Towards 99mTc- and Re-Based Multifunctional Silica Platforms for Theranostic Applications
Abstract
1. Introduction
2. Results and Discussion
2.1. Evaluation of Mesoporous Silica Particles
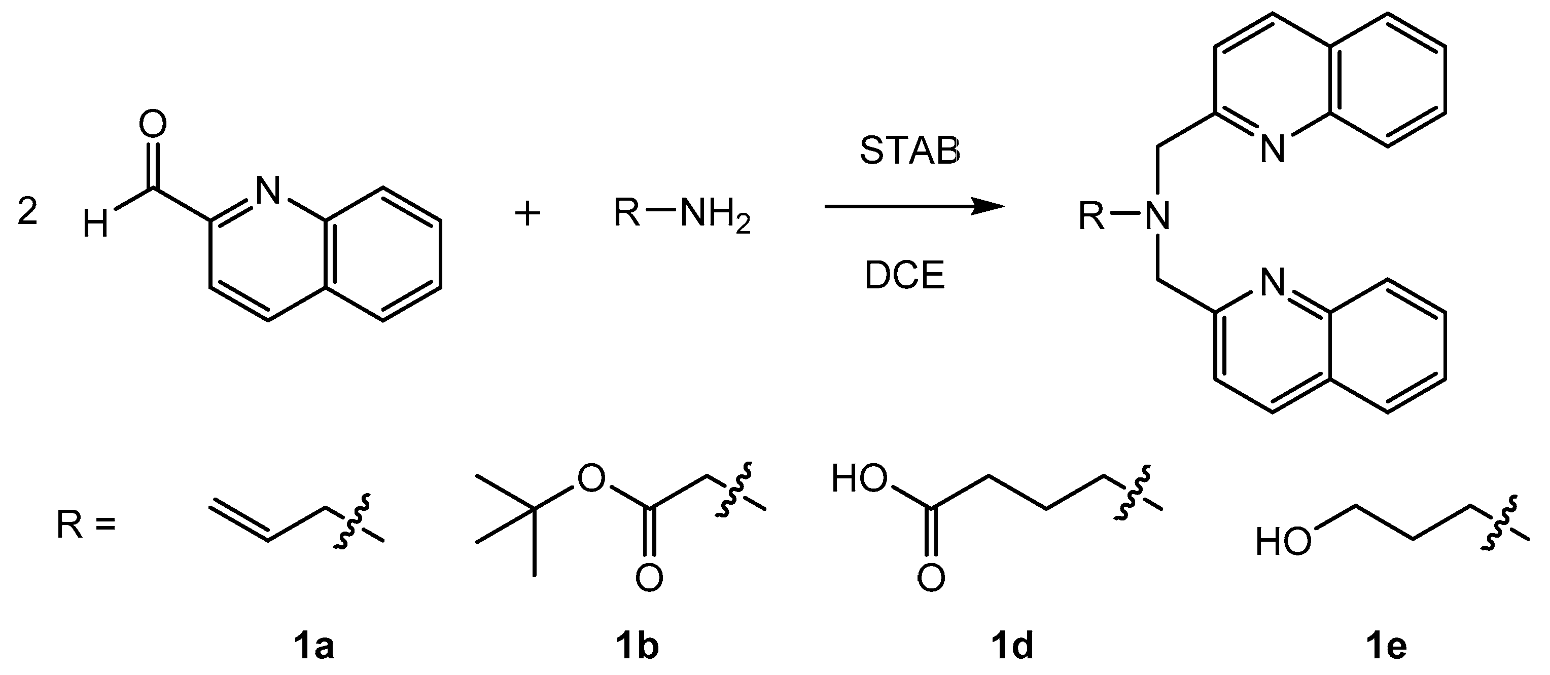
2.2. Synthesis of Chelators for Surface Modifications
2.3. Reactions of Bisquinoline Molecules with the {M(CO)3}+ Moiety (M = Re, 99mTc)
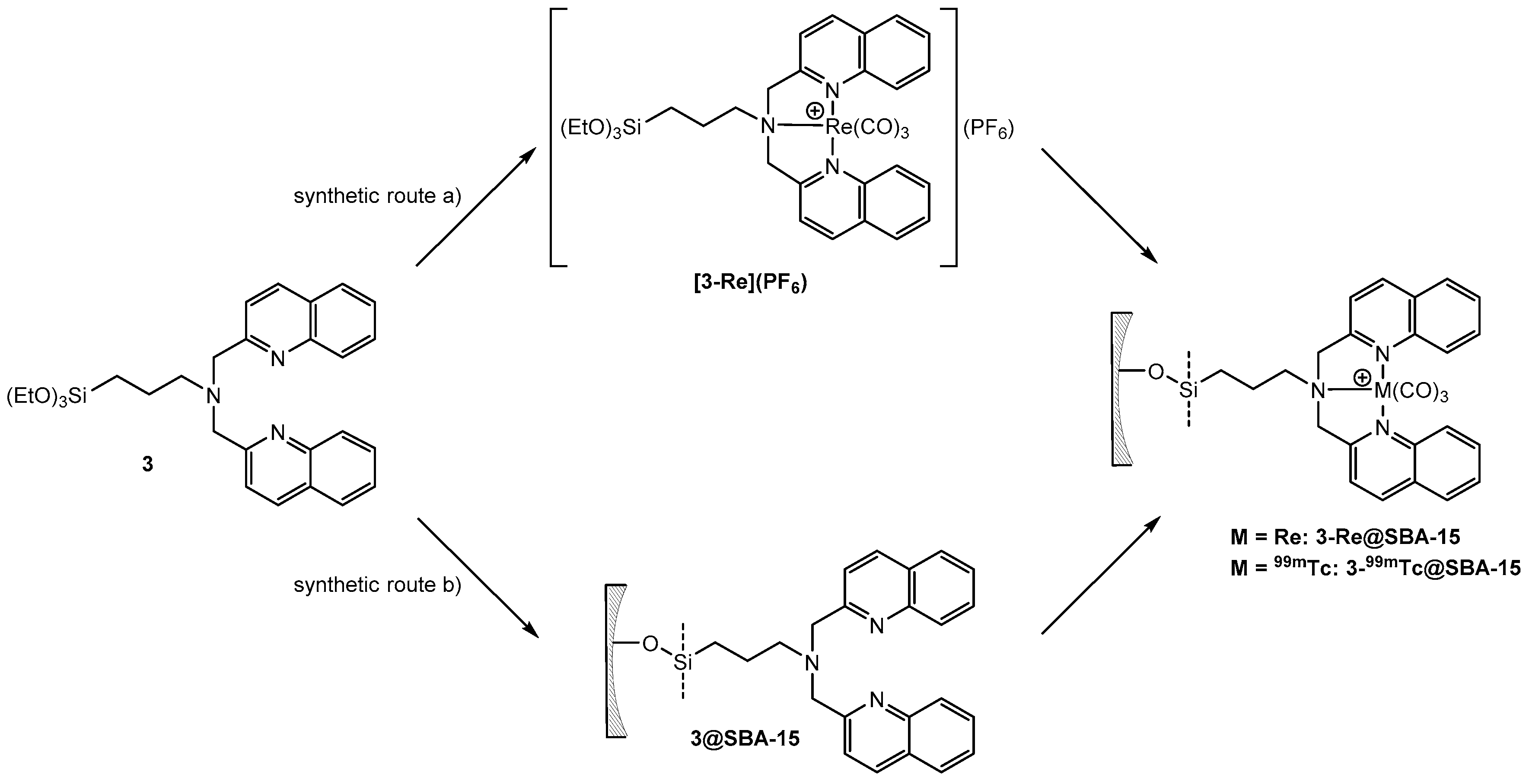
2.4. Synthesis and Labeling of a Bifunctional SBA-15 Construct with Re and 99mTc
3. Materials and Methods
3.1. Synthesis of 1d
3.2. Synthesis of 2
3.3. Synthesis of 3
3.4. General Procedure for the Synthesis of {Re(CO)3}+ Complexes
3.4.1. Analytical Data for [(1a)Re(CO)3](PF6)
3.4.2. Analytical Data for [(1b)Re(CO)3](PF6)
3.4.3. Analytical Data for [(1e)Re(CO)3](PF6)
3.4.4. Analytical Data for [3-Re](PF6)
3.5. Synthesis of 3@SBA-15
3.6. Synthesis of 3-Re@SBA-15
3.6.1. Method A: Grafting of 3-Re onto SBA15
3.6.2. Method B: Reaction of (NEt4)2[Re(H2O)3(CO)3] with 3@SBA-15
3.7. Synthesis of Bifunctionalized Mesoporous Silica Particles (EOITC/3@SiP)
3.8. Reaction of Bifunctionalized Mesoporous Silica Particles (SiP) with [Re(H2O)3(CO)3]+
3.9. Labeling of Bifunctionalized Mesoporous Silica Particles (SiP) with [99mTc(H2O)3(CO)3]+
4. Conclusions
Supplementary Materials
Author Contributions
Funding
Acknowledgments
Conflicts of Interest
References
- Arano, Y. Recent advances in 99mTc radiopharmaceuticals. Ann. Nucl. Med. 2002, 16, 79–93. [Google Scholar] [CrossRef] [PubMed]
- Arano, Y. Recent advances in 99mTc radiopharmacenticals. J. Nucl. Radiochem. Sci. 2005, 6, 177–181. [Google Scholar] [CrossRef][Green Version]
- Bartholomä, M.D.; Louie, A.S.; Valliant, J.F.; Zubieta, J. Technetium and gallium derived radiopharmaceuticals: Comparing and contrasting the chemistry of two important radiometals for the molecular imaging era. Chem. Rev. 2010, 110, 2903–2920. [Google Scholar] [CrossRef] [PubMed]
- Liu, S.; Chakraborty, S. 99mTc-centered one-pot synthesis for preparation of 99mTc radiotracers. Dalton Trans. 2011, 40, 6077–6086. [Google Scholar] [CrossRef]
- Papagiannopoulou, D. Technetium-99m radiochemistry for pharmaceutical applications. J. Label. Compd. Radiopharm. 2017, 60, 502–520. [Google Scholar] [CrossRef]
- Lepareur, N.; Lacœuille, F.; Bouvry, C.; Hindré, F.; Garcion, E.; Chérel, M.; Noiret, N.; Garin, E.; Knapp, F.F.R. Rhenium-188 labeled radiopharmaceuticals: Current clinical applications in oncology and promising perspectives. Front. Med. 2019, 6, 132. [Google Scholar] [CrossRef]
