Abstract
Seaweeds are nutrient-dense marine organisms that have been proposed as a key ingredient to produce new functional foods. This study’s first objective was to identify consumers’ emotional responses and purchase intent towards a variety of food products containing seaweed. The secondary objective was to evaluate how hunger status and lifestyle affect consumers’ emotional responses. Participants (n = 108) were asked to evaluate pictures of different food items containing seaweed (beef burger, cheddar cheese, fettuccine, fish filet, sausage, bread, yogurt, and dried seaweed) using the CATA variant of EsSense25 Profile® and a purchase-intent scale. The consumers also answered questions about their hunger status, food neophobia, food-related lifestyle, as well as open-ended comment questions about seaweed. Participants’ purchase-intent scores were highest for bread and dried seaweed, which they associated with positive emotions. The participants disliked yogurt and sausage, indicating that they were disgusted with them. Participants believed seaweed could be added to fish, savoury, and cereal grains-based foods. The participants’ hunger status as well as their food neophobia and lifestyle impacted their emotional responses. Future research should continue to investigate how emotions affect purchase intent, how participant’s hunger status affects their emotions, and how participants’ lifestyle changes how they perceive new food products.
1. Introduction
Seaweeds, more formally known as macroalgae, are large colonies of diversified algae that grow in both freshwater and marine ecosystems around the world. Seaweeds have been on earth dating back to 1.2 billion years ago [1]. Macroalgae differ from microalgae, such as cyanobacteria and phytoplankton, in that they are large enough to be observable by the naked eye, ranging from a few millimetres to upwards of 30–50 m [2,3]. Seaweeds range in size, shape, and colour; they are mainly differentiated based on the ratio of colour pigments used for photosynthesis, which separates the various species of seaweed into green (Chlorophyta), red (Rhodophyta), and brown (Phaeophyta) varieties [4].
Seaweeds are nutrient-dense marine organisms [5] that are low in fat (by dry weight 0.51–2.8%) [6], and their fatty acid profiles are comprised of high levels of monounsaturated and polyunsaturated fatty acids [7,8]. Seaweeds are also excellent sources of protein [9,10,11,12]. Moreover, seaweeds are approximately 50% carbohydrates by dry weight [9,13]. Kumar et al. [6] found that in five species of brown macroalgae examined, the carbohydrate concentration was between 19.4–34.9% by dry weight. Of the carbohydrates present in seaweed, portions exist as insoluble and soluble fibre in unusually abundant amounts ranging from 29.3 to 50% dry weight [14,15]. Such high values are consistent with or exceed many commonly consumed fruits and vegetables. Seaweeds are also excellent sources of both macro- and micro-minerals, even more so than most terrestrial plants [14]. The most abundant vitamins in seaweed were found to be vitamin C, vitamin E, and vitamin A [13,16]. The most prominent macro-minerals found in seaweeds include sodium, calcium, and potassium [14,16]. The micro-minerals with the highest concentrations found in seaweed include iron, nickel, cobalt, copper, and manganese [6,16].
Based on their nutritional properties and sustainability, seaweeds have more frequently been incorporated into a variety of different food products [17,18,19,20]. Therefore, this study aimed to evaluate consumers’ emotional responses to foods containing seaweed. Interest in measuring product-related emotions has grown in recent years [21]. Past studies have found that consumers choice of food has an emotional component [22,23], and consumers’ emotions have been evaluated using the EsSense Profile® [24]. The EsSense Profile® asks participants to look at 39 common emotional terms and to score the intensity of each term. Jaeger et al. [25] built on this research and created a check-all-that-apply (CATA) variant of the EsSense Profile®. The CATA variant can overcome some of the limitations of the EsSense Profile®, including some consumers not experiencing certain words and rating them as “slight” or “moderate”, which will not add much product insight [26,27]. The CATA variant also requires less cognitive effort from the participants [25]. Additionally, the EsSense Profile® was shortened to 25 words by Nestrud et al. [27] and called EsSense25. The EsSense25 method has been found to show good repeatability and replicability as well as being easy for the participants to understand [27]. Based on these results, this study used the CATA variant of the EsSense25 version.
A secondary objective was to evaluate how hunger and lifestyle affect the emotional responses of the participants. Humans tend to be aroused, alert, and irritable when hungry [28]. After eating a meal, humans are typically calm, lethargic, and their mood is more likely to be positive [29]. Emotions have been linked to the energy content of foods, and as the energy content of the food increased, negative emotions were more frequent [30]. This study aims to build on this work by asking participants to self-identify their hunger status and evaluate their emotional responses to different foods containing seaweed. In addition, lifestyle is a popular base for segmentation in consumer marketing, and as such, a food-related lifestyle (FRL) instrument was developed in the mid-1990s [31]. The FRL hopes to identify differences in how consumers view food and beverages. The FRL was originally a 69-item questionnaire [31]; however, it was shortened to 15 items [32] and was found to be cross-culturally valid. This study used the 15-item version of the FRL to evaluate whether different consumers (based on their lifestyle) use different emotions to describe the food products made with seaweed.
The aim of this study was to evaluate consumers’ emotional responses to different food products containing seaweeds. A secondary objective was to evaluate how hunger status and lifestyle affects consumers’ emotional responses. Firstly, consumers identified how hungry they were and then evaluated their emotional responses to food products. The food products included were identified by a literature review of studies investigating the addition of seaweeds to food products. Consumers also identified which foods they thought should include seaweed as well as the sensory properties they associate with seaweeds using open-ended comment questions. Lastly, participants completed a food neophobia questionnaire [33], food-related lifestyle questionnaire [32], and demographic questions.
2. Materials and Methods
2.1. Food Products
A literature review was completed to identify which food items should be included in the survey. The literature review was focused on studies that had included sensory analysis trials and products containing seaweed. The keywords used were “seaweed sensory analysis”, “seaweed sensory evaluation”, and “seaweed consumer perception.” The search was refined by year (from 2000 to present) and revealed 19 studies (Supplementary Table S1). The studies are identified in Supplementary Table S1, and the sensory method (either consumer panel, semi-trained panel, or trained panel) is also provided. Based on the literature review, beef burger, cheddar cheese, fettuccine (noodles), fish filet, sausage, bread, and yogurt were selected and included in the questionnaire. Furthermore, dried seaweed without addition to any food products was included.
2.2. Participants
Participants were recruited from the Annapolis Valley, Nova Scotia community using posted advertisements on social media sites. All participants (n = 108; Supplementary Table S2) were screened to ensure they did not work in a sensitive industry (food or sensory analysis).
2.3. Questionnaire
Approval for the study was received from the Acadia University Research Ethics Board (REB 13-72). The participants first completed an informed consent form and then identified their hunger status using scales adapted from Friedman et al. [34]. Participants were then presented with a picture of each food product described above and a statement indicating that the product contained seaweed. For instance, above the picture of cheddar cheese, was the following statement: “Cheddar cheese made with added seaweed.” The participants completed a CATA question containing the 25 emotional terms in the EsSense25 Profile® [27]. The question was worded as “How do you expect to feel after eating this product? Check or click all that apply” [25]. Participants were also asked their purchase intent for each sample ranging from 1 = “Definitely will not buy” to 9 = “Definitely will buy.” Then, the participants had the option to describe what they liked and disliked about the samples in an open-ended comment question. Participants were also asked to identify which foods they would add seaweed to, the flavours they associate with seaweed and seaweed-containing products, and the nutritional benefits of seaweed through open-ended comment questions. Additionally, participants completed a food neophobia scale [33], the 15-item FRL [32], and demographic questions. The questionnaire was presented using Compusense Cloud software (Guelph, Ontario, Canada).
