Oxidoborates Templated by Cationic Nickel(II) Complexes and Self-Assembled from B(OH)3
Abstract
:1. Introduction
2. Results and Discussion
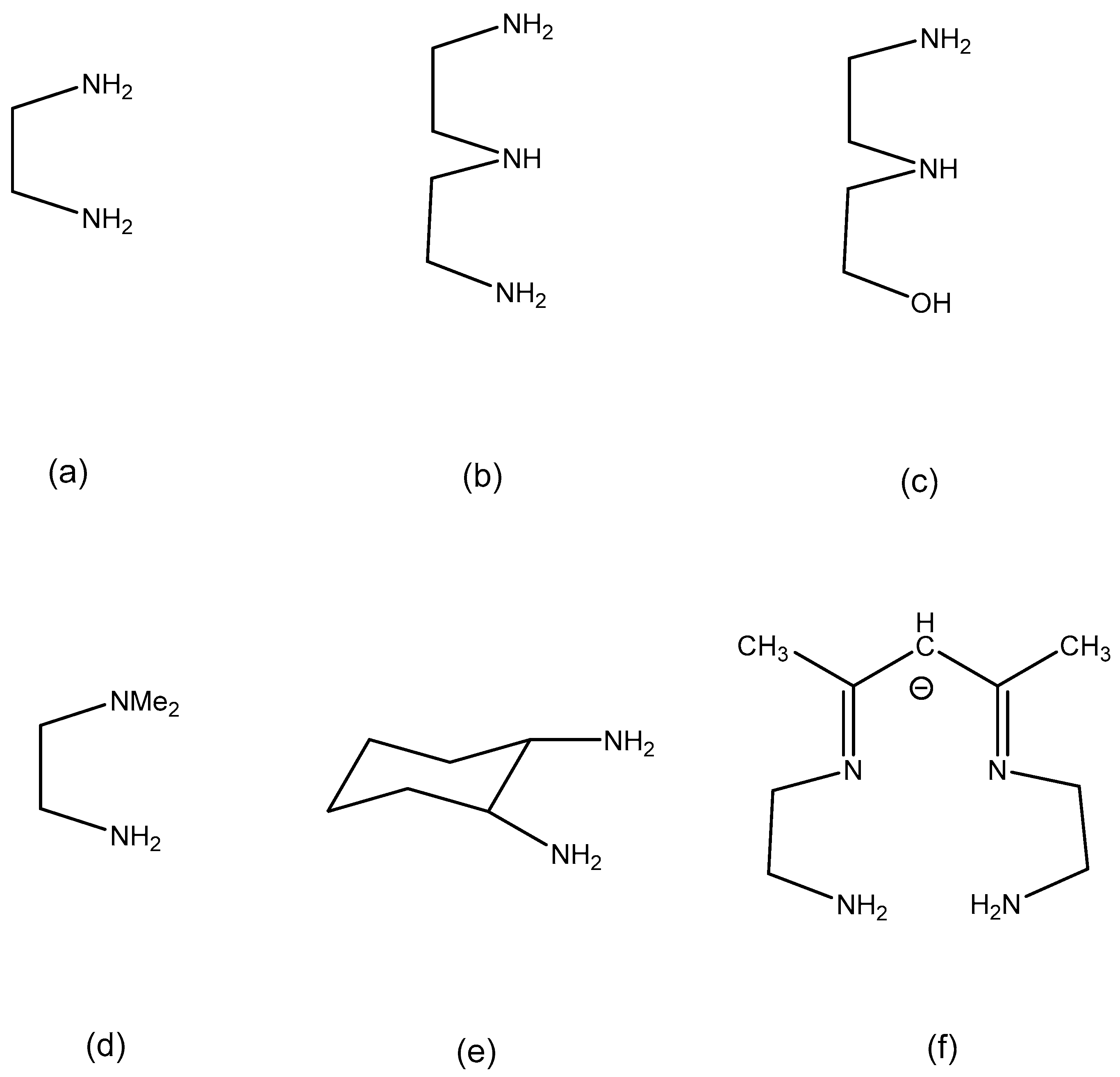
2.1. Synthesis and General Discussion
2.2. Crystallographic Studies on 1–8 and Their Solid-State H-Bonding Interactions
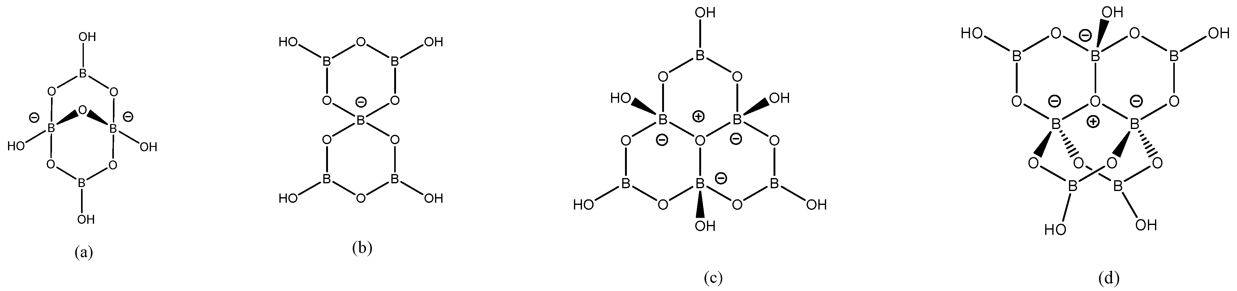
2.2.1. General Considerations for 1–6 and the Structures of 7 and 8
2.2.2. Solid-State H-Bonding Interactions in 1–8
2.3. Magnetic, Spectroscopic, Thermal and p-XRD Characterization of Compounds 1–8
3. Experimental Methods
3.1. General
3.2. X-ray Crystallography
3.3. Preparation of Trans-[Ni(NH3)4(H2O)2][B4O5(OH)4].H2O (1)
3.4. Preparation of s-fac-[Ni(dien)2][B5O6(OH)4]2 (2)
3.5. Preparation of Trans-[Ni(dmen)2(H2O)2][B5O6(OH)4]2.2H2O (3)
3.6. Preparation of [Ni(HEen)2][B5O6(OH)4]2 (4)
3.7. Preparation of [Ni(AEN)][B5O6(OH)4].H2O (5)
3.8. Preparation of Trans-[Ni(dach)2(H2O)2] [Ni(dach)2] [B7O9(OH)5]2.4H2O (6)
3.9. Preparation of Trans-[Ni(en)(H2O)2{B6O7(OH)6}].H2O (7)
3.10. Preparation of [Ni(dmen)(H2O){B6O7(OH)6}].5H2O (8)
4. Conclusions
Supplementary Materials
Author Contributions
Funding
Institutional Review Board Statement
Informed Consent Statement
Data Availability Statement
Acknowledgments
Conflicts of Interest
References
- Beckett, M.A.; Brellocks, B.; Chizhevsky, I.T.; Damhus, T.; Hellwich, K.-H.; Kennedy, J.D.; Laitinen, R.; Powell, W.H.; Rabinovich, D.; Vinas, C.; et al. Nomenclature for boranes and related species (IUPAC Recommendations 2019). Pure Appl. Chem. 2020, 92, 355–381. [Google Scholar] [CrossRef] [Green Version]
- Heller, G. A survey of structural types of borates and polyborates. Top. Curr. Chem. 1986, 131, 39–98. [Google Scholar]
- Grice, J.D.; Burns, P.C.; Hawthorne, F.C. Borate minerals II. A hierarchy of structures based upon the borate fundamental building block. Canad. Min. 1999, 37, 731–762. [Google Scholar]
- Christ, C.L.; Clark, J.R. A crystal-chemical classification of borate structures with emphasis on hydrated borates. Phys. Chem. Miner. 1977, 2, 59–87. [Google Scholar] [CrossRef]
- Beckett, M.A. Recent Advances in crystalline hydrated borates with non-metal or transition-metal complex cations. Coord. Chem. Rev. 2016, 323, 2–14. [Google Scholar] [CrossRef] [Green Version]
- Schubert, D.M. Borates in industrial use. Struct. Bond. 2003, 105, 1–40. [Google Scholar]
