Scaling up Metal Hydrides for Real-Scale Applications: Achievements, Challenges and Outlook
Abstract
1. Introduction
2. Experimental
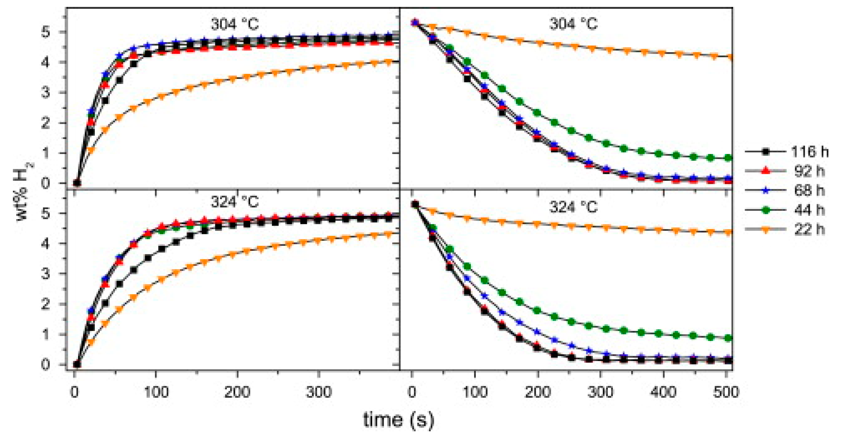
2.1. Synthesis Using Ball-Milling and Induction Melting
2.2. Tank Geometry and Filling
2.3. Thermal Management Using ENG
2.4. Thermal Management by Other Methods
3. Simulation
3.1. Porosity
3.2. Tank Design
3.3. Thermal Management
4. Conclusions and Outlook
Author Contributions
Funding
Institutional Review Board Statement
Conflicts of Interest
References
- Mahfuz, M.H.; Kamyar, A.; Afshar, O.; Sarraf, M.; Anisur, M.R.; Kibria, M.A.; Saidur, R.; Metselaar, I.H.S.C. Exergetic analysis of a solar thermal power system with PCM storage. Energy Convers. Manag. 2014, 78, 486–492. [Google Scholar] [CrossRef]
- Dincer, I.; Acar, C. Smart energy systems for a sustainable future. Appl. Energy 2017, 194, 225–235. [Google Scholar] [CrossRef]
- Yekini Suberu, M.; Wazir Mustafa, M.; Bashir, N. Energy storage systems for renewable energy power sector integration and mitigation of intermittency. Renew. Sust. Energy Rev. 2014, 35, 499–514. [Google Scholar] [CrossRef]
- Ouyang, L.Z.; Huang, J.M.; Wang, H.; Wen, Y.J.; Zhang, Q.A.; Sun, D.L.; Zhu, M. Excellent hydrolysis performances of Mg3RE hydrides. Int. J. Hydrog. Energy 2013, 38, 2973–2978. [Google Scholar] [CrossRef]
- Møller, K.T.; Jensen, T.R.; Akiba, E.; Li, H.-w. Hydrogen—A sustainable energy carrier. Prog. Nat. Sci. 2017, 27, 34–40. [Google Scholar] [CrossRef]
- Monde, M.; Woodfield, P.; Takano, T.; Kosaka, M. Estimation of temperature change in practical hydrogen pressure tanks being filled at high pressures of 35 and 70 MPa. Int. J. Hydrog. Energy 2012, 37, 5723–5734. [Google Scholar] [CrossRef]
- Kobayashi, H.; Naruo, Y.; Maru, Y.; Takesaki, Y.; Miyanabe, K. Experiment of cryo-compressed (90-MPa) hydrogen leakage diffusion. Int. J. Hydrog. Energy 2018, 43, 17928–17937. [Google Scholar] [CrossRef]
- Kobayashi, H.; Daimon, Y.; Umemura, Y.; Muto, D.; Naruo, Y.; Miyanabe, K. Temperature measurement and flow visualization of cryo-compressed hydrogen released into the atmosphere. Int. J. Hydrog. Energy 2018, 43, 17938–17953. [Google Scholar] [CrossRef]
- Kobayashi, H.; Muto, D.; Daimon, Y.; Umemura, Y.; Takesaki, Y.; Maru, Y.; Yagishita, T.; Nonaka, S.; Miyanabe, K. Experimental study on cryo-compressed hydrogen ignition and flame. Int. J. Hydrog. Energy 2020, 45, 5098–5109. [Google Scholar] [CrossRef]
- Sakamoto, J.; Nakayama, J.; Nakarai, T.; Kasai, N.; Shibutani, T.; Miyake, A. Effect of gasoline pool fire on liquid hydrogen storage tank in hybrid hydrogen–gasoline fueling station. Int. J. Hydrog. Energy 2016, 41, 2096–2104. [Google Scholar] [CrossRef]
- Lv, P.; Huot, J. Hydrogenation improvement of TiFe by adding ZrMn2. Energy 2017, 138, 375–382. [Google Scholar] [CrossRef]
- Liu, Y.; Yuan, H.; Guo, M.; Jiang, L. Effect of Y element on cyclic stability of A2B7 -type La–Y–Ni-based hydrogen storage alloy. Int. J. Hydrog. Energy 2019, 44, 22064–22073. [Google Scholar] [CrossRef]
