Anorexia, Oral Health and Antioxidant Salivary System: A Clinical Study on Adult Female Subjects
Abstract
1. Introduction
2. Materials and Methods
2.1. Oral Examination
2.2. Questionnaires
2.3. Saliva Samples
2.4. Statistical Analysis
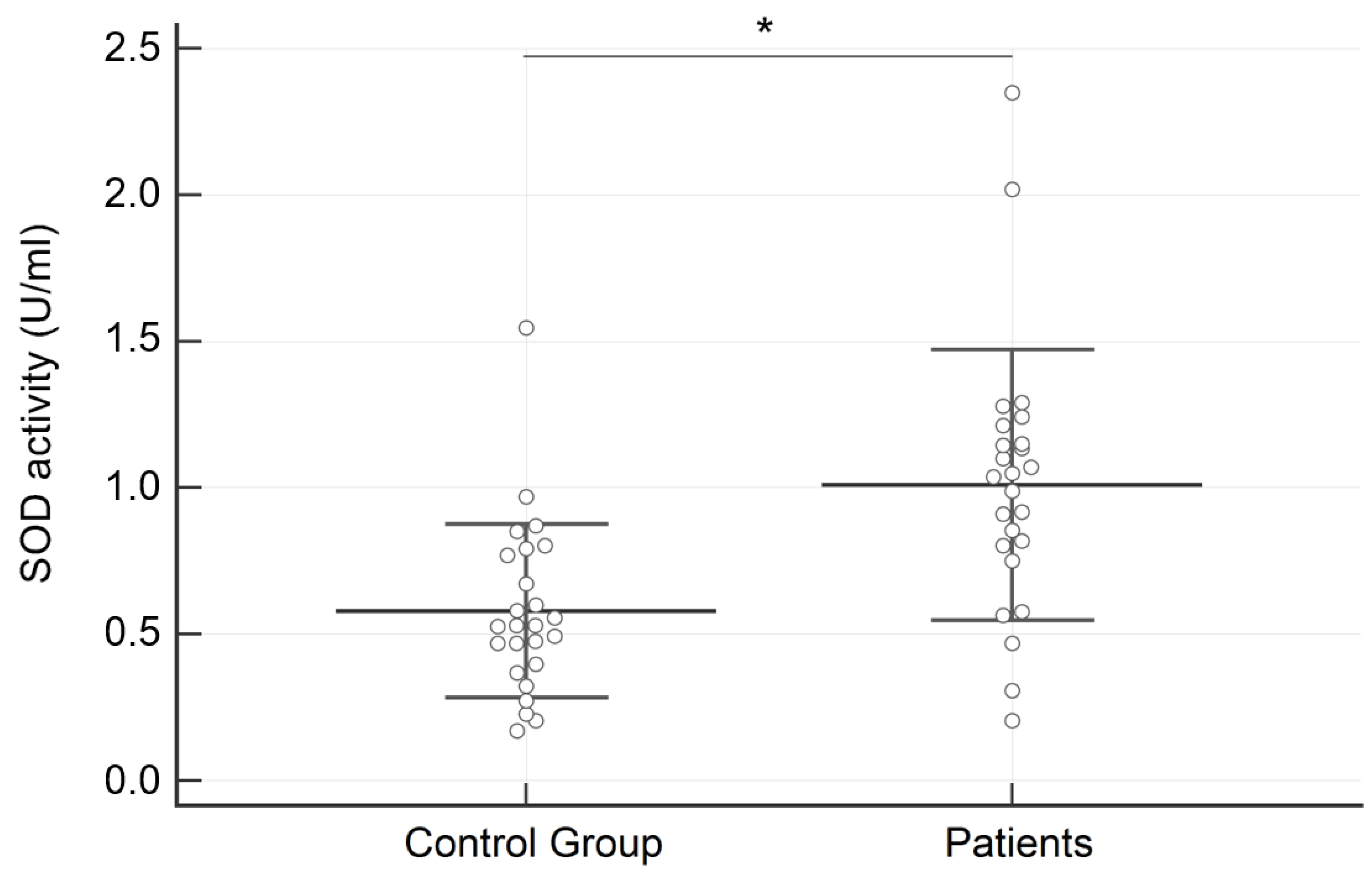
3. Results
4. Discussion
5. Conclusions
Author Contributions
Funding
Acknowledgments
Conflicts of Interest
References
- Di Fede, O.; Di Liberto, C.; Occhipinti, G.; Vigneri, S.; Lo Russo, L.; Fedele, S.; Lo Muzio, L.; Campisi, G. Oral manifestations in patients with gastro-oesophageal reflux disease: A single-center case-control study. J. Oral Pathol. Med. 2008, 37, 336–340. [Google Scholar] [CrossRef]
- American Psychiatric Association Work Group on Eating Disorders. Practice guideline for the treatment of patients with eating disorders (revision). Am. J. Psychiatry 2000, 157, 1–39. [Google Scholar]
- Fairburn, C.G.; Harrison, P.J. Eating disorders. Lancet 2003, 361, 407–416. [Google Scholar] [CrossRef]
- Miller, K.K.; Grinspoon, S.K.; Ciampa, J.; Hier, J.; Herzog, D.; Klibanski, A. Medical findings in outpatients with anorexia nervosa. Arch. Intern. Med. 2005, 165, 561–566. [Google Scholar] [CrossRef] [PubMed]
- Mitan, L.A. Eating disorders in adolescent girls. Curr. Womens Health Rep. 2002, 2, 464–467. [Google Scholar] [PubMed]
- Birmingham, C.L.; Su, J.; Hlynsky, J.A.; Goldner, E.M.; Gao, M. The mortality rate from anorexia nervosa. Int. J. Eat. Disord. 2005, 38, 143–146. [Google Scholar] [CrossRef] [PubMed]
- Wiseman, C.V.; Harris, W.A.; Halmi, K.A. Eating disorders. Med. Clin. N. Am. 1998, 82, 145–159. [Google Scholar] [CrossRef]
- Debate, R.D.; Tedesco, L.A.; Kerschbaum, W.E. Knowledge of oral and physical manifestations of anorexia and bulimia nervosa among dentists and dental hygienists. J. Dent. Educ. 2005, 69, 346–354. [Google Scholar]
- Ferlazzo, N.; Currò, M.; Zinellu, A.; Caccamo, D.; Isola, G.; Ventura, V.; Carru, C.; Matarese, G.; Ientile, R. Influence of MTHFR Genetic Background on p16 and MGMT Methylation in Oral Squamous Cell Cancer. Int. J. Mol. Sci. 2017, 29, 724. [Google Scholar] [CrossRef] [PubMed]
- Matarese, G.; Isola, G.; Anastasi, G.P.; Cutroneo, G.; Cordasco, G.; Favaloro, A.; Vita, G.; Vermiglio, G.; Milardi, D.; Zizzari, V.L.; et al. Transforming Growth Factor Beta 1 and Vascular Endothelial Growth Factor Levels in the Pathogenesis of Periodontal Disease. Eur. J. Inflamm. 2013, 11, 479–488. [Google Scholar] [CrossRef]
