Previous Article in Journal
Metal Atoms Adsorbed on AlN Monolayer: Potential Application in Photodetectors
Previous Article in Special Issue
DNA and BSA Binding, Molecular Docking Interactions and ADMET Properties of New PEPPSI-Type Palladium Complexes
 
 
Font Type:
Arial Georgia Verdana
Font Size:
Aa Aa Aa
Line Spacing:
Column Width:
Background:
Article

Investigating the Kinetic Impact of DMSO on Platinum(II) Coordination: An Experimental and Computational Study of Cisplatin and 2-Thiohydantoin Ligands

1
Institute for Information Technologies Kragujevac, University of Kragujevac, Liceja Kneževine Srbije 1A, 34000 Kragujevac, Serbia
2
Center for Molecular Medicine and Stem Cell Research, Faculty of Medical Sciences, University of Kragujevac, Svetozara Markovića 69, 34000 Kragujevac, Serbia
3
Department of Natural-Mathematical Sciences, State University of Novi Pazar, Vuka Karadžića 9, 36300 Novi Pazar, Serbia
4
Faculty of Sciences, University of Novi Sad, Trg Dositeja Obradovića 3, 21102 Novi Sad, Serbia
5
University of Belgrade-Institute for Chemistry, Technology and Metallurgy, National Institute of the Republic of Serbia, Njegoševa 12, 11000 Belgrade, Serbia
*
Author to whom correspondence should be addressed.
Inorganics 2026, 14(4), 100; https://doi.org/10.3390/inorganics14040100
Submission received: 20 February 2026 / Revised: 24 March 2026 / Accepted: 27 March 2026 / Published: 30 March 2026

Abstract

This study presents a thorough investigation of chemical outcomes during the reaction of cisplatin and 2-thiohydantoin ligands in the presence of DMSO. Aided by NMR spectroscopy and quantum chemical calculations, the influence of DMSO substitution on the reaction factors is specified, and key intermediates and products in the reaction mechanism are identified and characterized. Coordination modes, reaction orders, and important thermodynamic parameters, such as Gibbs free energies, stabilization energies, and reaction rate constants, are determined. Molecular docking was utilized to propose the binding modes of the final products to DNA and predict their anticancer properties. The results of this study represent a unique kinetic and mechanistic outlook into the influence of DMSO on platinum(II) coordination, as ligand substitution with DMSO was previously found to alter the coordination environment in a biologically relevant manner.

1. Introduction

Cisplatin, or cis-diamminedichloroplatinum(II), cis-[PtCl2(NH3)2], is a widely used anticancer drug, effective against various types of cancer, including lung, uterine, cervical, breast, head and neck cancer, mesothelioma, neuroblastoma, and more [1]. Many negative side effects, which include nephrotoxicity, neurotoxicity, cardiotoxicity, ototoxicity, and resistance, limit its use [2]. These drawbacks have inspired vast amounts of research that has been conducted in order to discover new and improved anticancer agents, which would have better activity and selectivity while exhibiting fewer negative side effects.
Designing improved platinum-based anticancer drugs is highly meticulous work, as it requires great attention to detail in regard to ligand design and substitution kinetics [3]. Despite this, there are broader concepts to consider, as anticancer research requires a multidisciplinary approach, which increases the risk of oversight. One of the major drawbacks of cisplatin and platinum complexes in general, which categorically hinders the research regarding their biological activities and applications, is their limited water solubility. DMSO, a universal solvent that dissolves many different polar and non-polar compounds and mixes well with water and other solvents, has long since been used as a solution for this issue. It is widely used in in vitro anticancer assays, as well as in the synthetic protocols themselves, to obtain the complexes. DMSO contains a nucleophilic sulfur atom and has a high binding affinity towards platinum, so in a solution, it readily binds to platinum and alters the coordination environment in a biologically relevant manner. It has long since been known that DMSO inactivates the anticancer activity of cisplatin and other platinum complexes [4,5,6]. Nevertheless, the practice of using DMSO as a solvent in anticancer research continues to this day, and its continuous use raises important questions regarding the soundness of the methodology and the obtained results. DMSO is likely to incorporate itself within the coordination sphere of platinum when it comes into contact with it, changing its structure, affecting the activity of the complex, and potentially invalidating the results themselves.
The issue, in a broader sense, is, however, even more complicated, as there have been many DMSO-containing platinum complexes reported thus far that exhibit potent in vitro anticancer activities [7,8,9,10,11]. It is then apparent that DMSO as a ligand in anticancer platinum research has to be scrutinized carefully and meticulously, as the issue of designing and evaluating these types of complexes seems to be far more complex than anticipated. Taking this into consideration, the aim of this study is a thorough experimental and theoretical evaluation of the chemical outcomes of the reaction of cisplatin with sulfur-containing 2-thiohydantoin derivatives in DMSO as the medium.
2-thiohydantoins are sulfur analogs of hydantoins, a big family of cyclic ureide drug-like compounds, known for their biological activities and applications in medicine and industry [12,13,14]. However, more importantly, in this context, is their substantial coordination potential [15]. Hydantoins, with their ring and side-branch heteroatoms, are highly versatile ligands, able to form various types of structurally diverse complexes with transition metals [16,17]. Numerous platinum hydantoin complexes have been synthesized and characterized, their anticancer activities evaluated, and the results are encouraging, as platinum hydantoin complexes were shown to be promising potential anticancer agents [18,19,20,21,22,23,24].
As part of this investigation, two 2-thiohydantoin derivatives (Figure 1), which contain sulfur in the side chain, have been synthesized and characterized by NMR and IR spectroscopy (Supplementary Material, Figures S1–S6). They have been synthesized from sulfur-containing amino acids, L-S-methyl cysteine 1a and L-methionine 1b. The amino acids were first converted to methyl esters, which, in a cyclization reaction with allyl isothiocyanate, were finally converted to the 2-thiohydantoin derivatives 2a,b. The 2-thiohydantoin derivatives 2a,b contain a sulfur and two nitrogen atoms in the ring, as well as an exocyclic sulfur atom in the side branch, all of which platinum has an affinity for. The aim of this study is to evaluate the chemical outcomes of the reaction of cisplatin with 2-thiohydantoins 2a,b by monitoring the reactions with 1H NMR spectroscopy. Aided by quantum chemical calculations, the influence of DMSO on the course of the reactions is evaluated. By determining coordination modes, reaction orders, and crucial reaction parameters, such as Gibbs free energies, stabilization energies, and reaction rate constants, it is possible to assess how DMSO incorporates itself inside platinum’s coordination sphere and affects the structure of the final complexes. Coupled with molecular docking, this evaluation could help elucidate and predict how DMSO influences the reaction outcomes and the final complex structures in a biologically relevant manner.

