The Impact of the COVID-19 Pandemic on Pediatric Dentistry: Insights from an Italian Cross-Sectional Survey
Abstract
1. Introduction
2. Materials and Methods
2.1. Study Design
2.2. Participants
2.3. Survey Development
2.4. Questionnarie Validity
2.5. Data Collection
2.6. Study Population
2.7. Informed Consent
2.8. Data Analysis
2.9. Ethics Approval
3. Results
3.1. Management during the First Italian Lockdown (from 9 March to 4 May 2020)
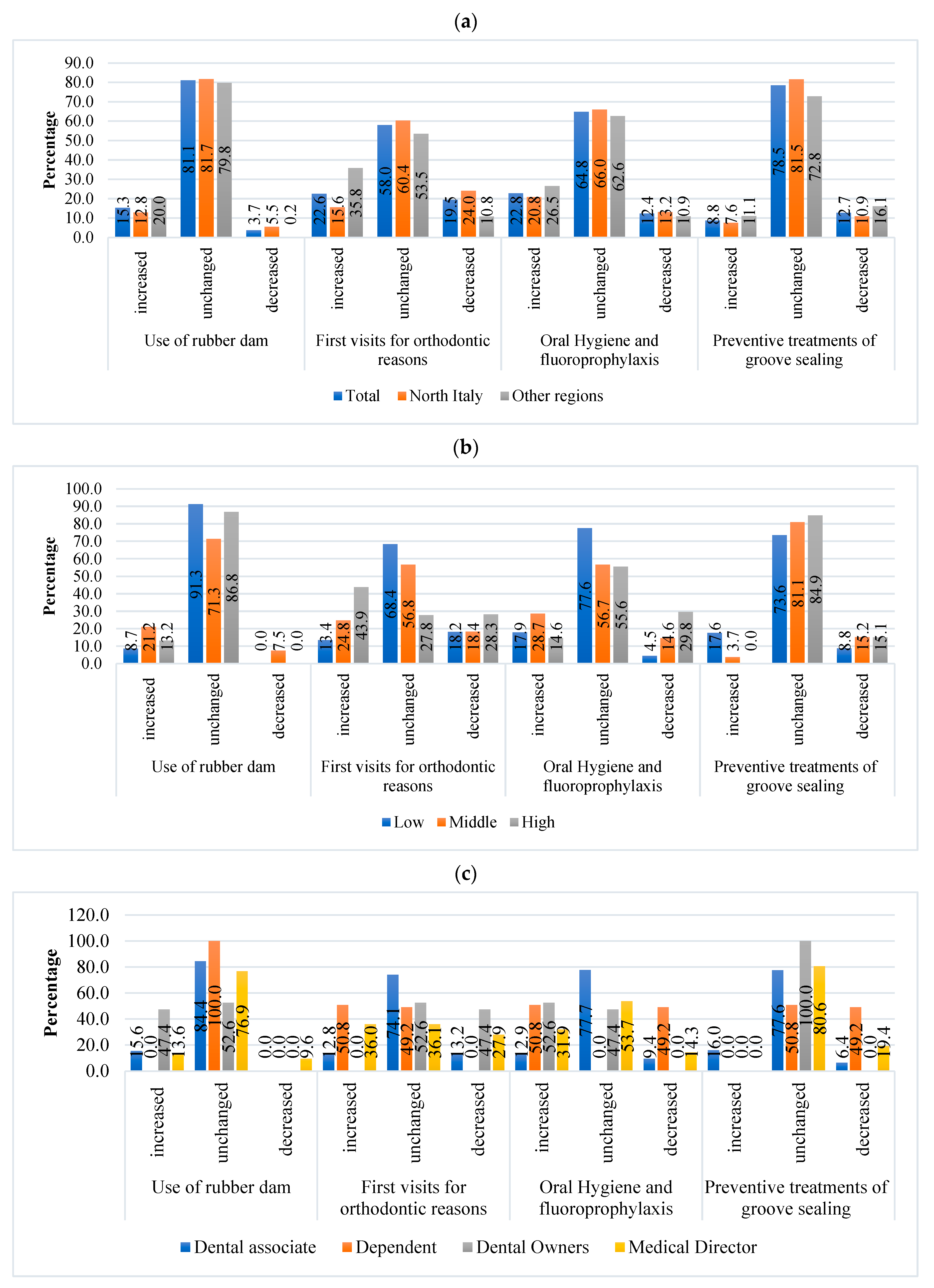
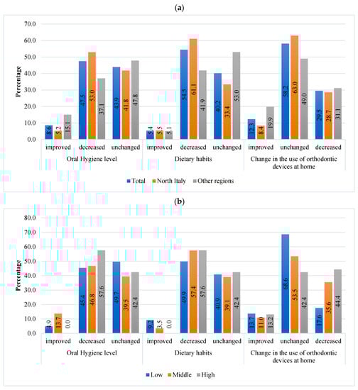
3.2. Management of Paediatric Patients after the Lockdown
4. Discussion
5. Conclusions
Author Contributions
Funding
Institutional Review Board Statement
Informed Consent Statement
Data Availability Statement
Conflicts of Interest
References
- Tysiąc-Miśta, M.; Dziedzic, A. The Attitudes and Professional Approaches of Dental Practitioners during the COVID-19 Outbreak in Poland: A Cross-Sectional Survey. Int. J. Environ. Res. Public Health 2020, 17, 4703. [Google Scholar] [CrossRef] [PubMed]
- Bardellini, E.; Amadori, F.; Veneri, F.; Conti, G.; Majorana, A. Coronavirus Disease-2019 and dental practice: A project on the use of ozonized water in the water circuit of the dental armchair. Stomatologija 2020, 22, 35–38. [Google Scholar]
- Baudet, A.; Lizon, J.; Martrette, J.M.; Camelot, F.; Florentin, A.; Clément, C. Dental Unit Waterlines: A Survey of Practices in Eastern France. Int. J. Environ. Res. Public Health 2019, 16, 4242. [Google Scholar] [CrossRef]
- Giacomuzzi, M.; Zotti, C.M.; Ditommaso, S. Colonization of Dental Unit Waterlines by Helicobacter pylori: Risk of Exposure in Dental Practices. Int. J. Environ. Res. Public Health 2019, 16, 2981. [Google Scholar] [CrossRef]
- Giudice, A.; Bennardo, F.; Antonelli, A.; Barone, S.; Fortunato, L. COVID-19 is a New Challenge for Dental Practitioners: Advice on Patients’ Management from Prevention of Cross Infections to Telemedicine. Open Dent. J. 2020, 14, 298–304. [Google Scholar] [CrossRef]
- Cagetti, M.G.; Cairoli, J.L.; Senna, A.; Campus, G. COVID-19 Outbreak in North Italy: An Overview on Dentistry. A Questionnaire Survey. Int. J. Environ. Res. Public Health 2020, 17, 3835. [Google Scholar] [CrossRef]
- Khader, Y.; Al Nsour, M.; Al-Batayneh, O.B.; Saadeh, R.; Bashier, H.; Alfaqih, M.; Al-Azzam, S.; AlShurman, B.A. Dentists’ Awareness, Perception, and Attitude Regarding COVID-19 and Infection Control: Cross-Sectional Study Among Jordanian Dentists. JMIR Public Health Surveill 2020, 6, e18798. [Google Scholar] [CrossRef] [PubMed]