- Meola, G.; Braband, H.; Jordi, S.; Fox, T.; Blacque, O.; Spingler, B.; Alberto, R. Structure and reactivities of rhenium and technetium bis-arene sandwich complexes [M(η6-arene)2]+. Dalton Trans. 2017, 46, 14631–14637. [Google Scholar] [CrossRef]
- Stephenson, K.A.; Banerjee, S.R.; Besanger, T.; Sogbein, O.O.; Levadala, M.K.; McFarlane, N.; Lemon, J.A.; Boreham, D.R.; Maresca, K.P.; Brennan, J.D.; et al. Bridging the Gap between In Vitro and In Vivo imaging: Isostructural Re and 99mTc complexes for correlating fluorescence and radioimaging studies. J. Am. Chem. Soc. 2004, 126, 8598–8599. [Google Scholar] [CrossRef]
- Agrawal, U.; Gupta, M.; Jadon, R.S.; Sharma, R.; Vyas, S.P. Multifunctional nanomedicines: Potentials and prospects. Drug Deliv. Transl. Res. 2013, 3, 479–497. [Google Scholar] [CrossRef]
- Longmire, M.R.; Ogawa, M.; Choyke, P.L.; Kobayashi, H. Biologically optimized nanosized molecules and particles: More than just size. Bioconjugate Chem. 2011, 22, 993–1000. [Google Scholar] [CrossRef]
- He, J.; Liu, G.; Gupta, S.; Zhang, Y.; Rusckowski, M.; Hnatowich, D.J. Amplification targeting: A modified pretargeting approach with potential for signal amplification—Proof of a concept. J. Nucl. Med. 2004, 45, 1087–1095. [Google Scholar] [PubMed]
- Rousseau, V.; Denizot, B.; Pouliquen, D.; Jallet, P.; Le Jeune, J.J. Investigation of blood-brain barrier permeability to magnetite-dextran nanoparticles (MD3) after osmotic disruption in rats. Magn. Reson. Mater. Phys. Biol. Med. 1997, 5, 213–222. [Google Scholar] [CrossRef] [PubMed]
- Chao-Ming, F.; Yuh-Feng, W.; Yu-Chiang, C.; Shih-Hung, H.; Ming-Da, Y. Directly labeling ferrite nanoparticles with Tc-99m radioisotope for diagnostic applications. IEEE Trans. Magn. 2004, 40, 3003–3005. [Google Scholar] [CrossRef]
- Chao-Ming, F.; Yuh-Feng, W.; Yu-Feng, G.; Tang-Yi, L.; Jainn-Shiun, C. In Vivo bio-distribution of intravenously injected Tc-99m labeled ferrite nanoparticles bounded with biocompatible medicals. IEEE Trans. Magn. 2005, 41, 4120–4122. [Google Scholar] [CrossRef]
- Chan, H.B.S.; Ellis, B.L.; Sharma, H.L.; Frost, W.; Caps, V.; Shields, R.A.; Tsang, S.C. Carbon-encapsulated radioactive 99mTc nanoparticles. Adv. Mater. 2004, 16, 144–149. [Google Scholar] [CrossRef]
- Park, S.H.; Gwon, H.J.; Shin, J. Synthesis of 99mTc-labeled organo-germanium nanoparticles and their in vivo study as a spleen imaging agent. J. Label. Compd. Radiopharm. 2006, 49, 1163–1170. [Google Scholar] [CrossRef]