2. Results and Discussion

2.1. 1H NMR Investigation of the Reactions of 2-Thiohydantoin Derivatives 2a and 2b with Cisplatin

The reaction of thiohydantoins 2a and 2b and cisplatin was monitored in an overnight kinetic 1H NMR experiment and then further tracked by recording spectra periodically until the completion of the reaction. In the reaction of 2a and cisplatin, two pairs of singlets that change in intensity throughout the experiment can be observed (Figure 2). The first pair of singlets at 2.09 ppm (a) and 2.59 ppm (b) originates from –S-CH3 protons of the free and coordinated 2a, respectively. The second pair of singlets at 3.95 ppm (c) and 7.30 ppm (d) is from the NH3 protons of cisplatin and free ammonia. It is known that cisplatin has a high affinity towards DMSO and readily reacts with it, forming monosubstituted [PtCl(NH3)2(dmso)]+ and disubstituted [Pt(NH3)2(dmso)2]2+ complexes [25]. Coordination with the first DMSO molecule occurs through the sulfur atom and happens so fast that the reaction is completely finished within an hour, with the concentration of cisplatin at 1 mg/mL, which is five times lower than that used in this investigation. Monosubstituted [PtCl(NH3)2(dmso)]+ then further reacts with a second DMSO molecule, forming [Pt(NH3)2(dmso)2]2+. Taking this into consideration, it can be concluded that the broad singlet at 3.95 ppm (c) originates from the NH3 ligand of the monosubstituted [PtCl(NH3)2(dmso-d6)]+, and not from cisplatin, and that the reaction is fast enough that all of cisplatin is converted to the monosubstituted [PtCl(NH3)2(dmso-d6)]+ before the reaction with 2a and 2b even began.
The presence of the first pair of singlets (a) and (b) in the spectra points to the coordination of Pt to the sulfur from the side chain. The intensity of the singlet of free 2a at 2.09 ppm decreases throughout the experiment, while the intensity of the singlet of the coordinated 2a at 2.59 ppm increases. The intensity of the broad singlet of the NH3 ligand of the monosubstituted [PtCl(NH3)2(dmso-d6)]+ at 3.95 ppm decreases throughout the experiment, while, after a few hours, a new broad singlet of free ammonia at 7.30 ppm appears. The delayed ammonia release indicates further coordination of DMSO in the later stages of the reaction. In the last spectrum of the overnight experiment, out of the signals of newly formed species, the singlet of the coordinated 2a at 2.59 ppm and the broad singlet of free ammonia at 7.30 ppm were dominant. There were no further changes observed after three days.
In the spectra of the reaction of thiohydantoin 2b and cisplatin (Figure 3), similarly as with 2a, two pairs of singlets can be observed: (a) singlet of the –S-CH3 protons of free 2b at 2.03 ppm; (b) singlet of the –S-CH3 protons of coordinated 2b at 2.30 ppm; (c) broad singlet of the NH3 ligand of the monosubstituted [PtCl(NH3)2(dmso-d6)]+ at 3.95 ppm; (d) broad singlet of free ammonia at 7.40 ppm. The intensity of the singlet of free 2b at 2.03 ppm decreases, while the intensity of the singlet of coordinated 2b at 2.30 ppm increases. Also, the intensity of the broad singlet of the monosubstituted [PtCl(NH3)2(dmso-d6)]+ at 3.95 ppm decreases, while a new broad singlet of free ammonia appears at 7.40 ppm. Out of the newly formed species in the last spectrum of the overnight kinetic experiment, the dominant signals were the singlet of the coordinated 2b at 2.30 ppm and the broad singlet of free ammonia at 7.40 ppm, and after a week, there were no further changes. Unlike with 2a, in the reaction of cisplatin with 2b, another broad singlet at 10.49 ppm (e) can be observed, which belongs to the thiohydantoin ring NH group of the uncoordinated 2b. Its intensity seemingly decreases throughout the experiment, and it vanishes completely after a little less than two hours. The vanishing of this signal indicates the deprotonation of the thiohydantoin NH group and coordination to platinum through the nitrogen. The signal not only decreases in intensity throughout the experiment, but also stretches and broadens, which is a commonly observed phenomenon, and it occurs during metal coordination, as platinum can alter the chemical environment of the NH proton and influence its exchange rate with the residual water and HOD in the solvent, as well as its hydrogen binding interactions. This signal is missing from the spectra from the start of the experiment in the reaction of cisplatin with 2a, which can be explained by the apparent difference in the reaction speeds, because the reaction with 2a is significantly faster. Additionally, the absence of this signal (e) from the spectra of the reaction of 2a can point to the multi-step nature of the reaction of cisplatin with 2b, which is supported by the fact that the singlet of the –S-CH3 group of the coordinated 2b appears only after the broad singlet of the NH group of the free 2b disappears.
As previously mentioned, it is known that cisplatin reacts with DMSO, which raises the question of the competition of DMSO as a ligand with the investigated thiohydantoins, as well as its influence on the course and kinetics of their reaction with cisplatin. DMSO has a high affinity towards Pt(II) as a soft base. It was demonstrated that cisplatin undergoes solvolysis and reacts with DMSO in its pure form as well as in its aqueous solution [26]. To investigate and describe the influence of DMSO on the reactions of 2a and 2b with cisplatin, a control kinetic experiment was conducted, where a reaction of cisplatin and deuterated DMSO, in which it was dissolved, was observed (Figure 4). During the experiment, changes in two signals can be observed. The intensity of the broad singlet of the NH3 ligand of the monosubstituted [PtCl(NH3)2(dmso-d6)]+ at 3.95 ppm (a) decreases, while the intensity of the broad singlet of the NH3 ligand of the disubstituted [Pt(NH3)2(dmso-d6)2]2+ at 4.75 ppm (b) increases throughout the experiment.
In the spectra of the reactions of 2a and 2b with cisplatin, the signal of the Pt-DMSO-d6 adduct at 4.75 ppm (Figure 4, b) cannot be observed as a dominant species. The absence of this signal, together with the fact that ammonia is released in both of the reactions with 2a and 2b, but not in the control experiment, points to the conclusion that the disubstituted [Pt(NH3)2(dmso-d6)2]2+ adduct is not the final product of the reaction. This secondary reaction of cisplatin and DMSO-d6 does, however, make the system more complex and creates a competition of the DMSO-d6 adducts in the reactions with 2a and 2b. In the spectra of the reaction of cisplatin with 2a, the broad singlet of the disubstituted [Pt(NH3)2(dmso-d6)2]2+ adduct at 4.75 ppm is not present, while its appearance with a very small intensity can be noticed in the spectra of the reaction of cisplatin with 2b. The apparent difference in the speed of the reactions of cisplatin with 2a and 2b can explain the difference in the appearance of this signal in the spectra. Moreover, the difference in the appearance of the signal of the disubstituted [Pt(NH3)2(dmso-d6)2]2+ adduct additionally points to the possible differences in the mechanisms of the reaction of 2a and 2b, in which the reaction with 2b would include an additional step, which was postulated earlier.