- Bellosta von Colbe, J.; Ares, J.-R.; Barale, J.; Baricco, M.; Buckley, C.; Capurso, G.; Gallandat, N.; Grant, D.M.; Guzik, M.N.; Jacob, I.; et al. Application of hydrides in hydrogen storage and compression: Achievements, outlook and perspectives. Int. J. Hydrog. Energy 2019, 44, 7780–7808. [Google Scholar] [CrossRef]
- Lan, R.; Irvine, J.T.S.; Tao, S. Ammonia and related chemicals as potential indirect hydrogen storage materials. Int. J. Hydrog. Energy 2012, 37, 1482–1494. [Google Scholar] [CrossRef]
- Lan, R.; Tao, S. Ammonia as a Suitable Fuel for Fuel Cells. Front. Energy Res. 2014, 2. [Google Scholar] [CrossRef]
- Kreidar, M.C.; Sefa, M.; Fedchak, J.A.; Scherschligt, J.; Bible, M.; Natarajan, B.; Klimov, N.N.; Miller, A.E.; Ahmed, Z.; Hartings, M.R. Toward 3D Printed Hydrogen Storage Materials Made with ABS-MOF Composites. Polym. Adv. Technol. 2018, 29, 867–873. [Google Scholar] [CrossRef] [PubMed]
- Zhang, J.; Yan, S.; Qu, H.; Yu, X.F.; Peng, P. Alkali metal silanides α-MSiH3: A family of complex hydrides for solid-state hydrogen storage. Int. J. Hydrog. Energy 2017, 42, 12405–12413. [Google Scholar] [CrossRef]
- Chang, C.; Gao, P.; Bao, D.; Wang, L.; Wang, Y.; Chen, Y.; Zhou, X.; Sun, S.; Li, G.; Yang, P. Ball-milling preparation of one-dimensional Co–carbon nanotube and Co–carbon nanofiber core/shell nanocomposites with high electrochemical hydrogen storage ability. J. Power Sources 2014, 255, 318–324. [Google Scholar] [CrossRef]
- Zacharia, R.; Rather, S.U. Review of Solid State Hydrogen Storage Methods Adopting Different Kinds of Novel Materials. J. Nanomater. 2015, 2015, 1–18. [Google Scholar] [CrossRef]
- Patel, A.K.; Duguay, A.; Tougas, B.; Schade, C.; Sharma, P.; Huot, J. Microstructure and first hydrogenation properties of TiFe alloy with Zr and Mn as additives. Int. J. Hydrog. Energy 2020, 45, 787–797. [Google Scholar] [CrossRef]
- Alsabawi, K.; Gray, E.M.; Webb, C.J. The effect of ball-milling gas environment on the sorption kinetics of MgH2 with/without additives for hydrogen storage. Int. J. Hydrog. Energy 2019, 44, 2976–2980. [Google Scholar] [CrossRef]
- Dornheim, M.; Klassen, T. FUELS—HYDROGEN STORAGE | High Temperature Hydrides. In Encyclopedia of Electrochemical Power Sources, 1st ed.; Garche, J., Dyer, C.K., Moseley, P.T., Ogumi, Z., Rand, D.A.J., Scrosati, B., Eds.; Elsevier: Amsterdam, The Netherlands, 2009; Volume 3, pp. 459–472. [Google Scholar]
- Li, Y.; Shang, H.; Zhang, Y.; Li, P.; Qi, Y.; Zhao, D. Investigations on gaseous hydrogen storage performances and reactivation ability of as-cast TiFe1-Ni (x = 0, 0.1, 0.2 and 0.4) alloys. Int. J. Hydrog. Energy 2019, 44, 4240–4252. [Google Scholar] [CrossRef]
- Kumar, A.; Raju, N.N.; Muthukumar, P.; Selvan, P.V. Experimental studies on industrial scale metal hydride based hydrogen storage system with embedded cooling tubes. Int. J. Hydrog. Energy 2019, 44, 13549–13560. [Google Scholar] [CrossRef]
