Isomeric 4,2′:6′,4″- and 3,2′:6′,3″-Terpyridines with Isomeric 4′-Trifluoromethylphenyl Substituents: Effects on the Assembly of Coordination Polymers with [Cu(hfacac)2] (Hhfacac = Hexafluoropentane-2,4-dione)
Abstract
:1. Introduction
2. Results and Discussion
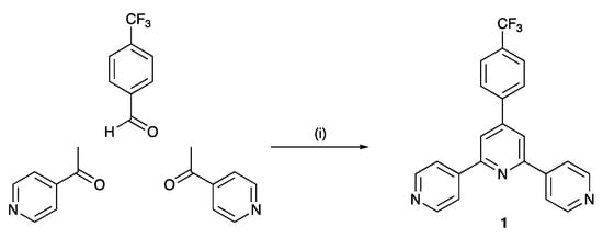
2.1. Syntheses and Characterization of Ligands 1–4
2.2. Single Crystal Structures of 1 and 2
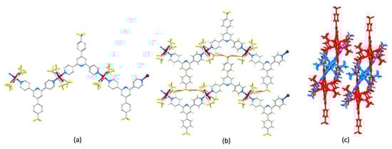
2.3. Single-Crystal Structures of the Coordination Polymers [Cu2(hfacac)4(1)2]n.2nC6H4Cl2, [Cu(hfacac)2(2)]n.2nC6H5Me, [Cu2(hfacac)4(3)2]n.nC6H4Cl2, [Cu2(hfacac)4(3)2]n.nC6H5Cl and [Cu(hfacac)2(4)]n.nC6H5Cl
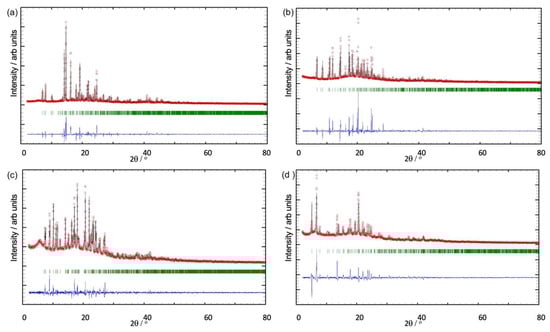
2.4. PXRD Analysis
2.5. Preparative Scale Reactions
3. Materials and Methods
3.1. General
3.2. 4′-(4-(Trifluoromethyl)Phenyl)-4,2′:6′,4″-Terpyridine (1)
3.3. 4′-(3-(Trifluoromethyl)Phenyl)-4,2′:6′,4″-Terpyridine (2)
3.4. 4′-(4-(Trifluoromethyl)Phenyl)-3,2′:6′,3″-Terpyridine (3)
3.5. 4′-(3-(Trifluoromethyl)Phenyl)-3,2′:6′,3″-Terpyridine (4)
3.6. [Cu2(hfacac)4(1)2]n.2nC6H4Cl2
3.7. [Cu(hfacac)2(2)]n.2nC6H5Me
3.8. [Cu2(hfacac)4(3)2]n.nC6H4Cl2
3.9. [Cu2(hfacac)4(3)2]n.nC6H5Cl
3.10. [Cu(hfacac)2(4)]n.nC6H5Cl
3.11. Crystallography
4. Conclusions
Supplementary Materials
Author Contributions
Funding
Data Availability Statement
Acknowledgments
Conflicts of Interest
References
- Housecroft, C.E. 4,2′:6′,4″-Terpyridines: Diverging and Diverse Building Blocks in Coordination Polymers and Metallomacrocycles. Dalton Trans. 2014, 43, 6594–6604. [Google Scholar] [CrossRef] [Green Version]
- Housecroft, C.E. Divergent 4,2′:6′,4″- and 3,2′:6′,3″-Terpyridines as Linkers in 2- and 3-Dimensional Architectures. CrystEngComm 2015, 17, 7461–7468. [Google Scholar] [CrossRef] [Green Version]
- Housecroft, C.E.; Constable, E.C. Ditopic and tetratopic 4,2′:6′,4″-Terpyridines as Structural Motifs in 2D- and 3D-Coordination Assemblies. Chimia 2019, 73, 462–467. [Google Scholar] [CrossRef]
- Housecroft, C.E.; Constable, E.C. The Terpyridine Isomer Game: From Chelate to Coordination Network Building Block. Chem. Commun. 2020, 56, 10786–10794. [Google Scholar] [CrossRef] [PubMed]
- Elahi, S.M.; Raizada, M.; Sahu, P.K.; Konar, S. Terpyridine-Based 3D Metal–Organic-Frameworks: A Structure–Property Correlation. Chem. Eur. J. 2021, 27, 5858–5870. [Google Scholar] [CrossRef] [PubMed]
- Housecroft, C.E.; Constable, E.C. Isomers of terpyridine as ligands in coordination polymers and networks containing zinc(II) and cadmium(II). Molecules 2021, 26, 3110. [Google Scholar] [CrossRef]
- Liu, B.; Hou, L.; Wu, W.-P.; Dou, A.-N.; Wang, Y.-Y. Highly selective luminescence sensing for Cu2+ ions and selective CO2 capture in a doubly interpenetrated MOF with Lewis basic pyridyl sites. Dalton Trans. 2015, 44, 4423–4427. [Google Scholar] [CrossRef]