2.4. Statistical Analysis
A two-way random factor (samples and participants) ANOVA followed by a Tukey’s HSD test was completed to determine any significant differences in liking among the different samples. The frequency of use of each emotional term used by the participants to describe each sample was calculated. Cochran’s Q test was used to identify significant differences among the samples for each of the emotional terms included in the CATA question. If there was a significant difference among the attributes, then post-hoc multiple pairwise comparisons were conducted using McNemar’s test with Bonferroni alpha adjustment. Correspondence analysis was performed on the total frequency count of the emotions for each product to identify relationships between the emotions and the samples [35]. A penalty lift analysis was carried out following the procedure by Meyners and Casture [36]; however, it was adapted by using the purchase intent.
The participant’s responses to the open-ended comment questions were visualized using the comment visualization tools (Word Cloud and Text Network) in the Compusense Cloud software. Additionally, the procedure by Fonseca et al. [37] was followed to refine the definitions. The procedure included (a) verifying spelling and correcting grammatical mistakes; (b) removing connectors and auxiliary terms; (c) reducing derivatives of the same term; and (d) grouping synonyms together. Lastly, recurring themes and key concepts in the responses were identified. Results were also discussed among the authors to reach a consensus.
The FNS was used to segment the participants based on their degree of food neophobia. The sum score of the ten questions from the FNS was calculated and participants were divided at the median score into either a high food neophobia (HFN) group (n = 54, sum score = 30–48) or a low food neophobia (LFN) group (n = 54, sum score = 12–29). The same procedure was followed to segment the population based on the FRL into higher food-related lifestyle (HFRL, n = 54, sum score = 82–101) and lower food-related lifestyle (LFRL, n = 54, sum score = 57–81). Lastly, the procedure was followed to divide the population based on the hunger scales into those who were high hunger (HH, n = 54, sum score = 15.9–29.7) and low hunger (LH, n = 54, sum score = 6.0–15.3). This method of population segmentation was modelled after Laaksonen et al. [38], who separated their participants into three approximately evenly sized groups based on sum scores. However, due to the number of participants (n = 108), the procedure by Romaniw et al. [39] was followed, and the participants were segmented at the median to achieve two groups based on each scale (FNS, FRL, and Hunger). To determine any significant differences in liking between the participant segments, t-tests (p = 0.05) were performed. Furthermore, statistical analysis of the responses to the CATA question from each participant segment (based on FNS, FRL, and Hunger) was performed as described above. All analyses were completed using XLSTAT software (Version 2021.2, New York, NY, USA) in Microsoft ExcelTM.
3. Results and Discussion
3.1. Seaweed Product Development
The mean purchase-intent scores are listed in Table 1. The overall study population (n = 108) identified that they would be significantly more likely to purchase dried seaweed and bread made with seaweed over the other food items (p < 0.05). Additionally, the participants identified that they would prefer seaweed added to fish filets, cheese, and beef burgers rather than yogurt and sausages (p < 0.05). Interestingly, the dried seaweed by itself had a significantly higher purchase intent than all the food items except for bread. This finding disagrees with many statements from the studies in Supplementary Table S1, as the studies stated that seaweed should be incorporated into food items to increase the consumption of seaweed. These studies also discussed how incorporating seaweed into food items can increase the nutritional benefits of food products [40,41]. Based on the results of this study, consumers are more interested in seaweed on its own. Therefore, companies may want to look at increasing education about the sustainability of consuming dried seaweed instead of incorporating seaweed into food items [42,43]. However, the results may have differed if the participants’ consumed the products, as seaweed has been found to not be well liked by consumers [2]. Overall, most mean purchase-intent scores were quite low on the 9-point purchase intent scale, ranging from 4 to 6. This may indicate that the participants are not interested in purchasing seaweed-incorporated food items. Based on the purchase-intent scores, the bread and dried seaweed seem to be most likely to be purchased by the participants. Additionally, the seaweed-incorporated food items were not compared to conventional food items (without seaweed addition), and this would have indicated how the consumers’ purchase intent changed based on the seaweed addition.
Table 1.
Consumer mean (±standard deviation) purchase-intent scores for the different food items.
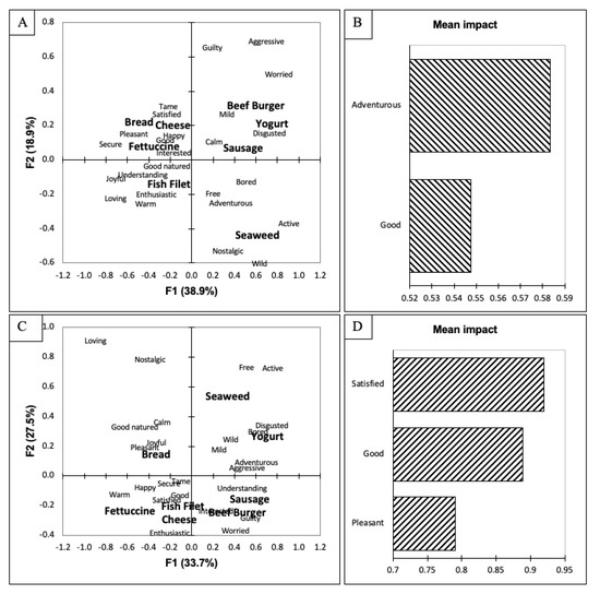
The emotional terms included in the CATA question were evaluated using correspondence analysis (CA), as found in Figure 1A. The biplot explained 68.3% of the variance, with the first dimension accounting for 45.0% and the second dimension for 23.3%. The first dimension separated the beef burger, sausage, and yogurt seaweed from the other food items (cheese, fish filet, fettuccine, and bread). The second dimension separated bread and dried seaweed from the other food items. The dried seaweed was associated with nostalgic, free, wild, active, and adventurous. In the open-ended comment question about the food items, participants stated they remembered their parents eating dried seaweed or dulse, which may explain why the dried seaweed was associated with nostalgia. Nostalgia has been found to be associated with pleasure and pleasantness [44], and this may explain why the purchase-intent scores for dried seaweed were significantly higher than all other food items except for bread (p < 0.05). Furthermore, participants identified that they had consumed dried seaweed before or were familiar with the product. Familiarity has been shown to increase consumers’ purchase intent [45]. Although familiarity was not explicitly asked about in the questionnaire, the results of the open-ended comment question indicate that participants are familiar with dried seaweed, which could have influenced the purchase-intent scores. In addition, Nova Scotia, Canada is located on the Atlantic Ocean, and many residents would be familiar with seaweed. Dried seaweed was also associated with adventurous, wild, active, and free. This result may have occurred as many of the participants stated that dried seaweed is a “great on-the-go snack” and also a “healthy snack that is part of an active lifestyle, like hiking.”
Figure 1.
(A) Biplot representation of the seaweed-containing food items and emotional terms on the first two dimensions of the correspondence analysis for the overall population. (B) Penalty lift analysis of the emotional terms and willingness to pay based on the overall population’s evaluation of the seaweed-containing food items.
The bread, which was the only food item not to be significantly different from the dried seaweed, was also on the negative side of the second dimension. The bread was associated with positive emotions, including understanding, good-natured, pleasant, secure, joyful, warm, and good. Similar to past studies, products associated with positive emotions were also associated with increased purchase-intent scores [46]. Bread had the highest purchase intent score (6.6 ± 1.2; Table 1) of all food products. Bread is also a very common product that consumers are familiar with, and as stated above, familiarity has been shown to increase consumers’ purchase intent [45]. The cheese, fish filet, and fettuccine food products were grouped together and associated with positive emotions, including satisfied, interested, tame, happy, and enthusiastic. In the open-ended comment questions, participants said the added seaweed would “match with the saltiness” of the cheese. The participants also stated that the seaweed would pair well with the fish filet, as “they are both from the ocean.” Additionally, participants believed that the seaweed would add nutritional benefits to the fettuccine and fish filets. Lastly, the beef burger, sausage, and yogurt were grouped and associated with negative emotions, including bored, disgusted, worried, aggressive, and guilty. This result was reinforced by the open-ended comment questions, in which participants expressed disgust with the seaweed being added to yogurt, sausages, and beef burgers. Moreover, participants’ disliking was found in the purchase-intent scores as well, as the yogurt and sausages scored significantly less than all of the other food items (p < 0.05). This result agrees with past studies that have found that negative emotions decrease consumers’ purchase intent [47,48,49]. Interestingly, although the beef burger was associated with negative emotions, the participants rated their purchase intent of beef burgers similar to the fettuccine, cheese, and fish filets.
