on phase inversion of pickering emulsions stabilized by CaCO3 nanoparticles. Colloids Surf. A Physicochem. Eng. Asp. 2013, 417, 126–132. [Google Scholar] [CrossRef]
- Xu, Z. Analysis of tocopherols and tocotrienols. Curr. Protoc. Food Anal. Chem. 2002, 4, D1.5.1–D1.5.12. [Google Scholar] [CrossRef]
- Xu, Z.; Harvey, K.A.; Pavlina, T.M.; Zaloga, G.P.; Siddiqui, R.A. Tocopherol and tocotrienol homologs in parenteral lipid emulsions. Eur. J. Lipid Sci. Technol. 2015, 117, 15–22. [Google Scholar] [CrossRef]
- Zhang, R.; Yang, L.; Tu, R.; Huo, J.; Wang, J.; Zhou, J.; Chen, D. Emulsion phase inversion from oil-in-water(1) to water-in-oil to oil-in-water(2) induced by in situ surface activation of CaCO3 nanoparticles via adsorption of sodium stearate. Colloids Surf. A Physicochem. Eng. Asp. 2015, 477, 55–62. [Google Scholar] [CrossRef]
- Song, X.; Pei, Y.; Qiao, M.; Ma, F.; Ren, H.; Zhao, Q. Preparation and characterizations of pickering emulsions stabilized by hydrophobic starch particles. Food Hydrocoll. 2015, 45, 256–263. [Google Scholar] [CrossRef]
- Xiao, B.; Yuan, Q.; Williams, R.A. Exceptional function of nanoporous metal organic framework particles in emulsion stabilisation. Chem. Commun. 2013, 49, 8208–8210. [Google Scholar] [CrossRef]
- Aewsiri, T.; Benjakul, S.; Visessanguan, W.; Encarnacion, A.B.; Wierenga, P.A.; Gruppen, H. Enhancement of emulsifying properties of cuttlefish skin gelatin by modification with n-hydroxysuccinimide esters of fatty acids. Food Bioprocess Technol. 2013, 6, 671–681. [Google Scholar] [CrossRef]
- French, D.J.; Taylor, P.; Fowler, J.; Clegg, P.S. Making and breaking bridges in a pickering emulsion. J. Colloid Interface Sci. 2015, 441, 30–38. [Google Scholar] [CrossRef] [PubMed]
- Keowmaneechai, E.; McClements, D.J. Effect of CaCl2 and KCl on physiochemical properties of model nutritional beverages based on whey protein stabilized oil-in-water emulsions. J. Food Sci. 2002, 67, 665–671. [Google Scholar] [CrossRef]
- Fournier, C.-O.; Fradette, L.; Tanguy, P.A. Effect of dispersed phase viscosity on solid-stabilized emulsions. Chem. Eng. Res. Des. 2009, 87, 499–506. [Google Scholar] [CrossRef]
- De Folter, J.W.J.; van Ruijven, M.W.M.; Velikov, K.P. Oil-in-water pickering emulsions stabilized by colloidal particles from the water-insoluble protein zein. Soft Matter 2012, 8, 6807–6815. [Google Scholar] [CrossRef]
- Arditty, S.; Whitby, C.P.; Binks, B.P.; Schmitt, V.; Leal-Calderon, F. Some general features of limited coalescence in solid-stabilized emulsions. Eur. Phys. J. E 2003, 11, 273–281. [Google Scholar] [CrossRef]
- Rayner, M.; Sjöö, M.; Timgren, A.; Dejmek, P. Quinoa starch granules as stabilizing particles for production of pickering emulsions. Faraday Discuss. 2012, 158, 139–155. [Google Scholar] [CrossRef]
- Ostertag, F.; Weiss, J.; McClements, D.J. Low-energy formation of edible nanoemulsions: Factors influencing droplet size produced by emulsion phase inversion. J. Colloid Interface Sci. 2012, 388, 95–102. [Google Scholar] [CrossRef]
- Tsabet, È.; Fradette, L. Effect of the properties of oil, particles, and water on the production of pickering emulsions. Chem. Eng. Res. Des. 2015, 97, 9–17. [Google Scholar] [CrossRef]