- Schubert, D.M. Boron oxide, boric acid, and borates. In Kirk-Othmer Encyclopedia of Chemical Technology, 5th ed.; John and Wiley and Sons: Hoboken, NJ, USA, 2011; pp. 1–68. [Google Scholar]
- Schubert, D.M. Hydrated zinc borates and their industrial use. Molecules 2019, 24, 2419. [Google Scholar] [CrossRef] [PubMed] [Green Version]
- Li, P.; Li, L.-Q.; Huang, H.-S.; Liu, Z.-H. Solvotheramal synthesis and crystal structures of two novel borates [(CH3)3NH][B5O6(OH)4] and Na2[H2TMED][B7O9(OH)5]2. J. Clust. Sci. 2014, 25, 893–903. [Google Scholar] [CrossRef]
- Liang, J.; Wang, Y.-G.; Wang, Y.-X.; Liao, F.-H.; Lin, J.-H. Supramolecular assembly of borate with quaternary ammonium: Crystal structure and tunable luminescent properties. J. Solid State Chem. 2013, 200, 99–104. [Google Scholar] [CrossRef]
- Jemai, N.; Rzaigui, M.; Akriche, S. Stabilization of hexaborate nets with mixed Co(II) metal and organic cations: Synthesis, rationale, characterization, comparative study and enhancement of bioactivity. J. Clus. Sci. 2015, 26, 2051–2064. [Google Scholar] [CrossRef]
- Becker, P. Borate materials in nonlinear optics. Adv. Mater. 1998, 10, 979–992. [Google Scholar] [CrossRef]
- Wang, Y.; Pan, S. Recent developments of metal borate halides: Crystal chemistry and application in second-order NLO materials. Coord. Chem. Rev. 2016, 323, 15–35. [Google Scholar] [CrossRef]
- Becker, P.; Held, P.; Bohaty, L. Crystal growth and optical properties of the polar hydrated pentaborates Rb[B5O6(OH)4].2H2O and NH4[B5O6(OH)4].2H2O and structure redetermination of the ammonium compound. Cryst. Res. Technol. 2000, 35, 1251–1262. [Google Scholar] [CrossRef]
- Liu, H.-X.; Liang, Y.-X.; Jiang, X. Synthesis, crystal structure and NLO properties of a nonmetal pentaborate [C6H13N2][B5O6(OH)4]. J. Solid State Chem. 2008, 181, 3243–3247. [Google Scholar] [CrossRef]
- Beckett, M.A.; Coles, S.J.; Horton, P.N.; Jones, C.L.; Krueger, K. Synthesis, XRD studies and NLO properties of [p-H2NC6H4CH2NH3][B5O6(OH)4].2H2O and NLO properties of some related salts. J. Clus. Sci. 2017, 28, 2087–2095. [Google Scholar] [CrossRef] [Green Version]
- Yang, S.; Li, G.; Tian, S.; Liao, F.; Lin, J. Synthesis and structure of [C2H10N2][B5O8(OH)]: A nonmetal pentaborate with nonlinear optical properties. J. Cryst. Growth Des. 2007, 7, 1246–1250. [Google Scholar] [CrossRef]