A penalty lift analysis was conducted to determine if the participant’s emotions affected their willingness to purchase the different food items. The results of the penalty lift analysis can be seen in Figure 1B. The emotional terms good, adventurous, and pleasant led to an increase in the participants’ purchase-intent scores. The aforementioned emotions are identified as positive emotions [27] and indicate that positive emotions led to increased purchase intent. Furthermore, positive emotions are correlated with overall liking [21,50]. Past studies have found that pleasure significantly affects consumers’ satisfaction with a product [51,52], and although this study was investigating proposed food items, the same result was found as consumers’ purchase intent increased when they perceived positive emotions.
Participants were also asked three open-ended comment questions, including what food product they would add seaweed to, what is the flavour of seaweed, and what nutritional benefits do seaweeds possess. The researchers then identified general categories based on the participants’ responses, which are provided in Table 2. The participants’ responses to which food products they would add seaweed to were separated into five categories, including fish, savoury, hide it, cereal grains, and seasoning. Firstly, many of the participants mentioned that seaweed should be incorporated into fish products as seaweed already tastes fishy. Many participants mentioned that seaweed is already used in sushi and therefore contributes well to fish products and dishes. This was an expected result, as many other studies have found that consumers associate seaweed with sushi [42,43,53]. Many participants also mentioned that seaweed would go well with savoury dishes, and some participants suggested that seaweed should be included in sausages. However, the purchase-intent scores for the sausages were the lowest of all food items (Table 1). The savoury category did have some responses that overlapped with the hide it category (Table 1), as some participants felt that savoury dishes would work well with the flavour of the seaweed, while others thought savoury dishes would mask the flavour of the seaweed. Past studies have suggested that seaweed could be used as a source of umami flavour in dishes [54,55], and this agrees with participants’ responses.
Table 2.
Results of the comment analysis conducted on the open-ended comments pertaining to seaweeds (n = 108).
Other participants identified that seaweed should be added to products where the flavour of seaweed could be masked by the foods’ sensory properties (hide it category; Table 2). The food most often cited that could mask the taste of the seaweed was pasta sauce. This suggested food item may be due to its association with pasta and with fettuccine being included in the questionnaire, therefore prompting the association. This result also agrees with past research that suggested that seaweed should be added to products for its nutritional benefits and for its flavour to be masked or minimized [56,57,58]. As identified by Rioux et al. [56], in most cases, seaweed is added to develop new functional foods or increase the sustainability of the food item rather than to enhance the sensory properties. However, the addition of seaweed to pasta also reduces the cooking loss [57]. The participants also identified that seaweed could be added to other cereal grain-based products. These responses by the participants also agree with past studies investigating seaweed addition to noodles [58], bread [59], extruded products [60], and muffins [61]. However, the addition of seaweed to bread and muffins has also been shown to negatively impact consumer acceptability [59,61]. Lastly, participants identified that seaweed could be used as a seasoning on a variety of different products to enhance the flavour of the dish or to add a salty taste. In addition, some participants discussed how seaweed could add texture to a dish or a “crunch factor.” The responses to this question mainly discussed the taste, aroma, or flavour of the seaweed, but some participants did identify that seaweed could add texture to a product, which has also been identified in a past study by [62]. These responses also agree with a study by Senthil et al. [63] that incorporated seaweed into a spice mix as well as a study where brown seaweed was used to season corn snacks [64].
The participants were also asked to identify the flavour of seaweed. There was a great deal of agreement in the responses, as almost all participants identified salty or fishy or both. Both properties have been identified in sensory analysis trials on seaweed and seaweed-containing products [4,20,59,65,66]. This result also agrees with the participants’ responses to the first open-ended comment question, as participants thought seaweed could be used as “salt flavouring” (Seasoning-Table 2) and that the fishy taste of seaweed would work well with fish products (Fish-Table 2). Participants also stated that seaweed would taste earthy and bitter. Earthy or a mushroom aroma have been found to characterize red seaweeds [67], while bitterness has been associated with both red [66] and brown seaweed [68]. Many participants stated that the “earthiness is due to the bitterness of the seaweed.” It is interesting to note that the participants associated earthy and bitter to be very similar when discussing seaweeds. Some of the participants also indicated that the seaweed would taste savoury, as they felt seaweed could be added to savoury food items, which agrees with the responses above. Savoury or umami has also been identified in past studies as a taste associated with seaweed [68,69].
Lastly, participants were asked if they thought seaweeds had nutritional benefits, and overwhelmingly, the participants responded that they did. This result agrees with a past study on Australian consumers’ attitudes towards seaweeds [42] and indicates that consumers are aware that seaweed is a healthy option. Participants identified four general categories, including fibre, vitamins/nutrients, heart disease, and antioxidants. The participants were able to identify many different nutritional benefits that have been identified in past studies [52,70,71,72,73]. Other studies on consumer attitudes towards seaweeds have stated that education on the health benefits of seaweeds could increase consumption and acceptance of seaweed [74,75].
3.2. Segmentation
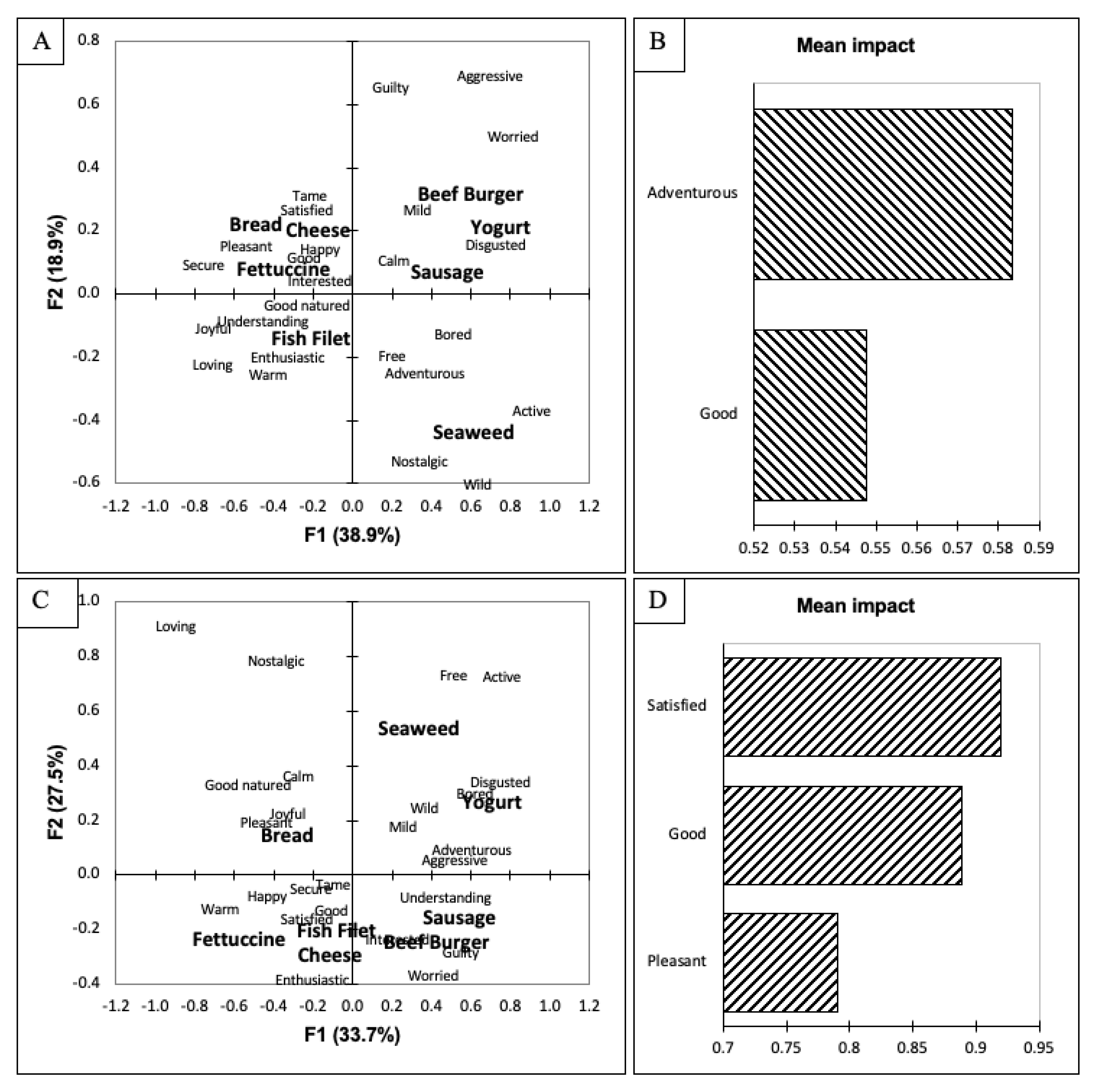
