Evaluation of the Structural, Physicochemical and Functional Properties of Dietary Fiber Extracted from Newhall Navel Orange By-Products
Abstract
:1. Introduction
2. Materials and Methods
2.1. Materials and Chemicals
2.2. Preparation of Citrus Dietary Fiber
2.2.1. Preliminary Treatment of Orange
2.2.2. Extraction of IDFs and SDFs
2.3. Molecular Weight of IDFs and SDFs
2.4. Monosaccharide Compositions of IDFs and SDFs
2.5. Scanning Electron Microscopy (SEM)
2.6. Fourier Transfer-Infrared Spectrometry (FT-IR)
2.7. X-ray Diffraction (XRD)
2.8. Physicochemical and Functional Properties of Orange DF
2.8.1. Water-Holding Capacity (WHC)
2.8.2. Oil-Holding Capacity (OHC)
2.8.3. The Swelling Capacity (SC)
2.8.4. Cation Exchange Capacity (CEC)
2.8.5. Cholesterol Adsorption Capacity (CAC)
2.8.6. Nitrite Ion Absorption Capacity (NIAC)
2.9. Statistical Analysis
3. Results
3.1. The Extraction Yield of SDFs and IDFs
3.2. Molecular Weight
3.3. The Monosaccharide Composition of SDFs and IDFs
3.4. SEM Analyses of SDFs and IDFs
3.5. FT-IR
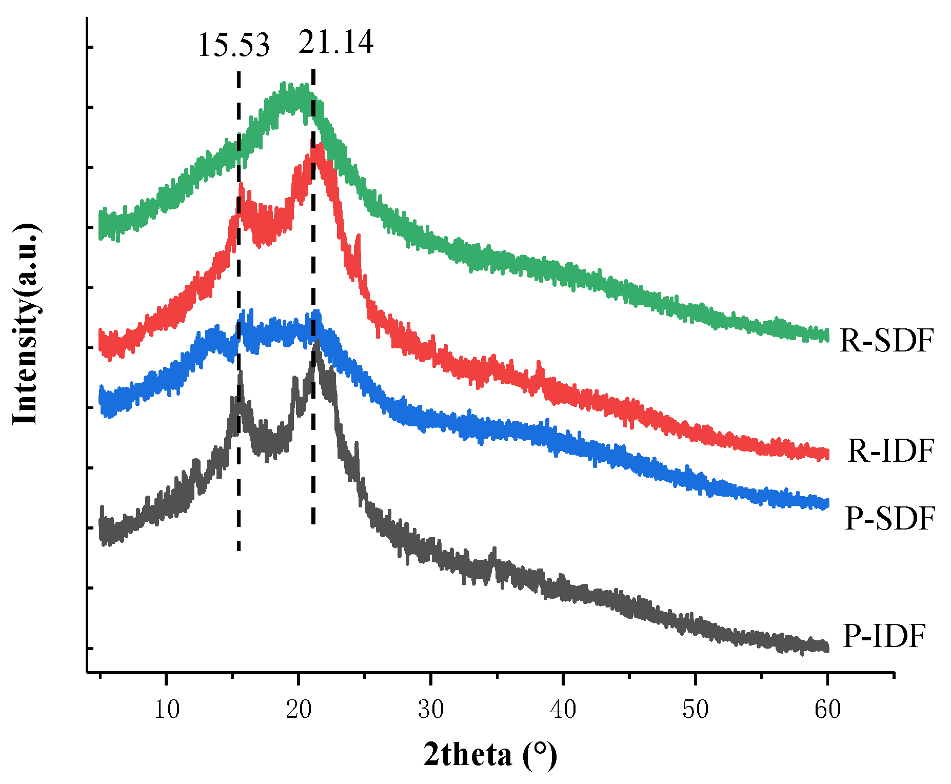
3.6. X-ray Diffractometry
3.7. Physicochemical and Functional Properties of SDFs and IDFs
3.7.1. WHC, OHC, SC and CEC
3.7.2. Cholesterol Adsorption Capacity (CAC)
3.7.3. Nitrite Ion Absorption Capacity (NIAC)
4. Discussion
Author Contributions
Funding
Conflicts of Interest
References
- Huang, J.Y.; Liao, J.S.; Qi, J.R.; Jiang, W.X.; Yang, X.Q. Structural and physicochemical properties of pectin-rich dietary fiber prepared from citrus peel. Food Hydrocoll. 2021, 110, 106140. [Google Scholar] [CrossRef]
- Chau, C.F.; Huang, Y.L. Comparison of the chemical composition and physicochemical properties of different fibers prepared from the peel of Citrus sinensis L. Cv. Liucheng. J. Agric. Food Chem. 2003, 51, 2615–2618. [Google Scholar] [CrossRef] [PubMed]
- Llorach, R.; Espín, J.C.; Tomas-Barberan, F.A.; Ferreres, F. Valorization of Cauliflower (Brassica oleracea L. var. botrytis) by-products as a source of antioxidant phenolics. J. Agric. Food Chem. 2003, 51, 2181–2187. [Google Scholar] [CrossRef] [PubMed]
- Rodríguez, R.; Jiménez, A.; Fernández-Bolańos, J.; Guillén, R.; Heredia, A. Dietary fibre from vegetable products as source of functional ingredients. Trends Food Sci. Technol. 2006, 17, 3–15. [Google Scholar] [CrossRef]
- Zhu, Y.; Chu, J.X.; Lu, Z.X.; Lv, F.X.; Bie, X.M.; Zhang, C.; Zhao, H.Z. Physicochemical and functional properties of dietary fiber from foxtail millet (Setaria italic) bran. J. Cereal Sci. 2018, 79, 456–461. [Google Scholar] [CrossRef]
- Jing, Y.; Chi, Y.J. Effects of twin-screw extrusion on soluble dietary fibre and physicochemical properties of soybean residue. Food Chem. 2013, 138, 884–889. [Google Scholar] [CrossRef] [PubMed]
