Formation of Pyrazines in Maillard Model Systems: Effects of Structures of Lysine-Containing Dipeptides/Tripeptides
Abstract
1. Introduction
2. Materials and Methods
2.1. Chemicals
2.2. Preparation of Maillard Model Reaction Systems
2.3. Determination of Volatile Compounds (Headspace-SPME–GC–MS)
2.4. Identification and Quantification of Volatile Compounds
2.5. Statistical Analysis
3. Results
3.1. Pyrazine Formation in the Maillard Reaction Model Containing Arg/His−Lys Dipeptides and Glucose
3.2. Pyrazine Formation in the Maillard Reaction Model of Lys−Arg/His Dipeptides and Glucose
3.3. Pyrazine Formation in the Maillard Reaction Models of Glucose and Tripeptides with Different Structures
3.4. Principal Component Analysis
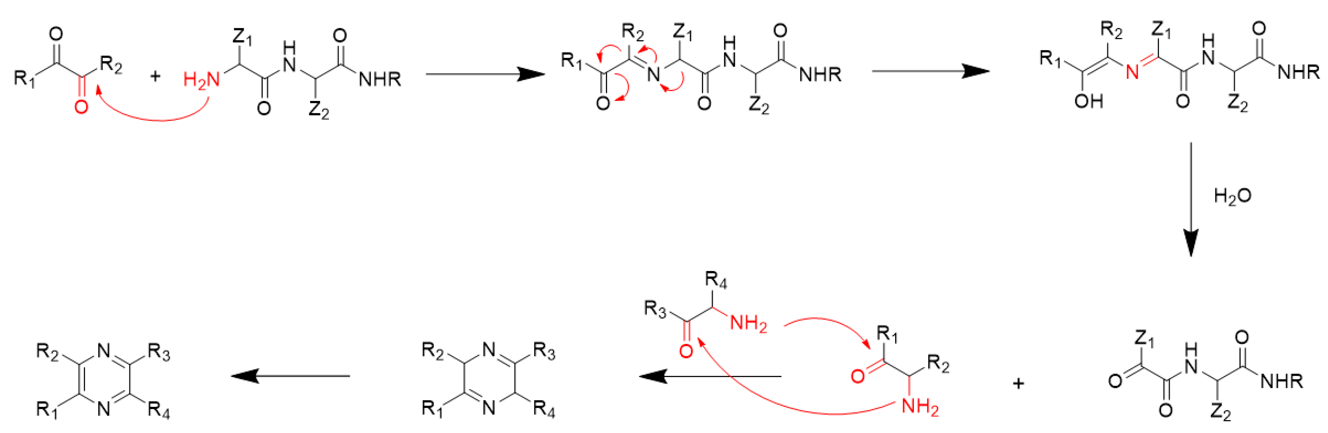
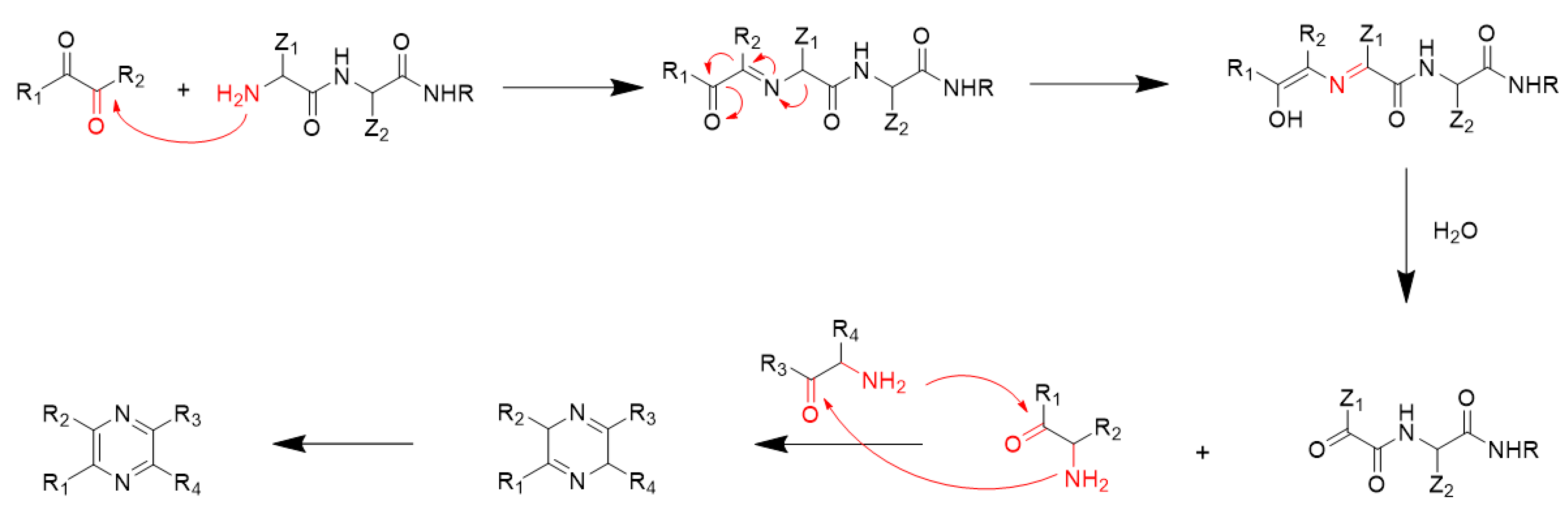
4. Discussion
5. Conclusions
Author Contributions
Funding
Institutional Review Board Statement
Informed Consent Statement
Conflicts of Interest
References
- Nursten, H.E. The Maillard Reaction; Academic Press: Cambridge, MA, USA, 2005. [Google Scholar]
- Martins, S.I.; Jongen, W.M.; van Boekel, M.A. A review of Maillard reaction in food and implications to kinetic modeling. Trends Food Sci. Technol. 2000, 11, 364–373. [Google Scholar] [CrossRef]
- Hwang, H.I.; Hartman, T.G.; Ho, C.T. Relative reactivities of amino acids in pyrazine formation. J. Agric. Food Chem. 1995, 43, 179–184. [Google Scholar] [CrossRef]
- Lutz, R.; Aserin, A.; Garti, N. Maillard reaction between leucine and glucose in o/w microemulsion media in comparison to aqueous solution. J. Dispers. Sci. Technol. 2005, 26, 535–547. [Google Scholar] [CrossRef]
- Samsudin, M.W.; Rongtao, S.; Said, I.M. Volatile compounds produced by the reaction of leucine and valine with glucose in propylene glycol. J. Agric. Food Chem. 1996, 44, 247–250. [Google Scholar] [CrossRef]
- Shu, C.K. Pyrazine formation from amino acids and reducing sugars, a pathway other than Strecker degradation. J. Agric. Food Chem. 1998, 46, 1515–1517. [Google Scholar] [CrossRef]
- Kirimura, J.; Shimizu, A.; Kimizuka, A.; Ninomiya, T.; Katsuya, N. Contribution of peptides and amino acids to the taste of foods. J. Agric. Food Chem. 1969, 17, 689–695. [Google Scholar] [CrossRef]