- Guo, J.; Zhang, X.; Li, Q.; Li, W. Biodistribution of functionalized multiwall carbon nanotubes in mice. Nucl. Med. Biol. 2007, 34, 579–583. [Google Scholar] [CrossRef]
- Xu, J.-Y.; Li, Q.-N.; Li, J.-G.; Ran, T.-C.; Wu, S.-W.; Song, W.-M.; Chen, S.-L.; Li, W.-X. Biodistribution of 99mTc-C60(OH)x in Sprague–Dawley rats after intratracheal instillation. Carbon 2007, 45, 1865–1870. [Google Scholar] [CrossRef]
- Douglas, S.J.; Davis, S.S.; Illum, L. Biodistribution of poly(butyl 2-cyanoacrylate) nanoparticles in rabbits. Int. J. Pharm. 1986, 34, 145–152. [Google Scholar] [CrossRef]
- Park, K.-H.; Song, H.-C.; Na, K.; Bom, H.-S.; Lee, K.H.; Kim, S.; Kang, D.; Lee, D.H. Ionic strength-sensitive pullulan acetate nanoparticles (PAN) for intratumoral administration of radioisotope: Ionic strength-dependent aggregation behavior and 99mTechnetium retention property. Colloids Surf. B 2007, 59, 16–23. [Google Scholar] [CrossRef]
- Banerjee, T.; Mitra, S.; Kumar Singh, A.; Kumar Sharma, R.; Maitra, A. Preparation, characterization and biodistribution of ultrafine chitosan nanoparticles. Int. J. Pharm. 2002, 243, 93–105. [Google Scholar] [CrossRef]
- Banerjee, T.; Singh, A.K.; Sharma, R.K.; Maitra, A.N. Labeling efficiency and biodistribution of Technetium-99m labeled nanoparticles: Interference by colloidal tin oxide particles. Int. J. Pharm. 2005, 289, 189–195. [Google Scholar] [CrossRef] [PubMed]
- Reddy, L.H.; Sharma, R.K.; Chuttani, K.; Mishra, A.K.; Murthy, R.R. Etoposide-incorporated tripalmitin nanoparticles with different surface charge: Formulation, characterization, radiolabeling, and biodistribution studies. AAPS J. 2004, 6, 23. [Google Scholar] [CrossRef] [PubMed]
- Fischer, H.C.; Chan, W.C.W. Nanotoxicity: The growing need for in vivo study. Curr. Opin. Biotechnol. 2007, 18, 565–571. [Google Scholar] [CrossRef] [PubMed]
- Wu, S.-H.; Hung, Y.; Mou, C.-Y. Mesoporous silica nanoparticles as nanocarriers. Chem. Commun. 2011, 47, 9972–9985. [Google Scholar] [CrossRef] [PubMed]
- Gartmann, N.; Brühwiler, D. Controlling and imaging the functional-group distribution on mesoporous silica. Angew. Chem. Int. Ed. 2009, 48, 6354–6356. [Google Scholar] [CrossRef]
- Ramm, J.H.; Gartmann, N.; Brühwiler, D. Direct synthesis and fluorescent imaging of bifunctionalized mesoporous iodopropyl-silica. J. Colloid Interface Sci. 2010, 345, 200–205. [Google Scholar] [CrossRef]
