Abstract
In this review we cover some aspects of metal–salophen and metal–salen complex chemistry related to their supramolecular attitude. We examined under the lens of the non-covalent interactions their potential to behave as building blocks for auto-assembled architectures, supramolecular receptors and catalysts, although this last point has been only briefly mentioned.
1. Introduction
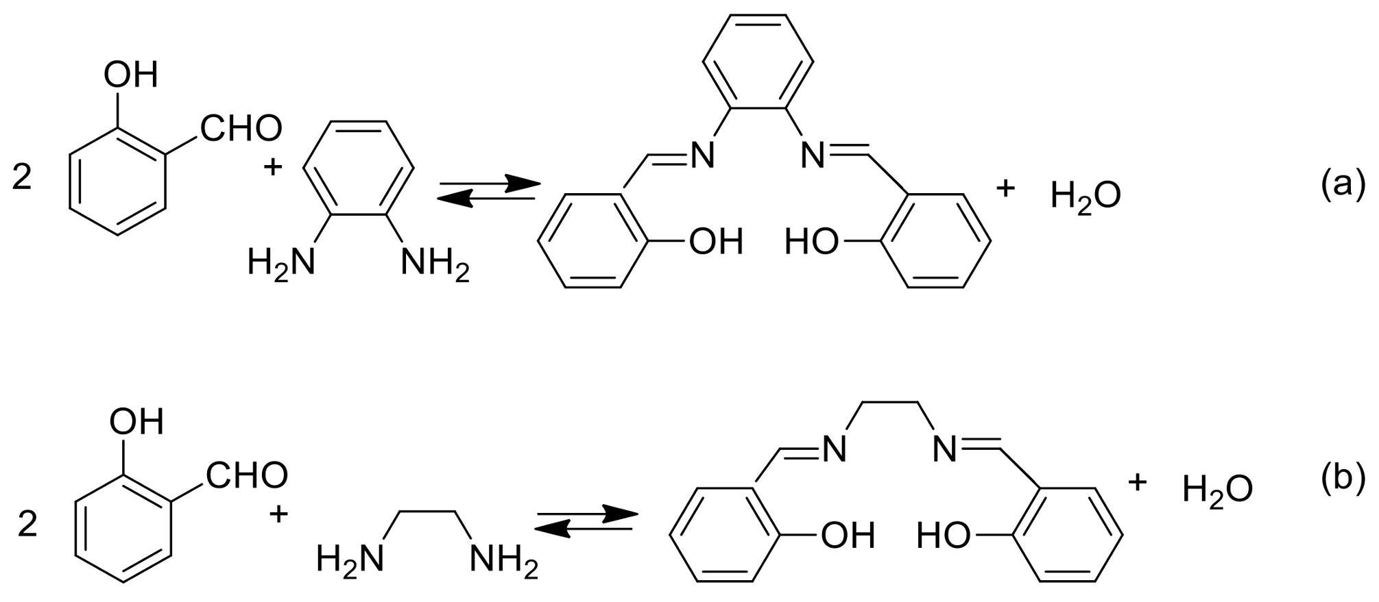
Salophens (N,N-bis(salicylidene)phenylenediamine) and salens (N,N-bis(salicylidene)ethylenediamine) are classes of organic compounds extensively used as ligands in coordination chemistry [1]. They represent one of the oldest category of ligands, the first salen complex being described by Pfeiffer et al. in 1933 [2]. In the years such derivatives have attracted much attention and various systems have been successfully developed. A major advantage of these compounds is that they are readily accessible from cheap precursors through the condensation of a diamine (o-diphenylamines for salophen and aliphatic diamines for salen) with two equivalents of salicylaldehyde derivatives to obtain tetradentate Schiff bases (Scheme 1). The N2O2 coordination sphere reproduces the setting found for many metals in metalloproteins, since these ligands are structurally similar to porphyrins, but much easier to synthesize. Further, the possibility of incorporating two different benzylidene moieties and diamine backbones [3] provides access to a large variety of salen/salophen ligands that, after deprotonation of both phenolic oxygens, can form rather stable complexes with many transition and main group metals, with different oxidation states, coordination numbers and geometries that have shown interesting applications in many fields [4,5,6,7,8,9]. Recently also an extensive use of metal complexes with salen and salophen ligands has been reported in the design of new magnetic materials [10,11].
Scheme 1.
General synthesis of salophen (a) and salen (b) ligands.
The presence of the rigid subunits, i.e., the ligand skeleton comprising three aromatic units in the case of salophen and often of cyclohexyl ring for salen ligands, and the metal that, with its coordination geometry, masters substrate’s approach, provides therefore valuable assets for supramolecular design. Moreover, the possibility to introduce a large variety of substituents on the salyciladehyde rings and on the diamine unit, allows the introduction of secondary binding sites that can enhance the selectivity of the process through the establishment of weak interactions with the substrate.
Here in this short review we will try to highlight the attitude that a large number of metal–salophen and metal–salen complexes show to act as supramolecular platforms. The major focus is directed to metal–salophen complexes, although metal–salens will be also considered.
2. A Brief Survey
The first example that can be easily interpreted through the lens of weak interactions is the well-known Jacobsen–Katzuki enantioselective epoxidation of cis-substituted olefins by using a chiral Mn-salen catalyst and a stoichiometric oxidant such as sodium hypochloride, NaOCl, Figure 1 [12,13].
Figure 1.
Jacobsen–Katsuki epoxidation. Adapted with permission from Adv. Synth. Catal. 2002, 344, 131–147. Copyright (2002) Wiley.
The metal, i.e., Manganese, coordinated to Schiff base can transmit chiral information inducing subtle conformational effects, while high-stereoselectivity can be achieved during the reaction by controlling the direction of the substrate approach (Figure 2).
Figure 2.
Alternative trajectories of the approaching olefin to the metal. Adapted with permission from Adv. Synth. Catal. 2002, 344, 131–147. Copyright (2002) Wiley.
The fact is that salen ligands coordinate tetravalently on a single plane, but this does not mean that the ligand adopts a planar asset. The five-ring created by ethylendiamine and the central metal ion can adopt a half-chair conformation, an envelope conformation or a slightly distorted form of one of these (Figure 3) [14]. This means that the possible conformation is either a stepped one (A and B), an umbrella (C) or a slightly distorted form of either [15]. The stepped conformation is chiral, but the umbrella is achiral. Though stereogenic centres are generally placed in the diamine moiety, it is established that indirect conformational effects influence the chiral information transfer too. In salen complexes the absence or presence of an axially coordinating ligand can in general either reduce or enhance the folding of the metal complex, further influencing the transmission of chiral information. This is also supported by theoretical calculations showing that axial donor ligands (Figure 3), which modify the conformation of the complex, push the metal closer to the substrate, thus enhancing the enantioselectivity of the process [16].
Figure 3.
Stepped conformations of metal salen complexes A and B, and the umbrella conformation C. Adapted with permission from Chem. Soc. Rev. 2004, 33, 437–444. Copyright (2004) Royal Society of Chemistry.
Therefore, such feature can be looked at as a supramolecular effect since the presence, or the absence, of proper substituents can dramatically influence the enantioselectivity of the reaction.