- Xu, Q.; Liu, J.; Song, H.; Zou, T.; Liu, Y.; Zhang, S. Formation mechanism of volatile and non-volatile compounds in peptide–xylose Maillard reaction. Food Res. Int. 2013, 54, 683–690. [Google Scholar] [CrossRef]
- Hashiba, H. A glucose-diglycine condensation product participating in oxygen dependent browning. J. Agric. Food Chem. 1975, 23, 539–542. [Google Scholar] [CrossRef]
- Liu, J.B.; Liu, M.Y.; He, C.C.; Song, H.L.; Chen, F. Effect of thermal treatment on the flavour generation from Maillard reaction of xylose and chicken peptide. LWT Food Sci. Technol. 2015, 64, 316–325. [Google Scholar] [CrossRef]
- Vinale, F.; Fogliano, V.; Schieberle, P.; Hofmann, T. Development of a stable isotope dilution assay for an accurate quantification of protein-bound Nε-(1-deoxy-D-fructos-1-yl)-L-lysine using a 13C-labeled internal standard. J. Agric. Food Chem. 1999, 47, 5084–5092. [Google Scholar] [CrossRef]
- Wang, R.; Yang, C.; Song, H.L. Key meat flavor compounds formation mechanism in a glutathione-xylose Maillard reaction. Food Chem. 2012, 131, 280–285. [Google Scholar] [CrossRef]
- Scalone, G.L.L.; Cucu, T.; De Kimpe, N.; De Meulenaer, B. Influence of free amino acids, oligopeptides, and polypeptides on the formation of pyrazines in Maillard model systems. J. Agric. Food Chem. 2015, 63, 5364–5372. [Google Scholar] [CrossRef] [PubMed]
- Oh, Y.C.; Hartman, T.; Ho, C.T. Volatile compounds generated from the Maillard reaction of Pro-Gly, Gly-Pro, and a mixture of glycine and proline with glucose. J. Agric. Food Chem. 1992, 40, 1878–1880. [Google Scholar] [CrossRef]
- Oh, Y.C.; Shu, C.K.; Ho, C.T. Formation of novel 2(1H)-pyrazinones as peptide-specific Maillard reaction products. J. Agric. Food Chem. 1992, 40, 118–121. [Google Scholar] [CrossRef]
- Kim, J.S.; Lee, Y.S. Study of Maillard reaction products derived from aqueous model systems with different peptide chain lengths. Food Chem. 2009, 116, 846–853. [Google Scholar] [CrossRef]
- Izzo, H.V.; Ho, C.T. Peptide-specific Maillard reaction products: A new pathway for flavor chemistry. Trends Food Sci. Technol. 1992, 3, 253–257. [Google Scholar]
- Yu, H.; Zhong, Q.; Xie, Y.; Guo, Y.; Yao, W. Kinetic study on the generation of furosine and pyrraline in a Maillard reaction model system of D-glucose and L-lysine. Food Chem. 2020, 317, 126458. [Google Scholar] [CrossRef]