- Lototskyy, M.V.; Yartys, V.A.; Pollet, B.G.; Bowman, R.C., Jr. Metal hydride hydrogen compressors: A review. Int. J. Hydrog. Energy 2014, 39, 5818–5851. [Google Scholar] [CrossRef]
- Borzenko, V.I.; Romanov, I.A.; Dunikov, D.O.; Kazakov, A.N. Hydrogen sorption properties of metal hydride beds: Effect of internal stresses caused by reactor geometry. Int. J. Hydrog. Energy 2019, 44, 6086–6092. [Google Scholar] [CrossRef]
- Nakano, A.; Maeda, T.; Ito, H.; Motyka, T.; Perez-Berrios, J.M.; Greenway, S. Experimental Study on a Metal Hydride Tank for the Totalized Hydrogen Energy Utilization System. Energy Procedia 2012, 29, 463–468. [Google Scholar] [CrossRef]
- Lozano, G.A.; Bellosta von Colbe, J.M.; Klassen, T.; Dornheim, M. Transport phenomena versus intrinsic kinetics: Hydrogen sorption limiting sub-process in metal hydride beds. Int. J. Hydrog. Energy 2014, 39, 18952–18957. [Google Scholar] [CrossRef]
- Capurso, G.; Jepsen, J.; Bellosta von Colbe, J.M.; Pistidda, C.; Metz, O.; Yigit, D.; Cao, H.J.; Hardian, R.; Strauch, A.; Taube, K.; et al. Engineering Solutions in Scale-Up and Tank Design for Metal Hydrides. Mater. Sci. Forum 2018, 941, 2220–2225. [Google Scholar] [CrossRef]
- Chung, C.A.; Yang, S.-W.; Yang, C.-Y.; Hsu, C.-W.; Chiu, P.-Y. Experimental study on the hydrogen charge and discharge rates of metal hydride tanks using heat pipes to enhance heat transfer. Appl. Energy 2013, 103, 581–587. [Google Scholar] [CrossRef]
- Tange, M.; Maeda, T.; Nakano, A.; Ito, H.; Kawakami, Y.; Masuda, M.; Takahashi, T. Experimental study of hydrogen storage with reaction heat recovery using metal hydride in a totalized hydrogen energy utilization system. Int. J. Hydrog. Energy 2011, 36, 11767–11776. [Google Scholar] [CrossRef]
- Mellouli, S.; Askri, F.; Dhaou, H.; Jemni, A.; Ben Nasrallah, S. A novel design of a heat exchanger for a metal-hydrogen reactor. Int. J. Hydrog. Energy 2007, 32, 3501–3507. [Google Scholar] [CrossRef]
- Kaplan, Y. Effect of design parameters on enhancement of hydrogen charging in metal hydride reactors. Int. J. Hydrog. Energy 2009, 34, 2288–2294. [Google Scholar] [CrossRef]
- De Rango, P.; Marty, P.; Fruchart, D. Hydrogen storage systems based on magnesium hydride: From laboratory tests to fuel cell integration. Appl. Phys. A 2016, 122, 20. [Google Scholar] [CrossRef]
- Visaria, M.; Mudawar, I.; Pourpoint, T. Enhanced heat exchanger design for hydrogen storage using high-pressure metal hydride—Part 2. Experimental results. Int. J. Heat Mass Transf. 2011, 54, 424–432. [Google Scholar] [CrossRef]
- Singh, A.; Maiya, M.P.; Srinivasa Murthy, S. Experiments on solid state hydrogen storage device with a finned tube heat exchanger. Int. J. Hydrog. Energy 2017, 42, 15226–15235. [Google Scholar] [CrossRef]
- Afzal, M.; Mane, R.; Sharma, P. Heat transfer techniques in metal hydride hydrogen storage: A review. Int. J. Hydrog. Energy 2017, 42, 30661–30682. [Google Scholar] [CrossRef]