2.2. Mechanistic Insights Based on the Analysis of Reactant Concentrations and Potential Products

The results of the analysis of the 1H NMR spectra obviously demonstrate the reactions of [PtCl(NH3)2(dmso-d6)]+ with thiohydantoins 2a and 2b but do not give clear insight into the chemistry of these reactions. With this in mind, time-dependent changes in the concentrations of [PtCl(NH3)2(dmso-d6)]+, 2a, 2b, platinum complexes (marked as [Pt-2a] and [Pt-2b]), and free ammonia were analyzed. Graphs that illustrate time-dependent changes in the concentrations of the stated components are given in Figure 5 and Figure 6.
Changes in the quantities of free and coordinated 2a were determined through the changes in the intensities of the signals at 2.09 ppm and 2.59 ppm, and quantities of [PtCl(NH3)2(dmso-d6)]+ and free ammonia were derived from the changes in the signals at 3.95 ppm and 7.40 ppm. The starting concentrations of [PtCl(NH3)2(dmso-d6)]+ and 2a were the same (around 0.015 M) because they were mixed in a 1:1 molar ratio. After 15 h (Figure 5), their concentrations were also the same (around 0.004 M), indicating that the same quantities of [PtCl(NH3)2(dmso-d6)]+ and 2a have reacted, giving a mononuclear platinum complex with 2a coordinated in a bidentate manner. Taking into account the changes in the concentrations of reactants and the newly formed complex (marked on the graph as [Pt-2a]), we can come to the conclusion that [Pt-2a] forms in a 1:1 reaction of [PtCl(NH3)2(dmso-d6)]+ and 2a. From the 1H NMR spectra, it is known that [Pt-2a] contains 2a bound to platinum through the sulfur atom from the cysteine residue. The concentration of released ammonia is two times higher than the concentration of the formed complex. Based on that, we can assume that the binding of 2a completely expels ammonia from [PtCl(NH3)2(dmso-d6)]+. Furthermore, it has to be taken into account that DMSO-d6 can react with [PtCl(NH3)2(dmso-d6)]+, which additionally complicates the reaction mechanism as a whole.
The mechanism of the reaction of 2b with [PtCl(NH3)2(dmso-d6)]+ is more complex when looking at the changes in concentrations of reactants and products (Figure 6). The concentrations of reactants decrease throughout the experiment, but not at the same rate. Namely, the concentration of 2b decreases by about 0.005 M, while the concentration of [PtCl(NH3)2(dmso-d6)]+ decreases by about 0.01 M. This two-fold difference in the concentration change indicates that a dinuclear complex forms in the reaction of 2b. This is also supported by the fact that the concentration of the formed [Pt-2b] complex increases by about 0.005 M throughout the experiment. The concentration of [Pt(NH3)2(dmso-d6)2]2+, detectable in the reaction with 2b, remains stable between 0.003 and 0.004 M throughout the experiment as a consequence of the balance between its formation in the reaction of [PtCl(NH3)2(dmso-d6)]+ with DMSO-d6 and its depletion in the reaction with 2b. The concentration of the released ammonia is about 0.02 M, and, after accounting for the changes in the reactant concentrations, it can be concluded that during the reaction, four molecules of ammonia are released, which come from the substitution of four amine ligands for every single molecule of the formed [Pt-2b] complex.

2.3. Determining Coordination Modes of 2a in the Reaction with Cisplatin by Calculating the Gibbs Free Energies

In order to determine which coordination mode of 2a in the reaction with cisplatin is kinetically favored, quantum mechanical calculations of changes in Gibbs free energy (ΔGr) in the reactions, shown in Equations (1) and (2), were done. In the reaction of cisplatin and 2a, three possible complexes can form as products, which differ in the coordination mode of 2a to platinum (Figure 7). Reaction Equation (1) is used for the reaction during which coordination of 2a occurs through the nitrogen in the thiohydantoin ring and one of the sulfur atoms. When coordination occurs through the sulfur atoms, Equation (2) is used.
[PtCl2(NH3)2] + 2a → [Pt(2a-N,S)(NH3)2]2+ + 2Cl
[PtCl2(NH3)2] + 2a → [Pt(2a-S,S)(NH3)2]2+ + 2Cl
The calculations show that the most likely reaction (lowest ΔGr value) is when 2a is bidentately coordinated to platinum through the nitrogen atom from the thiohydantoin ring and the sulfur from the cysteine side chain (Sa), in which the [Pt(NH3)2(2a-N,Sa)]2+ complex is formed (Figure 7). Somewhat less favorable is the coordination to the platinum ion through the thiohydantoin ring nitrogen and thiocarbonyl sulfur atom, in which the [Pt(NH3)2(2a-N,S)]2+ complex is formed. The least favorable (highest value of ΔGr) is coordination to the platinum ion through both mentioned sulfur atoms, in which the [Pt(NH3)2(2a-S,Sa)]2+ complex is formed.