- Schlipf, D.M.; Rankin, S.E.; Knutson, B.L. Selective external surface functionalization of large-pore silica materials capable of protein loading. Microporous Mesoporous Mat. 2017, 244, 199–207. [Google Scholar] [CrossRef]
- Zucchetto, N.; Brühwiler, D. Strategies for localizing multiple functional groups in mesoporous silica particles through a one-pot synthesis. Chem. Mater. 2018, 30, 7280–7286. [Google Scholar] [CrossRef]
- Sharma, K.K.; Anan, A.; Buckley, R.P.; Ouellette, W.; Asefa, T. Toward efficient nanoporous catalysts: Controlling site-isolation and concentration of grafted catalytic sites on nanoporous materials with solvents and colorimetric elucidation of their site-isolation. J. Am. Chem. Soc. 2008, 130, 218–228. [Google Scholar] [CrossRef]
- Sharma, K.K.; Asefa, T. Efficient bifunctional nanocatalysts by simple postgrafting of spatially isolated catalytic groups on mesoporous materials. Angew. Chem. Int. Ed. 2007, 46, 2879–2882. [Google Scholar] [CrossRef] [PubMed]
- Wang, X.; Lin, K.S.K.; Chan, J.C.C.; Cheng, S. Direct synthesis and catalytic applications of ordered large pore aminopropyl-functionalized SBA-15 mesoporous materials. J. Phys. Chem. B 2005, 109, 1763–1769. [Google Scholar] [CrossRef] [PubMed]
- Brunel, D. Functionalized micelle-templated silicas (MTS) and their use as catalysts for fine chemicals. Microporous Mesoporous Mat. 1999, 27, 329–344. [Google Scholar] [CrossRef]
- Macquarrie, D.J.; Jackson, D.B. Aminopropylated MCMs as base catalysts: A comparison with aminopropylated silica. Chem. Commun. 1997, 18, 1781–1782. [Google Scholar] [CrossRef]
- Cauvel, A.; Renard, G.; Brunel, D. Monoglyceride synthesis by heterogeneous catalysis using MCM-41 type silicas functionalized with amino groups. J. Org. Chem. 1997, 62, 749–751. [Google Scholar] [CrossRef] [PubMed]
- Liu, A.M.; Hidajat, K.; Kawi, S.; Zhao, D.Y. A new class of hybrid mesoporous materials with functionalized organic monolayers for selective adsorption of heavy metal ions. Chem. Commun. 2000, 1145–1146. [Google Scholar] [CrossRef]
- Vallet-Regí, M.; Balas, F.; Arcos, D. Mesoporous materials for drug delivery. Angew. Chem. Int. Ed. 2007, 46, 7548–7558. [Google Scholar] [CrossRef]
- Angelos, S.; Johansson, E.; Stoddart, J.F.; Zink, J.I. Mesostructured silica supports for functional materials and molecular machines. Adv. Funct. Mater. 2007, 17, 2261–2271. [Google Scholar] [CrossRef]