- Zhang, Y.; Liao, J.; Qi, J.R. Functional and structural properties of dietary fiber from citrus peel affected by the alkali combined with high-speed homogenization treatment. Food Sci. Technol. 2020, 128, 109397. [Google Scholar] [CrossRef]
- Song, J.H.; Pan, T.; Wu, J.P.; Ren, F.Z. The improvement effect and mechanism of citrus fiber on the water-binding ability of low-fat frankfurters. J. Food Sci. Technol. 2016, 53, 4197–4204. [Google Scholar] [CrossRef] [PubMed] [Green Version]
- Gan, J.; Huang, Z.Y.; Yu, Q.; Peng, G.Y.; Xie, J.H.; Nie, S.P.; Xie, M.Y. Microwave assisted extraction with three modifications on structural and functional properties of soluble dietary fibers from grapefruit peel. Food Hydrocoll. 2020, 101, 105549. [Google Scholar] [CrossRef]
- Dong, W.; Wang, D.; Hu, R.S.; Long, Y.Z.; Lv, L.S. Chemical composition, structural and functional properties of soluble dietary fiber obtained from coffee peel using different extraction methods. Food Res. Search Int. 2020, 136, 109497. [Google Scholar] [CrossRef]
- Ma, M.M.; Mu, T.H. Effects of extraction methods and particle size distribution on the structural, physicochemical, and functional properties of dietary fiber from deoiled cumin. Food Chem. 2016, 194, 237–246. [Google Scholar] [CrossRef] [PubMed]
- Bagherian, H.; Ashtiani, F.Z.; Fouladitajar, A.; Mohtashamy, M. Comparisons between conventional, microwave- and ultrasound-assisted methods for extraction of pectin from grapefruit. Chem. Eng. Process. 2011, 50, 1237–1243. [Google Scholar] [CrossRef]
- Nyman, E.M.G.L.; Svanberg, S.J.M. Modification of physicochemical properties of dietary fibre in carrots by mono- and divalent cations. Food Chem. 2002, 76, 273–280. [Google Scholar] [CrossRef]
- Chen, S.; Chen, H.; Tian, J.; Wang, J.; Wang, Y.; Xing, L. Enzymolysis-ultrasonic assisted extraction, chemical characteristics and bioactivities of polysaccharides from corn silk. Carbohydr. Polym. 2014, 101, 332–341. [Google Scholar] [CrossRef]
- Yang, Y.S.; Wang, Z.M.; Hu, D.; Xiao, K.J.; Wu, J.Y. Efficient extraction of pectin from sisal waste by combined enzymatic and ultrasonic process. Food Hydrocoll. 2018, 79, 189–196. [Google Scholar] [CrossRef]
- Moczkowska, M.; Karp, S.; Niu, Y.; Kurek, M.A. Enzymatic, enzymatic-ultrasonic and alkaline extraction of soluble dietary fibre from flaxseed—A physicochemical approach. Food Hydrocoll. 2019, 90, 105–112. [Google Scholar] [CrossRef]
- Zhao, G.H.; Zhang, R.F.; Dong, L.H.; Huang, F.; Tang, X.J.; Wei, Z.C.; Zhang, M.W. Particle size of insoluble dietary fiber from rice bran affects its phenolic profile, bioaccessibility and functional properties. Food Sci. Technol. 2018, 87, 450–456. [Google Scholar] [CrossRef]