- Osorio, R.; Alfonso-Rodríguez, C.A.; Osorio, E.; Medina-Castillo, A.L.; Alaminos, M.; Toledano-Osorio, M.; Toledano, M. Novel potential scaffold for periodontal tissue engineering. Clin. Oral Investig. 2017, 21, 2695–2707. [Google Scholar] [CrossRef]
- Bachmeier, E.; Mazzeo, M.A.; López, M.M.; Linares, J.A.; Jarchum, G.; Wietz, F.M.; Finkelberg, A.B. Mucositis and salivary antioxidants in patients undergoing bone marrow transplantation (BMT). Med. Oral Patol. Oral Cir. Bucal 2014, 19, e444–e450. [Google Scholar] [CrossRef]
- Sonis, S.T. Mucositis as a biological process: A new hypothesis for the development of chemotherapy-induced stomatotoxicity. Oral Oncol. 1998, 34, 39–43. [Google Scholar] [CrossRef]
- Youssef, H.; Groussard, C.; Machefer, G.; Minella, O.; Couillard, A.; Knight, J.; Gratas-Delamarche, A. Comparison of total antioxidant capacity of salivary, capillary and venous samplings: Interest of the salivary total antioxidant capacity on triathletes during training season. J. Sports Med. Phys. Fit. 2008, 48, 522–529. [Google Scholar]
- Iannitti, T.; Rottigni, V.; Palmieri, B. Role of free radicals and antioxidant defences in oral cavity-related pathologies. J. Oral Path. Med. 2012, 41, 649–661. [Google Scholar] [CrossRef]
- Szczeklik, K.; Krzysciak, W.; Domagala-Rodacka, R.; Mach, P.; Darczuk, D.; Cibor, D.; Pytko-Polonczyk, J.; Rodacki, T.; Owczarek, D. Alterations in glutathione peroxidase and superoxide dismutase activities in plasma and saliva in relation to disease activity in patients with Crohn’s disease. J. Physiol. Pharmacol. 2016, 67, 709–715. [Google Scholar]
- Alajbeg, I.Z.; Lapić, I.; Rogić, D.; Vuletić, L.; Andabak Rogulj, A.; Illeš, D.; Knezović Zlatarić, D.; Badel, T.; Vrbanović, E.; Alajbeg, I. Within-Subject Reliability and between-Subject Variability of Oxidative Stress Markers in Saliva of Healthy Subjects: A Longitudinal Pilot Study. Dis. Markers 2017, 2017, 2697464. [Google Scholar] [CrossRef]
- Ganss, C.; Lussi, A. Diagnosis of erosive tooth wear. Monogr. Oral Sci. 2014, 25, 22–31. [Google Scholar]
- Landry, R.G.; Jean, M. Periodontal Screening and Recording (PSR) Index: Precursors, utility and limitations in a clinical setting. Int. Dent. J. 2002, 52, 35–40. [Google Scholar] [CrossRef]
- Awad, M.; Al-Shamrany, M.; Locker, D.; Allen, F.; Feine, J. Effect of reducing the number of items of the Oral Health Impact Profile on responsiveness, validity and reliability in edentulous populations. Community Dent. Oral Epidemiol. 2008, 36, 12–20. [Google Scholar] [CrossRef]