- Wu, Y.; Wu, J.; Luo, Z.; Wang, J.; Li, Y.; Han, Y.; Liu, J. Fluorescence detection of Mn2+, Cr2O72– and nitroexplosives and photocatalytic degradation of methyl violet and rhodamine B based on two stable metal–organic frameworks. RSC Adv. 2017, 7, 10415–10423. [Google Scholar] [CrossRef] [Green Version]
- Yuan, F.; Yuan, C.-M.; Hu, H.-M.; Wang, T.-T.; Zhou, C.-S. Structural diversity of a series of terpyridyl carboxylate coordination polymers: Luminescent sensor and magnetic properties. J. Solid State Chem. 2018, 258, 588–601. [Google Scholar] [CrossRef]
- Dorofeeva, V.N.; Mishura, A.M.; Lytvynenko, A.S.; Grabovaya, N.V.; Kiskin, M.A.; Kolotilov, S.V.; Eremenko, I.L.; Novotortsev, V.M. Structure and Electrochemical Properties of Copper(II) Coordination Polymers with Ligands Containing Naphthyl and Anthracyl Fragments. Theor. Exper. Chem. 2016, 52, 111–118. [Google Scholar] [CrossRef]
- Nijs, T.; Klein, Y.M.; Mousavi, S.F.; Ahsan, A.; Nowakowska, S.; Constable, E.C.; Housecroft, C.E.; Jung, T.A. The Different Faces of 4′-Pyrimidinyl-Functionalized 4,2′:6′,4′′-Terpyridines: Metal–Organic Assemblies from Solution and on Au(111) and Cu(111) Surface Platforms. J. Am. Chem. Soc. 2018, 140, 2933–2939. [Google Scholar] [CrossRef] [PubMed] [Green Version]
- Constable, E.C.; Housecroft, C.E.; Vujovic, S.; Zampese, J.A.; Crochet, A.; Batten, S.R. Do perfluoroarene⋯arene and C–H⋯F interactions make a difference to the structures of 4,2′:6′,4′′-terpyridine-based coordination polymers? CrystEngComm 2013, 15, 10068–10078. [Google Scholar] [CrossRef] [Green Version]
- Li, L.; Zhang, Y.Z.; Yang, C.; Liu, E.; Golen, J.A.; Zhang, G. One-dimensional copper(II) coordination polymers built on 4′-substituted 4,2′:6′,4″- and 3,2′:6′,3″-terpyridines: Syntheses, structures and catalytic properties. Polyhedron 2016, 105, 115–122. [Google Scholar] [CrossRef]
- Constable, E.C.; Housecroft, C.E.; Neuburger, M.; Vujovic, S.; Zampese, J.A. Molecular recognition between 4′-(4-biphenylyl)-4,2′:6′,4″-terpyridine domains in the assembly of d9 and d10 metal ion-containing one-dimensional coordination polymers. Polyhedron 2013, 60, 120–129. [Google Scholar] [CrossRef]
- Rocco, D.; Novak, S.; Prescimone, A.; Constable, E.C.; Housecroft, C.E. Manipulating the conformation of 3,2′:6′,3″-terpyridine in [Cu2(μ-OAc)4(3,2′:6′,3″-tpy)]n 1D-polymers. Chemistry 2021, 3, 15. [Google Scholar] [CrossRef]
- Rocco, D.; Manfroni, G.; Prescimone, A.; Klein, Y.M.; Gawryluk, D.J.; Constable, E.C.; Housecroft, C.E. Single and double-stranded 1D-coordination polymers with 4′-(4-alkyloxyphenyl)-3,2′:6′,3″-terpyridines and {Cu2(μ-OAc)4} or {Cu4(μ3-OH)2(μ-OAc)2(μ3-OAc)2(AcO-κO)2} motifs. Polymers 2020, 12, 318. [Google Scholar] [CrossRef] [Green Version]