- Paul, A.K.; Sachidananda, K.; Natarajan, S. [B4O9H2] cyclic borates as the building unit in a family of zinc borate structures. Cryst. Growth Des. 2010, 10, 456–464. [Google Scholar] [CrossRef]
- Salentine, G. High-field 11B NMR of alkali borate. Aqueous polyborate equilibria. Inorg. Chem. 1983, 22, 3920–3924. [Google Scholar] [CrossRef]
- Anderson, J.L.; Eyring, E.M.; Whittaker, M.P. Temperature jump rate studies of polyborate formation in aqueous boric acid. J. Phys. Chem. 1964, 68, 1128–1132. [Google Scholar] [CrossRef]
- Corbett, P.T.; Leclaire, J.; Vial, L.; West, K.R.; Wietor, J.-L.; Sanders, J.K.M.; Otto, S. Dynamic combinatorial chemistry. Chem. Rev. 2006, 106, 3652–3711. [Google Scholar] [CrossRef]
- Sola, J.; Lafuente, M.; Atcher, J.; Alfonso, I. Constitutional self-selection from dynamic combinatorial libraries in aqueous solution through supramolecular interactions. Chem. Commun. 2014, 50, 4564–4566. [Google Scholar] [CrossRef] [Green Version]
- Dunitz, J.D.; Gavezzotti, A. Supramolecular synthons: Validation and ranking of intermolecular interaction energies. Cryst. Growth Des. 2012, 12, 5873–5877. [Google Scholar] [CrossRef]
- Desiraju, G.R. Supramolecular synthons in crystal engineering—A new organic synthesis. Angew. Chem. Int. Ed. Engl. 1995, 34, 2311–2327. [Google Scholar] [CrossRef]
- Wiebcke, M.; Freyhardt, C.C.; Felsche, J.; Engelhardt, G. Clathrates with three-dimensional host structures of hydrogen bonded pentaborate [B5O6(OH)4]− ions: Pentaborates with the cations NMe4+, NEt4+, NPhMe3+ and pipH+ (pipH+ = piperidinium). Z. Naturforsch. 1993, 48, 978–985. [Google Scholar] [CrossRef] [Green Version]
- Visi, M.Z.; Knobler, C.B.; Owen, J.J.; Khan, M.I.; Schubert, D.M. Structures of self-assembled nonmetal borates derived from α,ω-diaminoalkanes. Cryst. Growth Des. 2006, 6, 538–545. [Google Scholar] [CrossRef]
- Beckett, M.A.; Coles, S.J.; Davies, R.A.; Horton, P.N.; Jones, C.L. Pentaborate(1-) salts templated by substituted pyrrolidinium cations: Synthesis, structural characterization, and modelling of solid-state H-bond interactions by DFT calculations. Dalton Trans. 2015, 44, 7032–7040. [Google Scholar] [CrossRef] [Green Version]
- Beckett, M.A.; Coles, S.J.; Horton, P.N.; Jones, C.L. Polyborate anions partnered with large nonmetal cations: Triborate(1-) pentaborate(1-) and heptaborate(2-) salts. Eur. J. Inorg. Chem. 2017, 4510–4518. [Google Scholar] [CrossRef] [Green Version]