- Gkanas, E.I.; Grant, D.M.; Khzouz, M.; Stuart, A.D.; Manickam, K.; Walker, G.S. Efficient hydrogen storage in up-scale metal hydride tanks as possible metal hydride compression agents equipped with aluminium extended surfaces. Int. J. Hydrog. Energy 2016, 41, 10795–10810. [Google Scholar] [CrossRef]
- Mellouli, S.; Abhilash, E.; Askri, F.; Ben Nasrallah, S. Integration of thermal energy storage unit in a metal hydride hydrogen storage tank. Appl. Therm. Eng. 2016, 102, 1185–1196. [Google Scholar] [CrossRef]
- Suryanarayana, C. Mechanical alloying and milling. Prog. Mater. Sci. 2001, 46, 1–184. [Google Scholar] [CrossRef]
- Asano, K.; Akiba, E. Direct synthesis of Mg–Ti–H FCC hydrides from MgH2 and Ti by means of ball milling. J. Alloys Compd. 2009, 481, L8–L11. [Google Scholar] [CrossRef]
- Trudeau, M.L.; Dignard-Bailey, L.; Schulz, R.; Tessier, P.; Zaluski, L.; Ryan, D.H.; Strom-Olsen, J.O. The oxidation of nanocrystalline FeTi hydrogen storage compounds. Nanostruct. Mater. 1992, 1, 457–464. [Google Scholar] [CrossRef]
- Manna, J.; Tougas, B.; Huot, J. First hydrogenation kinetics of Zr and Mn doped TiFe alloy after air exposure and reactivation by mechanical treatment. Int. J. Hydrog. Energy 2020, 45, 11625–11631. [Google Scholar] [CrossRef]
- Bellosta von Colbe, J.M.; Puszkiel, J.; Capurso, G.; Franz, A.; Benz, H.U.; Zoz, H.; Klassen, T.; Dornheim, M. Scale-up of milling in a 100 L device for processing of TiFeMn alloy for hydrogen storage applications: Procedure and characterization. Int. J. Hydrog. Energy 2019, 44, 29282–29290. [Google Scholar] [CrossRef]
- Verga, M.; Armanasco, F.; Guardamagna, C.; Valli, C.; Bianchin, A.; Agresti, F.; Lo Russo, S.; Maddalena, A.; Principi, G. Scaling up effects of Mg hydride in a temperature and pressure-controlled hydrogen storage device. Int. J. Hydrog. Energy 2009, 34, 4602–4610. [Google Scholar] [CrossRef]
- De Piccoli, C.; Dal Toe, S.; Lo Russo, S.; Maddalena, A.; Palade, P.; Saber, A.; Sartori, S.; Principi, G. Hydrogen storage in magnesium hydride doped with niobium pentaoxide and graphite. Chem. Eng. Trans. 2004, 4, 343–347. [Google Scholar]
- Sujan, G.K.; Pan, Z.; Li, H.; Liang, D.; Alam, N. An overview on TiFe intermetallic for solid-state hydrogen storage: Microstructure, hydrogenation and fabrication processes. Crit. Rev. Solid State Mater. Sci. 2020, 45, 410–427. [Google Scholar] [CrossRef]
- Molinas, B.; Ghilarducci, A.A.; Melnichuk, M.; Corso, H.L.; Peretti, H.A.; Agresti, F.; Bianchin, A.; Lo Russo, S.; Maddalena, A.; Principi, G. Scaled-up production of a promising Mg-based hydride for hydrogen storage. Int. J. Hydrog. Energy 2009, 34, 4597–4601. [Google Scholar] [CrossRef]
- Dehouche, Z.; Peretti, H.A.; Hamoudi, S.; Yoo, Y.; Belkacemi, K. Effect of activated alloys on hydrogen discharge kinetics of MgH2 nanocrystals. J. Alloys Compd. 2008, 455, 432–439. [Google Scholar] [CrossRef]
- Nachev, S.; de Rango, P.; Skryabina, N.; Skachkov, A.; Aptukov, V.; Fruchart, D.; Marty, P. Mechanical behavior of highly reactive nanostructured MgH 2. Int. J. Hydrog. Energy 2015, 40, 17065–17074. [Google Scholar] [CrossRef]