The strategy of having stereogenic centers on the diamine skeleton and the introduction of bulky groups as substituents, can enhance the conformational effects and work in a synergistically or conversely way. The presence of binaphthyl moieties in derivatives 1 and 2 [17], (Figure 4) [12], brings an aryl group close to the metal increasing the polar π-interaction occurring between such group and an apical ligand, while the chelating diamine unit imposes ligand folding. Hence both these effects can be considered decisive in the transmission of chiral information, both being weak interactions not covalent in nature.
Figure 4.
Catalysts for asymmetric epoxidations. Adapted with permission from Adv. Synth. Catal. 2002, 344, 131–147. Copyright (2002) Wiley.
Another kind of conformational effects, caused by the presence of the metal, master the properties of uranyl–salophen complexes. In these compounds the dication UO22+ has a well-defined preference for pentagonal bipyramidal coordination, with the two oxygens in the apical positions. After coordination of the four donor groups of the salophen ligand, the fifth equatorial site remains available to bind an additional group having a hard donor site [18]. In the absence of such guests, this site is generally occupied by solvent molecules. Some years ago, we described non-symmetrically substituted uranyl–salophen complexes as inherently chiral [19]. This because, in these derivatives, although the metal ion is not a stereogenic center, its steric bulkiness dissymmetrises the entire structure, thus introducing a curvature in an otherwise planar ligand. The large ionic radius of the uranium, in the uranyl cation, forces the ligand to be highly puckered, as shown by the computer calculated structure of the uranyl–salophen unit (Figure 5) [20], which is consistent with available X-ray crystallographic data [20,21].
Figure 5.
Computer calculated structure of the uranyl–salophen unit. Reproduced with permission from Chem. Commun. 2003, 2178–2179. Copyright (2003) Royal Society of Chemistry.
We found that in non-symmetrically substituted uranyl–salophen complexes fast enantiomerization occurs due to the existence of a flipping motion that rapidly inverts the curvature and keeps the two enantiomers in equilibrium. The flipping can be significantly slowed by introducing bulky substituents in suitable positions [20]. For example, the introduction of a phenyl substituent on one of the imine carbon atoms affords a racemization half-life of such compound of about 17 h at 25 °C [20]. In the search of robust, configurationally stable complexes to be used as enantioselective receptors and catalysts, uranyl–salophen compounds with polymethylene bridges of suitable length, connecting the para positions with respect to the phenoxide oxygens, were synthesized [22]. Inclusion of the rigid unit 4,4′-(1,4-phenylenediisopropylidene)bisphenol (bisphenol P) in the chain, 3 (Figure 6), lead to an enantiomerization half-life of 61 days at room temperature, providing the possibility of using it as an enantioselective receptor [23].
Figure 6.
Structure of compound 3. Adapted with permission from J. Org. Chem. 2008, 73, 6108–6118. Copyright (2008) American Chemical Society.
The feasibility of using quite simple uranyl–salophen complexes as enantioselective receptors, while taking advantage of their inherent chirality based on conformational issues, has been tested by an ad hoc developed NMR protocol that allows a fast, quantitative determination of host enantioselectivity directly from its racemic mixture [24].
As previously mentioned, in the non-symmetrically substituted uranyl–salophen complex 4 (Figure 7), the large radius of the uranium atom forces the salophen ligand to deviate from planarity and, as a consequence, this derivative is chiral due to the lack of any element of symmetry. Furthermore, the pendent phenyl group acts as an additional supramolecular interaction site, while the methyl group introduces more strict shape requirements by establishing unfavorable interactions with the bound substrate. Data on the enantioselective binding of 4 toward α-methylbenzylamine, 5, methyl-p-tolylsulfoxide, 6, and N,N-dimethyl-α-methylbenzylammonium chloride 7 (Figure 8), are reported in Table 1 [24]. In the case of 7, chloride ion occupies the fifth coordination site of the uranyl, forming a large anionic complex with the uranyl–salophen receptor.
Figure 7.
Structure of compound 4. Adapted with permission from Chem. Eur. J. 2004, 10, 3301–3307. Copyright (2004) Wiley.
Figure 8.
Structure of compounds 5–7. Adapted with permission from Chem. Eur. J. 2004, 10, 3301–3307. Copyright (2004) Wiley.
Table 1.
Association constant pairs [M−1] for diastereomeric complexes between host 4 and guests 5, 6 and 7 at 25 °C. Adapted with permission from Chem. Eur. J. 2004, 10, 3301–3307. Copyright (2004) Wiley.
The enantioselectivities obtained are encouraging and the NMR protocol used to establish them is a fast and quite general way of performing a preliminary screening of the recognition capability of chiral receptors directly from their racemic mixture.
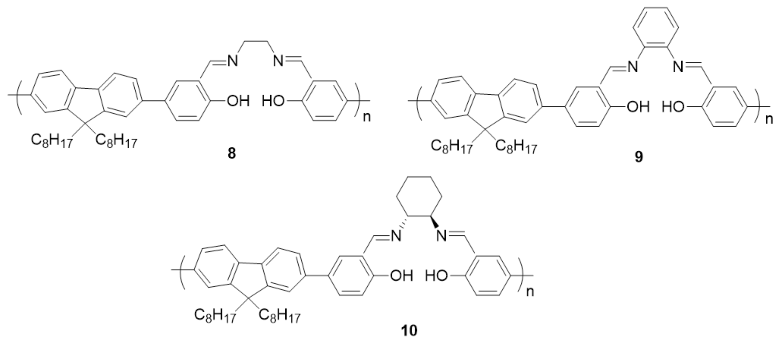
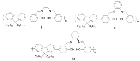
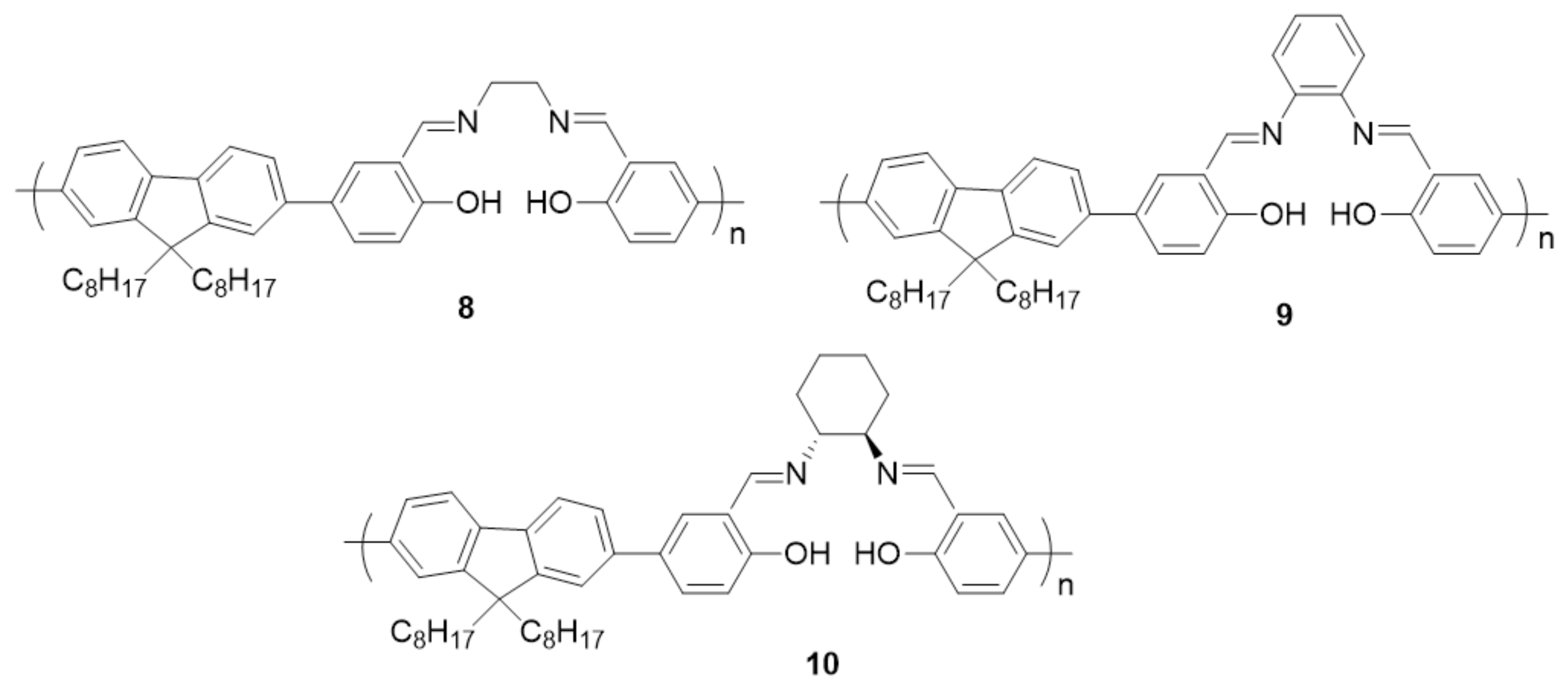