- Nooshkam, M.; Varidi, M.; Bashash, M. The Maillard reaction products as food-born antioxidant and antibrowning agents in model and real food systems. Food Chem. 2019, 275, 644–660. [Google Scholar] [CrossRef]
- Zhang, L.; Sun, Y.; Pu, D.; Zhang, Y.; Sun, B.; Zhao, Z. Kinetics of α-dicarbonyl compounds formation in glucose-glutamic acid model of Maillard reaction. Food Sci. Nutr. 2020. [Google Scholar] [CrossRef]
- Troise, A.D.; Wilkin, J.D.; Fiore, A. Impact of rapeseed press-cake on Maillard reaction in a cookie model system. Food Chem. 2018, 243, 365–372. [Google Scholar] [CrossRef]
- Wei, C.K.; Ni, Z.J.; Thakur, K.; Liao, A.M.; Huang, J.H.; Wei, Z.J. Color and flavor of flaxseed protein hydrolysates Maillard reaction products: Effect of cysteine, initial pH, and thermal treatment. Int. J. Food Prop. 2019, 22, 84–99. [Google Scholar] [CrossRef]
- Bu, Y.; Zhu, L.; Xu, W.; Zhu, W.; Liu, H.; Li, J.; Li, X. Physicochemical and flavor characteristics of Maillard reaction products derived from Aloididae aloidi muscle enzymatic hydrolysates coupled with High-Pressure Processing. Int. J. Food Sci. Technol. 2021. [Google Scholar] [CrossRef]
- Maga, J.A. Pyrazine update. Food Rev. Int. 1992, 8, 479–558. [Google Scholar] [CrossRef]
- Adams, A.; Kimpe, N.D. Chemistry of 2-acetyl-1-pyrroline, 6-acetyl-1,2,3,4-tetrahydropyridine, 2-acetyl-2-thiazoline, and 5-acetyl-2,3-dihydro-4H-thiazine: Extraordinary Maillard flavor compounds. Chem. Rev. 2006, 106, 2299. [Google Scholar] [CrossRef] [PubMed]
- Hwang, H.I.; Hartman, T.G.; Rosen, R.T.; Lech, J.; Ho, C.T. Formation of pyrazines from the Maillard reaction of glucose and lysine-R-amine-15N. J. Agric. Food Chem. 1994, 42, 1000–1004. [Google Scholar] [CrossRef]
- Lu, C.Y.; Hao, Z.G.; Payne, R.; Ho, C.T. Effects of water content on volatile generation and peptide degradation in the Maillard reaction of glycine, diglycine, and triglycine. J. Agric. Food Chem. 2005, 53, 6443–6447. [Google Scholar] [CrossRef]
- Zhang, Y.; Dorjpalam, B.; Ho, C.T. Contribution of peptides to volatile formation in the Maillard reaction of casein hydrolysate with glucose. J. Agric. Food Chem. 1992, 40, 2467–2471. [Google Scholar]