- Klein, Y.M.; Prescimone, A.; Constable, E.C.; Housecroft, C.E. Coordination behaviour of 1-(4,2′:6′,4″-terpyridin-4′-yl)ferrocene and 1-(3,2′:6′,3″-terpyridin-4′-yl)ferrocene: Predictable and unpredictable assembly algorithms. Aust. J. Chem. 2017, 70, 468–477. [Google Scholar] [CrossRef] [Green Version]
- Khatua, S.; Goswami, S.; Biswas, S.; Tomar, K.; Jena, H.S.; Konar, S. Stable Multiresponsive Luminescent MOF for Colorimetric Detection of Small Molecules in Selective and Reversible Manner. Chem. Mater. 2015, 27, 5349–5360. [Google Scholar] [CrossRef]
- Khatua, S.; Biswas, P. Flexible Luminescent MOF: Trapping of Less Stable Conformation of Rotational Isomers, In Situ Guest-Responsive Turn-Off and Turn-On Luminescence and Mechanistic Study. ACS Appl. Mater. Interfaces 2020, 12, 22335–22346. [Google Scholar] [CrossRef]
- Khatua, S.; Bar, A.K.; Konar, S. Tuning Proton Conductivity by Interstitial Guest Change in Size-Adjustable Nanopores of a CuI-MOF: A Potential Platform for Versatile Proton Carriers. Chem. Eur. J. 2016, 22, 16277–16285. [Google Scholar] [CrossRef]
- Li, X.-Z.; Zhou, X.-P.; Li, D.; Yin, Y.-G. Controlling interpenetration in CuCN coordination polymers by size of the pendant substituents of terpyridine ligands. CrystEngComm 2011, 13, 6759–6765. [Google Scholar] [CrossRef]
- Xi, Y.; Wei, W.; Xu, Y.; Huang, X.; Zhang, F.; Hu, C. Coordination Polymers Based on Substituted Terpyridine Ligands: Synthesis, Structural Diversity, and Highly Efficient and Selective Catalytic Oxidation of Benzylic C–H Bonds. Cryst. Growth Des. 2015, 15, 2695–2702. [Google Scholar] [CrossRef]
- Liu, C.; Ding, Y.-B.; Shi, X.-H.; Zhang, D.; Hu, M.-H.; Yin, Y.-G.; Li, D. Interpenetrating Metal−Organic Frameworks Assembled from Polypyridine Ligands and Cyanocuprate Catenations. Cryst. Growth Des. 2009, 9, 1275–1277. [Google Scholar] [CrossRef]
- Wang, J.; Yuan, F.; Hu, H.-M.; Bai, C.; Xue, G.-L. Nitro explosive and cation sensing by a luminescent 2D Cu(I) coordination polymer with multiple Lewis basic sites. Inorg. Chem. Commun. 2016, 73, 37–40. [Google Scholar] [CrossRef]
- Klein, Y.M.; Lanzilotto, A.; Prescimone, A.; Krämer, K.W.; Decurtins, S.; Liu, S.-X.; Constable, E.C.; Housecroft, C.E. Coordination behaviour of 1-(3,2′:6′,3″-terpyridin-4′-yl)ferrocene: Structure and magnetic and electrochemical properties of a tetracopper dimetallomacrocycle. Polyhedron 2017, 129, 71–76. [Google Scholar] [CrossRef] [Green Version]