- Bontà, G.; Campus, G.; Cagetti, M.G. COVID-19 pandemic and dental hygienists in Italy: A questionnaire survey. BMC Health Serv. Res. 2020, 20, 994. [Google Scholar] [CrossRef]
- Cimilluca, J.J.; Lee, K.C.; Halepas, S.; Ferguson, B. COVID-19 Pandemic and its Impact on Dentistry: A Cross-sectional Survey of Practicing Dentists. J. Contemp. Dent. Pract. 2021, 26, 473–478. [Google Scholar] [CrossRef]
- COVIDental Collaboration Group. The COVID-19 pandemic and its global effects on dental practice. An International survey. J. Dent. 2021, 114, 103749. [Google Scholar] [CrossRef] [PubMed]
- Luzzi, V.; Ierardo, G.; Bossù, M.; Polimeni, A. Paediatric Oral Health during and after the COVID-19 Pandemic. Int. J. Paediatr. Dent. 2021, 31, 20–26. [Google Scholar] [CrossRef]
- Hopcraft, M.; Farmer, G. Impact of COVID-19 on the provision of paediatric dental care: Analysis of the Australian Child Dental Benefits Schedule. Community Dent. Oral Epidemiol. 2021, 49, 369–376. [Google Scholar] [CrossRef]
- Cotrin, P.; Peloso, R.M.; Oliveira, R.C.; de Oliveira, R.C.G.; Pini, N.I.P.; Valarelli, F.P.; Freitas, K.M.S. Impact of coronavirus pandemic in appointments and anxiety/concerns of patients regarding orthodontic treatment. Orthod. Craniofac. Res. 2020, 23, 455–461. [Google Scholar] [CrossRef]
- Campagnaro, R.; Collet, G.O.; Andrade, M.P.; Salles, J.P.D.S.L.; Calvo Fracasso, M.L.; Scheffel, D.L.S.; Freitas, K.M.S.; Santin, G.C. COVID-19 pandemic and paediatric dentistry: Fear, eating habits and parent’s oral health perceptions. Child Youth Serv. Rev. 2020, 118, 105469. [Google Scholar] [CrossRef]
- Peloso, R.M.; Pini, N.I.P.; Sundfeld Neto, D.; Mori, A.A.; Oliveira, R.C.G.; Valarelli, F.P.; Freitas, K.M.S. How does the quarantine resulting from COVID-19 impact dental appointments and patient anxiety levels? Braz. Oral Res. 2020, 34, e84. [Google Scholar] [CrossRef]
- Dopp, A.R.; Cain, A.C. The role of peer relationships in parental bereavement during childhood and adolescence. Death Stud. 2012, 36, 41–60. [Google Scholar] [CrossRef] [PubMed]
- Olszewska, A.; Rzymski, P. Children’s Dental Anxiety during the COVID-19 Pandemic: Polish Experience. J. Clin. Med. 2020, 9, 2751. [Google Scholar] [CrossRef]