- Van Lancker, F.; Adams, A.; De Kimpe, N. Formation of pyrazines in Maillard model systems of lysine-containing dipeptides. J. Agric. Food Chem. 2010, 58, 2470–2478. [Google Scholar] [CrossRef]
- Van Lancker, F.; Adams, A.; De Kimpe, N. Impact of the N-terminal amino acid on the formation of pyrazines from peptides in Maillard model systems. J. Agric. Food Chem. 2012, 60, 4697–4708. [Google Scholar] [CrossRef]
- Yang, C.; Wang, R.; Song, H. The mechanism of peptide bonds cleavage and volatile compounds generated from pentapeptide to heptapeptide via Maillard reaction. Food Chem. 2012, 133, 373–382. [Google Scholar] [CrossRef]
- Rizzi, G.P. Role of phosphate and carboxylate ions in Maillard browning. J. Agric. Food Chem. 2004, 52, 953–957. [Google Scholar] [CrossRef] [PubMed]
- Bemis-Young, G.L.; Huang, J.; Bernhard, R.A. Effect of pH on pyrazine formation in glucose-glycine model systems. Food Chem. 1993, 46, 383–387. [Google Scholar] [CrossRef]
- Davidek, T.; Devaud, S.; Robert, F.; Blank, I. Sugar fragmentation in the Maillard reaction cascade; isotope labeling studies on the formation of acetic acid by a hydrolytic β-dicarbonyl cleavage mechanism. J. Agric. Food Chem. 2006, 54, 6667–6676. [Google Scholar] [CrossRef] [PubMed]
- De Kok, P.M.T.; Rosing, E.A.E. Reactivity of peptides in the Maillard reaction. Therm. Gener. Flavors. 1993. [Google Scholar] [CrossRef]
- Negroni, M.; D’Agostina, A.; Arnold, A. Effects of Olive, Canola, and Sunflower Oils on the Formation of Volatiles from the Maillard Reaction of Lysine with Xylose and Glucose. J. Agric. Food Chem. 2001, 49, 439–445. [Google Scholar] [CrossRef]
- Baker, G.L.; Cornell, J.A.; Gorbet, D.W.; O’Keefe, S.F.; Sims, C.A.; Talcott, S.T. Determination of Pyrazine and Flavor Variations in Peanut Genotypes During Roasting. J. Food Sci. 2003, 68, 394–400. [Google Scholar] [CrossRef]
- Burdock, G.A.; Carabin, I.G. Safety assessment of 2-ethyl-3,(5 or 6)-dimethylpyrazine as a food ingredient. Regul. Toxicol. Pharmacol. Rtp. 2008, 50, 303–312. [Google Scholar] [CrossRef]
- Koutsidis, G.; Fuente, A.D.L.; Dimitriou, C.; Kakoulli, A.; Mottram, D.S. Acrylamide and pyrazine formation in model systems containing asparagine. J. Agric. Food Chem. 2008, 56, 6105–6112. [Google Scholar] [CrossRef]