- Pighin, S.A.; Capurso, G.; Lo Russo, S.; Peretti, H.A. Hydrogen sorption kinetics of magnesium hydride enhanced by the addition of Zr8Ni21 alloy. J. Alloys Compd. 2012, 530, 111–115. [Google Scholar] [CrossRef]
- Pickering, L.; Lototskyy, M.V.; Wafeeq Davids, M.; Sita, C.; Linkov, V. Induction melted AB2-type metal hydrides for hydrogen storage and compression applications. Mater. Today Proc. 2018, 5, 10470–10478. [Google Scholar] [CrossRef]
- Davids, M.W.; Lototskyy, M.; Malinowski, M.; van Schalkwyk, D.; Parsons, A.; Pasupathi, S.; Swanepoel, D.; van Niekerk, T. Metal hydride hydrogen storage tank for light fuel cell vehicle. Int. J. Hydrog. Energy 2019, 44, 29263–29272. [Google Scholar] [CrossRef]
- Patel, A.K.; Tougas, B.; Sharma, P.; Huot, J. Effect of cooling rate on the microstructure and hydrogen storage properties of TiFe with 4 wt% Zr as an additive. J. Mater. Res. Technol 2019, 8, 5623–5630. [Google Scholar] [CrossRef]
- Gosselin, C.; Huot, J. Hydrogenation Properties of TiFe Doped with Zirconium. Materials 2015, 8, 7864–7872. [Google Scholar] [CrossRef] [PubMed]
- Lee, S.-M.; Perng, T.-P. Effect of the second phase on the initiation of hydrogenation of TiFe1−xMx (M = Cr,Mn) alloys. Int. J. Hydrog. Energy 1994, 19, 259–263. [Google Scholar] [CrossRef]
- Chung, H.S.; Lee, J.-Y. Effect of partial substitution of Mn and Ni for Fe in FeTi on hydriding kinetics. Int. J. Hydrog. Energy 1986, 11, 335–339. [Google Scholar] [CrossRef]
- Lee, S.-M.; Perng, T.-P. Microstructural correlations with the hydrogenation kinetics of FeTi1+ξ alloys. J. Alloys Compd. 1991, 177, 107–118. [Google Scholar] [CrossRef]
- Shang, H.; Zhang, Y.; Li, Y.; Qi, Y.; Guo, S.; Zhao, D. Effects of adding over-stoichiometrical Ti and substituting Fe with Mn partly on structure and hydrogen storage performances of TiFe alloy. Renew. Energy 2019, 135, 1481–1498. [Google Scholar] [CrossRef]
- Kazakov, A.N.; Romanov, I.A.; Kuleshov, V.N.; Dunikov, D.O. Experimental investigations of adsorption characteristics and porosity of activated metal hydride powders. In Journal of Physics Conference Series, Proceedings of the International Conference on Problems of Thermal Physics and Power Engineering (PTPPE), Natl Res Univ, Moscow Power Engn Inst, Russia, 09–11 October 2017; Iop Publishing Ltd.: Bristol, UK, 2017. [Google Scholar] [CrossRef]
- Matsushita, M.; Tajima, I.; Abe, M.; Tokuyama, H. Experimental study of porosity and effective thermal conductivity in packed bed of nano-structured FeTi for usage in hydrogen storage tanks. Int. J. Hydrog. Energy 2019, 44, 23239–23248. [Google Scholar] [CrossRef]
- Nachev, S.; de Rango, P.; Delhomme, B.; Plante, D.; Zawilski, B.; Longa, F.; Marty, P.; Miraglia, S.; Fruchart, D. In situ dilatometry measurements of MgH2 compacted disks. J. Alloys Compd. 2013, 580, S183–S186. [Google Scholar] [CrossRef]
- Kubo, K.; Kawaharazaki, Y.; Itoh, H. Development of large MH tank system for renewable energy storage. Int. J. Hydrog. Energy 2017, 42, 22475–22479. [Google Scholar] [CrossRef]