Another kind of selectivity deriving from the stereochemistry of the coordination sites of the salen and salophen ligand is the one related to the spatial orientation of the donor atoms in the binding site [25]. If the geometry of the coordination site matches with that of the metal ion, one may expect high selectivity toward it, while no selectivity will be obtained if this does not happen, in spite of the intrinsic capability of the ligand to bind the metal. This is the case of recently reported (A–B)n-type salen polymeric ligands 8–10 (Figure 9) [25] in which the A-part is a fluorophore based on the fluorene moiety, and the B-part is the ligand with four (ONNO) coordinating donor atoms oriented differently.
Figure 9.
Structures of polymeric ligands 8–10. Adapted with permission from New J. Chem. 2015, 39, 9207–9214. Copyright (2015) Royal Society of Chemistry.
Among these, compound 10 results highly selective and sensitive to Zn2+ ions through a turn-on fluorescence phenomenon. In such derivative the four donating atoms do not lay in a plane and, moreover, due to the presence of a rigid cyclohexane system, N–N bond rotation is not allowed. The non-planarity of the coordination site, leading to a nearly tetrahedral arrangement, makes it more selective for Zn2+ ions than for Cu2+, Fe2+ and Co2+. Such suitable tetrahedral binding mode is not instead achieved by the other two polymers. Thus, selectivity is ascribable to the specific binding geometry of the ONNO site imposed by the presence of the cyclohexyl moiety in the ligand skeleton [25].
The structure of the bridging 1,2-diamine is also responsible for the formation of various supramolecular architectures and nanostructures. We need to mention at this point that there is a quite strong tendency of metal salen and salophen complexes to aggregate by intermolecular interactions between the metal of one unit and the phenolic oxygen of a second unit, in solution and in the solid state [26,27,28]. Nevertheless, in the presence of strong coordinating species, aggregation is prevented. An observable sign of the ongoing disaggregation is the dramatic enhancement of fluorescence emission in Zn–salophen derivatives [29]. Clearly the aggregation properties of the complexes are related to the Lewis acidic character of the metal center which, in turn, is deeply connected to the nature of the bridging diamine. So, a variety of supramolecular architectures, mesomorphic, and self-assembled nanostructures have been found, which are the result of intermolecular Zn···O axial interactions involving pentacoordinated square-pyramidal Zn(II) geometries (Figure 10) [26].
Figure 10.
Formation of dimers in Zn–salophen complexes through Zn∙∙∙O axial interactions. Adapted with permission from J. Am. Chem. Soc. 2012, 134, 7186–7192. Copyright (2012) American Chemical Society [26].
Recently it has been reported the complex derived from 4-methoxysalicylaldehyde and cis-1,2-diaminocyclohexane, 11 [30], and its behavior has been compared with that of complexes, 12, derived from enantiopure (1S,2S)-(+)- or (1R,2R)-(−)-trans-1,2-diaminocyclohexane (Figure 11) [31,32].
Figure 11.
Structures of compounds 11–12. Sources: (a) Adapted with permission from Dalton Trans. 2015, 44, 13040−13048. Copyright (2015) Royal Society of Chemistry and (b) from Inorganics, 2018, 6, 8.
While in the case of cis an asymmetric dimeric aggregate with a typical Zn(II) pentacoordination has been found (Figure 12) [30], the complexes derived from the enantiopure (1S,2S)-(+)- or (1R,2R)-(−)-trans-1,2-diaminocyclohexane involve the existence of various species in solution [32]. Such different performance evidences the influence of the defined stereochemistry of the chelate cis-1,2-diaminocyclohexane bridge that leads to a very rigid backbone of the dimeric aggregate [30].
Figure 12.
The dimer backbone of 11 (a); the asymmetric unit with the solvent molecules, and reported atom numbering for non-hydrogen atoms only (b). Thermal displacement ellipsoids are drawn at the 40% probability level while hydrogen atoms are represented as spheres of arbitrary radius of 0.20 Å. Adapted with permission from Dalton Trans. 2015, 44, 13040−13048. Copyright (2015) Royal Society of Chemistry.
An extra complex synthesized in the same group and derived from the enantiopure trans-1,2-cyclopentanediamine and 4-methoxysalicylaldehyde (1R,2R), 13, behaves very differently from the related trans-1,2-diaminocyclohexane, 12 (Figure 13). This is attributed to a different coordination mode around the Zn(II) metal center as an alternative to the typical intermolecular Zn···O interactions, further demonstrating the effect of the binding site defined stereochemistry on its coordination geometry and aggregation properties [33].
Figure 13.
Structure of compound 13. Adapted with permission from Inorg. Chem. 2017, 56, 14206–14213. Copyright (2017) American Chemical Society.
It is well recognized that supramolecular self-assembly of molecules into 1D nanostructures is an important task for developing future nanoscale technologies [34]. In this context a first example of nanofiber formation promoted by Zn···O interactions is that reported by MacLachlan and his group in 2007 [35]. A series of salophen complexes 14a–20b (Figure 14), having peripheral linear and branched alkoxy groups, were prepared. It was found that derivatives 14a–18a form luminescent gels in aromatic solvents such as benzene, toluene, and xylene.
Figure 14.
Structures of compounds 14a–20b. Adapted with permission from Angew. Chem. Int. Ed. 2007, 46, 7980–7983. Copyright (2007) Wiley.