- Ganzetti, G.; Campanati, A.; Santarelli, A.; Pozzi, V.; Molinelli, E.; Minnetti, I.; Brisigotti, V.; Procaccini, M.; Emanuelli, M.; Offidani, A. Involvement of the oral cavity in psoriasis: Results of a clinical study. Br. J. Dermatol. 2015, 172, 282–285. [Google Scholar] [CrossRef]
- Vignini, A.; Sabbatinelli, J.; Clemente, N.; Delli Carpini, G.; Tassetti, M.; Zagaglia, G.; Ciavattini, A. Preperitoneal Fat Thicknesses, Lipid Profile, and Oxidative Status in Women With Uterine Fibroids. Reprod. Sci. 2017, 24, 1419–1425. [Google Scholar] [CrossRef]
- Johansson, A.K.; Norring, C.; Unell, L.; Johansson, A. Eating disorders and oral health: A matched case-control study. Eur. J. Oral Sci. 2012, 120, 61–68. [Google Scholar] [CrossRef]
- Gale, C.R.; Wilson, J.A.; Deary, I.J. Globus sensation and psychopathology in men: The Vietnam experience study. Psychosom. Med. 2009, 71, 1026–1031. [Google Scholar] [CrossRef] [PubMed]
- Remacle, M.; Lawson, G. Diagnosis and management of laryngopharyngeal reflux disease. Curr. Opin. Otolaryngol. Head Neck Surg. 2006, 14, 143–149. [Google Scholar] [CrossRef]
- Baek, C.H.; Chung, M.K.; Choi, J.Y.; So, Y.K.; Son, Y.I.; Jeong, H.S. Role of salivary function in patients with globus pharyngeus. Head Neck 2010, 32, 244–252. [Google Scholar] [CrossRef]
- Henkin, R.I. Disorders of taste and smell. JAMA 1971, 218, 1946. [Google Scholar] [CrossRef]
- Anderson, L.; Shaw, J.M.; McCargar, L. Physiological effects of bulimia nervosa on the gastrointestinal tract. Can. J. Gastroenterol. 1997, 11, 451–459. [Google Scholar] [CrossRef]
- Guiglia, R.; Lo Russo, L.; Coccia, E.; Di Liberto, C.; D’Angelo, M.; Indovina, G.; Lo Muzio, L.; Campisi, G. The association between periodontal diseases and cardiovascular diseases: a narrative review. Panminerva Med. 2008, 50, 327–337. [Google Scholar]
- Lopez-Jornet, P.; Martinez-Canovas, A.; Pons-Fuster, A. Salivary biomarkers of oxidative stress and quality of life in patients with oral lichen planus. Geriatr. Gerontol. Int. 2014, 14, 654–659. [Google Scholar] [CrossRef] [PubMed]
- Metgud, R.; Bajaj, S. Evaluation of salivary and serum lipid peroxidation, and glutathione in oral leukoplakia and oral squamous cell carcinoma. J. Oral Sci. 2014, 56, 135–142. [Google Scholar] [CrossRef]
- Ohrn, R.; Angmar-Mansson, B. Oral status of 35 subjects with eating disorders—A 1-year study. Eur. J. Oral Sci. 2000, 108, 275–280. [Google Scholar] [CrossRef]