- Chang, H.W.; Tan, T.B.; Tan, P.Y.; Abas, F.; Lai, O.M.; Wang, Y.; Wang, Y.-H.; Nehdi, I.A.; Tan, C.P. Physical properties and stability evaluation of fish oil-in-water emulsions stabilized using thiol-modified β-lactoglobulin fibrils-chitosan complex. Food Res. Int. 2018, 105, 482–491. [Google Scholar] [CrossRef]




| Stage | Homogenization Speed (rpm) | Time (min) | CaCO3 Concentration (%, w/v) | Tocotrienol Content (%, w/v) |
|---|---|---|---|---|
| I | 2000 | 5 | 0.5 | 1 |
| 3000 | ||||
| 4000 | ||||
| 5000 | ||||
| II | Optimized speed | 5 | 0.5 | 1 |
| 10 | ||||
| 15 | ||||
| 20 | ||||
| 25 | ||||
| III | Optimized speed | Optimized time | 0.5 | 1 |
| 0.625 | ||||
| 0.75 | ||||
| 0.875 | ||||
| 1.0 | ||||
| IV | Optimized speed | Optimized time | Optimized CaCO3 concentration | 1 |
| 2 | ||||
| 3 | ||||
| 4 |
| Parameters | Day 0 | Day 3 | Day 7 | |||
|---|---|---|---|---|---|---|
| Mean Size (μm) | CI | Mean Size (μm) | CI | Mean Size (μm) | CI | |
| Homogenization Speed (rpm) | ||||||
| 2000 | 63.69 ± 0.85 a,B | 38.67 ± 2.07 b,A | 68.30 ± 1.80 a,B | 30.67 ± 2.07 a,b,B | 79.69 ± 0.85 b,A | 30.67 ± 2.07 a,b,B |
| 3000 | 40.78 ± 0.81 c,C | 40.67 ± 1.63 b,A | 47.59 ± 1.92 b,B | 26.00 ± 3.35 c,B | 73.05 ± 6.88 b,A | 26.00 ± 3.35 c,B |
| 4000 | 50.06 ± 1.21 b,C | 47.33 ± 1.63 a,A | 82.38 ± 5.11 a,B | 27.33 ± 1.63 b,c,B | 113.34 ± 10.09 a,A | 27.33 ± 1.63 b,c,B |
| 5000 | 33.00 ± 0.56 d,C | 40.67 ± 1.63 b,A | 35.72 ± 0.24 c,B | 32.67 ± 1.63 a,B | 44.55 ± 1.87 c,A | 32.67 ± 1.63 a,B |
| Homogenization Time (min) | ||||||
| 5 | 33.00 ± 0.56 a,C | 40.67 ± 1.63 a,A | 35.72 ± 0.24 a,B | 32.67 ± 1.63 a,B | 44.55 ± 1.87 a,A | 32.67 ± 1.63 a,B |
| 10 | 28.38 ± 1.42 b,C | 38.67 ± 2.07 a,A | 34.19 ± 0.83 b,B | 26.67 ± 2.07 b,B | 42.56 ± 3.73 a,A | 26.67 ± 2.07 b,B |
| 15 | 24.56 ± 0.35 c,C | 38.67 ± 2.07 a,A | 28.62 ± 0.41 c,B | 30.40 ± 2.53 a,B | 34.81 ± 2.38 b,A | 30.40 ± 2.53 a,B |
| 20 | 27.99 ± 0.24 b,C | 38.67 ± 2.07 a,A | 32.92 ± 0.98 b,B | 18.93 ± 1.73 c,B | 43.26 ± 5.49 a,A | 18.93 ± 1.73 c,B |
| 25 | 23.36 ± 1.67 c,C | 39.33 ± 1.63 a,A | 28.18 ± 0.45 c,B | 30.67 ± 2.07 a,B | 36.39 ± 2.38 b,A | 30.67 ± 2.07 a,B |
| CaCO3 Concentration (%, w/v) | ||||||
| 0.5 | 24.56 ± 0.35 a,C | 38.67 ± 2.07 c,A | 26.41 ± 0.90 a,B | 30.40 ± 2.53 c,B | 34.81 ± 2.38 b,A | 30.40 ± 2.53 c,B |
| 0.625 | 22.43 ± 1.48 b,B | 47.78 ± 2.45 b,A | 25.29 ± 0.88 b,B | 39.44 ± 2.45 b,B | 40.46 ± 5.67 a,A | 39.44 ± 2.45 b,B |
| 0.75 | 18.65 ± 0.83 c,B | 48.61 ± 2.02 b,A | 18.87 ± 0.41 c,B | 40.69 ± 2.07 b,B | 20.58 ± 1.08 c,A | 40.69 ± 2.07 b,B |
| 0.875 | 15.09 ± 0.84 d,B | 50.97 ± 2.76 a,b,A | 15.94 ± 0.63 d,B | 46.53 ± 2.81 a,B | 18.06 ± 1.84 c,A | 46.53 ± 2.81 a,B |
| 1.0 | 11.58 ± 0.64 e,B | 53.89 ± 2.67 a,A | 13.00 ± 0.41 e,B | 49.44 ± 2.77 a,B | 15.76 ± 0.99 c,A | 49.44 ± 2.77 a,B |
| Tocotrienol Content (%, w/w) | ||||||
| 1 | 18.65 ± 0.83 c,B | 48.61 ± 2.02 a,A | 18.43 ± 0.51 d,B | 40.69 ± 2.07 a,B | 20.58 ± 1.08 c,A | 40.69 ± 2.07 a,B |
| 2 | 18.83 ± 1.36 c,B | 47.22 ± 3.56 a,A | 19.56 ± 0.87 c,B | 38.75 ± 3.28 a,B | 24.07 ± 1.44 b,A | 38.75 ± 3.28 a,b,B |
| 3 | 20.61 ± 0.18 b,B | 46.53 ± 2.86 a,A | 20.73 ± 0.20 b,B | 38.33 ± 3.12 a,B | 26.02 ± 3.52 b,A | 38.33 ± 3.12 a,b,B |