Transmission electron microscopy (TEM) showed that complexes 14a–18a, when cast from methanol, all form 1D fibers that can further assemble into bundles. Authors claim that the 1D assembly involves Zn···O interactions rather than hydrogen-bonding or π–π interactions between the salophen complexes. Instead the work performed by our group on a Zn(II)–salophen derivative functionalized with L-valine residues, 21 (Figure 15) [28], able to gelate in acetonitrile by self-assembly into helical long fibers through hydrogen bond formation between the residues, points out that a major contribution to the thermodynamic stabilization of the gel comes from the existence of π–π stacking interactions, while Zn···O contacts seem to be less important. This because the addition of certain amines able to axially coordinate to the zinc metal center (e.g., quinuclidine) [36] does not prevent gel formation. Indeed, only pyridine inhibits gel formation and this because pyridine is the only one able to compete, through its insertion between layers, with the π–π stacking interactions.
Figure 15.
Structure of compound 21. Adapted with permission from RSC Adv. 2016, 6, 57306–57309. Copyright (2016) Royal Society of Chemistry.
Kleij and coworkers reported the unique self-assembly behavior of bis-Zn(salophen) 22–25 (Figure 16). They show strong self-assembly behavior through linking coordination motifs that are fundamentally different from those usually found for the self-assembly of mononuclear Zn–salophens [26]. This happens both in solution as well as at the solid–liquid interface. Oligomeric (Zn–O)n coordination motifs are established within the assembly and this is extremely different from that of mononuclear Zn(salphen) analogues that form dimeric structures having a typical Zn2O2 central unit, as previously illustrated in Figure 10.
Figure 16.
Structure of compounds 22–25. Reproduced with permission from J. Am. Chem. Soc. 2012, 134, 7186–7192. Copyright (2012) American Chemical Society.
The same group showed also that compound 26 (Figure 17) can assemble into neuron-like networks of microrings interconnected with nano thin strings. Compound 26 forms a 1D coordination polymer, whose fibers are elastic enough to fold into toroidal globules upon solvent evaporation, while being able to connect separate chains into extended networks [37].
Figure 17.
Schematic representation of bis-Zn(salophen) complex 26 ((a) purple hexagons highlight the key phenyl substituents) and self-assembled structures, obtained by drop-casting of complex 26 from various solvents ((b) the scale bars indicate 5 mm). Adapted with permission from Soft Matter 2018, 14, 1181–1194. Copyright (2018) Royal Society of Chemistry.
The intermolecular interactions displayed by this type of Schiff base building blocks are the result of various contacts including intermolecular M–O coordination patterns, van der Waals and/or Coulombic anisotropic interactions with different possible orientations controlled by the dielectric properties of the solvents used (dichloromethane, DCM; tetrahydrofuran, THF; or toluene) (Figure 17). Thus, such kind of studies evidence that it is possible to modulate molecular self-assembly properties of Schiff base scaffolds to obtain more complex, controlled nanoarchitectures.
Metallo salen and salophen complexes are popular bioinorganic model compounds and functional enzyme mimics. Their biological activity and rich photophysical properties have been investigated focusing on their potential applications as therapeutics and biosensors [9]. It has been reported that several salen- and salophen-based transition metal complexes may interact with or modify DNA. Binding to DNA and DNA modifications performed by such complexes can be controlled by the charge on the salen unit and by the selection of the central metal ion [38] providing in this way new insight into the field of DNA nanotechnology.
Human telomeric DNA consists of hundreds of 5′-TTAGGG repeat sequence TTAGGG, that end in an overhanging single-stranded of around 200 nucleobases [39]. This can fold into guanine-rich quadruplex (G-quadruplex) structures under physiological conditions. The activity of telomerase enzyme is much higher in human cancer cells and this is the reason why its inhibition has been identified as an important target for cancer chemotherapy. The inhibition can be obtained through the stabilization of the quadruplex structures performed by small molecules whose features are: (1) a π-delocalized system that is capable to stack on the face of a guanine quartet; (2) a partial positive charge that is able to stay in the center of the quartet, increasing stabilization through the substitution of the cationic charge of the potassium or sodium that normally occupies that site; (3) the presence of positively charged substituents capable to interact with the grooves and loops of the quadruplex and with the negatively charged backbone phosphates. Over ten years ago, the first example of a G quadruplex binder based on metal salophens was reported, 27 (Figure 18) [40].
Figure 18.
Structure of compounds 27a and 27b. Adapted with permission from J. Am. Chem. Soc. 2006, 128, 5992–5993. Copyright (2006) American Chemical Society.
The planar nickel(II) complexes 27a and 27b are excellent G-quadruplex DNA stabilizers. The reason is a combination of structural and electrostatic factors. The planar arrangement of the salophen rings, mastered by coordination to nickel, and their appropriate spacing make the complexes perfect to stack on top of guanine tetrads. Moreover, the protonated piperidine substituents interact with the grooves and loops of the quadruplex [41].
3. The Ability to Behave as Supramolecular Receptors
After illustrating some intriguing aspects of the chemistry of metal–salen and metal–salophen derivatives related to supramolecular assembly phenomena, we wish to highlight their potential to act as supramolecular receptors.
As already mentioned, the majority of metal–salophen complexes can be described as immobilized Lewis acids able to coordinate Lewis bases by accommodating them in the apical position or in the equatorial one, whenever present. Hence the selectivity of binding can benefit from the predictable directionality of coordinative interactions and from a well-defined structural preorganization of the receptor. For example, uranyl–salophen complexes can bind molecules with donor groups by means of the fifth equatorial site that remains still available after the coordination of the salophen ligand to the UO2+2 ion. Therefore, high is their capability to act as receptors for anionic guests [42]. The introduction of additional groups, able to interact in a favorable manner with the guest, provides a second binding site that can help not only the affinity, but, in many cases, also the selectivity of the process enhancing the supramolecular attitude of such derivatives. Some examples are here reported in which simple modifications of the ligand skeleton introduce elements leading to selective recognition (Figure 19).
Figure 19.
Structures of compounds 28–31. Adapted with permission (compound 28) from J. Am. Chem. Soc. 1994, 116, 4341–4351. Copyright (1994) American Chemical Society. (b) Adapted with permission (compound 29) from New J. Chem. 2008, 32, 1113–1116. Copyright (2008) Royal Society of Chemistry. (c) Adapted with permission (compound 30) from J. Am. Chem. Soc. 2005, 127, 3831–3837. Copyright (2005) American Chemical Society. (d) Adapted with permission (compound 31) from Chem. Eur. J. 2016, 22, 18714–18717. Copyright (2016) Wiley.
In compound 28 the contribution to phosphate (H2PO4- as tetrabutylammonium salt in DMSO) complexation given by the appended arm through H-bond interaction, is clearly reflected in the marked downfield shifts Δδ = 0.7–0.9 ppm of the NH signals. Under the same conditions, complexation with chloride, sulphate, thiocyanate and perchlorate is not observed [43].
A remarkable specificity for fluoride anion in DMSO solution is achieved by receptor 29 in which the space surrounding the metal center is delimited by a short bridge featuring a diphenylmethane unit. From the X-ray crystal structure of its methanol solvate results that the cavity where the UO22+-bound methanol is hosted has a 5.3 × 4.5 Å rectangular shape, which can obviously accommodate a fluoride anion, but it is not spatially suitable for linear coordination in the equatorial plane of even an anion as small as cyanide. Indeed, such selectivity, when compared with those relative to a large variety of anion competitors, is no less than 105 higher [44].