The secondary objective was to evaluate how hunger status, food neophobia, and lifestyle affect consumers’ emotional responses. The participants were separated into different groups based on their responses to the respective scales. First, the participants were separated based on their hunger status into low hunger (LH, n = 54, sum score = 6.0–15.3) and high hunger (HH, n = 54, sum score = 15.9–29.7). The liking scores between the two groups were then compared using a t-test (Table 1). The only product that was significantly different between the two groups was the sausage, which the HH participants scored significantly lower than the LH group (p < 0.05). The CATA results of the two groups were then evaluated using CA and a penalty lift analysis (Figure 2). Both biplots (Figure 2A,C) were quite similar when looking at the first dimension separating the beef burger, yogurt, sausage, and seaweed from the bread, cheese, fettuccine, and fish filet. However, the LH (Figure 2A) separated the seaweed from the beef burger, yogurt, and sausage on the second dimension. Additionally, the seaweed was mainly associated with wild, nostalgic, active, adventurous, and free. The HH (Figure 2C) grouped the seaweed with the yogurt and associated it with wild, free, and active but also with bored and disgusted. The sausage was grouped with the beef burger and was associated with understanding, interested, guilty, and worried. The difference between the two groups becomes evident when looking at the penalty lift analyses (Figure 2B,D). The LH’s purchase-intent scores increased when adventurous and good were selected, while the HH’s purchase-intent scores increased when satisfied, good, and pleasant were selected. All of these emotions are categorized as positive emotions and have been shown to impact overall liking scores [49]. The LH participants’ purchase-intent scores were significantly impacted by the adventurous emotion. This result may indicate that since these participants are not hungry or satiated, they are willing to be more adventurous in their food choices. The HH purchase-intent scores increased when they selected the term satisfied. These participants may have been hungry at the time and wished to be satiated. When hungry, most humans want to be satiated [76], and this may have been seen in the results based on the impact of the emotional responses. Furthermore, de-Magistris and Gracia [77] found that hungry participants were more likely to pay a higher premium price for cheese than satiated participants. de-Magistris and Gracia [77] also found that participants overvalued the food product when they were hungry. This is the first study in which the authors are aware of what connects hunger status with emotional responses (EsSense25 Profile®; [27]). Furthermore, this study demonstrated that hunger status did impact the emotional responses chosen by participants as well as the purchase-intent scores. Future studies should be conducted to confirm these findings.
Figure 2.
(A) Biplot representation of the seaweed-containing food items and emotional terms on the first two dimensions of the correspondence analysis for the population categorized as low hunger (LH). (B) Penalty lift analysis of the emotional terms and willingness to pay based on the LH population’s evaluation of the seaweed-containing food items. (C) Biplot representation of the seaweed-containing food items and emotional terms on the first two dimensions of the correspondence analysis for the population categorized as high hunger (HH). (D) Penalty lift analysis of the emotional terms and willingness to pay based on the HH population’s evaluation of the seaweed-containing food items.
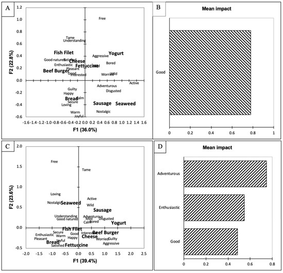
The participants were also separated based on their responses to the FNS. They were separated into high food neophobia (HFN; n = 54, sum score = 30–48) and low food neophobia (LFN; n = 54, sum score = 12–29). There were no significant differences between the two groups for their purchase-intent scores (Table 1). However, for all food items except for the fish filet, the HFN group had lower purchase-intent scores. Food neophobia has been found to negatively impact consumer liking of food products [78]; however, as the participants did not consume the products in this study, the effect of food neophobia may have not been found. In both biplots (Figure 3A,C), the first dimension separated the sausage, beef burger, and yogurt from the fettuccine, bread, cheese, and fish filet. On the second dimension, the LFN separated the seaweed, cheese, and fish filet from the fettuccine, bread, sausage, beef burger, and yogurt. While the HFN group separated the bread and seaweed from the other food items, the biggest difference between the two groups was the placement of the bread. The LFN group associated the bread with happy, interested, satisfied, good, and enthusiastic, while the HFN group associated the bread with joyful, pleasant, warm, loving, and nostalgic. Overall, the bread was associated with positive emotions by both groups even though different positive emotions were identified. The penalty lift analyses (Figure 3B,D) demonstrated a difference between the two groups as well. The emotions of enthusiastic and satisfied increased the purchase intent of both groups; however, only the emotion of good increased the purchase-intent scores of the LFN group. This result may indicate that the HFN group did not associate many of the foods with good and would not purchase them. However, this thought is contradicted by the impact of the enthusiastic term used by the HFN group. This result may have occurred because the participants did not actually consume the food but rather just looked at pictures of food items. In a study in which consumers consumed sustainable food products, food neophobia did not affect consumers emotional responses [79]. Future studies need to be completed to investigate food neophobia and how it affects emotional responses to food items.
Figure 3.
(A) Biplot representation of the seaweed-containing food items and emotional terms on the first two dimensions of the correspondence analysis for the population categorized as lower food neophobia (LFN). (B) Penalty lift analysis of the emotional terms and willingness to pay based on the LFN population’s evaluation of the seaweed-containing food items. (C) Biplot representation of the seaweed-containing food items and emotional terms on the first two dimensions of the correspondence analysis for the population categorized as higher food neophobia (HFN). (D) Penalty lift analysis of the emotional terms and willingness to pay based on the HFN population’s evaluation of the seaweed-containing food items.