- Ruth, S.M.V.; Roozen, J.P. Aroma compounds of oxidized sunflower oil and its oil-in-water emulsion: Volatility and release under mouth conditions. Eur. Food Res. Technol. 2000, 210, 258–262. [Google Scholar] [CrossRef]
- Adams, A.; Polizzi, V.; Van Boekel, M.; De Kimpe, N. Formation of pyrazines and a novel pyrrole in Maillard model systems of 1,3-dihydroxyacetone and 2-oxopropanal. J. Agric. Food Chem. 2008, 56, 2147–2153. [Google Scholar] [CrossRef]
- Zou, T.T.; Liu, J.B.; Song, H.L.; Liu, Y. Discovery of Amadori-type conjugates in a peptide Maillard reaction and their corresponding influence on the formation of pyrazines. J. Food Sci. 2018, 83, 1588–1595. [Google Scholar] [CrossRef] [PubMed]


| No. | RT (min) | Substances | Arg–Lys | Lys + Arg | His–Lys | Lys + His |
|---|---|---|---|---|---|---|
| 1 | 9.556 | pyrazine | 0.10 ± 0.02 | 0.31 ± 0.045 | 0.02 ± 0.001 | 0.07 ± 0.004 |
| 2 | 10.907 | 2-methylpyrazine | 1.05 ± 0.03 | 2.47 ± 0.44 | 0.14 ± 0.03 | 1.06 ± 0.06 |
| 3 | 12.649 | 2,5(6)-dimethylpyrazine | 5.23 ± 0.99 | 0.36 ± 0.007 | 4.05 ± 0.86 | 1.02 ± 0.05 |
| 4 | 13.057 | 2-ethylpyrazine | 0.32 ± 0.04 | ND | 0.05 ± 0.002 | ND |
| 5 | 13.516 | 2,3-dimethylpyrazine | 0.16 ± 0.008 | 0.37 ± 0.004 | 0.01 ± 0.001 | 0.08 ± 0.003 |
| 6 | 14.858 | 2-ethyl-6-methylpyrazine | 1.57 ± 0.06 | 1.14 ± 0.021 | 0.06 ± 0.002 | 0.23 ± 0.06 |
| 7 | 15.092 | 2-ethyl-5-methylpyrazine | 1.35 ± 0.11 | 0.83 ± 0.06 | 0.43 ± 0.06 | 1.20 ± 0.04 |
| 8 | 15.525 | 2,3,5-trimethylpyrazine | 1.26 ± 0.08 | 0.59 ± 0.08 | 0.68 ± 0.05 | 0.07 ± 0.003 |
| 9 | 15.975 | 2-(N-propyl)pyrazine | 0.02 ± 0.004 | ND | ND | ND |
| 10 | 16.484 | 2,6-diethylpyrazine | 0.08 ± 0.002 | ND | ND | ND |
| 11 | 16.534 | ethenylpyrazine | 0.02 ± 0.001 | 0.27 ± 0.02 | ND | ND |
| 12 | 16.834 | 3-ethyl-2,5-dimethylpyrazine | 0.93 ± 0.05 | 2.50 ± 0.18 | 0.08 ± 0.003 | 0.80 ± 0.01 |
| 13 | 17.334 | 2,5-diethylpyrazine | 0.09 ± 0.004 | ND | 0.02 ± 0.001 | 0.18 ± 0.02 |
| 14 | 17.376 | 2-ethyl-3,5-dimethylpyrazine | 0.17 ± 0.03 | ND | ND | ND |
| 15 | 17.476 | 2-methyl-6-propylpyrazine | 0.10 ± 0.002 | 0.10 ± 0.008 | ND | ND |
| 16 | 17.859 | 2-methyl-5-propylpyrazine | 0.05 ± 0.007 | ND | ND | ND |
| 17 | 18.201 | 2-ethenyl-6-methylpyrazine | 0.05 ± 0.003 | 0.24 ± 0.03 | ND | ND |
