A Rapid Detection Method for Tomato Gray Mold Spores in Greenhouse Based on Microfluidic Chip Enrichment and Lens-Less Diffraction Image Processing
Abstract
:1. Introduction
2. Materials and Methods
2.1. Spore Sample Preparation
2.2. Design of Microfluidic Chip
2.3. Numerical Method
2.4. Diffraction Image Detection Platform Setup
2.5. Diffraction Image Processing and Counting
2.6. Statistical Analysis
3. Results and Discussion
3.1. Particle Motion Simulation
3.2. Spore Collection Experiment
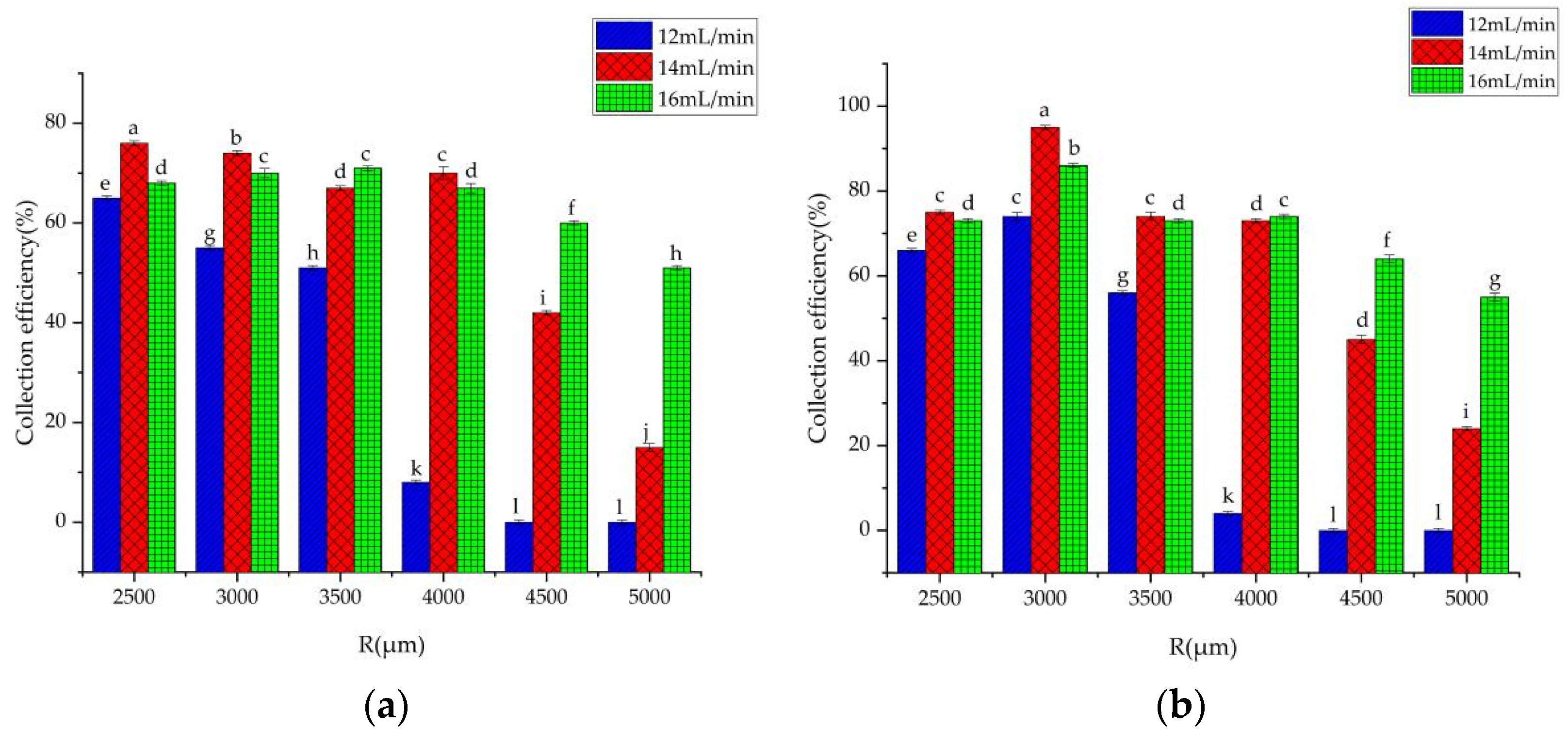
3.2.1. Evaluation of B. cinerea Spores Collection Efficiency
3.2.2. Result of Spore Collection
3.3. Spore Count Results
3.3.1. Evaluation of B. cinerea Spores Count Results
3.3.2. Analysis of B. cinerea Spores Count Results
4. Conclusions
Author Contributions
Funding
Acknowledgments
Conflicts of Interest
References
- Zhang, C.; Li, X.Y.; Yan, H.F.; Ullah, I.; Zuo, Z.Y.; Li, L.L.; Yu, J.J. Effects of irrigation quantity and biochar on soil physical properties, growth characteristics, yield, and quality of greenhouse tomato. Agric. Water Manag. 2020, 241, 106263. [Google Scholar] [CrossRef]
- Wang, Y.F.; Ma, G.X.; Du, X.X.; Liu, Y.; Wang, B.; Xu, G.L.; Mao, H.P. Effects of Nutrient Solution Irrigation Quantity and Downy Mildew Infection on Growth and Physiological Traits of Greenhouse Cucumber. Agronomy 2020, 10, 1921. [Google Scholar] [CrossRef]
- Meng, F.Y.; Lv, R.; Cheng, M.Z.; Mo, F.L.; Zhang, N.; Qi, H.N.; Liu, J.Y.; Chen, X.L.; Liu, X.L.; Liu, Y.X.; et al. Insights into the molecular basis of biocontrol of Botrytis cinerea by Clonostachys rosea in tomato. Sci. Hortic. 2022, 291, 110547. [Google Scholar] [CrossRef]
- Chen, X.; Zhou, G.X.; Chen, A.; Yi, J.Z.; Zhang, W.Z.; Hu, Y.H. Identification of tomato leaf diseases based on combination of ABCK-BWTR and B-ARNet. Comput. Electron. Agric. 2020, 178, 105730. [Google Scholar] [CrossRef]
- Wang, Y.F.; Zhang, X.D.; Yang, N.; Ma, G.X.; Du, X.X.; Mao, H.P. Separation-enrichment method for airborne disease spores based on a microfluidic chip. Int. J. Agric. Biol. Eng. 2021, 14, 199–205. [Google Scholar] [CrossRef]
- Xie, C.Q.; Yang, C.; He, Y. Hyperspectral imaging for classification of healthy and gray mold diseased tomato leaves with different infection severities. Comput. Electron. Agric. 2017, 135, 154–162. [Google Scholar] [CrossRef]
- Wang, Y.F.; Du, X.X.; Ma, G.X.; Liu, Y.; Wang, B.; Mao, H.P. Classification Methods for Airborne Disease Spores from Greenhouse Crops Based on Multifeature Fusion. Appl. Sci. 2020, 10, 7850. [Google Scholar] [CrossRef]
- Malolepsza, U. Induction of disease resistance by acibenzolar-S-methyl and o-hydroxyethylorutin against botrytis cinerea in tomato plants. Crop. Prot. 2006, 25, 956–962. [Google Scholar] [CrossRef]