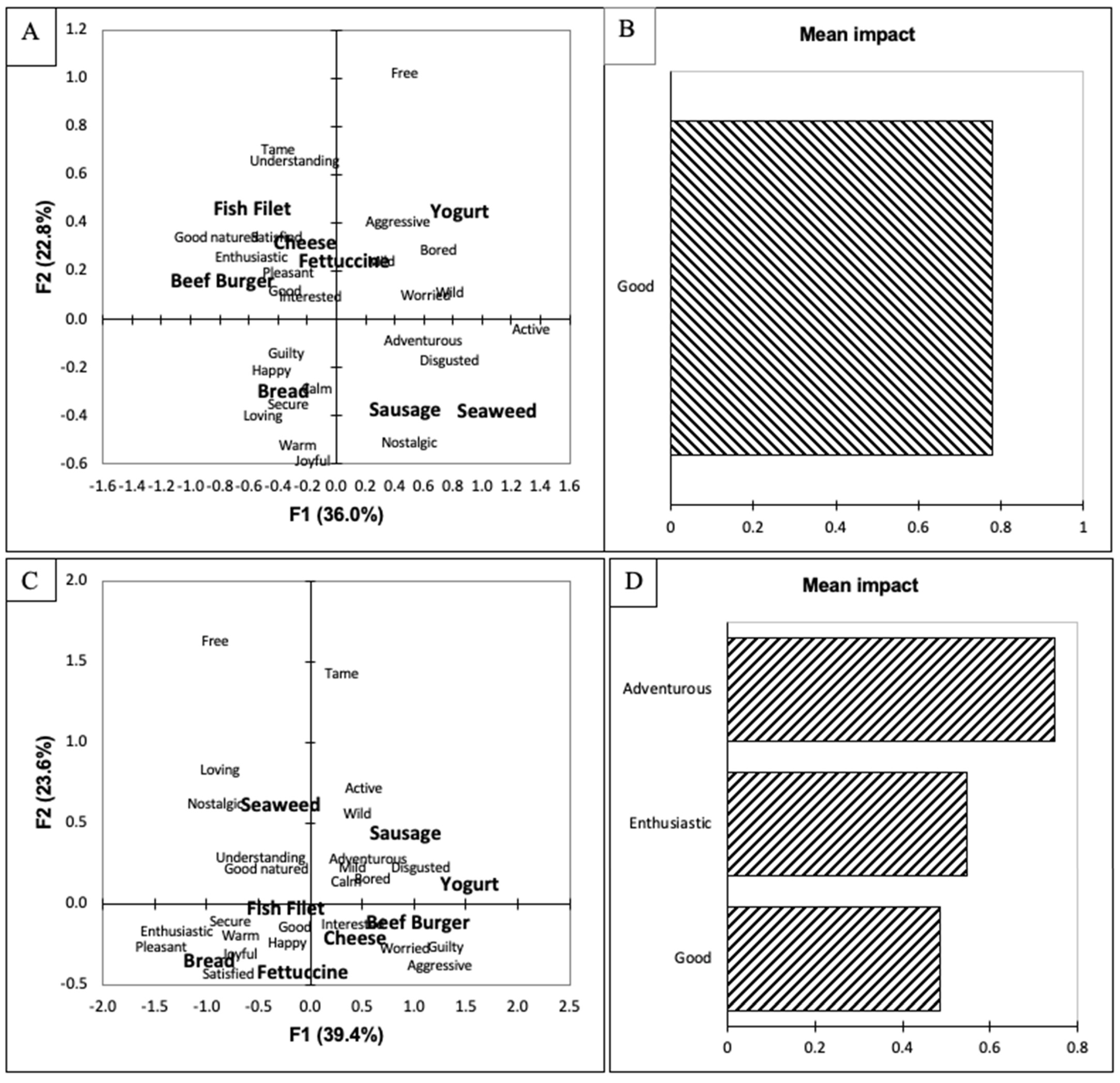
Lastly, the participants were separated based on their responses to the FRL. There was one significant difference between the two groups for their purchase-intent scores (Table 2). The HFRL (higher food-related lifestyle, n = 54, sum score = 82–101) group liked the fish filet significantly more than the LFRL (lower food-related lifestyle, n = 54, sum score = 57–81) group (p < 0.05). In addition, the purchase-intent scores for the HFRL group were higher than the LFRL group except for the sausage, in which both groups scored it the same. The biggest difference between the groups’ emotional responses is evident in the biplots (Figure 4A,C), as bread was separated from the other items and was associated with happy, guilty, calm, secure, loving, warm, and joyful by the LFRL group. The HFRL associated the bread with the fettuccine and fish filet and associated the bread with the terms pleasant, joyful, warm, secure, happy, good, enthusiastic, and pleasant. On both biplots, sausage, yogurt, and seaweed were separated from the other food items (Figure 4A by the first dimension and Figure 4C by the second dimension). The penalty lift analysis indicates a clear difference between the two consumer groups. The LFRL group purchase-intent scores were positively impacted by the term good (Figure 4B), while the HFRL group’s scores were positively impacted by the terms adventurous, enthusiastic, and good (Figure 4D). The FRL attempts to capture the differences in how consumers view food and beverages [32]. Those that score highly on the FRL are considered to be foodies [80] and variety seekers [81]. The participants who scored highly on the FRL indicate that food is very important to them, and they spend considerable time and resources on food [32]. In addition, food has a major role in achieving their life values [32]. With food having this importance in their life, it may explain why adventurous and enthusiastic terms positively impacted their purchase-intent scores of the proposed seaweed products. The FRL identified differences in the participants’ emotional responses to seaweed-containing food items. More studies need to be completed to determine how FRL impacts the emotional responses of consumers.
Figure 4.
(A) Biplot representation of the seaweed-containing food items and emotions terms on the first two dimensions of the correspondence analysis for the population categorized as lower food-related lifestyle (LFRL). (B) Penalty lift analysis of the emotional terms and willingness to pay based on the LFRL population’s evaluation of the seaweed-containing food items. (C) Biplot representation of the seaweed-containing food items and emotional terms on the first two dimensions of the correspondence analysis for the population categorized as higher food-related lifestyle (HFRL). (D) Penalty lift analysis of the emotional terms and willingness to pay based on the HFRL population’s evaluation of the seaweed-containing food items.
3.3. Limitations
This study presented an evaluation of how consumers perceive seaweed addition to food products, but some limitations need to be identified. Firstly, the emotional responses and purchase-intent scores were evaluated by looking at pictures of the food items. The results may have differed if participants consumed the food items. Secondly, the participants’ familiarity with consuming seaweed could have been evaluated, as familiarity has been found to influence participants’ liking and emotional responses to food products [82,83]. Additionally, the participants’ response to conventional food items (without seaweed) was not evaluated. Future studies should investigate how seaweed addition to food items changes consumers’ purchase intent. From a methodology perspective, the CATA questionnaire can be restrictive for participants in their choice of emotional responses. More studies are needed to confirm these results and to determine how hunger and FRL impact consumers’ emotional responses. In addition, more studies are needed to determine how emotional responses and purchase-intent scores are intertwined. Furthermore, the cultural background of the participants could have been evaluated, as it may have affected the FRL, food neophobia, emotional responses, and purchase-intent scores.
4. Conclusions
Purchase-intent scores were highest for bread and dried seaweed. The participants did not want to purchase yogurt and sausages with added seaweed. The dried seaweed and bread were associated with positive emotions and nostalgia, as outlined in the open-ended comment questions. Participants identified negative emotions when evaluating the beef burger, sausage, and yogurt, indicating that they were disgusted with the thought of seaweed being added to these food items. The purchase-intent scores increased when positive emotions (good, adventurous, and pleasant) were selected based on the penalty lift analysis. The participants identified that seaweed would work well with fish, savoury, and cereal grain-based food products as well as a seasoning or hidden in food products to promote nutritional benefits. Participants identified that seaweed has salty, fishy, earthy, bitter, and savoury flavours and associated it with many health benefits. The participants were also segmented based on their responses to hunger scales, FNS, and FRL. Hunger status as well as food neophobia and lifestyle all impacted participants emotional responses. Future research should expand on this study and evaluate how hunger and FRL impact emotional responses. In addition, future studies should investigate emotional responses to the consumption of seaweed-containing food products as well as investigate how familiarity and cultural background affect consumers’ emotional responses to new food products.
Supplementary Materials
The following are available online at https://www.mdpi.com/article/10.3390/foods10112737/s1, Table S1: Studies investigating incorporation of seaweed in different food products using sensory analysis, Table S2: Demographic details of the participants.
Author Contributions
Conceptualization R.M. and M.B.M.; methodology, M.B.M.; software, M.B.M.; validation, R.M. and M.B.M.; formal analysis, R.M. and M.B.M.; investigation, R.M. and M.B.M.; resources, M.B.M.; data curation, M.B.M.; writing—original draft preparation, R.M.; writing—review and editing, M.B.M.; visualization, M.B.M.; supervision, M.B.M.; project administration, M.B.M.; funding acquisition, M.B.M. All authors have read and agreed to the published version of the manuscript.
Funding
This research was funded by the Centre for the Sensory Research of Food.
Institutional Review Board Statement
The study was conducted according to the guidelines of the Declaration of Helsinki, and approved by the Research Ethics Board of Acadia University (REB 13-72 and date of approval: 10 May 2021).