2.4. Determining the Mechanisms of the Reactions of 2a and 2b with Cisplatin Based on the Reaction Order

The graphs depicting the changes in the concentrations of reactants (Figure 5 and Figure 6) certainly give insights into the possible products of the reactions of 2a and 2b with cisplatin, but not the mechanisms themselves. In order to gain these insights, graphs of inverse concentration values vs. time were analyzed, which are used as models for second-order reactions, as the reactions of 2a and 2b with cisplatin are supposed to follow second-order kinetics.
Based on the changes in the concentration of 2a, it is apparent that this is not purely a second-order reaction, as expected, because two linear slopes can be observed (Figure 8a) and the reaction of 2a consists of two phases. This points to the complexity of the reaction system. In the beginning, the reaction of 2a and [PtCl(NH3)2(dmso-d6)]+ has a linear slope with the following equation: y = 7.704x + 61.303. Then, after 2.5 h, a tipping point occurs, after which the reaction of 2a speeds up, which is shown by the coefficient in the equation of the second phase (y = 16.31x + 34.267). The coefficient for the second phase of the reaction (k2 = 16.31) is significantly higher than for the first phase (k1 = 7.704), which reveals that there is a change in the reaction system and that a new chemical species has formed, the concentration of which became significant after 2.5 h. A strong possibility is that the disubstituted [Pt(NH3)2(dmso-d6)2]2+ formed in the reaction of [PtCl(NH3)2(dmso-d6)]+ with DMSO-d6, which replaces the chlorido ligand. Based on the 1H NMR spectra, two conclusions can be made. First, the signal of the thiohydantoin ring NH group is already missing from the first spectra of the experiment, indicating relatively fast coordination to the nitrogen atom. Second, based on the downfield shift in the signal of S-CH3 protons, subsequent coordination to the side-branch sulfur atom is observed. Obviously, a bidentate coordination of 2a occurs in the resulting [Pt-2a] complex. While analyzing the second-order graph for [Pt-2a] (Figure 8b), an intensive downward slope can be observed up until 2.5 h, after which the plot asymptotically approaches the x-axis. After 11 h, the plot is linear and parallel to the x-axis, indicating that there is no further change in the quantity of [Pt-2a], but also the possibility of a change in the structure of [Pt-2a] due to a reaction with the solvent, DMSO-d6.
When looking at the second-order graph for [PtCl(NH3)2(dmso-d6)]+ (Figure 8c), two phases can also be observed, the same as with 2a. The first, faster phase lasts about 5 h and is marked with the equation: y = 19.465x + 60.889. If only [PtCl(NH3)2(dmso-d6)]+ reacts with 2a, then the slope coefficient (k1) would have to be 7.704, because [PtCl(NH3)2(dmso-d6)]+ and 2a are in a 1:1 molar ratio. However, the slope coefficient, k1, is much higher, equaling 19.465. This indicates a parallel reaction of [PtCl(NH3)2(dmso-d6)]+, which is faster than the reaction with 2a. It is assumed that in this phase [PtCl(NH3)2(dmso-d6)]+ reacts with the solvent, giving [Pt(NH3)2(dmso-d6)2]2+. In order to confirm this, a graph of the logarithm of concentration vs. time for [PtCl(NH3)2(dmso-d6)]+ was analyzed, which is used to depict first-order reactions (Figure 8d). On the graph, it is clear that there is a linear slope up until 5 h, after which there is a deviation from linearity. This, of course, implies that a pseudo-first-order reaction with the solvent occurs in the first phase. Now the issues regarding the changes in the second-order graph for 2a become clearer. Namely, 2a reacts more readily with [Pt(NH3)2(dmso-d6)2]2+ than with [PtCl(NH3)2(dmso-d6)]+, which is the reason why the second phase in the graph in Figure 8c is slower. In other words, two parallel competitive processes occur, which deplete 2a, and the consumption of [PtCl(NH3)2(dmso-d6)]+ is lower in the first phase because 2a has a higher affinity towards [Pt(NH3)2(dmso-d6)2]2+. The preferred reaction gives [Pt(2a)(dmso-d6)2]+ as the product. However, if we take into consideration the graph for [Pt-2a] in Figure 8b, where, after 11 h, a reaction of the complex with the solvent, DMSO-d6, can be assumed. DMSO-d6 substitutes an amine ligand, as, from the reaction of 2a with [PtCl(NH3)2(dmso-d6)]+, two molecules of ammonia are released in total, as seen in Figure 5. As the stoichiometry of the total reaction of 2a with [PtCl(NH3)2(dmso-d6)]+ indicates the release of two ammonia molecules, it can be concluded that [Pt(2a)(dmso-d6)2]+ is the final product of the reaction.
The mechanism of the reaction of 2b with cisplatin in DMSO-d6 is significantly more complex compared to 2a. Graphs for the assessment of reaction orders are depicted in Figure 9. The change in the inverse concentration value for 2b has two phases, in which it has a linear character (Figure 9a). In the first 2 h of the reaction, the change can be delineated with the equation: y = 0.3037x + 60.031. The slope coefficient for this phase is substantially lower (k1 = 0.3037) than for the first phase for 2a (k1 = 7.704), which means that 2a reacts significantly faster with [PtCl(NH3)2(dmso-d6)]+, about 25 times. In the first 2 h of the experiment, there is no signal of the coordinated S-CH3 group, and only the coordination of the ring NH group nitrogen can be observed. It can be assumed that 2b coordinates through nitrogen and sulfur atoms of the thiohydantoin ring to platinum from [PtCl(NH3)2(dmso-d6)]+, while replacing the chlorido ligand and one amine ligand. This is the reason why 2b reacts more slowly than 2a. Compared to the reaction with 2a, 2b does not coordinate to platinum through the sulfur atom from the methionine side branch initially. The methionine side branch is one methylene longer than the cysteine side branch, which increases the number of rotatable bonds and gives more conformational freedom. Bidentate coordination through the ring nitrogen and side-branch sulfur is less favorable entropically for 2b because there is a bigger loss of conformational freedom by coordination to the side-branch sulfur than with the ring thiocarbonyl sulfur. Besides that, the formation of a five-membered ring by bidentate coordination of 2a is kinetically more favorable than the formation of the six-membered ring, in the case of 2b.
The second phase starts after 2.4 h, and the changes in the inverse concentration values can be delineated with the equation: y = 1.9228x + 55.83. The second phase is six times faster than the first phase (k1 = 1.9228). Obviously, 2b reacts with [Pt(NH3)2(dmso-d6)2]2+ significantly faster than with [PtCl(NH3)2(dmso-d6)]+. The increased reactivity can be explained by the increased affinity of platinum towards nucleophiles. Namely, by coordination of the second DMSO-d6 molecule, a chlorido ligand is replaced, which, as a consequence, increases the charge of the complex from +1 to +2 and increases the partial positive charge of platinum. In this case, coordination of 2b occurs through the methionine side-branch sulfur atom, which can be seen in the spectra (Figure 3), as, after 2 h, the signal of the coordinated S-CH3 group starts to appear. As after 2 h, the concentration of [Pt(NH3)2(dmso-d6)2]2+ is significant, it can also react with 2b and also with the already formed [Pt(NH3)(dmso-d6)2(2b)]+ species, yielding a dinuclear complex in which 2b has the role of a bridging ligand.
Change in the inverse concentration values for the newly formed [Pt-2b] complex has an asymptotic shape up until 8 h, after which it turns linear (Figure 9b). In the linear part, the curve is parallel to the x-axis, indicating a pseudo-first-order reaction, that is, a reaction of the formed dinuclear complex with DMSO-d6. Coordination of the DMSO-d6 molecule would result in the final dinuclear complex, with the formula [Pt(dmso-d6)2(2b)Pt(dmso-d6)3]3+. Upon analyzing the second-order plot for [PtCl(NH3)2(dmso-d6)]+, three phases of the reaction course can be noticed (Figure 9c). The first phase can be marked with the slope equation: y = 23.76x + 73.012. It is apparent that [PtCl(NH3)2(dmso-d6)]+ has a higher slope coefficient for the first phase (k1 = 23.76) than 2b (k1 = 0.3037). As they are in a starting molar ratio of 1:1, it should be expected that their coefficients would be similar. However, a 78-times higher coefficient for [PtCl(NH3)2(dmso-d6)]+ indicates a reaction with another species, DMSO-d6 in this case. This is also confirmed by the first-order plot for [PtCl(NH3)2(dmso-d6)]+ (Figure 9d), as there is a linear change in the time interval that matches the first phase, which indicates a pseudo-first-order reaction, or a reaction of [PtCl(NH3)2(dmso-d6)]+ with DMSO-d6.