- Frydrych, A.M.; Davies, G.R.; McDermott, B.M. Eating disorders and oral health: A review of the literature. Aust. Dent. J. 2005, 50, 6–15. [Google Scholar] [CrossRef]
- Robb, N.D.; Smith, B.G.; Geidrys-Leeper, E. The distribution of erosion in the dentitions of patients with eating disorders. Br. Dent. J. 1995, 178, 171–175. [Google Scholar] [CrossRef]
- Little, J.W. Eating disorders: Dental implications. Oral Surg. Oral Med. Oral Pathol. Oral Radiol. Endod. 2002, 93, 138–143. [Google Scholar] [CrossRef]
- Milosevic, A.; Dawson, L.J. Salivary factors in vomiting bulimics with and without pathological tooth wear. Caries Res. 1996, 30, 361–366. [Google Scholar] [CrossRef]
- De Carvalho Sales-Peres, S.H.; Araújo, J.J.; Marsicano, J.A.; Santos, J.E.; Bastos, J.R. Prevalence, severity and etiology of dental wear in patients with eating disorders. Eur. J. Dent. 2014, 8, 68–73. [Google Scholar] [CrossRef][Green Version]
- Uhlen, M.M.; Tveit, A.B.; Stenhagen, K.R.; Mulic, A. Self-induced vomiting and dental erosion-a clinical study. BMC Oral Health 2014, 14, 92. [Google Scholar] [CrossRef]
- Lifante-Oliva, C.; López-Jornet, P.; Camacho-Alonso, F.; Esteve-Salinas, J. Study of oral changes in patients with eating disorders. Int. J. Dent. Hyg. 2008, 6, 119–122. [Google Scholar] [CrossRef]
- Curzon, M.E.; Hefferren, J.J. Modern methods for assessing the cariogenic and erosive potential of foods. Br. Dent. J. 2001, 191, 41–46. [Google Scholar] [CrossRef]
- Coleman, H.; Altini, M.; Nayler, S.; Richards, A. Sialadenosis: A presenting sign in bulimia. Head Neck 1998, 20, 758–762. [Google Scholar] [CrossRef]
- Mandel, L.; Kaynar, A. Bulimia and parotid swelling: A review and case report. J. Oral Maxillofac. Surg. 1992, 50, 1122–1125. [Google Scholar] [CrossRef]
- Tóthová, L.; Kamodyová, N.; Červenka, T.; Celec, P. Salivary markers of oxidative stress in oral diseases. Front. Cell Infect. Microbiol. 2015, 5, 73. [Google Scholar] [CrossRef]
- Santarelli, A.; Mascitti, M.; Rubini, C.; Bambini, F.; Zizzi, A.; Offidani, A.; Ganzetti, G.; Laino, L.; Cicciú, M.; Lo Muzio, L. Active inflammatory biomarkers in oral lichen planus. Int. J. Immunopathol. Pharmacol. 2015, 28, 562–568. [Google Scholar] [CrossRef]
- Curatola, G.; Camilloni, M.A.; Vignini, A.; Nanetti, L.; Boscaro, M.; Mazzanti, L. Chemical-physical properties of lipoproteins in anorexia nervosa. Eur. J. Clin. Investig. 2004, 34, 747–751. [Google Scholar] [CrossRef]