- Malyshenko, S.P.; Mitrokhin, S.V.; Romanov, I.A. Effects of scaling in metal hydride materials for hydrogen storage and compression. J. Alloys Compd. 2015, 645, S84–S88. [Google Scholar] [CrossRef]
- Chaise, A.; de Rango, P.; Marty, P.; Fruchart, D. Experimental and numerical study of a magnesium hydride tank. Int. J. Hydrog. Energy 2010, 35, 6311–6322. [Google Scholar] [CrossRef]
- Mirabile Gattia, D.; Montone, A.; Di Sarcina, I.; Nacucchi, M.; De Pascalis, F.; Re, M.; Pesce, E.; Vittori Antisari, M. On the degradation mechanisms of Mg hydride pellets for hydrogen storage in tanks. Int. J. Hydrog. Energy 2016, 41, 9834–9840. [Google Scholar] [CrossRef]
- Mirabile Gattia, D.; Gizer, G.; Montone, A. Effects of the compaction pressure and of the cycling process on kinetics and microstructure of compacted MgH2-based mixtures. Int. J. Hydrog. Energy 2014, 39, 9924–9930. [Google Scholar] [CrossRef]
- Pohlmann, C.; Röntzsch, L.; Weißgärber, T.; Kieback, B. Heat and gas transport properties in pelletized hydride–graphite-composites for hydrogen storage applications. Int. J. Hydrog. Energy 2013, 38, 1685–1691. [Google Scholar] [CrossRef]
- Sanchez, A.R.; Klein, H.-P.; Groll, M. Expanded graphite as heat transfer matrix in metal hydride beds. Int. J. Hydrog. Energy 2003, 28, 515–527. [Google Scholar] [CrossRef]
- Chaise, A.; de Rango, P.; Marty, P.; Fruchart, D.; Miraglia, S.; Olivès, R.; Garrier, S. Enhancement of hydrogen sorption in magnesium hydride using expanded natural graphite. Int. J. Hydrog. Energy 2009, 34, 8589–8596. [Google Scholar] [CrossRef]
- Garrier, S.; Chaise, A.; de Rango, P.; Marty, P.; Delhomme, B.; Fruchart, D.; Miraglia, S. MgH2 intermediate scale tank tests under various experimental conditions. Int. J. Hydrog. Energy 2011, 36, 9719–9726. [Google Scholar] [CrossRef]
- Delhomme, B.; de Rango, P.; Marty, P.; Bacia, M.; Zawilski, B.; Raufast, C.; Miraglia, S.; Fruchart, D. Large scale magnesium hydride tank coupled with an external heat source. Int. J. Hydrog. Energy 2012, 37, 9103–9111. [Google Scholar] [CrossRef]
- Bae, S.-C.; Tanae, T.; Monde, M.; Katsuta, M. Heat Transfer Enhancement of Metal Hydride Particle Bed for Heat Driven Type Refrigerator by Carbon Fiber. J. Therm. Sci. Technol. 2008, 3, 2–10. [Google Scholar] [CrossRef]
- Capurso, G.; Schiavo, B.; Jepsen, J.; Lozano, G.; Metz, O.; Saccone, A.; De Negri, S.; Bellosta von Colbe, J.M.; Klassen, T.; Dornheim, M. Development of a modular room-temperature hydride storage system for vehicular applications. Appl. Phys. A 2016, 122, 11. [Google Scholar] [CrossRef]
- Endo, N.; Shimoda, E.; Goshome, K.; Yamane, T.; Nozu, T.; Maeda, T. Construction and operation of hydrogen energy utilization system for a zero emission building. Int. J. Hydrog. Energy 2019, 44, 14596–14604. [Google Scholar] [CrossRef]
- Lin, X.; Yang, H.; Zhu, Q.; Li, Q. Numerical simulation of a metal hydride tank with LaNi4.25Al0.75 using a novel kinetic model at constant flows. Chem. Eng. J. 2020, 401, 11. [Google Scholar] [CrossRef]