2.5. Determining DMSO Coordination Modes in the Complex Obtained in the Reaction of 2b by Calculating Stabilization Energies

In order to determine which coordination mode of DMSO ligands in the complex obtained in the reaction of 2b is thermodynamically favored, quantum mechanical calculations for the assessment of stabilization energies (ΔE) were performed for three possible model mononuclear platinum complexes, in which 2b is bidentately coordinated through the nitrogen and sulfur from the thiohydantoin ring (Figure 10). Hypothetically, a mononuclear platinum complex with one DMSO ligand and a bidentately coordinated 2b is formed in the first phase of the reaction.
The calculations indicate that the least stable isomer (ΔE = 0) has both DMSO ligands coordinated through sulfur atoms. Somewhat more stable (ΔE = −4.75 kcal/mol) is the isomer in which the DMSO ligand, in the trans position to the thiohydantoin nitrogen atom, is coordinated through the sulfur atom, while the other DMSO ligand is coordinated through the oxygen atom. The most stable isomer (ΔE = −12.82 kcal/mol) is the isomer in which the DMSO ligand, in the trans position to the thiohydantoin nitrogen atom, is coordinated through the oxygen atom, while the other DMSO ligand is coordinated through the sulfur atom. Apparently, the coordination of both DMSO ligands through sulfur atoms leads to steric hindrances in the first coordination sphere, which is the reason for its lower stability. The isomer in which both DMSO ligands are coordinated through oxygen atoms is not taken into consideration because there is no possibility of its formation.
In Section 2.4, it was shown that, after the coordination of 2b through ring nitrogen and sulfur atoms, there is a reaction of the formed complex with the solvent (DMSO-d6), which substitutes an amine ligand. These model systems are highly useful for the prediction of the final structures of the complex.