| 18 | 18.359 | 3,5-diethyl-2-methylpyrazine | 0.30 ± 0.008 | 0.38 ± 0.07 | ND | 0.13 ± 0.03 |
| 19 | 18.960 | 2,5-dimethyl-3-propylpyrazine | 0.10 ± 0.001 | 0.19 ± 0.02 | ND | 0.12 ± 0.03 |
| 20 | 19.685 | 2-methyl-6-(1-propenyl)-,(E)-pyrazine | 0.07 ± 0.002 | 0.34 ± 0.006 | ND | 0.15 ± 0.01 |
| Total pyrazines | 13.12 ± 0.96 | 10.09 ± 0.37 | 5.54 ± 0.23 | 5.11 ± 0.38 | ||
| Pyrazines (%of total GC-MS peak area) | 73.83 | 22.10 | 56.94 | 20.71 |
| No. | RT (min) | Substances | Lys-Arg | Lys + Arg | Lys-His | Lys + His |
|---|---|---|---|---|---|---|
| 1 | 9.556 | pyrazine | 0.10 ± 0.004 | 0.31 ± 0.09 | 0.05 ± 0.003 | 0.07 ± 0.002 |
| 2 | 10.907 | 2-methylpyrazine | 0.41 ± 0.07 | 2.47 ± 0.04 | 0.90 ± 0.02 | 1.06 ± 0.03 |
| 3 | 12.649 | 2,5(6)-dimethylpyrazine | 5.03 ± 0.78 | 0.36 ± 0.05 | 4.73 ± 0.14 | 1.02 ± 0.04 |
| 4 | 13.057 | 2-ethylpyrazine | ND | ND | 0.15 ± 0.02 | ND |
| 5 | 13.516 | 2,3-dimethylpyrazine | 0.02 ± 0.003 | 0.37 ± 0.07 | 0.54 ± 0.008 | 0.08 ± 0.004 |
| 6 | 14.858 | 2-ethyl-6-methylpyrazine | ND | 1.14 ± 0.11 | 0.22 ± 0.006 | 0.23 ± 0.01 |
| 7 | 15.092 | 2-ethyl-5-methylpyrazine | 0.03 ± 0.005 | 0.83 ± 0.04 | 1.98 ± 0.03 | 1.20 ± 0.07 |
| 8 | 15.525 | 2,3,5-trimethylpyrazine | 1.26 ± 0.02 | 0.59 ± 0.06 | 0.86 ± 0.007 | 0.07 ± 0.002 |
| 9 | 16.484 | 2,6-diethylpyrazine | ND | ND | 0.03 ± 0.005 | ND |
| 10 | 16.534 | ethenylpyrazine | 0.04 ± 0.006 | 0.27 ± 0.01 | ND | ND |
| 11 | 16.834 | 3-ethyl-2,5-dimethylpyrazine | ND | 2.50 ± 0.03 | 0.29 ± 0.02 | 0.80 ± 0.05 |
| 12 | 17.334 | 2,5-diethylpyrazine | ND | ND | 0.23 ± 0.06 | 0.18 ± 0.008 |
| 13 | 17.376 | 2-ethyl-3,5-dimethylpyrazine | ND | ND | 0.26 ± 0.09 | ND |
| 14 | 17.476 | 2-methyl-6-propylpyrazine | ND | 0.10 ± 0.01 | ND | ND |
| 15 | 17.859 | 2-methyl-5-propylpyrazine | ND | ND | 0.04 ± 0.003 | ND |
| 16 | 18.201 | 2-ethenyl-6-methylpyrazine | ND | 0.24 ± 0.14 | 0.01 ± 0.001 | ND |
| 17 | 18.359 | 3,5-diethyl-2-methylpyrazine | ND | 0.38 ± 0.09 | 0.21 ± 0.03 | 0.13 ± 0.003 |
| 18 | 18.401 | (1-methylethenyl)pyrazine | 0.09 | ND | ND | ND |
| 19 | 18.960 | 2,5-dimethyl-3-propylpyrazine | ND | 0.19 ± 0.02 | 0.02 ± 0.005 | 0.12 ± 0.01 |
| 20 | 19.027 | 2,3-diethyl-5-methylpyrazine | ND | ND | 0.02 ± 0.002 | ND |
| 21 | 19.685 | 2-methyl-6-(1-propenyl)-,(E)-pyrazine | 0.06 ± 0.003 | 0.34 ± 0.09 | 0.09 ± 0.001 | 0.15 ± 0.04 |