- Gu, M.; Fang, H.C.; Gao, Y.H.; Su, T.; Niu, Y.G.; Yu, L.I. Characterization of enzymatic modified soluble dietary fiber from tomato peels with high release of lycopene. Food Hydrocoll. 2020, 99, 105321. [Google Scholar] [CrossRef]
- Zhang, W.M.; Zeng, G.L.; Pan, Y.G.; Chen, W.X.; Huang, W.Y.; Chen, H.M.; Li, Y.S. Properties of soluble dietary fiber-polysaccharide from papaya peel obtained through alkaline or ultrasound-assisted alkaline extraction. Carbohydr. Polym. 2017, 172, 102–112. [Google Scholar] [CrossRef] [PubMed]
- Liu, Y.L.; Zhang, H.B.; Yi, C.P.; Quan, K.; Lin, B.P. Chemical composition, structure, physicochemical and functional properties of rice bran dietary fiber modified by cellulase treatment. Food Chem. 2021, 342, 128352. [Google Scholar] [CrossRef]
- Zhang, M.; Bai, X.; Zhang, Z.S. Extrusion process improves the functionality of soluble dietary fiber in oat bran. J. Cereal Sci. 2011, 54, 98–103. [Google Scholar] [CrossRef]
- He, Y.Y.; Li, W.; Zhang, X.Y.; Li, T.T.; Ren, D.F.; Lu, J. Physicochemical, functional, and microstructural properties of modified insoluble dietary fiber extracted from rose pomace. J. Food Sci. Technol. 2020, 57, 1421–1429. [Google Scholar] [CrossRef] [PubMed]
- Zhang, N.; Huang, C.H.; Ou, S.Y. In vitro binding capacities of three dietary fibers and their mixture for four toxic elements, cholesterol, and bile acid. J. Hazard. Mater. 2011, 186, 236–239. [Google Scholar] [CrossRef] [PubMed]
- Khan, G.M.; Khan, N.M.; Khan, Z.U.; Ali, F.; Jan, A.K.; Muhammad, N.; Elahi, R. Effect of extraction methods on structural, physiochemical and functional properties of dietary fiber from defatted walnut flour. Food Sci. Biotechnol. 2018, 27, 1015–1022. [Google Scholar] [CrossRef] [PubMed]
- Wang, K.; Li, M.; Wang, Y.X.; Liu, Z.H.; Ni, Y.Y. Effects of extraction methods on the structural characteristics and functional properties of dietary fiber extracted from kiwifruit (Actinidia deliciosa). Food Hydrocoll. 2021, 110, 106162. [Google Scholar] [CrossRef]
- Xie, F.Y.; Zhao, T.; Wan, H.C.; Li, M.; Sun, L.N.; Wang, Z.J.; Zhang, S. Structural and physicochemical characteristics of rice bran dietary fiber by cellulase and high-pressure homogenization. Appl. Sci. 2019, 9, 1270. [Google Scholar] [CrossRef] [Green Version]
- Mahloko, L.M.; Silungwe, H.; Mashau, M.E.; Kgatla, T.E. Bioactive compounds, antioxidant activity and physical characteristics of wheat-prickly pear and banana biscuits. Heliyon 2019, 5, e02479. [Google Scholar] [CrossRef] [PubMed] [Green Version]