2.6. Coordination of DMSO to Platinum, Quantum Mechanical and Kinetic Aspects

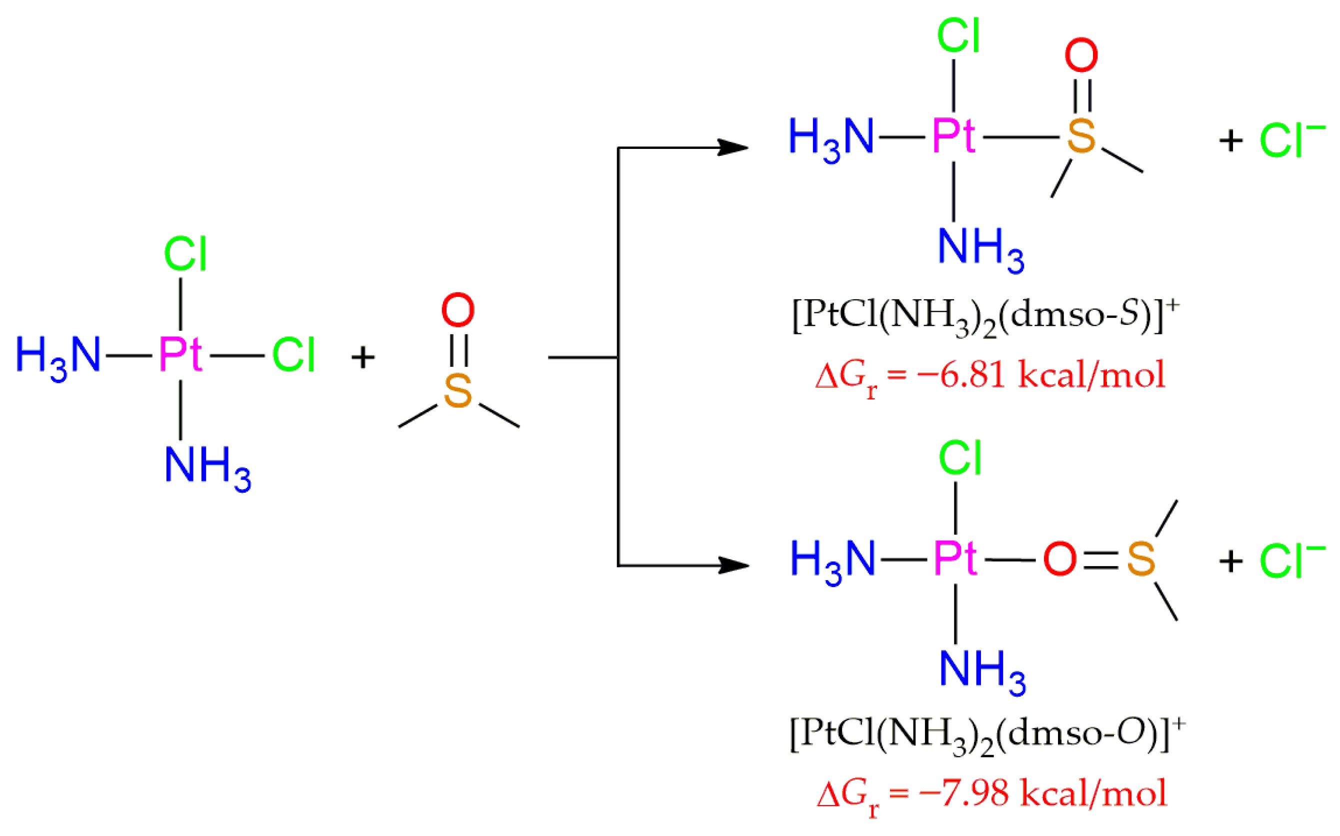
In Section 2.5, it was shown that in the mechanism of the reactions of 2a and 2b with cisplatin, there is a pseudo-first-order phase in which a platinum complex reacts with DMSO-d6. In order to determine which mode of coordination of DMSO to cisplatin is kinetically favored, a model system for this reaction was constructed (Figure 11), with the purpose of assessing its Gibbs free energy (ΔGr).
The calculations show that the reaction in which DMSO monodentately coordinates to platinum through the oxygen atom is more spontaneous, with a lower reaction Gibbs free energy value of −7.98 kcal/mol. Kinetically somewhat less favorable is the coordination of DMSO to platinum through the sulfur atom (−6.81 kcal/mol).
The quantum mechanical calculations, however, do not fully align with realistic outcomes of these reactions, as it is known that DMSO does indeed coordinate to platinum through sulfur in many cases. The answers to this dilemma might be found in a published 1H NMR kinetic study, which investigates the reaction of the [PtCl4]2− complex with DMSO [27]. The [PtCl3(dmso-S)] complex, formed in this reaction, further reacts with a second DMSO molecule (Figure 12). This reaction yields a trans-[PtCl2(dmso)2] complex, in which the two DMSO ligands are in a trans position one to another because of the strong trans-effect of the sulfur atom from the first DMSO ligand. The complex isomerizes and transforms over time to a thermodynamically more stable cis-[PtCl2(dmso)2] complex. Based on the chemical shifts in the 1H NMR spectra, it was concluded that, in the trans isomer, the second DMSO ligand is coordinated through oxygen, which is a kinetically favored product, trans-[PtCl2(dmso-O)(dmso-S)]. This complex isomerizes to the thermodynamically more stable cis-[PtCl2(dmso-S)2], in which both DMSO ligands are coordinated through sulfur atoms.