- Yuan, F.; Xie, J.; Hu, H.-M.; Yuan, C.-M.; Xu, B.; Yang, M.-L.; Dong, F.-X.; Xue, G.-L. Effect of pH/metal ion on the structure of metal–organic frameworks based on novel bifunctionalized ligand 4′-carboxy-4,2′:6′,4′′-terpyridine. CrystEngComm 2013, 15, 1460–1467. [Google Scholar] [CrossRef]
- Gong, Y.; Zhang, M.M.; Zhang, P.; Shi, H.F.; Jiang, P.G.; Lin, J.H. Metal–organic frameworks based on 4-(4-carboxyphenyl)-2,2,4,4-terpyridine: Structures, topologies and electrocatalytic behaviors in sodium laurylsulfonate aqueous solution. CrystEngComm 2014, 16, 9882–9890. [Google Scholar] [CrossRef]
- Yang, W.; Lin, X.; Jia, J.; Blake, A.J.; Wilson, C.; Hubberstey, P.; Champness, N.R.; Schröder, M. A biporous coordination framework with high H2 storage density. Chem. Commun. 2008, 359–361. [Google Scholar] [CrossRef]
- Wu, Y.; Lu, L.; Feng, J.; Li, Y.; Sun, Y.; Ma, A. Design and construction of diverse structures of coordination polymers: Photocatalytic properties. J. Solid State Chem. 2017, 245, 213–218. [Google Scholar] [CrossRef]
- Zhang, L.; Li, C.-J.; He, J.-E.; Chen, Y.-Y.; Zheng, S.-R.; Fan, J.; Zhang, W.-G. Construction of New Coordination Polymers from 4′-(2,4-disulfophenyl)- 3,2′:6′3″-terpyridine: Polymorphism, pH-dependent syntheses, structures, and properties. J. Solid State Chem. 2016, 233, 444–454. [Google Scholar] [CrossRef]
- Zhu, S.; Dai, X.-J.; Wang, X.-G.; Cao, Y.-Y.; Zhao, X.-J.; Yang, E.-C. Two Bulky Conjugated 4′-(4-Hydroxyphenyl)-4,2′:6′,4″-terpyridine-based Layered Complexes: Synthesis, Structure, and Photocatalytic Hydrogen Evolution Activity. Z. Anorg. Allg. Chem. 2019, 645, 516–522. [Google Scholar] [CrossRef]
- Zuo, T.; Luo, D.; Huang, Y.-L.; Li, Y.Y.; Zhou, X.-P.; Li, D. Chiral 3D coordination polymers consisting of achiral terpyridyl precursors: From spontaneous resolution to enantioenriched induction. Chem. Eur. J. 2020, 26, 1936–1940. [Google Scholar] [CrossRef]
- Lusi, M.; Fechine, P.B.A.; Chen, K.-J.; Perry, J.J.; Zaworotko, M.J. A rare cationic building block that generates a new type of polyhedral network with “cross-linked” pto topology. Chem. Commun. 2016, 52, 4160–4162. [Google Scholar] [CrossRef] [PubMed] [Green Version]
- Groom, C.R.; Bruno, I.J.; Lightfoot, M.P.; Ward, S.C. The Cambridge Structural Database. Acta Cryst. 2016, B72, 171–179. [Google Scholar] [CrossRef] [PubMed]
- Bruno, I.J.; Cole, J.C.; Edgington, P.R.; Kessler, M.; Macrae, C.F.; McCabe, P.; Pearson, J.; Taylor, R. New software for searching the Cambridge Structural Database and visualizing crystal structures. Acta Cryst. 2002, B58, 389–397. [Google Scholar] [CrossRef]
- Toledo, D.; Vega, A.; Pizarro, N.; Baggio, R.; Pena, O.; Roisnel, T.; Pivan, J.-Y.; Moreno, Y. Comparitive study on structural, magnetic and spectroscopic properties of four new copper(II) coordination polymers with 4′-substituted terpyridine ligands. J. Solid State Chem. 2017, 253, 78–88. [Google Scholar] [CrossRef]