- Creswell, C.; Nauta, M.H.; Hudson, J.L.; March, S.; Reardon, T.; Arendt, K.; Bodden, D.; Cobham, V.E.; Donovan, C.; Halldorsson, B.; et al. Research Review: Recommendations for reporting on treatment trials for child and adolescent anxiety disorders—An international consensus statement. J. Child Psychol. Psychiatry 2021, 62, 255–269. [Google Scholar] [CrossRef]
- Di Renzo, L.; Gualtieri, P.; Pivari, F.; Soldati, L.; Attinà, A.; Cinelli, G.; Leggeri, C.; Caparello, G.; Barrea, L.; Scerbo, F.; et al. Eating habits and lifestyle changes during COVID-19 lockdown: An Italian survey. J. Transl. Med. 2020, 18, 229. [Google Scholar] [CrossRef] [PubMed]
- Spinelli, M.; Lionetti, F.; Pastore, M.; Fasolo, M. Parents’ Stress and Children’s Psychological Problems in Families Facing the COVID-19 Outbreak in Italy. Front. Psychol. 2020, 11, 1713. [Google Scholar] [CrossRef] [PubMed]
- Wang, C.; Pan, R.; Wan, X.; Tan, Y.; Xu, L.; Ho, C.S.; Ho, R.C. Immediate Psychological Responses and Associated Factors during the Initial Stage of the 2019 Coronavirus Disease (COVID-19) Epidemic among the General Population in China. Int. J. Environ. Res. Public Health 2020, 17, 1729. [Google Scholar] [CrossRef] [PubMed]
- Baptista, A.S.; Prado, I.M.; Perazzo, M.F.; Pinho, T.; Paiva, S.M.; Pordeus, I.A.; Serra-Negra, J.M. Can children’s oral hygiene and sleep routines be compromised during the COVID-19 pandemic? Int. J. Paediatr. Dent. 2021, 31, 12–19. [Google Scholar] [CrossRef]
- Trubey, R.J.; Moore, S.C.; Chestnutt, I.G. Parents’ reasons for brushing or not brushing their child’s teeth: A qualitative study. Int. J. Paediatr. Dent. 2014, 24, 104–112. [Google Scholar] [CrossRef] [PubMed]
- Bardellini, E.; Bondioni, M.P.; Amadori, F.; Veneri, F.; Lougaris, V.; Meini, A.; Plebani, A.; Majorana, A. Non-specific oral and cutaneous manifestations of Coronavirus Disease 2019 in children. Med. Oral Patol. Oral Cir. Bucal. 2021, 26, 549–553. [Google Scholar] [CrossRef] [PubMed]
- Abbasi, M.S.; Ahmed, N.; Sajjad, B.; Alshahrani, A.; Saeed, S.; Sarfaraz, S.; Alhamdan, R.S.; Vohra, F.; Abduljabbar, T. E-Learning perception and satisfaction among health sciences students amid the COVID-19 pandemic. Work 2020, 67, 549–556. [Google Scholar] [CrossRef]



| Respondents | 1752 |
| Gender | |
| Male | 274 (15.6) |
| Female | 1478 (84.4) |
| Age | |