2.7. Final Structures of the Complexes

Based on previous considerations, a conclusion can be made about the structures of the platinum complexes with 2a and 2b. In the first phase of the reaction, 2a does not react with cisplatin but with its DMSO derivative, cis-[PtCl(NH3)2(dmso-d6-S)]+. This phase lasts 2.5 h, and the reaction can be described with Equation (3).
cis-[PtCl(NH3)2(dmso-d6-S)]+ + 2a → [Pt(2a-N,Sa)(NH3)(dmso-d6-S)]+ + NH4+ + Cl
In the obtained complex, 2a is a bidentate ligand, coordinated through nitrogen from the thiohydantoin ring and from the side-branch sulfur atom, forming a five-membered chelate. As the reaction has a pseudo-first-order character for the first 5 h, it is obvious that the main reaction in this interval is the one occurring in parallel to the reaction from Equation (3), which is a reaction of the cis-[PtCl(NH3)2(dmso-d6-S)]+ complex with DMSO-d6, according to Equation (4).
cis-[PtCl(NH3)2(dmso-d6-S)]+ + DMSO-d6cis-[Pt(NH3)2(dmso-d6-S)2]2+ + Cl
When looking at the reactivity of 2a, a breaking point is noticed at 2.5 h, after which the speed of its reaction increases. It is obvious that, after 2.5 h, enough cis-[Pt(NH3)2(dmso-d6-S)2]2+ was formed and that 2a has a higher affinity towards this complex. This reaction can be described with Equation (5).
cis-[Pt(NH3)2(dmso-d6-S)2]2+ + 2a → [Pt(2a-N,Sa)(dmso-d6-S)2]+ + NH4+ + NH3
On the second-order plot for [Pt-2a] in Figure 8b, after 11 h, there is a straight line, parallel to the x-axis, indicating that there is no further change in the quantity of the [Pt-2a] complex. However, as the concentration of ammonia still continues to increase, it is clear that there is a reaction in which ammonia is released that does not include 2a nor cis-[Pt(NH3)2(dmso-d6-S)2]2+. As ammonia exists as a ligand in the [Pt(2a-N,Sa)(NH3)(dmso-d6-S)]+ complex, formed in the first phase of the reaction, it is obvious that this complex reacts with the solvent. The reaction can be described with Equation (6), in which a complex with two coordinated DMSO ligands forms. The coordination of the second DMSO ligand occurs through oxygen, as there is no possibility of interconversion in this case, in which an isomer with two S-coordinated DMSO ligands would form.
[Pt(2a-N,Sa)(NH3)(dmso-d6-S)]+ + DMSO-d6
      → [Pt(2a-N,Sa)(dmso-d6-O)(dmso-d6-S)]+ + NH3
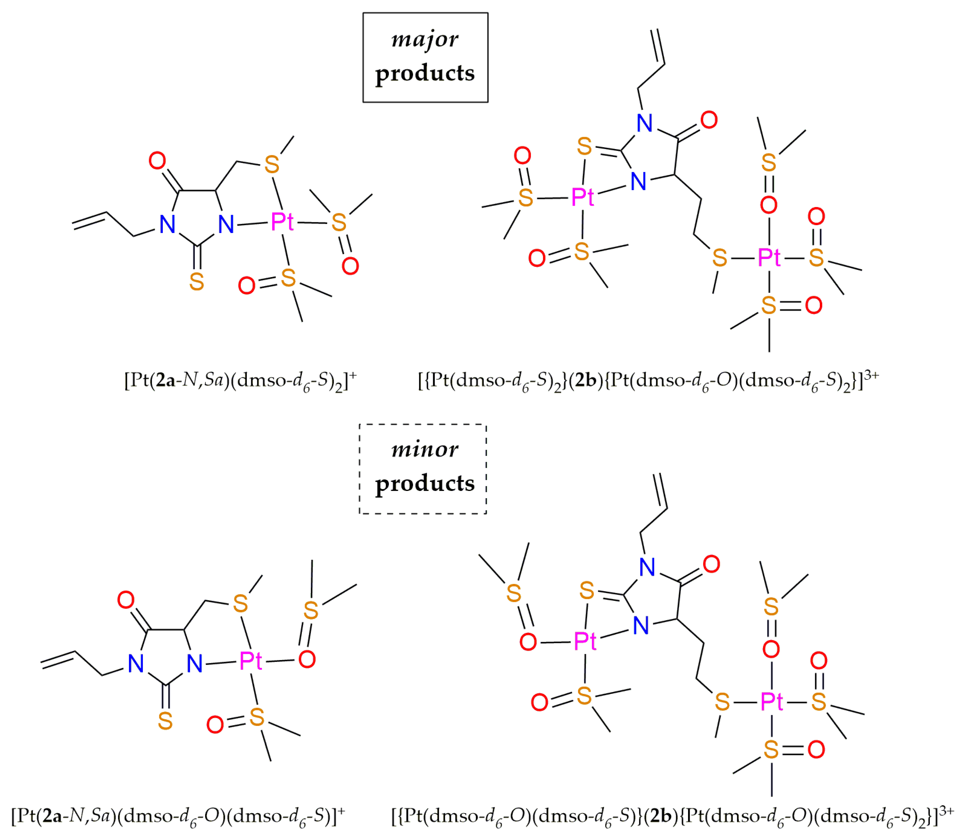
It can be concluded that in the reaction of 2a with cisplatin in DMSO-d6, two mononuclear complexes are formed, with a bidentately coordinated 2a and two DMSO ligands. The major product is the [Pt(2a-N,Sa)(dmso-d6-S)2]+ complex, with both DMSO ligands coordinated to platinum through sulfur atoms, while the minor product is the [Pt(2a-N,Sa) (dmso-d6-O)(dmso-d6-S)]+ complex, in which one of the DMSO ligands is coordinated through the oxygen atom (Figure 13). The major product is kinetically favored, while the minor product is thermodynamically more stable.
In the reaction of 2b, the first phase lasts about 2.1 h, in which 2b reacts with the cis-[PtCl(NH3)2(dmso-d6-S)]+ complex, according to Equation (7). In the formed complex, 2b forms a four-membered chelate, coordinating to platinum through the nitrogen and sulfur from the thiohydantoin ring.
cis-[PtCl(NH3)2(dmso-d6-S)]+ + 2b → [Pt(2b-N,S)(NH3)(dmso-d6-S)]+ + NH4+ + Cl
In the second phase, the reaction is faster and is followed by coordination through the methionine side-branch sulfur atom, which is confirmed from the 1H NMR spectra. The reason for the increased reaction speed is the formation of the cis-[Pt(NH3)2(dmso-d6-S)2]2+ complex, which can react with 2b (Equation (8)), but also with the newly formed [Pt(2a-N,S)(NH3)(dmso-d6-S)]+ complex (Equation (9)).
cis-[Pt(NH3)2(dmso-d6-S)2]2+ + 2b → [Pt(2b-N,S)(dmso-d6-S)2]+ + NH4+ + NH3
cis-[Pt(NH3)2(dmso-d6-S)2]2+ + [Pt(2b-N,S)(NH3)(dmso-d6-S)]+
→ [{Pt(NH3)(dmso-d6-S)}(2b){Pt(NH3)(dmso-d6-S)2}]3+ + NH3
The mononuclear complex, formed in the reaction in Equation (8), can also react with cis-[Pt(NH3)2(dmso-d6-S)2]2+, forming a dinuclear complex (Equation (10)) that is different from the one formed in the reaction in Equation (9).
cis-[Pt(NH3)2(dmso-d6-S)2]2+ + [Pt(2b-N,S)(dmso-d6-S)2]+
→ [{Pt(dmso-d6-S)2}(2b){Pt(NH3)(dmso-d6-S)2}]3+ + NH3 
In the second-order plot for [Pt-2b] in Figure 9b, there is a straight line, parallel to the x-axis, starting from 8 h, indicating a reaction with the solvent. In addition to that, there is also a straight line in the second-order plot for cis-[PtCl(NH3)2(dmso-d6-S)]+ in Figure 9c after 5 h, indicating that this species is not involved in the reaction anymore. Both of the formed dinuclear species undergo reactions with the solvent, which are underlined in Equations (11) and (12).
[{Pt(NH3)(dmso-d6-S)2}(2b){Pt(NH3)(dmso-d6-S)}]3+ + 2DMSO-d6
               → [{Pt(dmso-d6-O)(dmso-d6-S)}(2b){Pt(dmso-d6-O)(dmso-d6-S)2}]3+ + 2NH3
[{Pt(dmso-d6-S)2}(2b){Pt(NH3)(dmso-d6-S)2}]3+ + DMSO-d6
       → [{Pt(dmso-d6-S)2}(2b){Pt(dmso-d6-O)(dmso-d6-S)2}]3+ + NH3
DMSO ligand substitutes ammonia and coordinates through the oxygen atom because isomerization is impossible. Structures of the final complexes are shown in Figure 13. The major product is the dinuclear complex with five DMSO ligands in total, one of which is coordinated through the oxygen atom, with the formula [{Pt(dmso-d6-S)2}(2b){Pt(dmso-d6-O)(dmso-d6-S)2}]3+. The minor product is the dinuclear complex with the formula [{Pt(dmso-d6-O)(dmso-d6-S)}(2b){Pt(dmso-d6-O)(dmso-d6-S)2}]3+, in which two of the five DMSO ligands are coordinated through oxygen atoms.