Informed Consent Statement
Informed consent was obtained from all subjects involved in the study.
Data Availability Statement
The data presented in this study are available on request from the corresponding author (M.M).
Acknowledgments
Thank you to all the volunteers who participated in this project.
Conflicts of Interest
The authors declare no conflict of interest.
References
- Butterfield, N.J. Bangiomorpha pubescens n. gen., n. sp.: Implications for the evolution of sex, multicellularity, and the Mesoproterozoic/Neoproterozoic radiation of eukaryotes. Paleobiology 2000, 26, 386–404. [Google Scholar] [CrossRef]
- Mouritsen, O.G.; Rhatigan, P.; Pérez-Lloréns, J.L. World cuisine of seaweeds: Science meets gastronomy. Int. J. Gastron. Food Sci. 2018, 14, 55–65. [Google Scholar] [CrossRef]
- Chung, I.K.; Sondak, C.F.A.; Beardall, J. The future of seaweed aquaculture in a rapidly changing world. Eur. J. Phycol. 2017, 52, 495–505. [Google Scholar] [CrossRef]
- Kumar, Y.; Tarafdar, A.; Kumar, D.; Badgujar, P.C. Effect of Indian brown seaweed Sargassum wightii as a functional ingredient on the phytochemical content and antioxidant activity of coffee beverage. J. Food Sci. Technol. 2019, 56, 4516–4525. [Google Scholar] [CrossRef] [PubMed]
- McDermid, K.J.; Stuercke, B. Nutritional composition of edible Hawaiian seaweeds. J. Appl. Phycol. 2003, 15, 513–524. [Google Scholar] [CrossRef]
- Kumar, M.; Kumari, P.; Trivedi, N.; Shukla, M.K.; Gupta, V.; Reddy, C.R.K.; Jha, B. Minerals, PUFAs and antioxidant properties of some tropical seaweeds from Saurashtra coast of India. J. Appl. Phycol. 2011, 23, 797–810. [Google Scholar] [CrossRef]
- Sánchez-Machado, D.I.; López-Cervantes, J.; López-Hernández, J.; Paseiro-Losada, P. Fatty acids, total lipid, protein and ash contents of processed edible seaweeds. Food Chem. 2004, 85, 439–444. [Google Scholar] [CrossRef]
- Wells, M.L.; Potin, P.; Craigie, J.S.; Raven, J.A.; Merchant, S.S.; Helliwell, K.E.; Smith, A.G.; Camire, M.E.; Brawley, S.H. Algae as nutritional and functional food sources: Revisiting our understanding. J. Appl. Phycol. 2017, 29, 949–982. [Google Scholar] [CrossRef] [PubMed]
- Rasyid, A. Evaluation of Nutritional Composition of The Dried Seaweed Ulva lactuca from Pameungpeuk Waters, Indonesia. Trop. Life Sci. Res. 2017, 28, 119–125. [Google Scholar] [CrossRef]
- Sakthivel, R.; Pandima Devi, K. Evaluation of physicochemical properties, proximate and nutritional composition of Gracilaria edulis collected from Palk Bay. Food Chem. 2015, 174, 68–74. [Google Scholar] [CrossRef] [PubMed]
- Kadam, S.U.; Álvarez, C.; Tiwari, B.K.; O’Donnell, C.P. Extraction and characterization of protein from Irish brown seaweed Ascophyllum nodosum. Food Res. Int. 2017, 99, 1021–1027. [Google Scholar] [CrossRef] [PubMed]
- Mæhre, H.K.; Malde, M.K.; Eilertsen, K.-E.; Elvevoll, E.O. Characterization of protein, lipid and mineral contents in common Norwegian seaweeds and evaluation of their potential as food and feed. J. Sci. Food Agric. 2014, 94, 3281–3290. [Google Scholar] [CrossRef]
- Syad, A.N.; Shunmugiah, K.P.; Kasi, P.D. Seaweeds as nutritional supplements: Analysis of nutritional profile, physicochemical properties and proximate composition of G. acerosa and S. wightii. Biomed. Prev. Nutr. 2013, 3, 139–144. [Google Scholar] [CrossRef]
- Cofrades, S.; Benedí, J.; Garcimartin, A.; Sánchez-Muniz, F.J.; Jimenez-Colmenero, F. A comprehensive approach to formulation of seaweed-enriched meat products: From technological development to assessment of healthy properties. Food Res. Int. 2017, 99, 1084–1094. [Google Scholar] [CrossRef] [PubMed]
- Gómez-Ordóñez, E.; Jiménez-Escrig, A.; Rupérez, P. Dietary fibre and physicochemical properties of several edible seaweeds from the northwestern Spanish coast. Food Res. Int. 2010, 43, 2289–2294. [Google Scholar] [CrossRef]
- Taboada, M.C.; Millán, R.; Miguez, M.I. Nutritional value of the marine algae wakame (Undaria pinnatifida) and nori (Porphyra purpurea) as food supplements. J. Appl. Phycol. 2013, 25, 1271–1276. [Google Scholar] [CrossRef]
- Arufe, S.; Della Valle, G.; Chiron, H.; Chenlo, F.; Sineiro, J.; Moreira, R. Effect of brown seaweed powder on physical and textural properties of wheat bread. Eur. Food Res. Technol. 2018, 244, 1–10. [Google Scholar] [CrossRef]
- Chang, H.C.; Wu, L.-C. Texture and Quality Properties of Chinese Fresh Egg Noodles Formulated with Green Seaweed [Monostroma nitidum] Powder. J. Food Sci. 2008, 73, S398–S404. [Google Scholar] [CrossRef]
- Dolea, D.; Rizo, A.; Fuentes, A.; Barat, J.; Fernández-Segovia, I. Effect of thyme and oregano essential oils on the shelf life of salmon and seaweed burgers. Food Sci. Technol. Int. 2018, 24, 394–403. [Google Scholar] [CrossRef]
- Nuñez, M.; Picon, A. Seaweeds in yogurt and quark supplementation: Influence of five dehydrated edible seaweeds on sensory characteristics. Int. J. Food Sci. Technol. 2017, 52, 431–438. [Google Scholar] [CrossRef]
- Jaeger, S.R.; Hedderley, D.I. Impact of individual differences in emotional intensity and private body consciousness on EsSense Profile® responses. Food Qual. Prefer. 2013, 27, 54–62. [Google Scholar] [CrossRef]
- Cardello, A.V.; Meiselman, H.L.; Schutz, H.G.; Craig, C.; Given, Z.; Lesher, L.L.; Eicher, S. Measuring emotional responses to foods and food names using questionnaires. Food Qual. Prefer. 2012, 24, 243–250. [Google Scholar] [CrossRef]
- Ferrarini, R.; Carbognin, C.; Casarotti, E.M.; Nicolis, E.; Nencini, A.; Meneghini, A.M. The emotional response to wine consumption. Food Qual. Prefer. 2010, 21, 720–725. [Google Scholar] [CrossRef]
- King, S.C.; Meiselman, H.L. Development of a method to measure consumer emotions associated with foods. Food Qual. Prefer. 2010, 21, 168–177. [Google Scholar] [CrossRef]
- Jaeger, S.R.; Swaney-Stueve, M.; Chheang, S.L.; Hunter, D.C.; Pineau, B.; Ares, G. An assessment of the CATA-variant of the EsSense Profile®. Food Qual. Prefer. 2018, 68, 360–370. [Google Scholar] [CrossRef]
- Jaeger, S.R.; Cardello, A.V.; Schutz, H.G. Emotion questionnaires: A consumer-centric perspective. Food Qual. Prefer. 2013, 30, 229–241. [Google Scholar] [CrossRef]
- Nestrud, M.A.; Meiselman, H.L.; King, S.C.; Lesher, L.L.; Cardello, A.V. Development of EsSense25, a shorter version of the EsSense Profile®. Food Qual. Prefer. 2016, 48, 107–117. [Google Scholar] [CrossRef]