- Altahan, M.A.; Beckett, M.A.; Coles, S.J.; Horton, P.N. A new polyborate anion [B7O9(OH)6]3-: Self-assembly, XRD and thermal properties of s-fac-[Co(en)3][B7O9(OH)6].9H2O. Inorg. Chem. Commun. 2015, 59, 95–98. [Google Scholar] [CrossRef] [Green Version]
- Altahan, M.A.; Beckett, M.A.; Coles, S.J.; Horton, P.N. A new decaoxidooctaborate(2-) anion, [B8O10(OH)6]2-: Synthesis and characterization of [Co(en)3][B5O6(OH)4][B8O10(OH)6].5H2O (en = 1,2-diaminoethane). Inorg. Chem. 2015, 54, 412–414. [Google Scholar] [CrossRef]
- Taube, H. Rates and mechanisms of substitutions in inorganic complexes in aqueous solution. Chem. Rev. 1952, 50, 69–126. [Google Scholar] [CrossRef]
- Altahan, M.A.; Beckett, M.A.; Coles, S.J.; Horton, P.N. Transition-metal complexes with oxidoborates. Synthesis and XRD characterization of [H3NCH2CH2NH2)Zn{k3O,O’,O’’-B12O18(OH)6-k1O’’’} Zn(en)(NH2CH2CH2NH3)].8H2O: A neutral bimetallic zwiterionic polyborate system containing the ‘isolated’ dodecaborate(6-) anion. Pure Appl. Chem. 2018, 90, 625–632. [Google Scholar] [CrossRef] [Green Version]
- Altahan, M.A.; Beckett, M.A.; Coles, S.J.; Horton, P.N. Oxidopolyborate anions templated by transition-metal complexes: Self-assembled synthesis and structural studies (XRD) of [Co(NH3)6]2[B4O5(OH)4]3.11H2O, [Ni(phen)3][B7O9(OH)5].9.5H2O and [Zn(dac)2(H2O)2][B7O9(OH)5].H2O. J. Mol. Struct. 2020, 1200, 127071. [Google Scholar] [CrossRef]
- Altahan, M.A.; Beckett, M.A.; Coles, S.J.; Horton, P.N. Two 1-D Coordination Polymers containing Zinc(II) Hexaborates: [Zn(en){B6O7(OH)6}].2H2O (en = 1,2-diaminoethane) and [Zn(pn){B6O7(OH)6}].1.5H2O (pn = (+/−) 1,2-diaminopropane). Crystals 2018, 8, 470. [Google Scholar] [CrossRef] [Green Version]
- Altahan, M.A.; Beckett, M.A.; Coles, S.J.; Horton, P.N. Hexaborate(2-) and dodecaborate(12-) anions as ligands to zinc(II) centres: Self-assembly and single crystal XRD characterization of [Zn{k3O-B6O7(OH)6}(k3-N-dien)]0.5H2O (dien = NH(CH2CH2NH2)2), (NH4)2[Zn{k2-O-B6O7(OH)6} (H2O)2].2H2O and (1,3-pn)3[({k1-NH3{CH2}3NH2)Zn{k3-O-B12O18(OH)6}]2.14H2O. Inorganics 2019, 7, 44. [Google Scholar] [CrossRef] [Green Version]
- Altahan, M.A.; Beckett, M.A.; Coles, S.J.; Horton, P.N. Oxidoborate chemistry: The self-assembled, templated, synthesis, and an XRD study of a 1-D coordination polymer [Cu(en){B6O7(OH)6}].3H2O (en = 1,2-diaminoethane). Phosphorus Sulfur Silicon Relat. Elem. 2020, 195, 952–956. [Google Scholar] [CrossRef]