Compound 30, endowed with aromatic pendant arms, have been used as a ditopic receptor for alkali metal [45] and quaternary ammonium halide [46] contact ion pairs in chloroform. As usually, recognition of hard anions, chloride, bromide etc., is ensured by strong binding to the hard Lewis acidic uranyl center, whereas cation–π interactions can be established between the aromatic side-arms and the cation partner of the ion pair. The contribution to the binding of cation–π interactions is clearly pointed out by the increase of binding constants when the appended phenyl is replaced by a more extended aromatic structure such as a naphthyl unit. This has been confirmed also in the solid state by X-ray analysis [45,46].
Compound 31, characterized by the presence of a perfluorinated appended aromatic arm located much closer to the metal center highlights the stabilizing contribution, both in solution and in the solid state, of the weak and often elusive anion–π interaction to halide recognition. Indeed, the presence of the perfluorophenyl unit, acting as π-acceptors, further stabilizes the formation of the host-guest complex between the receptor and halides in chloroform solution. This has been confirmed unequivocally also by X-ray analysis, (Figure 20) [47].
Figure 20.
CPK presentation of X-ray crystal structures of [31@Cl] (a) and [31@Br] (b). Adapted with permission (compound 31) from Chem. Eur. J. 2016, 22, 18714–18717. Copyright (2016) Wiley.
Small structural modifications of the ligand skeleton in zinc–salophen complexes also help unravelling their supramolecular vocation. As already mentioned the molecular structure of zinc–salophens reported in the literature features the zinc atom in a five-coordinate square pyramidal geometry, in which the ligand occupies the basal plane and a solvent molecule occupies the apical position. The solvent can be easily replaced by a donor group since Zn has an established Lewis acidic character, which allows strong binding of suitable donor ligands at the axial coordination site [48].
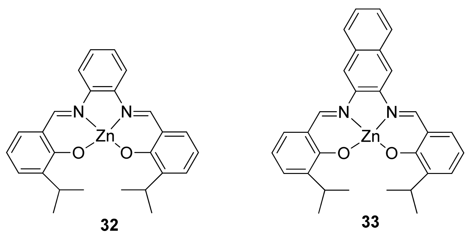
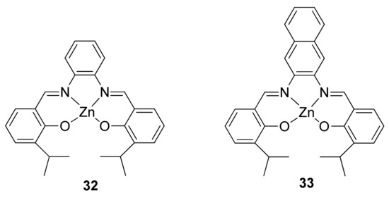
We synthesized two different Zn–salophen derivatives 32–33 (Figure 21) and used them for the molecular recognition of inorganic phosphates PO43−, P2O74−, and P3O105−, and nucleotides adenosine 5′-monophosphate, AMP2−, adenosine 5′-diphosphate, ADP3−, and adenosine 5′-triphosphate, ATP4−, in ethanol [49]. Both inorganic phosphate and nucleotide anions are bound by these complexes, but only the association to nucleotides produces relevant changes in the spectral properties showing a ADP3− > ATP4− >AMP2− selectivity. The observed trend can be related to the distance occurring between the phosphate group hosted in the zinc apical coordination site and the adenosine moiety providing the best simultaneous interaction of the metal with the phosphate, and the π–π stacking of adenine with the aromatic region of the receptor [49].
Figure 21.
Structure of compounds 32 and 33. Adapted with permission from Inorg. Chem. 2009, 48, 6229–6235. Copyright (2009) American Chemical Society.
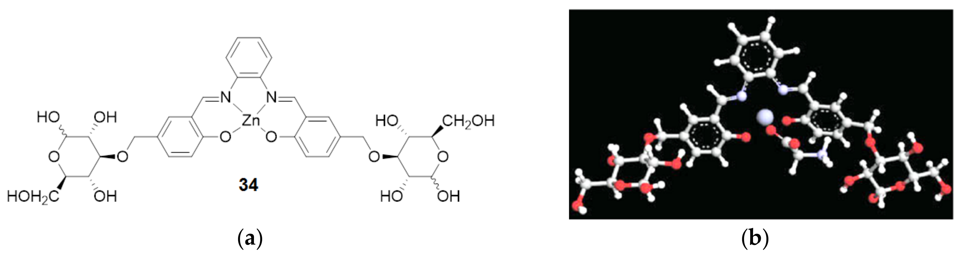
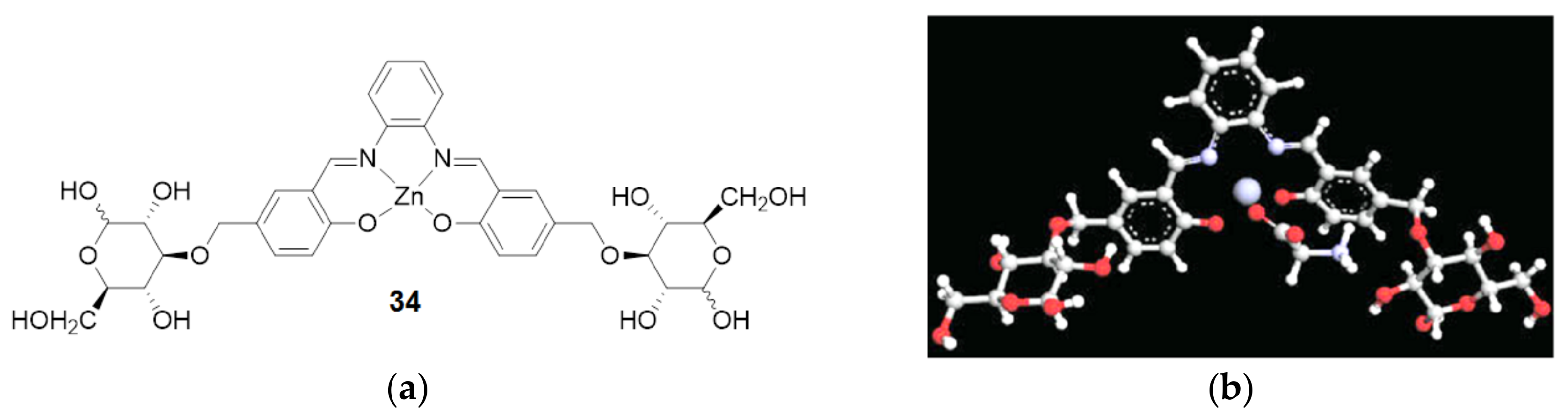
Zinc–salophen derivative 34 with appended D-glucose moieties in the 5,5′ positions (Figure 22), shows strong affinity toward carboxylate anions in water, association constants higher than 106 M−1 [50]. Therefore, its ability to bind aminoacids was tested too. The association constants measured were in all cases much lower than those measured for simple carboxylate anions, suggesting that the presence of the positively charged ammonium group decreases the strength of binding.
Figure 22.
Structure of compound 34 (a); ball and stick representation of the global minimum geometry of the 34@glycine complex (b). Adapted with permission from Chirality 2009, 21, 104–109. Copyright (2008) Wiley-Liss, Inc.
The complexation of aminoacids appears to be also strongly dependent on the aminoacid structure: the bulkier the substrate, the lower affinity is measured, see Table 2.
Table 2.
Association constants (K, M−1) for complexes between compound 34 and selected aminoacids and carboxylate anions at 25 °C. Adapted with permission from Chirality 2009, 21, 104–109. Copyright (2008) Wiley-Liss, Inc.