- Leigh Gibson, E. Emotional influences on food choice: Sensory, physiological and psychological pathways. Physiol. Behav. 2006, 89, 53–61. [Google Scholar] [CrossRef]
- Macht, M.; Simons, G. Emotions and eating in everyday life. Appetite 2000, 35, 65–71. [Google Scholar] [CrossRef]
- Macht, M.; Gerer, J.; Ellgring, H. Emotions in overweight and normal-weight women immediately after eating foods differing in energy. Physiol. Behav. 2003, 80, 367–374. [Google Scholar] [CrossRef]
- Brunsø, K.; Grunert, K.G. Cross-Cultural Similarities and Differences in Shopping for Food. J. Bus. Res. 1998, 42, 145–150. [Google Scholar] [CrossRef]
- Brunsø, K.; Birch, D.; Memery, J.; Temesi, Á.; Lakner, Z.; Lang, M.; Dean, D.; Grunert, K.G. Core dimensions of food-related lifestyle: A new instrument for measuring food involvement, innovativeness and responsibility. Food Qual. Prefer. 2021, 91, 104192. [Google Scholar] [CrossRef]
- Pliner, P.; Hobden, K. Development of a scale to measure the trait of food neophobia in humans. Appetite 1992, 19, 105–120. [Google Scholar] [CrossRef]
- Friedman, M.I.; Ulrich, P.; Mattes, R.D. A Figurative Measure of Subjective Hunger Sensations. Appetite 1999, 32, 395–404. [Google Scholar] [CrossRef]
- Ng, M.; Chaya, C.; Hort, J. Beyond liking: Comparing the measurement of emotional response using EsSense Profile and consumer defined check-all-that-apply methodologies. Food Qual. Prefer. 2013, 28, 193–205. [Google Scholar] [CrossRef]
- Meyners, M.; Castura, J. Check-All-That-Apply Questions. Nov. Tech. Sens. Charact. Consum. Profiling 2014, 271–305. [Google Scholar] [CrossRef]
- Fonseca, F.G.A.; Esmerino, E.A.; Filho, E.R.T.; Ferraz, J.P.; da Cruz, A.G.; Bolini, H.M.A. Novel and successful free comments method for sensory characterization of chocolate ice cream: A comparative study between pivot profile and comment analysis. J. Dairy Sci. 2016, 99, 3408–3420. [Google Scholar] [CrossRef]
- Laaksonen, O.; Knaapila, A.; Niva, T.; Deegan, K.C.; Sandell, M. Sensory properties and consumer characteristics contributing to liking of berries. Food Qual. Prefer. 2016, 53, 117–126. [Google Scholar] [CrossRef]
- Romaniw, O.C.; Rajpal, R.; Duncan, A.M.; Keller, H.H.; Duizer, L.M. Nutrition in Disguise: Effects of Food Neophobia, Healthy Eating Interests and Provision of Health Information on Liking and Perceptions of Nutrient-Dense Foods in Older Adults. Foods 2021, 10, 60. [Google Scholar] [CrossRef]
- Gullón, B.; Gagaoua, M.; Barba, F.J.; Gullón, P.; Zhang, W.; Lorenzo, J.M. Seaweeds as promising resource of bioactive compounds: Overview of novel extraction strategies and design of tailored meat products. Trends Food Sci. Technol. 2020, 100, 1–18. [Google Scholar] [CrossRef]
- Roohinejad, S.; Koubaa, M.; Barba, F.J.; Saljoughian, S.; Amid, M.; Greiner, R. Application of seaweeds to develop new food products with enhanced shelf-life, quality and health-related beneficial properties. Food Res. Int. 2017, 99, 1066–1083. [Google Scholar] [CrossRef] [PubMed]
- Birch, D.; Skallerud, K.; Paul, N.A. Who are the future seaweed consumers in a Western society? Insights from Australia. Br. Food J. 2018, 121, 603–615. [Google Scholar] [CrossRef] [Green Version]
- Birch, D.; Skallerud, K.; Paul, N. Who Eats Seaweed? An Australian Perspective. J. Int. Food Agribus. Mark. 2019, 31, 329–351. [Google Scholar] [CrossRef]
- Beyts, C.; Chaya, C.; Dehrmann, F.; James, S.; Smart, K.; Hort, J. A comparison of self-reported emotional and implicit responses to aromas in beer. Food Qual. Prefer. 2017, 59, 68–80. [Google Scholar] [CrossRef]
- Kam, K.; Murray, J.M.; Arcot, J.; Ward, R. Fortification of parboiled rice with folic acid: Consumer acceptance and sensory evaluation. Food Res. Int. 2012, 49, 354–363. [Google Scholar] [CrossRef]
- Danner, L.; Ristic, R.; Johnson, T.E.; Meiselman, H.L.; Hoek, A.C.; Jeffery, D.W.; Bastian, S.E. Context and wine quality effects on consumers’ mood, emotions, liking and willingness to pay for Australian Shiraz wines. Food Res. Int. 2016, 89, 254–265. [Google Scholar] [CrossRef] [PubMed]
- Chonpracha, P.; Ardoin, R.; Gao, Y.; Waimaleongora-ek, P.; Tuuri, G.; Prinyawiwatkul, W. Effects of Intrinsic and Extrinsic Visual Cues on Consumer Emotion and Purchase Intent: A Case of Ready-to-Eat Salad. Foods 2020, 9, 396. [Google Scholar] [CrossRef] [Green Version]
- Poonnakasem, N.; Pujols, K.D.; Chaiwanichsiri, S.; Laohasongkram, K.; Prinyawiwatkul, W. Different Oils and Health Benefit Statements Affect Physicochemical Properties, Consumer Liking, Emotion, and Purchase Intent: A Case of Sponge Cake. J. Food Sci. 2016, 81, S165–S173. [Google Scholar] [CrossRef] [PubMed]
- Spinelli, S.; Masi, C.; Dinnella, C.; Zoboli, G.P.; Monteleone, E. How does it make you feel? A new approach to measuring emotions in food product experience. Food Qual. Prefer. 2014, 37, 109–122. [Google Scholar] [CrossRef]
- Gutjar, S.; Dalenberg, J.R.; de Graaf, C.; de Wijk, R.A.; Palascha, A.; Renken, R.J.; Jager, G. What reported food-evoked emotions may add: A model to predict consumer food choice. Food Qual. Prefer. 2015, 45, 140–148. [Google Scholar] [CrossRef]
- Ladhari, R. The movie experience: A revised approach to determinants of satisfaction. J. Bus. Res. 2007, 60, 454–462. [Google Scholar] [CrossRef]
- Mabeau, S.; Fleurence, J. Seaweed in food products: Biochemical and nutritional aspects. Trends Food Sci. Technol. 1993, 4, 103–107. [Google Scholar] [CrossRef]
- Marcus, J.B. Enhancing umami taste in foods. In Modifying Flavour in Food [Internet]; Taylor, A., Hort, J., Eds.; Woodhead Publishing: Sawston, UK, 2007. [Google Scholar]
- Mouritsen, O.G.; Williams, L.; Bjerregaard, R.; Duelund, L. Seaweeds for umami flavour in the New Nordic Cuisine. Flavour 2012, 1, 4. [Google Scholar] [CrossRef] [Green Version]
- Cardoso, S.M.; Pereira, O.R.; Seca, A.M.L.; Pinto, D.C.G.A.; Silva, A.M.S. Seaweeds as Preventive Agents for Cardiovascular Diseases: From Nutrients to Functional Foods. Mar. Drugs 2015, 13, 6838–6865. [Google Scholar] [CrossRef] [PubMed] [Green Version]
- Rioux, L.-E.; Beaulieu, L.; Turgeon, S.L. Seaweeds: A traditional ingredients for new gastronomic sensation. Food Hydrocoll. 2017, 68, 255–265. [Google Scholar] [CrossRef]
- Prabhasankar, P.; Ganesan, P.; Bhaskar, N.; Hirose, A.; Stephen, N.; Gowda, L.R.; Hosokawa, M.; Miyashita, K. Edible Japanese seaweed, wakame (Undaria pinnatifida) as an ingredient in pasta: Chemical, functional and structural evaluation. Food Chem. 2009, 115, 501–508. [Google Scholar] [CrossRef]