- Altahan, M.A.; Beckett, M.A.; Coles, S.J.; Horton, P.N. Synthesis and characterization of polyborates templated by cationic copper(II) complexes: Structural (XRD), spectroscopic, thermal (TGA/DSC) and magnetic properties. Polyhedron 2017, 135, 247–257. [Google Scholar] [CrossRef] [Green Version]
- Altahan, M.A.; Beckett, M.A.; Coles, S.J.; Horton, P.N. Copper(2+) complexes of hydroxyoxidoborates. Synthesis and characterization of two clusters containing the hexaborate(2-) ligand: [Cu(NH2CH2CH2NEt2){B6O7(OH)6}].5H2O and [Cu(NH3)2{B6O7(OH)6}].2H2O. J. Cluster Sci. 2019, 30, 599–605. [Google Scholar] [CrossRef] [Green Version]
- Altahan, M.A.; Beckett, M.A.; Coles, S.J.; Horton, P.N. Synthesis and characterization by a single-crystal XRD study of [H3O]4[Cu7(NH3)2(H2O)4{B24O39(OH)12}].13H2O: An unusual bis(hydroxytrioxidodiborate) tri-metallic chain supported by a [{Cu4O}{B20O32(OH)8]6- cluster. J. Cluster Sci. 2018, 29, 1337–1343. [Google Scholar] [CrossRef] [Green Version]
- Altahan, M.A.; Beckett, M.A.; Coles, S.J.; Horton, P.N. Copper(2+) complexes of hydroxyoxido polyborates: Synthesis and characterization of [Cu(MeNHCH2CH2NMeH)2(H2O)2][B5O6(OH)4]2 2B(OH)3. Phosphorus Sulfur Silicon Relat. Elem. 2019, 194, 948–951. [Google Scholar] [CrossRef]
- Lan, S.M.; Di, W.-J.; Shao, Z.-D.; Liang, Y.-X. Two new transition metal inorganic–organic hybrid borates: [tris(2-aminoethoxy)trihydroxyhexaborato]cobalt(II) and its nickel(II) analogue. Acta Cryst. 2011, C67, m338–m341. [Google Scholar] [CrossRef]
- Zheng, L.; Zhang, J.; Liu, Z. Synthesis, crystal structures and thermal behavior of Co(en)3[B4O5(OH)4]Cl.3H2O and [Ni(en)3][B5O6(OH)4]2.2H2O. J. Chin. Chem. 2009, 27, 494–500. [Google Scholar] [CrossRef]
- Pan, C.-Y.; Hu, S.; Li, D.-G.; Ouyang, P.; Zhao, F.-H.; Zheng, Y.-Y. The first ferroelectric templated borate: [Ni(en)2pip][B5O6(OH)4]2. Dalton Trans. 2010, 39, 5772–5777. [Google Scholar] [CrossRef]
- Liu, Z.-H.; Zhang, J.-J.; Zhang, W.-J. Synthesis, crystal structure and vibrational spectroscopy of a novel mixed ligands Ni(II) pentaborate [Ni(C4H10N2)(C2H8N2)2][B5O6(OH)4]2. Inorg. Chim. Acta 2006, 359, 519–524. [Google Scholar] [CrossRef]
- Meng, Q.; Wang, G.M.; He, H.; Yang, B.-F.; Yang, G.-Y. Syntheses and Crystal Structures of Two New Pentaborates Templated by Transition-Metal Complexes. J. Clust. Sci. 2014, 25, 1295–1305. [Google Scholar] [CrossRef]