| Total pyrazines | 7.04 ± 0.82 | 10.09 ± 0.98 | 10.63 ± 1.22 | 5.11 ± 0.85 | ||
| Pyrazines (%of total GC–MS peak area) | 23.76 | 22.10 | 84.10 | 20.71 |
| No. | RT (min) | Substances | L-A-H | L-H-A | H-A-L | H-L-A | A-L-H | A-H-L | A+H+L |
|---|---|---|---|---|---|---|---|---|---|
| 1 | 9.556 | pyrazine | 0.05 ± 0.002 | 0.04 ± 0.002 | 0.02 ± 0.001 | 0.02 ± 0.001 | 0.03 ± 0.001 | 0.04 ± 0.003 | 0.12 ± 0.02 |
| 2 | 10.907 | 2-methylpyrazine | 0.52 ± 0.02 | 0.43 ± 0.03 | 0.22 ± 0.03 | 0.22 ± 0.02 | 0.50 ± 0.03 | 0.52 ± 0.05 | 1.90 ± 0.12 |
| 3 | 12.649 | 2,5(6)-dimethylpyrazine | 1.63 ± 0.04 | 1.41 ± 0.17 | 0.69 ± 0.18 | 0.61 ± 0.01 | 1.80 ± 0.13 | 1.83 ± 0.12 | 4.68 ± 0.11 |
| 4 | 13.057 | 2-ethylpyrazine | 0.11 ± 0.01 | 0.09 ± 0.01 | 0.06 ± 0.002 | 0.04 ± 0.001 | 0.13 ± 0.004 | 0.14 ± 0.03 | ND |
| 5 | 13.516 | 2,3-dimethylpyrazine | 0.24 ± 0.02 | 0.20 ± 0.02 | 0.02 ± 0.001 | 0.02 ± 0.001 | 0.06 ± 0.005 | 0.06 ± 0.003 | 0.08 ± 0.01 |
| 6 | 14.858 | 2-ethyl-6-methylpyrazine | 0.13 ± 0.01 | 0.12 ± 0.01 | 0.10 ± 0.007 | 0.14 ± 0.02 | 0.40 ± 0.002 | 0.24 ± 0.002 | 1.15 ± 0.08 |
| 7 | 15.092 | 2-ethyl-5-methylpyrazine | 0.85 ± 0.02 | 0.77 ± 0.05 | 0.32 ± 0.02 | 0.29 ± 0.06 | 0.91 ± 0.09 | 0.95 ± 0.01 | 1.02 ± 0.03 |
| 8 | 15.525 | 2,3,5-trimethylpyrazine | 0.43 ± 0.01 | 0.40 ± 0.03 | 0.08 ± 0.003 | 0.09 ± 0.001 | 0.32 ± 0.08 | 0.32 ± 0.02 | 0.77 ± 0.01 |
| 9 | 15.975 | 2-(N-propyl)pyrazine | ND | ND | ND | ND | 0.01 ± 0.001 | ND | ND |
| 10 | 16.484 | 2,6-diethylpyrazine | 1.99 ± 0.04 | 0.02 ± 0.001 | 0.01 ± 0.001 | 0.01 ± 0.001 | 0.04 ± 0.002 | 0.03 ± 0.001 | 0.03 ± 0.002 |
| 11 | 16.534 | ethenylpyrazine | ND | ND | ND | ND | ND | ND | 0.05 ± 0.001 |
| 12 | 16.834 | 3-ethyl-2,5-dimethylpyrazine | 0.31 ± 0.01 | 0.25 ± 0.02 | 0.11 ± 0.01 | 0.16 ± 0.03 | 0.48 ± 0.05 | 0.31 ± 0.005 | 1.02 ± 0.01 |
| 13 | 17.334 | 2,5-diethylpyrazine | 0.13 ± 0.03 | 0.10 ± 0.01 | 0.04 ± 0.003 | 0.05 ± 0.003 | 0.12 ± 0.01 | 0.12 ± 0.002 | 0.16 ± 0.01 |
| 14 | 17.376 | 2-ethyl-3,5-dimethylpyrazine | 0.21 ± 0.07 | 0.19 ± 0.04 | 0.03 ± 0.001 | 0.03 ± 0.002 | 0.15 ± 0.02 | 0.12 ± 0.001 | ND |
| 15 | 17.476 | 2-methyl-6-propylpyrazine | 0.01 ± 0.001 | ND | ND | 0.01 ± 0.001 | 0.02 ± 0.001 | ND | 0.12 ± 0.008 |