- Mal, N.K.; Fujiwara, M.; Tanaka, Y. Photocontrolled reversible release of guest molecules from coumarin-modified mesoporous silica. Nature 2003, 421, 350–353. [Google Scholar] [CrossRef]
- Lai, C.-Y.; Trewyn, B.G.; Jeftinija, D.M.; Jeftinija, K.; Xu, S.; Jeftinija, S.; Lin, V.S.Y. A mesoporous silica nanosphere-based carrier system with chemically removable CdS nanoparticle caps for stimuli-responsive controlled release of neurotransmitters and drug molecules. J. Am. Chem. Soc. 2003, 125, 4451–4459. [Google Scholar] [CrossRef]
- Muñoz, B.; Rámila, A.; Pérez-Pariente, J.; Díaz, I.; Vallet-Regí, M. MCM-41 organic modification as drug delivery rate regulator. Chem. Mater. 2002, 15, 500–503. [Google Scholar] [CrossRef]
- Argyo, C.; Weiss, V.; Bräuchle, C.; Bein, T. Multifunctional mesoporous silica nanoparticles as a universal platform for drug delivery. Chem. Mater. 2014, 26, 435–451. [Google Scholar] [CrossRef]
- Giret, S.; Wong Chi Man, M.; Carcel, C. Mesoporous-silica-functionalized nanoparticles for drug delivery. Chem. Eur. J. 2015, 21, 13850–13865. [Google Scholar] [CrossRef] [PubMed]
- Riehemann, K.; Schneider, S.W.; Luger, T.A.; Godin, B.; Ferrari, M.; Fuchs, H. Nanomedicine—Challenge and perspectives. Angew. Chem. Int. Ed. 2009, 48, 872–897. [Google Scholar] [CrossRef] [PubMed]
- Beck, J.S.; Vartuli, J.C.; Roth, W.J.; Leonowicz, M.E.; Kresge, C.T.; Schmitt, K.D.; Chu, C.T.W.; Olson, D.H.; Sheppard, E.W.; McCullen, S.B.; et al. A new family of mesoporous molecular sieves prepared with liquid crystal templates. J. Am. Chem. Soc. 1992, 114, 10834–10843. [Google Scholar] [CrossRef]
- Kievsky, Y.; Sokolov, I. Self-assembly of uniform nanoporous silica fibers. IEEE TNANO 2005, 4, 490–494. [Google Scholar] [CrossRef]
- Zhao, D.; Huo, Q.; Feng, J.; Chmelka, B.F.; Stucky, G.D. Nonionic triblock and star diblock copolymer and oligomeric surfactant syntheses of highly ordered, hydrothermally stable, mesoporous silica structures. J. Am. Chem. Soc. 1998, 120, 6024–6036. [Google Scholar] [CrossRef]
- Braband, H.; Tooyama, Y.; Fox, T.; Alberto, R. Syntheses of high-valent fac-[99mTcO3]+ complexes and [3+2] cycloadditions with alkenes in water as a direct labelling strategy. Chem. Eur. J. 2009, 15, 633–638. [Google Scholar] [CrossRef]
- Braband, H.; Tooyama, Y.; Fox, T.; Simms, R.; Forbes, J.; Valliant, J.F.; Alberto, R. fac-[TcO3(tacn)]+: A versatile precursor for the labelling of pharmacophores, amino acids and carbohydrates through a new ligand-centred labelling strategy. Chem. Eur. J. 2011, 17, 12967–12974. [Google Scholar] [CrossRef]