- Xie, C.Q.; Wang, H.L.; Shao, Y.N.; He, Y. Different Algorithms for Detection of Malondialdehyde Content in Eggplant Leaves Stressed by Grey Mold Based on Hyperspectral Imaging Technique. Intell. Autom. Soft Comput. 2015, 21, 395–407. [Google Scholar] [CrossRef]
- Hafez, Y.M.; Attia, K.A.; Kanel, S.; Alamery, S.; El-Gendy, S.; Al-Doss, A.A.; Mehiar, F.; Ghazy, A.; Ibrahim, E.I.; Abdelaal, K.A.A. Bacillus subtilis as a bio-agent combined with nano molecules can control powdery mildew disease through histochemical and physiobiochemical changes in cucumber plants. Physiol. Mol. Plant Pathol. 2020, 111, 101489. [Google Scholar] [CrossRef]
- Tanaka, K.; Fukuda, M.; Amaki, Y.; Sakaguchi, T.; Inai, K.; Ishihara, A.; Nakajima, H. Importance of prumycin produced by Bacillus amyloliquefaciens SD-32 in biocontrol against cucumber powdery mildew disease. Pest Manag. Sci. 2017, 73, 2419–2428. [Google Scholar] [CrossRef] [PubMed]
- Wallace, E.C.; D’Arcangelo, K.N.; Quesada-Ocampo, L.M. Population Analyses Reveal Two Host-Adapted Clades of Pseudoperonospora cubensis, the Causal Agent of Cucurbit Downy Mildew, on Commercial and Wild Cucurbits. Phytopathology 2020, 110, 1578–1587. [Google Scholar] [CrossRef]
- Abbas, A.; Jain, S.; Gour, M.; Vankudthu, S. Tomato plant disease detection using transfer learning with C-GAN synthetic images. Comput. Electron. Agric. 2021, 187, 106279. [Google Scholar] [CrossRef]
- Gu, Q.; Sheng, L.; Zhang, T.H.; Lu, Y.W.; Zhang, Z.J.; Zheng, K.F.; Hu, H.; Zhou, H.K. Early detection of tomato spotted wilt virus infection in tobacco using the hyperspectral imaging technique and machine learning algorithms. Comput. Electron. Agric. 2019, 169, 105066. [Google Scholar] [CrossRef]
- Sireesha, Y.; Velazhahan, R. Rapid and specific detection of Peronosclerospora sorghi in maize seeds by conventional and real-time PCR. Eur. J. Plant Pathol. 2018, 150, 521–526. [Google Scholar] [CrossRef]
- Bandamaravuri, K.B.; Nayak, A.K.; Bandamaravuri, A.S.; Samad, A. Simultaneous detection of downy mildew and powdery mildew pathogens on Cucumis sativus and other cucurbits using duplex-qPCR and HRM analysis. AMB Express 2020, 10, 135. [Google Scholar] [CrossRef] [PubMed]
- Chen, J.J.; Li, K.T. Analysis of PCR Kinetics inside a Microfluidic DNA Amplification System. Micromachines 2018, 9, 48. [Google Scholar] [CrossRef] [Green Version]
- Akhmadeev, A.A.; Salakhov, M.K. A new approach of recognition of ellipsoidal micro- and nanoparticles on AFM images and determination of their sizes. Meas. Sci. Technol. 2016, 27, 105402. [Google Scholar] [CrossRef]
- Abdulridha, J.; Ampatzidis, Y.; Kakarla, S.C.; Roberts, P. Detection of target spot and bacterial spot diseases in tomato using UAV-based and benchtop-based hyperspectral imaging techniques. Precis. Agric. 2019, 21, 955–978. [Google Scholar] [CrossRef]