| 16 | 17.859 | 2-methyl-5-propylpyrazine | 0.02 ± 0.001 | 0.03 ± 0.002 | ND | ND | 0.03 ± 0.001 | 0.02 ± 0.001 | ND |
| 17 | 18.201 | 2-ethenyl-6-methylpyrazine | ND | ND | ND | ND | 0.01 ± 0.001 | 0.01 ± 0.001 | 0.08 ± 0.002 |
| 18 | 18.359 | 3,5-diethyl-2-methylpyrazine | 0.17 ± 0.03 | 0.13 ± 0.01 | ND | 0.08 ± 0.005 | ND | 0.14 ± 0.002 | 0.16 ± 0.01 |
| 19 | 18.960 | 2,5-dimethyl-3-propylpyrazine | 0.04 ± 0.002 | 0.02 ± 0.01 | ND | ND | ND | 0.02 ± 0.001 | 0.16 ± 0.02 |
| 20 | 19.027 | 2,3-diethyl-5-methylpyrazine | 0.02 ± 0.001 | ND | ND | ND | ND | ND | ND |
| 21 | 19.685 | 2-methyl-6-(1-propenyl)-, (E)-pyrazine | ND | ND | ND | ND | ND | 0.02 ± 0.001 | 0.29 ± 0.01 |
| Total pyrazines | 6.86 ± 0.11 | 4.20 ± 0.21 | 1.70 ± 0.06 | 1.77 ± 0.004 | 5.01 ± 0.15 | 4.89 ± 0.32 | 11.79 ± 0.98 | ||
| Pyrazines (%of total GC–MS peak area) | 79.16 | 72.78 | 13.84 | 27.90 | 81.30 | 69.48 | 30.38 |
Publisher’s Note: MDPI stays neutral with regard to jurisdictional claims in published maps and institutional affiliations. |
© 2021 by the authors. Licensee MDPI, Basel, Switzerland. This article is an open access article distributed under the terms and conditions of the Creative Commons Attribution (CC BY) license (http://creativecommons.org/licenses/by/4.0/).
Share and Cite
Wang, F.; Shen, H.; Liu, T.; Yang, X.; Yang, Y.; Guo, Y. Formation of Pyrazines in Maillard Model Systems: Effects of Structures of Lysine-Containing Dipeptides/Tripeptides. Foods 2021, 10, 273. https://doi.org/10.3390/foods10020273
Wang F, Shen H, Liu T, Yang X, Yang Y, Guo Y. Formation of Pyrazines in Maillard Model Systems: Effects of Structures of Lysine-Containing Dipeptides/Tripeptides. Foods. 2021; 10(2):273. https://doi.org/10.3390/foods10020273
Chicago/Turabian StyleWang, Furong, Hailiang Shen, Ting Liu, Xi Yang, Yali Yang, and Yurong Guo. 2021. "Formation of Pyrazines in Maillard Model Systems: Effects of Structures of Lysine-Containing Dipeptides/Tripeptides" Foods 10, no. 2: 273. https://doi.org/10.3390/foods10020273
APA StyleWang, F., Shen, H., Liu, T., Yang, X., Yang, Y., & Guo, Y. (2021). Formation of Pyrazines in Maillard Model Systems: Effects of Structures of Lysine-Containing Dipeptides/Tripeptides. Foods, 10(2), 273. https://doi.org/10.3390/foods10020273