| 4 | 24.92 ± 0.92 a,B | 46.67 ± 2.93 a,A | 25.44 ± 0.38 a,B | 37.78 ± 3.36 a,B | 31.34 ± 1.46 a,A | 33.75 ± 3.86 b,B |
| Parameters | Entrapment Efficiency (%) | ||||||
|---|---|---|---|---|---|---|---|
| Speed (rpm) | Time (min) | CaCO3 Content (%, w/v) | TRF Content (%, w/w) | α-Tocotrienol | β-/γ-Tocotrienols | δ-Tocotrienol | Total Tocotrienols |
| 2000 | 5 | 0.50 | 1 | 34.15 ± 0.61 d | 37.44 ± 1.97 d | 50.01 ± 1.71 d | 38.44 ± 0.76 d |
| 5000 | 5 | 0.50 | 1 | 39.88 ± 0.44 c | 51.50 ± 0.81 c | 68.93 ± 0.97 c | 50.72 ± 0.67 c |
| 5000 | 15 | 0.50 | 1 | 83.09 ± 4.65 b | 78.12 ± 2.92 b | 80.82 ± 8.66 b | 80.37 ± 3.79 b |
| 5000 | 15 | 0.75 | 1 | 99.16 ± 1.14 a | 93.88 ± 2.59 a | 92.59 ± 4.21 a | 95.49 ± 1.42 a |
| 5000 | 15 | 0.75 | 2 | 87.55 ± 3.49 b | 75.17 ± 1.83 b | 86.18 ± 1.83 a,b | 81.46 ± 1.91 b |
| pH | α-Tocotrienol | β-/γ-Tocotrienols | δ-Tocotrienol | Total Tocotrienols | ||||
|---|---|---|---|---|---|---|---|---|
| Concentration (µg/g) | % Release | Concentration (µg/g) | % Release | Concentration (µg/g) | % Release | Concentration (µg/g) | % Release | |
| 1 | N/A | - | 2.42 ± 0.06 c | 0.37 ± 0.01 c | 1.88 ± 0.06 d | 0.62 ± 0.02 d | 4.30 ± 0.10 c | 0.29 ± 0.01 c |
| 3 | 4.83 ± 0.29 a | 0.89 ± 0.03 a | 8.86 ± 0.26 a | 1.35 ± 0.04 a | 4.52 ± 0.20 a | 1.49 ± 0.07 a | 18.25 ± 0.61 a | 1.21 ± 0.04 a |
| 5 | N/A | - | 1.76 ± 0.07 e | 0.27 ± 0.01 e | 2.27 ± 0.09 c | 0.75 ± 0.03 c | 4.04 ± 0.13 c | 0.27 ± 0.01 c |
| 7 | N/A | - | 2.10 ± 0.11 d | 0.32 ± 0.02 d | 1.89 ± 0.10 d | 0.62 ± 0.03 d | 3.98 ± 0.12 c | 0.26 ± 0.01 c |
| 9 | 2.94 ± 1.69 b | 0.54 ± 0.03 b | 6.45 ± 0.24 b | 0.98 ± 0.04 b | 4.10 ± 3.30 b | 1.35 ± 0.04 b | 13.51 ± 0.49 b | 0.90 ± 0.03 b |
Publisher’s Note: MDPI stays neutral with regard to jurisdictional claims in published maps and institutional affiliations. |
© 2021 by the authors. Licensee MDPI, Basel, Switzerland. This article is an open access article distributed under the terms and conditions of the Creative Commons Attribution (CC BY) license (http://creativecommons.org/licenses/by/4.0/).
Share and Cite
Tan, P.Y.; Tey, B.T.; Chan, E.S.; Lai, O.M.; Chang, H.W.; Tan, T.B.; Liu, Y.; Wang, Y.; Tan, C.P. Stabilization and Release of Palm Tocotrienol Emulsion Fabricated Using pH-Sensitive Calcium Carbonate. Foods 2021, 10, 358. https://doi.org/10.3390/foods10020358
Tan PY, Tey BT, Chan ES, Lai OM, Chang HW, Tan TB, Liu Y, Wang Y, Tan CP. Stabilization and Release of Palm Tocotrienol Emulsion Fabricated Using pH-Sensitive Calcium Carbonate. Foods. 2021; 10(2):358. https://doi.org/10.3390/foods10020358
Chicago/Turabian StyleTan, Phui Yee, Beng Ti Tey, Eng Seng Chan, Oi Ming Lai, Hon Weng Chang, Tai Boon Tan, Yuanfa Liu, Yong Wang, and Chin Ping Tan. 2021. "Stabilization and Release of Palm Tocotrienol Emulsion Fabricated Using pH-Sensitive Calcium Carbonate" Foods 10, no. 2: 358. https://doi.org/10.3390/foods10020358
APA StyleTan, P. Y., Tey, B. T., Chan, E. S., Lai, O. M., Chang, H. W., Tan, T. B., Liu, Y., Wang, Y., & Tan, C. P. (2021). Stabilization and Release of Palm Tocotrienol Emulsion Fabricated Using pH-Sensitive Calcium Carbonate. Foods, 10(2), 358. https://doi.org/10.3390/foods10020358