- Avdeeva, V.V.; Malinina, E.A.; Vologzhanina, A.V.; Sivaev, I.B.; Kuznetsov, N.T. Formation of oxidopolyborates in destruction of the [B11H14]− anion promoted by transition metals. Inorg. Chim. Acta 2020, 509, 119693. [Google Scholar] [CrossRef]
- Liu, X.; Zhang, F.; Yin, X.H. Hydrothermal synthesis and crystal structure of organic-hybrid borate [Ni(dien)2][B5O6(OH)4]. Chem. Res. Appl. 2010, 22, 1587–1591. [Google Scholar]
- Kose, D.A.; Yurdakul, O.; Sahin, O.; Ozturk, Z. The new metal complex templated polyoxoborate(s) (POB(s)) structures. Synthesis, structural characterization, and hydrogen storage capacities. J. Mol. Struct. 2017, 1134, 806–813. [Google Scholar] [CrossRef]
- Hathaway, B.J.; Hodgson, P.G. Copper-ligand bond-lengths in axial complexes of the copper(II) ion. J. Inorg. Nucl. Chem. 1973, 35, 4071–4081. [Google Scholar] [CrossRef]
- Liu, Z.-H.; Li, L.-Q.; Zhang, W.-J. Two new borates containing the first examples of large isolated polyborate anions: Chain [B7O9(OH)5]2− and Ring [B14O20(OH)6]4−. Inorg. Chem. 2006, 45, 1430–1432. [Google Scholar] [CrossRef]
- Schubert, D.M.; Visi, M.Z.; Khan, S.; Knobler, C.B. Synthesis and structure of a new heptaborate oxoanion isomer: B7O9(OH)52-. Inorg. Chem. 2008, 47, 4740–4745. [Google Scholar] [CrossRef] [PubMed]
- Beckett, M.A.; Horton, P.N.; Hursthouse, M.B.; Timmis, J.L.; Varma, K.S. Templated heptaborate and pentaborate salts of cyclo-alkylammonium cations: Structural and thermal properties. Dalton. Trans. 2012, 41, 4396–4403. [Google Scholar] [CrossRef]
- Sacconi, L.; Mani, F.; Bencini, A. Nickel. In Comprehensive Coordination Chemistry; Wilkinson, G., Gillard, R.D., McCleverty, J.A., Eds.; Pergamon Books Ltd.: Oxford, UK, 1987; Volume 5, Chapter 50; pp. 1–347. [Google Scholar]
- Ihara, Y.; Satake, Y.; Fujimolo, Y.; Senda, H.; Suzuki, M.; Uehara, A. X-ray structures of octahedral diaqua(N,N)dialkylethelenediamine)nickel(II) complexes possessing elongated nickel(II)-nitrogen bonds along axial direction. Bull. Chem. Soc. Jpn. 1991, 64, 2349–2352. [Google Scholar] [CrossRef] [Green Version]
- Zhou, J.; Yin, X.-H.; Zhang, F. Two novel thioindate-thioantimonate compounds with [Ni(dien)2]In2Sb4S11 and [Ni(dien)2](In3Sb2S9)2.2H2O with transition metal complexes. Inorg. Chem. 2010, 49, 9671–9676. [Google Scholar] [CrossRef]