The ability to establish two hydrogen bonds between the ammonium group of the aminoacid and two oxygen atoms of one of the two D-glucose moieties, strongly reduces the conformational flexibility of the host–guest complex and forces the bound substrate in a position in which the size and the shape of the side chain have a remarkable effect on the strength of the complex (Figure 22) and Table 2. This is fully supported by the finding that in all cases the L and D enantiomers of a given aminoacid are bound with different association constants. The high selectivity, KL/KD ratio of 9.6, found in the case of phenylalanine, has been explained by postulating a third point of contact between the phenyl ring and the aromatic surface of the ligand [50].
4. Towards Conclusions
In this work we covered some aspects of metal–sal(oph)en complex chemistry, i.e., those related to their supramolecular attitude. We examined under the lens of the non-covalent interactions their potential to behave as building blocks for auto-assembled architectures, supramolecular receptors and catalysts, although this last point has been only briefly mentioned.
In general catalysis can be considered a supramolecular phenomenon since all the key steps of a catalytic cycle are usually triggered by supramolecular interactions. Such interactions play their main role in the recognition of substrates, in the orientation and assembly of the reactive species to generate new species. Thus, transition states of catalytic cycles can definitely be considered supramolecular adducts. In this perspective also organocatalysis can be treated as a supramolecular process.
Hence, we wish to conclude here with the example of a uranyl–salophen catalyst that displays the appreciable features of a supramolecular catalyst, resembling those found in Nature.
Compound 35 (Figure 23) effectively catalyses with high turnover the reaction of benzoquinone with 1,3-cyclohexadiene, (Scheme 2), while its homologous 36, without the appended aromatic arm, is completely inactive [51]. Moreover, no binding affinity is displayed by 35 toward both reactants and reaction products. A simple and general analysis of catalytic power and transition state stabilization tells that the binding of the transition state produces catalysis, whereas inhibition comes out from the binding of reactants and/or products [52]. In the presence of 35 we do observe catalysis and this indicates that the catalyst should have a high affinity for the transition state accompanied by negligible affinities for the reactant(s) and product(s). Such behavior is indeed that of an ideal supramolecular catalyst that interacts only with the transition state of the reaction, and does not display any product inhibition.
Figure 23.
Structure of compounds 35 and 36. Adapted with permission from Chem. Commun. 2005, 3867–3869. Copyright (2005) Royal Society of Chemistry.
Scheme 2.
Reaction of benzoquinone with 1,3-cyclohexadiene catalyzed by uranyl–salophen derivative 36. Adapted with permission from Chem. Commun. 2005, 3867–3869. Copyright (2005) Royal Society of Chemistry.
To conclude we showed that even extremely well-explored molecules such as metal–salen and –salophen complexes can provide very interesting opportunities for supramolecular studies through the exploitation of several weak, non-covalent interactions. The supramolecular attitude of these scaffolds makes them perfect candidates for a series of important applications especially in the field of materials [53,54] and biological studies [55,56,57].
Author Contributions
Both authors have contributed equally to the writing of this manuscript.
Acknowledgments
This work has been supported by Progetti di Ricerca 2016, Università La Sapienza.
Conflicts of Interest
The authors declare no conflict of interest.
References
- Vigato, P.A.; Tamburini, S. The challenge of cyclic and acyclic Schiff bases and related derivatives. Coord. Chem. Rev. 2004, 248, 1717–2128. [Google Scholar] [CrossRef]
- Pfeiffer, P.; Breith, E.; Lűbbe, E.; Tsumaki, T. Tricyclische orthokondensierte Nebenvalenzringe. Eur. J. Org. Chem. 1933, 503, 84–130. [Google Scholar] [CrossRef]
- Campbell, E.J.; Nguyen, S.T. Unsymmetrical salen-type ligands: High yield synthesis of salen-type Schiff bases containing two different benzaldehyde moieties. Tetrahedron Lett. 2001, 42, 1221–1225. [Google Scholar] [CrossRef]
- Zhang, W.; Loebach, J.L.; Wilson, S.R.; Jacobsen, E.N. Enantioselective epoxidation of unfunctionalized olefins catalyzed by salen manganese complexes. J. Am. Chem. Soc. 1990, 112, 2801–2803. [Google Scholar] [CrossRef]
- Dalla Cort, A.; Pasquini, C.; Schiaffino, L. Nonsymmetrically Substituted Uranyl–Salophen Receptors: New Opportunities for Molecular Recognition and Catalysis. Supramol. Chem. 2007, 19, 79–87. [Google Scholar] [CrossRef]
- Omura, K.; Uchida, T.; Irie, R.; Katsuki, T. Design of a robust Ru(salen) complex: Aziridination with improved turnover number using N-arylsulfonyl azides as precursors. Chem. Commun. 2004, 2060–2061. [Google Scholar] [CrossRef] [PubMed]
- Puglisi, A.; Tabbi, G.; Vecchio, G. Bioconjugates of cyclodextrins of manganese salen-type ligand with superoxide dismutase activity. J. Inorg. Biochem. 2004, 98, 969–976. [Google Scholar] [CrossRef] [PubMed]
- Doctrow, S.R.; Huffman, K.; Marcus, C.B.; Tocco, G.; Malfroy, E.; Adinolfi, C.A.; Kruk, H.; Baker, K.; Lazarowych, N.; Mascarenhas, J.; et al. Salen–Manganese Complexes as Catalytic Scavengers of Hydrogen Peroxide and Cytoprotective Agents: Structure-Activity Relationship Studies. J. Med. Chem. 2002, 45, 4549–4558. [Google Scholar] [CrossRef] [PubMed]
- Erxleben, A. Transition metal salen complexes in bioinorganic and medicinal chemistry. Inorg. Chim. Acta 2017, 40–57. [Google Scholar] [CrossRef]
- Sukhikh, T.S.; Vostrikova, K.E. Assembly of Mn(III) Schiff Base Complexes with Heptacyanorhenate (IV). Inorganics 2017, 5, 59. [Google Scholar] [CrossRef]