| Less than 30 years | 692 (39.5) |
| 31–49 years | 855 (48.8) |
| 50–60 years | 178 (10.2) |
| Over 61 years | 27 (1.5) |
| Dentists’ Experience | |
| Low (<5 years) | 692 (39.5) |
| Middle (5–20 years) | 855 (48.8) |
| High (≥20 years) | 205 (11.7) |
| Working Position | |
| Dental associate | 964 (55.0) |
| Dental employee | 61 (3.5) |
| Medical director | 57 (3.3) |
| Dental owner | 670 (38.2) |
| Regions | |
| North Italy | 1148 (65.5) |
| Other regions | 604 (34.5) |
| Number of paediatric patients treated weekly (on average) | |
| Less than 6 patients | 364 (20.8) |
| 6–10 patients | 430 (24.5) |
| More than 10 patients | 958 (54.7) |
| Positive patients treated after the first Italian lockdown | 61 (3.5) |
| Tot. Sample | Geographic Area | Experience | Working Position | ||||||||||
|---|---|---|---|---|---|---|---|---|---|---|---|---|---|
| North Italy | Other Regions | p | Low | Middle | High | p | Dental Associate | Dental Employee | Medical Director | Dental Owner | p | ||
| Respondents treating dental urgencies during the first Italian lockdown | |||||||||||||
| 1196 (68.3) | 756 (65.9) | 440 (72.8) | 0.000 | 478 (69.1) | 545 (63.7) | 173 (84.4) | 0.000 | 720 (74.7) | 30 (49.2) | 30 (52.6) | 416 (62.1) | 0.000 | |
| Number of urgencies handled during the first Italian lockdown | |||||||||||||
| 1–5 | 980 (81.9) | 661 (87.4) | 319 (72.5) | 0.000 | 413 (86.4) | 424 (77.8) | 143 (82.7) | 0.000 | 655 (91.0) | 30 (100.0) | 30 (100.0) | 265 (63.7) | 0.000 |
| 6–10 | 182 (15.2) | 61 (8.1) | 121 (27.5) | 31 (6.5) | 121 (22.2) | 30 (17.3) | 31 (4.3) | 0 (0.0) | 0 (0.0) | 151 (36.3) | |||
| >10 | 34 (2.8) | 34 (4.5) | 0 (0.0) | 34 (7.1) | 0 (0.0) | 0 (0.0) | 34 (4.7) | 0 (0.0) | 0 (0.0) | 0 (0.0) | |||
| Change in the number of requests for dental alveolar trauma management | |||||||||||||
| Increase | 185 (10.6) | 95 (8.3) | 90 (14.9) | 0.000 | 67 (9.7) | 118 (13.8) | 0 (0.0) | 0.000 | 95 (9.9) | 0 (0.0) | 0 (0.0) | 90 (13.4) | 0.000 |
| Decrease | 485 (27.7) | 390 (34.0) | 95 (15.7) | 157 (23.0) | 241 (28.2) | 87 (42.4) | 337 (35.0) | 0 (0.0) | 27 (47.4) | 121 (18.1) | |||
| No Change | 1082 (61.8) | 663 (57.8) | 419 (69.4) | 468 (68.0) | 496 (58.0) | 118 (57.6) | 532 (55.2) | 61 (100.0) | 30 (52.6) | 459 (68.5) | |||
| Tot. Sample | Geographic Area | Experience | Working Position | ||||||||||
|---|---|---|---|---|---|---|---|---|---|---|---|---|---|