- Lei, Y.; Yao, Z.F.; He, D.J. Automatic detection and counting of urediniospores of Puccinia striiformis f.sp tritici using spore traps and image processing. Sci. Rep. 2018, 8, 13647. [Google Scholar] [CrossRef] [PubMed] [Green Version]
- Yang, N.; Yu, J.J.; Wang, A.Y.; Tang, J.; Zhang, R.B.; Xie, L.L.; Shu, F.Y.; Kwabena, O.P. A rapid rice blast detection and identification method based on crop disease spores’ diffraction fingerprint texture. J. Sci. Food Agric. 2020, 100, 3608–3621. [Google Scholar] [CrossRef] [PubMed]
- Yang, N.; Chen, C.Y.; Li, T.; Li, Z.; Zou, L.R.; Zhang, R.B.; Mao, H.P. Portable Rice Disease Spores Capture and Detection Method Using Diffraction Fingerprints on Microfluidic Chip. Micromachines 2019, 10, 289. [Google Scholar] [CrossRef] [Green Version]
- Wang, P.; Yuan, S.Q.; Yang, N.; Wang, A.Y.; Fordjour, A.; Chen, S.B. The Collection Method for Crop Fungal Spores Based on an Efficient Microfluidic Device. Aerosol Air Qual. Res. 2020, 20, 72–79. [Google Scholar] [CrossRef] [Green Version]
- Lee, K.; Lee, J.W.; Ha, D.; Kim, M.; Kim, T. Low-electric-potential-assisted diffusiophoresis for continuous separation of nanoparticles on a chip. Lab Chip 2020, 20, 2735–2747. [Google Scholar] [CrossRef] [PubMed]
- Chung, A.J.; Gossett, D.R.; Di, C.D. Three Dimensional, Sheathless, and High-Throughput Microparticle Inertial Focusing Through Geometry-Induced Secondary Flows. Small 2013, 9, 685–690. [Google Scholar] [CrossRef] [PubMed]
- Seo, J.; Lean, M.H.; Kole, A. Membrane-free microfiltration by asymmetric inertial migration. Appl. Phys. Lett. 2007, 91, 033901. [Google Scholar] [CrossRef] [Green Version]
- Zhu, Y.D.; Zhang, J.Y.; Li, M.Y.; Zhao, L.J.; Ren, H.R.; Yan, L.G.; Zhao, G.M.; Zhu, C.Z. Rapid determination of spore germinability of Clostridium perfringens based on microscopic hyperspectral imaging technology and chemometrics. J. Food Eng. 2020, 280, 109896. [Google Scholar] [CrossRef]
- Wang, P.; Yuan, S.Q.; Yang, N.; Wang, A.Y. Performance Evaluation of a Virtual Impactor with an Additional Pretreatment Structure for Particle Separation. Aerosol Air Qual. Res. 2021, 21, 200269. [Google Scholar] [CrossRef]
- Ho, M.T.; Li, J.; Su, W.; Wu, L.; Borg, M.K.; Li, H.; Zhang, Y.H. Rarefied flow separation in microchannel with bends. J. Fluid Mech. 2020, 901, A26. [Google Scholar] [CrossRef]
- Xu, P.F.; Zhang, R.B.; Yang, N.; Oppong, P.K.; Sun, J.; Wang, P. High-precision extraction and concentration detection of airborne disease microorganisms based on a microfluidic chip. Biomicrofluidics 2019, 13, 023110. [Google Scholar] [CrossRef]
- Ashley-Martin, J.; Guadreau, E.; Dumas, P.; Liang, C.L.; Logvin, A.; Belanger, P.; Provencher, G.; Gagne, S.; Foster, W.; Lanphear, B.; et al. Direct LC-MS/MS, and indirect GC-MS/MS methods for measuring urinary bisphenol A concentrations are comparable. Environ. Int. 2021, 157, 106874. [Google Scholar] [CrossRef] [PubMed]