- Natarajan, S.; Klein, W.; Panthoefer, M.; Wuellen, L.V.; Jansen, M. Solution mediated synthesis and structure of the first anionic bis(hexaborato)-zincate prepared in the presence of organic base. Z. Anorg. Allg. Chem. 2003, 629, 959–962. [Google Scholar] [CrossRef]
- Jemai, N.; Rzaigui, S.; Akriche, S. Piperazine-1,4-diium bis(hexahydroxidoheptaoxidohexaborato-k3O,O’,O’’)cobaltate(II) hexahydrate. Acta Cryst. 2014, 70, m167–m169. [Google Scholar] [CrossRef]
- Xin, S.-S.; Zhou, M.-H.; Beckett, M.A.; Pan, C.-Y. Recent advances in crystalline oxidoborate complexes of d-block or p-block metals: Structural aspects, syntheses and physical properties. Molecules 2021, 26, 3815. [Google Scholar] [CrossRef]
- Etter, M.C. Encoding and decoding hydrogen-bond patterns of organic chemistry. Acc. Chem. Res. 1990, 23, 120–126. [Google Scholar] [CrossRef]
- Zolatarev, P.N.; Arshad, M.N.; Asiri, A.M.; Al-amshany, Z.M.; Blatov, V.A. A possible route toward expert systems in supramolecular chemistry: 2-periodic H-bonded patterns in molecular crystals. Cryst. Growth Des. 2014, 14, 1938–1949. [Google Scholar] [CrossRef]
- Figgis, B.N.; Lewis, J. The magnetic properties of transition metal complexes. Prog. Inorg. Chem. 1964, 6, 37–239. [Google Scholar] [CrossRef]
- Elfring, W.H.; Rose, N.J. Studies of three nickel(II) containing different macrocyclic ligands derived from acetylacetone and triethlenetetramine. Inorg. Chem. 1975, 14, 2759–2768. [Google Scholar] [CrossRef]
- Li, J.; Xia, S.; Gao, S. FT-IR and Raman spectroscopic study of hydrated borates. Spectrochim. Acta 1995, 51, 519–532. [Google Scholar] [CrossRef]
- Beckett, M.A.; Horton, P.N.; Coles, S.J.; Kose, D.A.; Kreuziger, A.-M. Structural and thermal studies of non-metal cation pentaborate salts derived from 1,5-diazobicyclo[4.3.0]non-5-ene, 1,8-diazobicyclo[5.4.0]undec-7-ene and 1,8-bis(dimethylamino)naphthalene. Polyhedron 2012, 38, 157–161. [Google Scholar] [CrossRef]
- Breckenridge, J.G. Copper(II) and nickel(II) coordination compounds with diethyltriamine and hydroxyethylethylenediamine ligands. Can. J. Res. 1948, 6, 11–19. [Google Scholar] [CrossRef]
- Cui, A.; Chen, X.; Sun, J.; Wei, J.; Yang, J.; Kou, H. Preparation and thermochromic properties of copper(II)-N,N-diethylethylenediamine. J. Chem Educ. 2011, 88, 311–312. [Google Scholar] [CrossRef]