| North Italy | Other Regions | p | Low | Middle | High | p | Dental Associate | Dental Employee | Medical Director | Dental Owner | p | ||
| Reduction of patients | |||||||||||||
| 377 (21.5) | 279 (24.3) | 98 (16.2) | 0.000 | 189 (27.3) | 158 (18.5) | 30 (14.6) | 0.000 | 222 (23.0) | 30 (49.2) | 0 (0.0) | 125 (18.7) | 0.000 | |
| Questions during telephone triage | |||||||||||||
| Total | 1174 (67.0) | 878 (76.5) | 296 (49.0) | 0.000 | 564 (81.5) | 495 (57.9) | 115 (56.1) | 0.000 | 778 (80.7) | 0 (0.0) | 57 (100.0) | 339 (50.6) | 0.000 |
| Sometimes | 1050 (89.4) | 757 (86.2) | 293 (99.0) | 534 (94.7) | 431 (87.1) | 85 (73.9) | 718 (92.3) | 0 (0.0) | 57 (100.0) | 275 (81.1) | |||
| Often | 124 (10.6) | 121 (13.8) | 3 (1.0) | 30 (5.3) | 64 (12.9) | 80 (69.6) | 60 (7.7) | 0 (0.0) | 0 (0.0) | 64 (18.9) | |||
| Telephone triage and COVID-19 questionnaire for | |||||||||||||
| parents and child | 1372 (78.3) | 899 (78.3) | 473 (78.3) | 0.064 | 464 (67.1) | 790 (92.4) | 118 (57.6) | 0.000 | 737 (76.5) | 30 (49.2) | 57 (100.0) | 548 (81.8) | 0.000 |
| only child | 61 (3.5) | 32 (2.8) | 29 (4.8) | 0 (0.0) | 34 (4.0) | 27 (13.2) | 0 (0.0) | 0 (0.0) | 0 (0.0) | 61 (9.1) | |||
| only parents | 319 (18.2) | 217 (18.9) | 102 (16.9) | 228 (32.9) | 31 (3.6) | 60 (29.3) | 227 (23.5) | 31 (50.8) | 0 (0.0) | 61 (9.1) | |||
| During treatment, parents remain in: | |||||||||||||
| waiting room | 450 (25.7) | 265 (23.1) | 185 (30.6) | 0.002 | 155 (22.4) | 208 (24.3) | 87 (42.4) | 0.000 | 213 (22.1) | 31 (50.8) | 27 (47.4) | 179 (26.7) | 0.000 |
| dental treatment rooms as usual | 311 (17.8) | 217 (18.9) | 94 (15.6) | 30 (4.3) | 223 (26.1) | 58 (28.3) | 61 (6.3) | 0 (0.0) | 0 (0.0) | 250 (37.3) | |||
| dental treatment rooms only if requested | 991 (56.6) | 666 (58.0) | 325 (53.8) | 507 (73.3) | 424 (49.6) | 60 (29.3) | 690 (71.6) | 30 (49.2) | 30 (52.6) | 241 (36.0) | |||
| Use of PPE during paediatric treatments: | |||||||||||||
| Yes, always | 1481 (84.5) | 949 (82.7) | 532 (88.1) | 0.003 | 629 (90.9) | 734 (85.8) | 118 (57.6) | 0.000 | 812 (84.2) | 61 (100.0) | 57 (100.0) | 551 (82.2) | 0.000 |
| Only for aerosol-generating procedure | 271 (15.5) | 199 (17.3) | 72 (11.9) | 63 (9.1) | 121 (14.2) | 87 (42.4) | 152 (15.8) | 0 (0.0) | 0 (0.0) | 119 (17.8) | |||
| Prevalence of requests: | |||||||||||||