- Toledo, D.; Ahumada, G.; Manzur, C.; Roisnel, T.; Pena, O.; Hamon, J.-R.; Pivan, J.-Y.; Moreno, Y. Unusual trinuclear complex of copper(II) containing a 4′-(3-methyl-2-thienyl)-4,2′:6′,4″-terpyridine ligand. Structural, spectroscopic, electrochemical and magnetic properties. J. Mol. Struct. 2017, 1146, 213–221. [Google Scholar] [CrossRef]
- Lopez-Periago, A.; Vallcorba, O.; Frontera, C.; Domingo, C.; Ayllón, J.A. Exploring a novel preparation method of 1D metal organic frameworks based on supercritical CO2. Dalton Trans. 2015, 44, 7548–7553. [Google Scholar] [CrossRef] [Green Version]
- Delgado, S.; Barrilero, A.; Molina-Ontoria, A.; Medina, M.-E.; Pastor, C.J.; Jiménez-Aparicio, R.; Priego, J.L. Novel Coordination Polymers Generated from Angular 2,2′-Dipyridyl Ligands and Bis(hexafluoroacetylacetonate) Copper(II): Crystal Structures and Magnetic Properties. Eur. J. Inorg. Chem. 2006, 2746–2759. [Google Scholar] [CrossRef]
- Winter, S.; Weber, E.; Eriksson, L.; Csoregh, I. New coordination polymer networks based on copper(ii) hexafluoroacetylacetonate and pyridine containing building blocks: Synthesis and structural study. New J. Chem. 2006, 30, 1808–1819. [Google Scholar] [CrossRef]
- Wang, J.; Hanan, G.S. A facile route to sterically hindered and non-hindered 4′-aryl-2,2′:6′,2″-terpyridines. Synlett 2005, 2005, 1251–1254. [Google Scholar] [CrossRef]
- Smith, R.M.; Martell, A.E. Critical Stability Constants; Plenum Press: New York, NY, USA, 1975; Volume 2. [Google Scholar]
- Yi, H.; Albrecht, M.; Pan, F.; Valkonen, A.; Rissanen, K. Stacking of Sterically Congested Trifluoromethylated Aromatics in their Crystals—The Role of Weak F···π or F···F Contacts. Eur. J. Org. Chem. 2020, 6073–6077. [Google Scholar] [CrossRef]
- Bondi, A. van der Waals volumes and radii. J. Phys. Chem. 1964, 68, 441–451. [Google Scholar] [CrossRef]
- Rowland, R.S.; Taylor, R. Intermolecular Nonbonded Contact Distances in Organic Crystal Structures: Comparison with Distances Expected from van der Waals Radii. J. Phys. Chem. 1996, 100, 7384–7391. [Google Scholar] [CrossRef]
- Spilfogel, T.S.; Titi, H.M.; Friščić, T. Database Investigation of Halogen Bonding and Halogen...Halogen Interactions between Porphyrins: Emergence of Robust Supamolecular Motifs and Frameworks. Cryst. Growth Des. 2021, 21, 1810–1832. [Google Scholar] [CrossRef]
- Levina, E.O.; Chernyshov, I.Y.; Voronin, A.P.; Alekseiko, L.N.; Stash, A.I.; Vener, M.V. Solving the enigma of weak fluorine contacts in the solid state: A periodic DFT study of fluorinated organic crystals. RSC Adv. 2019, 9, 12520–12537. [Google Scholar] [CrossRef] [Green Version]