- Wuillemin, M.A.; Stuber, W.T.; Fox, T.; Reber, M.J.; Brühwiler, D.; Alberto, R.; Braband, H. A novel 99mTc labelling strategy for the development of silica based particles for medical applications. Dalton Trans. 2014, 43, 4260–4263. [Google Scholar] [CrossRef]
- Wuillemin, M.A. 99mTc-and Re-Based Target Specific Multimodality (Nano)Particles. Ph.D. Thesis, University of Zurich, Zürich, Switzerland, 2018. [Google Scholar]
- Nielsen, A.; Bond, A.D.; McKenzie, C.J. N,N-Bis(2-pyridiniomethyl)glycine diperchlorate. Acta Crystallogr. E 2005, 61, o516–o517. [Google Scholar] [CrossRef]
- Kim, W.D.; Hrncir, D.C.; Kiefer, G.E.; Sherry, A.D. Synthesis, crystal structure, and potentiometry of pyridine-containing tetraaza macrocyclic ligands with acetate pendant arms. Inorg. Chem. 1995, 34, 2225–2232. [Google Scholar] [CrossRef]
- Farrugia, L.J. ORTEP-3 for windows-a version of ORTEP-III with a Graphical User Interface (GUI). J. Appl. Crystallogr. 1997, 30, 565. [Google Scholar] [CrossRef]
- Steiner, T. Hydrogen-bond distances to halide ions in organic and organometallic crystal structures: Up-to-date database study. Acta Crystallogr. B 1998, 54, 456–463. [Google Scholar] [CrossRef]
- Crucho, C.I.C.; Baleizão, C.; Farinha, J.P.S. Functional group coverage and conversion quantification in nanostructured silica by 1H NMR. Anal. Chem. 2017, 89, 681–687. [Google Scholar] [CrossRef]
- Grundler, P.V.; Helm, L.; Alberto, R.; Merbach, A.E. Relevance of the ligand exchange rate and mechanism of fac-[(CO)3M(H2O)3]+ (M = Mn, Tc, Re) complexes for new radiopharmaceuticals. Inorg. Chem. 2006, 45, 10378–10390. [Google Scholar] [CrossRef]
- Alberto, R.; Ortner, K.; Wheatley, N.; Schibli, R.; Schubiger, A.P. Synthesis and properties of boranocarbonate: A convenient In Situ co source for the aqueous preparation of [99mTc(OH2)3(CO)3]+. J. Am. Chem. Soc. 2001, 123, 3135–3136. [Google Scholar] [CrossRef]
- Braband, H.; Benz, M.; Tooyama, Y.; Alberto, R. Activation of [99(m)TcO4]− by phosphonium cations. Chem. Commun. 2014, 50, 4126–4129. [Google Scholar] [CrossRef]
- Zucchetto, N.; Brühwiler, D. Tuning the aspect ratio of arrays of silica nanochannels. RSC Adv. 2015, 5, 74638–74644. [Google Scholar] [CrossRef][Green Version]
- Ritter, H.; Brühwiler, D. Accessibility of amino groups in postsynthetically modified mesoporous silica. J. Phys. Chem. C 2009, 113, 10667–10674. [Google Scholar] [CrossRef]