- Pinkowicz, D.; Southerland, H.I.; Avendaño, C.; Prosvirin, A.; Sanders, C.; Wernsdorfer, W.; Pedersen, K.S.; Dreiser, J.; Clérac, R.; Nehrkorn, J.; et al. Cyanide single-molecule magnets exhibiting solvent dependent reversible “on” and “off” exchange bias behavior. J. Am. Chem. Soc. 2015, 137, 14406–14422. [Google Scholar] [CrossRef] [PubMed]
- Katsuki, T. Chiral Metallosalen Complexes: Structures and Catalyst Tuning for Asymmetric Epoxidation and Cyclopropanation. Adv. Synth. Catal. 2002, 344, 131–147. [Google Scholar] [CrossRef]
- Katsuki, T. Mn–salen catalyst, competitor of enzymes, for asymmetric epoxidation. J. Mol. Catal. 1996, 113, 87–107. [Google Scholar] [CrossRef]
- Katsuki, T. Unique asymmetric catalysis of cis-β metal complexes of salen and its related Schiff-base ligands. Chem. Soc. Rev. 2004, 33, 437–444. [Google Scholar] [CrossRef] [PubMed]
- Calligaris, M.; Nardin, G.; Randaccio, L. Structural aspects of metal complexes with some tetradentate schiff bases. Coord. Chem. Rev. 1972, 7, 385–403. [Google Scholar] [CrossRef]
- Cozzi, P.G. Metal–Salen Schiff base complexes in catalysis: Practical aspects. Chem. Soc. Rev. 2004, 33, 410–421. [Google Scholar] [CrossRef] [PubMed]
- Sasaki, H.; Irie, R.; Hamada, T.; Suzuki, K.; Katsuki, T. Rational design of Mn–salen catalyst (2): Highly enantioselective epoxidation of conjugated cis olefins. Tetrahedron 1994, 50, 11827–11838. [Google Scholar] [CrossRef]
- Bandoli, G.; Clemente, D.A. Preparation and crystal structure of aqua[bis(2-hydroxyphenylimino)-ethanato-OO′NN′-]-dioxouranium. J. Chem. Soc. Dalton Trans. 1975, 612–615. [Google Scholar] [CrossRef]
- Dalla Cort, A.; Mandolini, L.; Pasquini, C.; Schiaffino, L. “Inherent chirality” and curvature. New J. Chem. 2004, 28, 1198–1199. [Google Scholar] [CrossRef]
- Dalla Cort, A.; Mandolini, L.; Palmieri, G.; Pasquini, C.; Schiaffino, L. Unprecedented detection of inherent chirality in uranyl–salophen complexes. Chem. Commun. 2003, 2178–2179. [Google Scholar] [CrossRef]
- Van Doorn, A.R.; Schaafstra, R.; Bos, M.; Harkema, S.; Van Eerden, J.; Verboom, W.; Reinhoudt, D.N. Molecular recognition of polar neutral molecules by metallomacrocycles: Synthesis, proton NMR spectroscopy, X-ray structure, electrochemistry, and ab initio calculations. J. Org. Chem. 1991, 56, 6083–6094. [Google Scholar] [CrossRef]
- Dalla Cort, A.; Mandolini, L.; Pasquini, C.; Schiaffino, L. Inherently Chiral Uranyl–Salophen Macrocycles: Computer-Aided Design and Resolution. J. Org. Chem. 2005, 70, 9814–9821. [Google Scholar] [CrossRef] [PubMed]
- Ciogli, A.; Dalla Cort, A.; Gasparrini, F.; Lunazzi, L.; Mandolini, L.; Mazzanti, A.; Pasquini, C.; Pierini, M.; Schiaffino, L.; Yafteh Mihan, F. Enantiomerization of Chiral Uranyl–Salophen Complexes via Unprecedented Ligand Hemilability: Toward Configurationally Stable Derivatives. J. Org. Chem. 2008, 73, 6108–6118. [Google Scholar] [CrossRef] [PubMed]
- Dalla Cort, A.; Miranda Murua, J.I.; Pasquini, C.; Pons, M.; Schiaffino, L. Evaluation of Chiral Recognition Ability of a Novel Uranyl-Salophen-Based Receptor: An Easy and Rapid Testing Protocol. Chem. Eur. J. 2004, 10, 3301–3307. [Google Scholar] [CrossRef] [PubMed]
- Bera, M.K.; Chakraborty, C.; Malik, S. How the stereochemistry decides the selectivity: An approach towards metal ion detection. New J. Chem. 2015, 39, 9207–9214. [Google Scholar] [CrossRef]
- Salassa, G.; Coenen, M.J.J.; Wezenberg, S.J.; Hendriksen, B.L.M.; Speller, S.; Elemans, J.A.A.W.; Kleij, A.W. Extremely Strong Self-Assembly of a Bimetallic Salen Complex Visualized at the Single-Molecule Level. J. Am. Chem. Soc. 2012, 134, 7186–7192. [Google Scholar] [CrossRef] [PubMed]
- Takao, K.; Ikeda, Y. Structural Characterization and Reactivity of UO2(salophen)L and [UO2(salophen)]2: Dimerization of UO2(salophen) Fragments in Noncoordinating Solvents (salophen = N,N′-Disalicylidene-o-phenylenediaminate, L = N,N-Dimethylformamide, Dimethyl Sulfoxide). Inorg. Chem. 2007, 46, 1550–1562. [Google Scholar] [CrossRef] [PubMed]
- Piccinno, M.; Angulo-Pachón, C.A.; Ballester, P.; Escuder, B.; Dalla Cort, A. Rational Design of a Supramolecular Gel Based on a Zn(II)–salophen Bis-dipeptide Derivative. RSC Adv. 2016, 6, 57306–57309. [Google Scholar] [CrossRef]
- Consiglio, G.; Failla, S.; Oliveri, I.P.; Purrello, R.; Di Bella, S. Controlling the molecular aggregation. An amphiphilic Schiff-base zinc(II)complex as supramolecular fluorescent probe. Dalton Trans. 2009, 10426–10428,. [Google Scholar] [CrossRef] [PubMed]
- Consiglio, G.; Oliveri, I.P.; Punzo, F.; Thompson, A.L.; Di Bella, S.; Failla, S. Structure and Aggregation Properties of a Schiff-Base Zinc(II) Complex Derived from cis-1,2-Diaminocyclohexane. Dalton Trans. 2015, 44, 13040–13048. [Google Scholar] [CrossRef] [PubMed]
- Consiglio, G.; Oliveri, I.P.; Failla, S.; Di Bella, S. Supramolecular Aggregation of a New Substituted Bis(salicylaldiminato)zinc(II) Schiff-Base Complex Derived from trans-1,2-Diaminocyclohexane. Inorganics 2018, 6, 8. [Google Scholar] [CrossRef]
- Consiglio, G.; Oliveri, I.P.; Failla, S.; Di Bella, S. Supramolecular Aggregates of Defined Stereochemical Scaffolds: Aggregation/Deaggregation in Schiff-Base Zinc(II) Complexes Derived from Enantiopure trans-1,2-Diaminocyclohexane. Inorg. Chem. 2016, 55, 10320–10328. [Google Scholar] [CrossRef] [PubMed]
- Oliveri, I.P.; Forte, G.; Consiglio, G.; Failla, S.; Di Bella, S. Aggregates of Defined Stereochemical Scaffolds: A Study in Solution of a Zinc(II) Schiff Base Complex Derived from the Enantiopure trans-1,2-Cyclopentanediamine. Inorg. Chem. 2017, 56, 14206–14213. [Google Scholar] [CrossRef] [PubMed]
- Kim, F.S.; Ren, G.Q.; Jenekhe, S.A. One-Dimensional Nanostructures of π-Conjugated Molecular Systems: Assembly, Properties, and Applications from Photovoltaics, Sensors, and Nanophotonics to Nanoelectronics. Chem. Mater. 2011, 23, 682–732. [Google Scholar] [CrossRef]