- Reichenbächer, K.; Süss, H.I.; Hulliger, J. Fluorine in crystal engineering—“The little atom that could”. Chem. Soc. Rev. 2005, 34, 22–30. [Google Scholar] [CrossRef]
- Nakamoto, K. Infrared and Raman Spectra of Inorganic Compounds, Part B, 6th ed.; Wiley: Hoboken, NJ, USA, 2009; p. 99. [Google Scholar]
- Palatinus, L.; Chapuis, G. Superflip—A Computer Program for the Solution of Crystal Structures by Charge Flipping in Arbitrary Dimensions. J. Appl. Cryst. 2007, 40, 786–790. [Google Scholar] [CrossRef] [Green Version]
- Palatinus, L.; Prathapa, S.J.; Van Smaalen, S. EDMA: A Computer Program for Topological Analysis of Discrete Electron Densities. J. Appl. Cryst. 2012, 45, 575–580. [Google Scholar] [CrossRef]
- Dolomanov, O.V.; Bourhis, L.J.; Gildea, R.J.; Howard, J.A.K.; Puschmann, H. Olex2: A Complete Structure Solution, Refinement and Analysis Program. J. Appl. Cryst. 2009, 42, 339–341. [Google Scholar] [CrossRef]
- Sheldrick, G.M. Crystal Structure Refinement with ShelXL. Acta Cryst. 2015, C27, 3–8. [Google Scholar] [CrossRef] [Green Version]
- Software for the Integration of CCD Detector System Bruker Analytical X-Ray Systems; Bruker axs: Madison, WI, USA, 2001.
- Sheldrick, G.M. ShelXT-Integrated space-group and crystal-structure determination. Acta Cryst. 2015, A71, 3–8. [Google Scholar] [CrossRef] [PubMed] [Green Version]
- Macrae, C.F.; Sovago, I.; Cottrell, S.J.; Galek, P.T.A.; McCabe, P.; Pidcock, E.; Platings, M.; Shields, G.P.; Stevens, J.S.; Towler, M.; et al. Mercury 4.0: From visualization to analysis, design and prediction. J. Appl. Cryst. 2020, 53, 226–235. [Google Scholar] [CrossRef] [PubMed] [Green Version]
- LeBail, A.; Duroy, H.; Fourquet, J.L. Ab-initio structure determination of LiSbWO6 by X-ray powder diffraction. Mat. Res. Bull. 1988, 23, 447–452. [Google Scholar] [CrossRef]
- Pawley, G.S. Unit-cell refinement from powder diffraction scans. J. Appl. Cryst. 1981, 14, 357–361. [Google Scholar] [CrossRef]
- Rodríguez-Carvajal, J. Recent Advances in Magnetic Structure Determination by Neutron Powder Diffraction. Physica B 1993, 192, 55–69. [Google Scholar] [CrossRef]
- Roisnel, T.; Rodríguez-Carvajal, J. WinPLOTR: A Windows tool for powder diffraction patterns analysis Materials Science Forum. In Proceedings of the Seventh European Powder Diffraction Conference (EPDIC 7), Barcelona, Spain, 20–23 May 2000; pp. 118–123. [Google Scholar]












| Compound | Space Group | Cu–N/Å | Cu–O/Å | N–Cu–O/o |
|---|---|---|---|---|
| [Cu2(hfacac)4(1)2]n·2nC6H4Cl2 | Pbca | 2.014(2), 2.016(2) | 1.967(2), 1.982(2), 2.298(2), 2.302(2) | 91.38(9), 89.24(9), 91.35(9), 88.05(9), 88.83(9), 88.02(9), 91.74(9), 91.37(9) |