- Zhang, Y.; Qi, J.R.; Zeng, W.Q.; Huang, Y.X.; Yang, X.Q. Properties of dietary fiber from citrus obtained through alkaline hydrogen peroxide treatment and homogenization treatment. Food Chem. 2020, 311, 125873. [Google Scholar] [CrossRef] [PubMed]
- Su, Y.; Li, L. Structural characterization and antioxidant activity of polysaccharide from four auriculariales. Carbohydr. Polym. 2020, 229, 115407. [Google Scholar] [CrossRef]
- Wen, Y.; Niu, M.; Zhang, B.J.; Zhao, S.M.; Xiong, S.B. Structural characteristics and functional properties of rice bran dietary fiber modified by enzymatic and enzyme-micronization treatments. Food Sci. Technol. 2017, 75, 344–351. [Google Scholar] [CrossRef]
- Karaman, E.; Yılmaz, E.; Tuncel, N.B. Physicochemical, microstructural and functional characterization of dietary fibers extracted from lemon, orange and grapefruit seeds press meals. Bioact. Carbohydr. Diet. Fibre 2017, 11, 9–17. [Google Scholar] [CrossRef]
- Huang, Y.L.; Ma, Y.S. The effect of extrusion processing on the physiochemical properties of extruded orange pomace. Food Chem. 2016, 192, 363–369. [Google Scholar] [CrossRef] [PubMed]
- Wang, L.; Xu, H.; Yuan, F.; Fan, R.; Gao, Y. Preparation and physicochemical properties of soluble dietary fiber from orange peel assisted by steam explosion and dilute acid soaking. Food Chem. 2015, 185, 90–98. [Google Scholar] [CrossRef]
- Tejada-Ortigoza, V.; Garcia-Amezquita, L.E.; Serna-Saldívar, S.O.; Welti-Chanes, J. Advances in the functional characterization and extraction processes of dietary fiber. Food Eng. Rev. 2016, 8, 251–271. [Google Scholar] [CrossRef]
- Almeida, J.D.S.O.; Dias, C.O.; Arriola, N.D.A.; Freitas, B.S.M.; Francisco, M.; Petkowicz, C.L.O.; Araujo, L.; Guerra, M.P.; Nodari, R.O.; Amboni, R.D.M.C. Feijoa (Acca sellowiana) peel flours: A source of dietary fibers and bioactive compounds. Food Biosci. 2020, 38, 100789. [Google Scholar] [CrossRef]
- Wu, W.J.; Hu, J.; Gao, H.Y.; Chen, H.J.; Fang, X.J.; Mu, H.L.; Han, Y.C.; Liu, R.L. The potential cholesterol-lowering and prebiotic effects of bamboo shoot dietary fibers and their structural characteristics. Food Chem. 2020, 332, 127372. [Google Scholar] [CrossRef]
- Xu, H.G.; Jiao, Q.; Yuan, F.; Gao, Y.X. In vitro binding capacities and physicochemical properties of soluble fiber prepared by microfluidization pretreatment and cellulase hydrolysis of peach pomace. Food Sci. Technol. 2015, 63, 677–684. [Google Scholar] [CrossRef]
- Jia, M.Y.; Chen, J.J.; Liu, X.Z.; Xie, M.Y.; Nie, S.P.; Chen, Y.; Xie, J.H.; Yu, Q. Structural characteristics and functional properties of soluble dietary fiber from defatted rice bran obtained through Trichoderma viride fermentation. Food Hydrocoll. 2019, 94, 468–474. [Google Scholar] [CrossRef]