- Agnello, E.; Malfi, G.; Costantino, A.M.; Massarenti, P.; Pugliese, M.; Fortunati, N.; Catalano, M.G.; Palmo, A. Tumour necrosis factor alpha and oxidative stress as maintaining factors in the evolution of anorexia nervosa. Eat. Weight Disord. 2012, 17, e194–e199. [Google Scholar] [CrossRef]
- Solmi, M.; Veronese, N.; Manzato, E.; Sergi, G.; Favaro, A.; Santonastaso, P.; Correll, C.U. Oxidative stress and antioxidant levels in patients with anorexia nervosa: A systematic review and exploratory meta-analysis. Int. J. Eat. Disord. 2015, 48, 826–841. [Google Scholar] [CrossRef]
- Nagler, R.M.; Klein, I.; Zarzhervsky, N.; Drigues, N.; Reznick, A.Z. Characterization of the differentiated antioxidant profile of human saliva. Free Radic. Biol. Med. 2002, 32, 268–277. [Google Scholar] [CrossRef]
- Lee, J.M.; Garon, E.; Wong, D.T. Salivary diagnostics. Orthod. Craniofac. Res. 2009, 12, 206–211. [Google Scholar] [CrossRef]
- Rosa, N.; Correia, M.J.; Arrais, J.P.; Lopes, P.; Melo, J.; Oliveira, J.L.; Barros, M. From the salivary proteome to the OralOme: Comprehensive molecular oral biology. Arch. Oral Biol. 2012, 57, 853–864. [Google Scholar] [CrossRef]
- Tulunoglu, O.; Alacam, A.; Bastug, M.; Yavuzer, S. Superoxide dismutase activity in healthy and inflamed pulp tissues of permanent teeth in children. J. Clin. Pediatr. Dent. 1998, 22, 341–345. [Google Scholar]
- Battino, M.; Ferreiro, M.S.; Gallardo, I.; Newman, H.N.; Bullon, P. The antioxidant capacity of saliva. J. Clin. Periodontol. 2002, 29, 189–194. [Google Scholar] [CrossRef] [PubMed]
- Romanos, G.E.; Javed, F.; Romanos, E.B.; Williams, R.C. Oro-facial manifestations in patients with eating disorders. Appetite 2012, 59, 499–504. [Google Scholar] [CrossRef] [PubMed]
- Almerich-Silla, J.M.; Montiel-Company, J.M.; Pastor, S.; Serrano, F.; Puig-Silla, M.; Dasí, F. Oxidative Stress Parameters in Saliva and Its Association with Periodontal Disease and Types of Bacteria. Dis. Markers 2015, 2015, 653537. [Google Scholar] [CrossRef] [PubMed]
- Novakovic, N.; Todorovic, T.; Rakic, M.; Milinkovic, I.; Dozic, I.; Jankovic, S.; Aleksic, Z.; Cakic, S. Salivary antioxidants as periodontal biomarkers in evaluation of tissue status and treatment outcome. J. Periodontal Res. 2014, 49, 129–136. [Google Scholar] [CrossRef] [PubMed]