- Brunauer, S.; Emmett, P.H.; Teller, E. Adsorption of gases in multimolecular layers. J. Am. Chem. Soc. 1938, 60, 309–319. [Google Scholar] [CrossRef]
- Ravikovitch, P.I.; Neimark, A.V. Characterization of nanoporous materials from adsorption and desorption isotherms. Colloids Surf. A 2001, 187, 11–21. [Google Scholar] [CrossRef]
- Rigaku Oxford Diffraction. CrysAlisPro Software System; 171.39; Rigaku Oxford Diffraction: Oxford, UK, 2017. [Google Scholar]
- Sheldrick, G. A short history of SHELX. Acta Cryst. 2008, 64, 112–122. [Google Scholar] [CrossRef] [PubMed]
- Sheldrick, G. Crystal structure refinement with SHELXL. Acta Cryst. 2015, 71, 3–8. [Google Scholar] [CrossRef]
- Hübschle, C.B.; Sheldrick, G.M.; Dittrich, B. ShelXle: A Qt graphical user interface for SHELXL. J. Appl. Crystallogr. 2011, 44, 1281–1284. [Google Scholar] [CrossRef] [PubMed]













| Particles | Average Pore Size [nm] | Total Pore Volume [cm3/g] | BET Surface Area [m2/g] |
|---|---|---|---|
| SBA-15 | 7.0 | 0.75 | 570 |
| 3@SBA-15 | 6.8 | 0.64 | 441 |
© 2019 by the authors. Licensee MDPI, Basel, Switzerland. This article is an open access article distributed under the terms and conditions of the Creative Commons Attribution (CC BY) license (http://creativecommons.org/licenses/by/4.0/).
Share and Cite
Wuillemin, M.A.; Reber, M.J.; Fox, T.; Spingler, B.; Brühwiler, D.; Alberto, R.; Braband, H. Towards 99mTc- and Re-Based Multifunctional Silica Platforms for Theranostic Applications. Inorganics 2019, 7, 134. https://doi.org/10.3390/inorganics7110134
Wuillemin MA, Reber MJ, Fox T, Spingler B, Brühwiler D, Alberto R, Braband H. Towards 99mTc- and Re-Based Multifunctional Silica Platforms for Theranostic Applications. Inorganics. 2019; 7(11):134. https://doi.org/10.3390/inorganics7110134
Chicago/Turabian StyleWuillemin, Michel A., Michael J. Reber, Thomas Fox, Bernhard Spingler, Dominik Brühwiler, Roger Alberto, and Henrik Braband. 2019. "Towards 99mTc- and Re-Based Multifunctional Silica Platforms for Theranostic Applications" Inorganics 7, no. 11: 134. https://doi.org/10.3390/inorganics7110134
APA StyleWuillemin, M. A., Reber, M. J., Fox, T., Spingler, B., Brühwiler, D., Alberto, R., & Braband, H. (2019). Towards 99mTc- and Re-Based Multifunctional Silica Platforms for Theranostic Applications. Inorganics, 7(11), 134. https://doi.org/10.3390/inorganics7110134