| Sample | Mannose (mg/g) | Rhamnose (mg/g) | Galacturonic Acid (mg/g) | Glucose (mg/g) | Galactose (mg/g) | Xylose (mg/g) | Arabinose (mg/g) |
|---|---|---|---|---|---|---|---|
| R-SDF | 0.44 ± 0.12 a | 0.58 ± 0.28 d | 1.41 ± 0.11 b | 20.51 ± 0.16 a | 3.72 ± 0.14 b | 0.16 ± 0.20 d | 3.18 ± 0.27 d |
| P-SDF | 0.75 ± 0.23 b | 1.71 ± 0.1 b | 1.57 ± 0.3 a | 20.16 ± 0.22 b | 1.79 ± 0.07 d | 0.26 ± 0.17 b | 3.52 ± 0.29 c |
| R-IDF | 0.33 ± 0.10 c | 1.40 ± 0.14 c | 1.19 ± 0.29 c | 8.18 ± 0.28 c | 5.12 ± 0.41 a | 0.22 ± 0.04 c | 11.31 ± 0.50 a |
| P-IDF | 0.36 ± 0.12 c | 2.27 ± 0.12 a | 1.58 ± 0.15 a | 5.94 ± 0.23 d | 3.53 ± 0.22 c | 1.28 ± 0.11 a | 8.19 ± 0.38 b |
| R-SDF | P-SDF | R-IDF | P-IDF | |
|---|---|---|---|---|
| WHC (g/g) | 11.97 ± 0.49 b | 8.81 ± 0.36 c | 13.43 ± 0.20 a | 11.75 ± 0.35 b |
| OHC (g/g) | 1.34 ± 0.05 b | 1.26 ± 0.05 b | 2.08 ± 0.21 a | 1.36 ± 0.03 b |
| SC (mL/g) | 23.33 ± 1.15 a | 19.33 ± 1.53 b | 18.44 ± 0.51 bc | 16.89 ± 0.38 c |
| CEC (mmol/g) | 0.89 ± 0.01 a | 0.76 ± 0.02 c | 0.82 ± 0.02 b | 0.73 ± 0.03 c |
Publisher’s Note: MDPI stays neutral with regard to jurisdictional claims in published maps and institutional affiliations. |
© 2021 by the authors. Licensee MDPI, Basel, Switzerland. This article is an open access article distributed under the terms and conditions of the Creative Commons Attribution (CC BY) license (https://creativecommons.org/licenses/by/4.0/).
Share and Cite
Sang, J.; Li, L.; Wen, J.; Gu, Q.; Wu, J.; Yu, Y.; Xu, Y.; Fu, M.; Lin, X. Evaluation of the Structural, Physicochemical and Functional Properties of Dietary Fiber Extracted from Newhall Navel Orange By-Products. Foods 2021, 10, 2772. https://doi.org/10.3390/foods10112772
Sang J, Li L, Wen J, Gu Q, Wu J, Yu Y, Xu Y, Fu M, Lin X. Evaluation of the Structural, Physicochemical and Functional Properties of Dietary Fiber Extracted from Newhall Navel Orange By-Products. Foods. 2021; 10(11):2772. https://doi.org/10.3390/foods10112772
Chicago/Turabian StyleSang, Jiaqi, Lu Li, Jing Wen, Qingqing Gu, Jijun Wu, Yuanshan Yu, Yujuan Xu, Manqin Fu, and Xian Lin. 2021. "Evaluation of the Structural, Physicochemical and Functional Properties of Dietary Fiber Extracted from Newhall Navel Orange By-Products" Foods 10, no. 11: 2772. https://doi.org/10.3390/foods10112772
APA StyleSang, J., Li, L., Wen, J., Gu, Q., Wu, J., Yu, Y., Xu, Y., Fu, M., & Lin, X. (2021). Evaluation of the Structural, Physicochemical and Functional Properties of Dietary Fiber Extracted from Newhall Navel Orange By-Products. Foods, 10(11), 2772. https://doi.org/10.3390/foods10112772