- Wendlandt, W.W. The thermal decomposition of metal complexes—VI. Some amine complexes of copper(II) sulphate. J. Inorg. Nucl. Chem. 1963, 25, 833–842. [Google Scholar] [CrossRef]
- Saito, R.; Kidani, Y. Preparative separation of cis- and trans-1,2-diaminocyclohexane by means of selective nickel(II) complex formation. Chem. Lett. 1976, 5, 123–126. [Google Scholar] [CrossRef] [Green Version]
- CrysAlis Pro Software System; Applied Rigaku Technologies, Inc.: Austin, TX, USA, 2021.
- CrystalClear-SM; Expert 2.1 Software; Applied Rigaku Technologies, Inc.: Austin, TX, USA, 2013.
- Dolomanov, O.V.; Bourhis, L.J.; Gildea, R.J.; Howard, J.A.K.; Puschmann, H. Olex2: A complete structure solution, refinement, and analysis programme. J. Appl. Cryst. 2009, 42, 339–341. [Google Scholar] [CrossRef]
- Sheldrick, G.M. ShelXT-intergrated space-group and crystal-structure determination. Acta Crystallogr. Sect. A Found. Adv. 2015, 71, 3–8. [Google Scholar] [CrossRef] [Green Version]
- Sheldrick, G.M. Crystal structure refinement with SHELXL. Acta Crystallogr. Sect. C Struct. Chem. 2015, 71, 3–8. [Google Scholar] [CrossRef] [PubMed]








Publisher’s Note: MDPI stays neutral with regard to jurisdictional claims in published maps and institutional affiliations. |
© 2021 by the authors. Licensee MDPI, Basel, Switzerland. This article is an open access article distributed under the terms and conditions of the Creative Commons Attribution (CC BY) license (https://creativecommons.org/licenses/by/4.0/).
Share and Cite
Altahan, M.A.; Beckett, M.A.; Coles, S.J.; Horton, P.N. Oxidoborates Templated by Cationic Nickel(II) Complexes and Self-Assembled from B(OH)3. Inorganics 2021, 9, 68. https://doi.org/10.3390/inorganics9090068
Altahan MA, Beckett MA, Coles SJ, Horton PN. Oxidoborates Templated by Cationic Nickel(II) Complexes and Self-Assembled from B(OH)3. Inorganics. 2021; 9(9):68. https://doi.org/10.3390/inorganics9090068
Chicago/Turabian StyleAltahan, Mohammed A., Michael A. Beckett, Simon J. Coles, and Peter N. Horton. 2021. "Oxidoborates Templated by Cationic Nickel(II) Complexes and Self-Assembled from B(OH)3" Inorganics 9, no. 9: 68. https://doi.org/10.3390/inorganics9090068
APA StyleAltahan, M. A., Beckett, M. A., Coles, S. J., & Horton, P. N. (2021). Oxidoborates Templated by Cationic Nickel(II) Complexes and Self-Assembled from B(OH)3. Inorganics, 9(9), 68. https://doi.org/10.3390/inorganics9090068