- Trivedi, S.; Lal, N.; Mahdi, A.A.; Singh, B.; Pandey, S. Association of salivary lipid peroxidation levels, antioxidant enzymes, and chronic periodontitis. Int. J. Periodontics Restor. Dent. 2015, 35, e14–e19. [Google Scholar] [CrossRef] [PubMed]


| Clinical Feature | n. of Subjects (%) |
|---|---|
| Periodontal status | |
| 23 (92.0) 2 (8.0) |
| Dental status | |
| 19 (76.0) 14 (56.0) 21 (84.0) 16 (64.0) |
| Oral hygiene | |
| 13 (52.0) 10 (40.0) 2 (8.0) |
| Other disorders | |
| 9 (36.0) 4 (16.0) 7 (28.0) 17 (68.0) |
| AN Patients | Control Group | p Value | |
|---|---|---|---|
| Personal data | |||
| Age (mean ± SD) | 24.5 ± 9.2 | 24.2 ± 5.4 | 0.8814 † |
| Sex (n. female) | 25 | 25 | 1.0000 † |
| Periodontal status (n.) | |||
| 23 | 16 | 0.6378 * |
| 2 | 3 | ||
| Dental status (mean ± SD) | |||
| 1.6 ± 2.1 | 2.5 ± 1.5 | 0.0812 † |
| 3.0 ± 2.1 | 0.8 ± 0.7 | <0.05 † | |
| 2.2 ± 2.0 | 1.0 ± 0.8 | <0.05 † | |
| 6.8 ± 3.8 | 4.3 ± 2.2 | <0.05 † | |
| 5.2 ± 4.5 | 0.6 ± 0.7 | <0.05 † |
© 2019 by the authors. Licensee MDPI, Basel, Switzerland. This article is an open access article distributed under the terms and conditions of the Creative Commons Attribution (CC BY) license (http://creativecommons.org/licenses/by/4.0/).
Share and Cite
Mascitti, M.; Coccia, E.; Vignini, A.; Aquilanti, L.; Santarelli, A.; Salvolini, E.; Sabbatinelli, J.; Mazzanti, L.; Procaccini, M.; Rappelli, G. Anorexia, Oral Health and Antioxidant Salivary System: A Clinical Study on Adult Female Subjects. Dent. J. 2019, 7, 60. https://doi.org/10.3390/dj7020060
Mascitti M, Coccia E, Vignini A, Aquilanti L, Santarelli A, Salvolini E, Sabbatinelli J, Mazzanti L, Procaccini M, Rappelli G. Anorexia, Oral Health and Antioxidant Salivary System: A Clinical Study on Adult Female Subjects. Dentistry Journal. 2019; 7(2):60. https://doi.org/10.3390/dj7020060
Chicago/Turabian StyleMascitti, Marco, Erminia Coccia, Arianna Vignini, Luca Aquilanti, Andrea Santarelli, Eleonora Salvolini, Jacopo Sabbatinelli, Laura Mazzanti, Maurizio Procaccini, and Giorgio Rappelli. 2019. "Anorexia, Oral Health and Antioxidant Salivary System: A Clinical Study on Adult Female Subjects" Dentistry Journal 7, no. 2: 60. https://doi.org/10.3390/dj7020060
APA StyleMascitti, M., Coccia, E., Vignini, A., Aquilanti, L., Santarelli, A., Salvolini, E., Sabbatinelli, J., Mazzanti, L., Procaccini, M., & Rappelli, G. (2019). Anorexia, Oral Health and Antioxidant Salivary System: A Clinical Study on Adult Female Subjects. Dentistry Journal, 7(2), 60. https://doi.org/10.3390/dj7020060