- Zhang, B.; Wang, F.; Zeng, X.; Zhang, K.; Kou, H. A three-dimensional heat transfer model for thermal performance evaluation of ZrCo-based hydride bed with embedded circular-shaped cooling tubes. Int. J. Energy Res. 2019, 43, 6994–7009. [Google Scholar] [CrossRef]
- Manai, M.S.; Leturia, M.; Pohlmann, C.; Oubraham, J.; Mottelet, S.; Levy, M.; Saleh, K. Comparative study of different storage bed designs of a solid-state hydrogen tank. J. Energy Storage 2019, 26, 11. [Google Scholar] [CrossRef]
- Ye, J.; Jiang, L.; Li, Z.; Liu, X.; Wang, S.; Li, X. Numerical analysis of heat and mass transfer during absorption of hydrogen in metal hydride based hydrogen storage tanks. Int. J. Hydrog. Energy 2010, 35, 8216–8224. [Google Scholar] [CrossRef]
- Cui, Y.; Zeng, X.; Kou, H.; Ding, J.; Wang, F. Numerical modeling of heat transfer during hydrogen absorption in thin double-layered annular ZrCo beds. Results Phys. 2018, 9, 640–647. [Google Scholar] [CrossRef]
- Afzal, M.; Sharma, P. Design of a large-scale metal hydride based hydrogen storage reactor: Simulation and heat transfer optimization. Int. J. Hydrog. Energy 2018, 43, 13356–13372. [Google Scholar] [CrossRef]
- Lin, X.; Sun, D.; Chen, S.; Zhu, Q.; Leng, H.; Li, Q. Numerical analysis on pulverization and self-densification for hydrogen storage performance of a metal hydride tank. Appl. Therm. Eng. 2019, 161, 8. [Google Scholar] [CrossRef]
- Herbrig, K.; Röntzsch, L.; Pohlmann, C.; Weißgärber, T.; Kieback, B. Hydrogen storage systems based on hydride–graphite composites: Computer simulation and experimental validation. Int. J. Hydrog. Energy 2013, 38, 7026–7036. [Google Scholar] [CrossRef]






















Publisher’s Note: MDPI stays neutral with regard to jurisdictional claims in published maps and institutional affiliations. |
© 2021 by the authors. Licensee MDPI, Basel, Switzerland. This article is an open access article distributed under the terms and conditions of the Creative Commons Attribution (CC BY) license (https://creativecommons.org/licenses/by/4.0/).
Share and Cite
Jensen, E.H.; Dornheim, M.; Sartori, S. Scaling up Metal Hydrides for Real-Scale Applications: Achievements, Challenges and Outlook. Inorganics 2021, 9, 37. https://doi.org/10.3390/inorganics9050037
Jensen EH, Dornheim M, Sartori S. Scaling up Metal Hydrides for Real-Scale Applications: Achievements, Challenges and Outlook. Inorganics. 2021; 9(5):37. https://doi.org/10.3390/inorganics9050037
Chicago/Turabian StyleJensen, Emil H., Martin Dornheim, and Sabrina Sartori. 2021. "Scaling up Metal Hydrides for Real-Scale Applications: Achievements, Challenges and Outlook" Inorganics 9, no. 5: 37. https://doi.org/10.3390/inorganics9050037
APA StyleJensen, E. H., Dornheim, M., & Sartori, S. (2021). Scaling up Metal Hydrides for Real-Scale Applications: Achievements, Challenges and Outlook. Inorganics, 9(5), 37. https://doi.org/10.3390/inorganics9050037