| Velocity | Count Type | Experimental Groups | ||||||
|---|---|---|---|---|---|---|---|---|
| G 1 | G 2 | G 3 | G 4 | G 5 | Average | Standard Deviation | ||
| 12 mL/min | Collection Tank | 82 | 89 | 91 | 87 | 94 | 88.6 | 4.03 |
| Other areas | 28 | 35 | 40 | 38 | 43 | 36.8 | 5.11 | |
| Sum | 110 | 124 | 131 | 125 | 137 | 125.4 | 9.00 | |
| Collection Efficiency | 74.55% | 71.77% | 67.91% | 69.6% | 68.61% | 70.65% | 0.024 | |
| 14 mL/min | Collection Tank | 94 | 98 | 103 | 87 | 109 | 98.2 | 7.52 |
| Other areas | 12 | 16 | 14 | 11 | 17 | 14 | 2.28 | |
| Sum | 106 | 114 | 117 | 98 | 126 | 112.2 | 9.55 | |
| Collection Efficiency | 88.68% | 85.96% | 88.03% | 88.78% | 86.51% | 87.52% | 0.012 | |
| 16 mL/min | Collection Tank | 86 | 92 | 82 | 78 | 84 | 84.4 | 4.63 |
| Other areas | 25 | 32 | 20 | 18 | 23 | 23.6 | 4.84 | |
| Sum | 111 | 124 | 102 | 96 | 107 | 108 | 9.44 | |
| Collection Efficiency | 77.48% | 74.19% | 80.39% | 81.25% | 78.5% | 77.96% | 0.025 | |
| Number | Computer Image Processing Counting | Manual Microscope Counting | Counting Error (%) | Average Counting Error (%) |
|---|---|---|---|---|
| 1 | 36 | 38 | 5.26 | 6.42 |
| 2 | 39 | 36 | 8.33 | |
| 3 | 37 | 40 | 7.5 | |
| 4 | 35 | 37 | 5.41 | |
| 5 | 37 | 35 | 5.71 | |
| 6 | 29 | 31 | 6.45 | |
| 7 | 38 | 35 | 8.57 | |
| 8 | 37 | 39 | 5.13 | |
| 9 | 30 | 32 | 6.25 | |
| 10 | 38 | 36 | 5.56 |
Publisher’s Note: MDPI stays neutral with regard to jurisdictional claims in published maps and institutional affiliations. |
© 2021 by the authors. Licensee MDPI, Basel, Switzerland. This article is an open access article distributed under the terms and conditions of the Creative Commons Attribution (CC BY) license (https://creativecommons.org/licenses/by/4.0/).
Share and Cite
Wang, Y.; Mao, H.; Zhang, X.; Liu, Y.; Du, X. A Rapid Detection Method for Tomato Gray Mold Spores in Greenhouse Based on Microfluidic Chip Enrichment and Lens-Less Diffraction Image Processing. Foods 2021, 10, 3011. https://doi.org/10.3390/foods10123011
Wang Y, Mao H, Zhang X, Liu Y, Du X. A Rapid Detection Method for Tomato Gray Mold Spores in Greenhouse Based on Microfluidic Chip Enrichment and Lens-Less Diffraction Image Processing. Foods. 2021; 10(12):3011. https://doi.org/10.3390/foods10123011
Chicago/Turabian StyleWang, Yafei, Hanping Mao, Xiaodong Zhang, Yong Liu, and Xiaoxue Du. 2021. "A Rapid Detection Method for Tomato Gray Mold Spores in Greenhouse Based on Microfluidic Chip Enrichment and Lens-Less Diffraction Image Processing" Foods 10, no. 12: 3011. https://doi.org/10.3390/foods10123011
APA StyleWang, Y., Mao, H., Zhang, X., Liu, Y., & Du, X. (2021). A Rapid Detection Method for Tomato Gray Mold Spores in Greenhouse Based on Microfluidic Chip Enrichment and Lens-Less Diffraction Image Processing. Foods, 10(12), 3011. https://doi.org/10.3390/foods10123011