- Kumoro, A.; Johnny, D.; Alfilovita, D. Incorporation of microalgae and seaweed in instant fried wheat noodles manufacturing: Nutrition and culinary properties study. Int. Food Res. J. 2016, 23, 715–722. [Google Scholar]
- Lamont, T.; McSweeney, M. Consumer acceptability and chemical composition of whole-wheat breads incorporated with brown seaweed (Ascophyllum nodosum) or red seaweed (Chondrus crispus). J. Sci. Food Agric. 2021, 101, 1507–1514. [Google Scholar] [CrossRef]
- Singh, C.B.; Xavier, K.A.M.; Deshmukhe, G.; Gudipati, V.; Shitole, S.S.; Balange, A.K. Fortification of Extruded Product with Brown Seaweed (Sargassum tenerrimum) and Its Process Optimization by Response Surface Methodology. Waste Biomass Valorization 2018, 9, 755–764. [Google Scholar] [CrossRef]
- Mamat, H.; Akanda, J.M.H.; Zainol, M.K.; Ling, Y.A. The Influence of Seaweed Composite Flour on the Physicochemical Properties of Muffin. J Aquat Food Prod Technol. 2018, 27, 635–642. [Google Scholar] [CrossRef]
- Chapman, A.S.; Stévant, P.; Larssen, W.E. Food or fad? Challenges and opportunities for including seaweeds in a Nordic diet. Bot. Mar. 2015, 58, 423–433. [Google Scholar] [CrossRef]
- Senthil, A.; Mamatha, B.S.; Vishwanath, P.; Bhat, K.K.; Ravishankar, G.A. Studies on development and storage stability of instant spice adjunct mix from seaweed [Eucheuma]. J. Food Sci. Technol. 2011, 48, 712–717. [Google Scholar] [CrossRef] [Green Version]
- Etemadian, Y.; Shabanpour, B.; Ramzanpour, Z.; Shaviklo, A.R.; Kordjazi, M. Production of the corn snack seasoned with brown seaweeds and their characteristics. J. Food Meas. Charact. 2018, 12, 2068–2079. [Google Scholar] [CrossRef]
- Chee, C.P.; Gallaher, J.J.; Djordjevic, D.; Faraji, H.; McClements, D.J.; Decker, E.A.; Hollender, R.; Peterson, D.G.; Roberts, R.F.; Coupland, J.N. Chemical and sensory analysis of strawberry flavoured yogurt supplemented with an algae oil emulsion. J. Dairy Res. 2005, 72, 311–316. [Google Scholar] [CrossRef] [PubMed]
- Stévant, P.; Ólafsdóttir, A.; Déléris, P.; Dumay, J.; Fleurence, J.; Ingadóttir, B.; Jónsdóttir, R.; Ragueneau, É.; Rebours, C.; Rustad, T. Semi-dry storage as a maturation process for improving the sensory characteristics of the edible red seaweed dulse (Palmaria palmata). Algal Res. 2020, 51, 102048. [Google Scholar] [CrossRef]
- Vilar, E.G.; O’Sullivan, M.G.; Kerry, J.P.; Kilcawley, K.N. A chemometric approach to characterize the aroma of selected brown and red edible seaweeds / extracts. J. Sci. Food Agric. 2021, 101, 1228–1238. [Google Scholar] [CrossRef]
- Peinado, I.; Girón, J.; Koutsidis, G.; Ames, J.M. Chemical composition, antioxidant activity and sensory evaluation of five different species of brown edible seaweeds. Food Res. Int. 2014, 66, 36–44. [Google Scholar] [CrossRef] [Green Version]
- Frøst, M.B.; Hartmann, A.; Petersen, M.A.; Duelund, L.; Mouritsen, O.G. Odour-induced umami—Olfactory contribution to umami taste in seaweed extracts (dashi) by sensory interactions. Int. J. Gastron. Food Sci. 2021, 25, 100363. [Google Scholar] [CrossRef]
- Dawczynski, C.; Schubert, R.; Jahreis, G. Amino acids, fatty acids, and dietary fibre in edible seaweed products. Food Chem. 2007, 103, 891–899. [Google Scholar] [CrossRef]
- Gupta, S.; Abu-Ghannam, N. Recent developments in the application of seaweeds or seaweed extracts as a means for enhancing the safety and quality attributes of foods. Innov. Food Sci. Emerg. Technol. 2011, 12, 600–609. [Google Scholar] [CrossRef]
- Murai, U.; Yamagishi, K.; Kishida, R.; Iso, H. Impact of seaweed intake on health. Eur. J. Clin. Nutr. 2020, 202, 877–889. [Google Scholar] [CrossRef] [PubMed]
- Nielsen, C.W.; Rustad, T.; Holdt, S.L. Vitamin C from Seaweed: A Review Assessing Seaweed as Contributor to Daily Intake. Foods 2021, 10, 198. [Google Scholar] [CrossRef] [PubMed]
- Losada-Lopez, C.; Dopico, D.C.; Faína-Medín, J.A. Neophobia and seaweed consumption: Effects on consumer attitude and willingness to consume seaweed. Int. J. Gastron. Food Sci. 2021, 24, 100338. [Google Scholar] [CrossRef]
- Palmieri, N.; Forleo, M.B. The potential of edible seaweed within the western diet. A segmentation of Italian consumers. Int. J. Gastron. Food Sci. 2020, 20, 100202. [Google Scholar] [CrossRef]
- Cornell, C.E.; Rodin, J.; Weingarten, H. Stimulus-induced eating when satiated. Physiol. Behav. 1989, 45, 695–704. [Google Scholar] [CrossRef]
- de-Magistris, T.; Gracia, A. Assessing Projection Bias in Consumers’ Food Preferences. PLoS ONE 2016, 11, e0146308. [Google Scholar] [CrossRef] [Green Version]
- Jaeger, S.R.; Chheang, S.L.; Jin, D.; Ryan, G.; Worch, T. The negative influence of food neophobia on food and beverage liking: Time to look beyond extreme groups analysis? Food Qual. Pref. 2021, 92, 104217. [Google Scholar] [CrossRef]
- Yang, Q.; Shen, Y.; Foster, T.; Hort, J. Measuring consumer emotional response and acceptance to sustainable food products. Food Res. Int. 2020, 131, 108992. [Google Scholar] [CrossRef]
- Casini, L.; Boncinelli, F.; Contini, C.; Gerini, F.; Scozzafava, G.; Alfnes, F. Heterogeneous preferences with respect to food preparation time: Foodies and quickies. Food Qual. Prefer. 2019, 71, 233–241. [Google Scholar] [CrossRef]
- Kim, S.; Lee, K.; Lee, Y. Selection attributes of home meal replacement by food-related lifestyles of single-person households in South Korea. Food Qual. Prefer. 2018, 66, 44–51. [Google Scholar] [CrossRef]
- Borgogno, M.; Favotto, S.; Corazzin, M.; Cardello, A.V.; Piasentier, E. The role of product familiarity and consumer involvement on liking and perceptions of fresh meat. Food Qual. Prefer. 2015, 44, 139–147. [Google Scholar] [CrossRef]
- Torrico, D.D.; Fuentes, S.; Gonzalez Viejo, C.; Ashman, H.; Dunshea, F.R. Cross-cultural effects of food product familiarity on sensory acceptability and non-invasive physiological responses of consumers. Food Res. Int. 2019, 115, 439–450. [Google Scholar] [CrossRef] [PubMed]
Publisher’s Note: MDPI stays neutral with regard to jurisdictional claims in published maps and institutional affiliations. |
© 2021 by the authors. Licensee MDPI, Basel, Switzerland. This article is an open access article distributed under the terms and conditions of the Creative Commons Attribution (CC BY) license (https://creativecommons.org/licenses/by/4.0/).