| [Cu(hfacac)2(2)]n·2nC6H5Me | Cc | 2.002(6), 2.012(6) | 2.046(6), 2.197(6), 2.031(6), 2.234(6) | 90.6(2), 90.0(2), 89.5(2), 89.1(2), 90.1(2), 90.6(2), 89.8(2), 90.3(2) |
| [Cu2(hfacac)4(3)2]n·nC6H4Cl2 | P–1 | 2.064(3), 2.023(4) | 1.955(3), 2.339(3), 1.990(3), 2.275(3) | 88.70(12), 91.30(12), 98.90(12), 81.10(12), 92.38(13), 87.62(13), 88.12(13), 91.88(13) |
| [Cu(hfacac)2(4)]n·nC6H5Cl | Pnma | 2.051(3) | 1.971(2), 2.291(3) | 91.19(10), 88.81(10), 95.60(10), 84.40(10) |
| Compound | Angle between Planes of Adjacent Pyridine Rings/o | Angle between Ring with N2 and Phenyl Ring/o |
|---|---|---|
| [Cu2(hfacac)4(1)2]n·2nC6H4Cl2 | 12.9, 23.6 | 28.5 |
| [Cu(hfacac)2(2)]n·2nC6H5Me | 7.8, 26.7 | 34.9 |
| [Cu2(hfacac)4(3)2]n·nC6H4Cl2 | 15.7, 21.7 | 30.0 |
| [Cu(hfacac)2(4)]n·nC6H5Cl | 16.6, 16.6 | 0.9 |
Publisher’s Note: MDPI stays neutral with regard to jurisdictional claims in published maps and institutional affiliations. |
© 2021 by the authors. Licensee MDPI, Basel, Switzerland. This article is an open access article distributed under the terms and conditions of the Creative Commons Attribution (CC BY) license (https://creativecommons.org/licenses/by/4.0/).
Share and Cite
Manfroni, G.; Capomolla, S.S.; Prescimone, A.; Constable, E.C.; Housecroft, C.E. Isomeric 4,2′:6′,4″- and 3,2′:6′,3″-Terpyridines with Isomeric 4′-Trifluoromethylphenyl Substituents: Effects on the Assembly of Coordination Polymers with [Cu(hfacac)2] (Hhfacac = Hexafluoropentane-2,4-dione). Inorganics 2021, 9, 54. https://doi.org/10.3390/inorganics9070054
Manfroni G, Capomolla SS, Prescimone A, Constable EC, Housecroft CE. Isomeric 4,2′:6′,4″- and 3,2′:6′,3″-Terpyridines with Isomeric 4′-Trifluoromethylphenyl Substituents: Effects on the Assembly of Coordination Polymers with [Cu(hfacac)2] (Hhfacac = Hexafluoropentane-2,4-dione). Inorganics. 2021; 9(7):54. https://doi.org/10.3390/inorganics9070054
Chicago/Turabian StyleManfroni, Giacomo, Simona S. Capomolla, Alessandro Prescimone, Edwin C. Constable, and Catherine E. Housecroft. 2021. "Isomeric 4,2′:6′,4″- and 3,2′:6′,3″-Terpyridines with Isomeric 4′-Trifluoromethylphenyl Substituents: Effects on the Assembly of Coordination Polymers with [Cu(hfacac)2] (Hhfacac = Hexafluoropentane-2,4-dione)" Inorganics 9, no. 7: 54. https://doi.org/10.3390/inorganics9070054
APA StyleManfroni, G., Capomolla, S. S., Prescimone, A., Constable, E. C., & Housecroft, C. E. (2021). Isomeric 4,2′:6′,4″- and 3,2′:6′,3″-Terpyridines with Isomeric 4′-Trifluoromethylphenyl Substituents: Effects on the Assembly of Coordination Polymers with [Cu(hfacac)2] (Hhfacac = Hexafluoropentane-2,4-dione). Inorganics, 9(7), 54. https://doi.org/10.3390/inorganics9070054