| First visit | 333 (19.0) | 179 (15.6) | 154 (25.5) | 0.000 | 124 (17.9) | 209 (24.4) | 0 (0.0) | 0.000 | 182 (18.9) | 0 (0.0) | 27 (47.4) | 124 (18.5) | 0.000 |
| Dental urgency | 340 (19.4) | 246 (21.4) | 94 (15.6) | 96 (13.9) | 187 (21.9) | 57 (27.8) | 127 (13.2) | 30 (49.2) | 0 (0.0) | 183 (27.3) | |||
| Orthodontic urgency | 31 (1.8) | 0 (0.0) | 31 (5.1) | 31 (4.5) | 0 (0.0) | 0 (0.0) | 0 (0.0) | 31 (50.8) | 0 (0.0) | 0 (0.0) | |||
| Orthodontic evaluation | 213 (12.2) | 149 (13.0) | 64 (10.6) | 32 (4.6) | 121 (12.2) | 60 (29.3) | 152 (15.8) | 0 (0.0) | 0 (0.0) | 61 (9.1) | |||
| Control visit | 835 (47.7) | 574 (50.0) | 261 (43.2) | 409 (59.1) | 338 (39.5) | 88 (42.9) | 503 (52.2) | 0 (0.0) | 30 (52.6) | 302 (45.1) | |||
Disclaimer/Publisher’s Note: The statements, opinions and data contained in all publications are solely those of the individual author(s) and contributor(s) and not of MDPI and/or the editor(s). MDPI and/or the editor(s) disclaim responsibility for any injury to people or property resulting from any ideas, methods, instructions or products referred to in the content. |
© 2023 by the authors. Licensee MDPI, Basel, Switzerland. This article is an open access article distributed under the terms and conditions of the Creative Commons Attribution (CC BY) license (https://creativecommons.org/licenses/by/4.0/).
Share and Cite
Conti, G.; Amadori, F.; Bordanzi, A.; Majorana, A.; Bardellini, E. The Impact of the COVID-19 Pandemic on Pediatric Dentistry: Insights from an Italian Cross-Sectional Survey. Dent. J. 2023, 11, 154. https://doi.org/10.3390/dj11060154
Conti G, Amadori F, Bordanzi A, Majorana A, Bardellini E. The Impact of the COVID-19 Pandemic on Pediatric Dentistry: Insights from an Italian Cross-Sectional Survey. Dentistry Journal. 2023; 11(6):154. https://doi.org/10.3390/dj11060154
Chicago/Turabian StyleConti, Giulio, Francesca Amadori, Alessandra Bordanzi, Alessandra Majorana, and Elena Bardellini. 2023. "The Impact of the COVID-19 Pandemic on Pediatric Dentistry: Insights from an Italian Cross-Sectional Survey" Dentistry Journal 11, no. 6: 154. https://doi.org/10.3390/dj11060154
APA StyleConti, G., Amadori, F., Bordanzi, A., Majorana, A., & Bardellini, E. (2023). The Impact of the COVID-19 Pandemic on Pediatric Dentistry: Insights from an Italian Cross-Sectional Survey. Dentistry Journal, 11(6), 154. https://doi.org/10.3390/dj11060154