- Hui, J.K.-H.; Yu, Z.; MacLachlan, M.J. Supramolecular Assembly of Zinc Salphen Complexes: Access to Metal-Containing Gels and Nanofibers. Angew. Chem. Int. Ed. 2007, 46, 7980–7983. [Google Scholar] [CrossRef] [PubMed]
- Dalla Cort, A.; Mandolini, L.; Pasquini, C.; Rissanen, K.; Russo, L.; Schiaffino, L. Zinc–salophen complexes as selective receptors for tertiary amines. New J. Chem. 2007, 31, 1633–1638. [Google Scholar] [CrossRef]
- Pyrlin, S.V.; Hine, N.D.M.; Kleij, A.W.; Ramos, M.M.D. Self-assembly of bis-salphen compounds: From semiflexible chains to webs of nanorings. Soft Matter 2018, 14, 1181–1194. [Google Scholar] [CrossRef] [PubMed]
- Mandal, S.S.; Varshney, U.; Bhattacharya, S. Role of the Central Metal Ion and Ligand Charge in the DNA Binding and Modification by Metallosalen Complexes. Bioconjug. Chem. 1997, 8, 798–812. [Google Scholar] [CrossRef] [PubMed]
- Ou, T.-M.; Lu, Y.-J.; Tan, J.-H.; Huang, Z.-S.; Wong, K.-Y.; Gu, L.-Q. G-Quadruplexes: Targets in Anticancer Drug Design. ChemMedChem 2008, 3, 690–713. [Google Scholar] [CrossRef] [PubMed]
- Reed, J.E.; Arnal, A.A.; Neidle, S.; Vilar, R. Stabilization of G-Quadruplex DNA and Inhibition of Telomerase Activity by Square-Planar Nickel(II) Complexes. J. Am. Chem. Soc. 2006, 128, 5992–5993. [Google Scholar] [CrossRef] [PubMed]
- Zhou, C.-Q.; Liao, T.-C.; Li, Z.-Q.; Gonzalez-Garcia, J.; Reynolds, M.; Zou, M.; Vilar, R. Dinickel–Salphen Complexes as Binders of Human Telomeric Dimeric G-Quadruplexes. Chem. Eur. J. 2017, 23, 4713–4722. [Google Scholar] [CrossRef] [PubMed]
- Dalla Cort, A.; De Bernardin, P.; Forte, G.; Yafteh Mihan, F. Metal–salophen-based receptors for anions. Chem. Soc. Rev. 2010, 39, 3863–3874. [Google Scholar] [CrossRef] [PubMed]
- Rudkevich, D.M.; Verboom, W.; Brzozka, Z.; Palys, M.J.; Stauthamer, W.P.R.V.; van Humme, G.J.; Franken, S.M.; Harkema, S.; Engbersen, J.F.J.; Reinhoudt, D.N. Functionalized UO2 Salenes: Neutral Receptors for Anions. J. Am. Chem. Soc. 1994, 116, 4341–4351. [Google Scholar] [CrossRef]
- Cametti, M.; Dalla Cort, A.; Mandolini, L.; Nissinen, M.; Rissanen, K. Specific recognition of fluoride anion using a metallamacrocycle incorporating a uranyl–salen unit. New J. Chem. 2008, 32, 1113–1116. [Google Scholar] [CrossRef]
- Cametti, M.; Nissinen, M.; Dalla Cort, A.; Mandolini, L.; Rissanen, K. Recognition of Alkali Metal Halide Contact Ion Pairs by Uranyl−Salophen Receptors Bearing Aromatic Sidearms. The Role of Cation–π Interactions. J. Am. Chem. Soc. 2005, 127, 3831–3837. [Google Scholar] [CrossRef] [PubMed]
- Cametti, M.; Nissinen, M.; Dalla Cort, A.; Mandolini, L.; Rissanen, K. Ion Pair Recognition of Quaternary Ammonium and Iminium Salts by Uranyl−Salophen Compounds in Solution and in the Solid State. J. Am. Chem. Soc. 2007, 129, 3641–3648. [Google Scholar] [CrossRef] [PubMed]
- Leoni, L.; Puttreddy, R.; Jurcêk, O.; Mele, A.; Giannicchi, I.; Yafteh Mihan, F.; Rissanen, K.; Dalla Cort, A. Solution and Solid-State Studies on the Halide Binding Affinity of Perfluorophenyl-Armed Uranyl–Salophen Receptors Enhanced by Anion–π Interactions. Chem. Eur. J. 2016, 22, 18714–18717. [Google Scholar] [CrossRef] [PubMed]
- Forte, F.; Oliveri, I.P.; Consiglio, G.; Failla, S.; Di Bella, S. On the Lewis acidic character of bis(salicylaldiminato)zinc(II) Schiff-base complexes: A computational and experimental investigation on a series of compounds varying the bridging diimine. Dalton Trans. 2017, 46, 4571–4581. [Google Scholar] [CrossRef] [PubMed]
- Cano, M.; Rodriguez, L.; Lima, J.C.; Pina, F.; Dalla Cort, A.; Pasquini, C.; Schiaffino, L. Specific Supramolecular Interactions between Zn2+–Salophen Complexes and Biologically Relevant Anions. Inorg. Chem. 2009, 48, 6229–6235. [Google Scholar] [CrossRef] [PubMed]
- Dalla Cort, A.; De Bernardin, P.; Schiaffino, L. A new water soluble Zn–salophen derivative as a receptor for α-aminoacids: Unexpected chiral discrimination. Chirality 2009, 21, 104–109. [Google Scholar] [CrossRef] [PubMed]
- Dalla Cort, A.; Mandolini, L.; Schiaffino, L. Exclusive transition state stabilization in the supramolecular catalysis of Diels–Alder reaction by a uranyl salophen complex. Chem. Commun. 2005, 3867–3869. [Google Scholar] [CrossRef] [PubMed]
- Schowen, R.L.; Gandour, R.D. Catalytic Power and Transition State Stabilization, in Transition States of Biochemical Processes; Gandour, R.D., Schowen, R.L., Eds.; Plenum Press: New York, NY, USA, 1978; Chapter 2; pp. 77–113. [Google Scholar]
- Mendes, R.A.; Germino, J.C.; Fazolo, B.R.; Thaines, E.H.N.S.; Ferraro, F.; Santana, A.M.; Ramos, R.J.; de Souza, G.L.C.; Freitas, R.G.; Vazquez, P.A.M.; et al. Electronic and magnetic properties of the [Ni(salophen)]: An experimental and DFT study. J. Adv. Res. 2018, 9, 27–33. [Google Scholar] [CrossRef]
- Miyasaka, H.; Saitoh, A.; Abe, S. Magnetic assemblies based on Mn(III) salen analogues. Coord. Chem. Rev. 2007, 251, 2622–2664. [Google Scholar] [CrossRef]
- Yin, H.-Y.; Tang, J.; Zhang, J.-L. Introducing Metallosalens into Biological Studies: The Renaissance of Traditional Coordination Complexes. Eur. J. Inorg. Chem. 2017, 5085–5093. [Google Scholar] [CrossRef]
- Yin, H.-Y.; Lai, J.; Tang, J.; Shang, Y.; Zhang, J.-L. A Cryptand-Type Aluminum Tris(salophen) Complex: Synthesis, Characterization, and Cell Imaging Application. Inorganics 2018, 6, 20. [Google Scholar] [CrossRef]
- Tzubery, A.; Melamed-Bookb, N.; Tshuva, E.Y. Fluorescent antitumor titanium(IV) salen complexes for cell imaging. Dalton Trans. 2018, 47, 3669–3673. [Google Scholar] [CrossRef] [PubMed]
© 2018 by the authors. Licensee MDPI, Basel, Switzerland. This article is an open access article distributed under the terms and conditions of the Creative Commons Attribution (CC BY) license (http://creativecommons.org/licenses/by/4.0/).
