2.8. Preliminary In Vitro Cytotoxicity Evaluation

A preliminary assessment of the in vitro anticancer activities of the complexes obtained in the experiments was done on two cancer cell lines, colorectal HCT116 cells and MDA-MB-231 breast adenocarcinoma cells. The complexes did not exhibit a significant effect on the viability of the cells in the examined concentration range, up to 200 μg/mL, as depicted by the dose curves (Figure 14). For [Pt-2a], in Figure 14a,b, even at the highest concentration of 200 μg/mL, a cytotoxic effect of less than 30% was observed, and IC50 could not be determined. In the case of [Pt-2b], for HCT116, no significant cytotoxic effect was observed (Figure 14c), while for MDA-MB-231 cells, a drop in cell viability to 54% can be observed after 72 h, exhibiting a minor cytotoxic effect, with an IC50 supposedly well over 200 μg/mL. Overall, the complexes exhibit significantly reduced cytotoxicity towards colorectal HCT116 and breast MDA-MB-231 cancer cells compared to cisplatin.

2.9. Molecular Docking

In order to predict binding modes of the major and minor complex products, molecular docking analysis was performed on two different DNA chains. The first DNA target is a dodecamer structure (PDB ID 1BNA) that does not contain an intercalation gap and consists of three regions. The first and last regions consist of four G≡C pairs, while between them is a region with four A=T pairs. Interactions of the complexes and DNA are depicted in Figure 15. The results indicate that both minor and major [Pt-2a] products bind in the minor groove of DNA, with [Pt-2a] minor having a slightly higher binding affinity (−3.01 kcal/mol) than [Pt-2a] major (−2.89 kcal/mol). However, both dinuclear [Pt-2b] complexes do not bind in the groove but bind to the phosphate backbone instead, while bridging the minor groove. This binding mode is referred to as “minor groove spanning” in the literature and is considered to be a consequence of strong electrostatic interactions between positively charged complexes and the negatively charged DNA phosphate backbone [28]. The differences in the binding of mononuclear [Pt-2a] and dinuclear [Pt-2b] complexes can possibly originate from the big difference in their total charge. The dinuclear complexes have a significantly greater total positive charge (+3) than the mononuclear complexes (+1), which would be responsible for the difference in their binding affinity towards the negatively charged phosphate backbone. Although the mononuclear complexes are positively charged, they have a higher binding affinity towards minor groove binding. Due to their size, the mononuclear complexes could not bind to the phosphate backbone of two DNA chains simultaneously, but only one instead. This binding mode would considerably reduce its contact (interaction) surface compared to minor groove binding. As binding energy depends on the size of the contact surface of interacting species, it is clear that the inclusion of more fragments of the mononuclear complexes in the interactions with DNA during minor groove binding raises their binding affinities. The mononuclear complexes seem to bind in regions rich in G≡C pairs, with which they form hydrogen bonds, which are additionally strengthened by electrostatic interactions.
Besides the two mentioned DNA binding modes, there are intercalation and covalent binding. The anticancer action of cisplatin is based on the covalent binding of platinum to the nitrogen bases. Intercalation is characteristic of certain compounds that, due to their specific nature and size, can fit between nucleobase pairs and strengthen the stacking architecture of DNA. These compounds mostly have a planar, aromatic, or polycyclic structure that enables them to penetrate between nucleobases. In order to examine whether the investigated complexes have an affinity towards intercalation, a docking analysis with a DNA target with an intercalation gap (PDB ID 1XRW) was performed. The results show that neither the mononuclear nor the dinuclear complexes have an affinity towards intercalation (Figure 15).
The dinuclear complexes [Pt-2b] major and minor, which bind to the phosphate backbone of DNA, would not have access to nucleobases and would not have a possibility of platinum coordination. It would then be reasonable to expect that the dinuclear complexes exhibit reduced anticancer activity compared to cisplatin. This is, however, not always the case, as phosphate backbone binders, like TriplatinNC, have been reported to exhibit potent anticancer activity [29]. Through a binding mode called “backbone tracking”, these complexes form so-called “phosphate clamps” via hydrogen binding to the oxygens of the phosphate groups along the backbone [30]. This bidentate hydrogen bonding along the backbone causes significant DNA structural distortion and inhibition of normal function, which in turn causes anticancer activity. Nevertheless, this type of binding would not be possible for dinuclear [Pt-2b] complexes, as they are unable to form these types of hydrogen bonds.
In the case of mononuclear [Pt-2a] complexes, the picture is a lot less clear. In a related study, based on mass spectrometry, the results pertaining to the binding of cisplatin and its DMSO derivative to double-stranded and single-stranded DNA were reported [25]. A covalent cisplatin-DNA adduct was identified, but not the DNA adduct with the DMSO derivative. However, a covalent adduct of the DMSO derivative with single-stranded DNA was identified with mass spectrometry. The binding site of the DMSO derivative to DNA did not have a guanine ring, with which it would form a coordination covalent bond, which was possible in the case of single-stranded DNA. Analysis of the binding sites of [Pt-2a] major and minor revealed that both complexes have a guanine nucleoside in their binding sites (Figure 16).
Most minor groove binding drugs have a higher binding preference towards A=T-rich sequences [31,32,33]. Minor groove binders that target G≡C-rich sequences have been shown to exhibit reduced activity compared to those that target A=T regions because the presence of guanine’s 2-amino group creates steric hindrance and requires different binding mechanisms, such as side-by-side binding, that can be less stable and efficient [34]. This might explain the reduced anticancer activity of mononuclear [Pt-2a] complexes. Overall, there might be other factors that impede their anticancer action, as DNA may not be the primary biomolecular target that [Pt-2a] complexes interact with within cancer cells.

3. Materials and Methods

3.1. General

All chemicals and reagents used in this investigation were commercially attained either from Sigma-Aldrich (St. Louis, MO, USA) or Acros (Geel, Belgium) and were used as is, without further purification, as they were obtained in high purity. The solvents were purified through distillation, using standard protocols. All NMR spectra were recorded on a Varian Gemini 2000 spectrometer (Palo Alto, CA, USA), 1H spectra at 200 MHz and 13C spectra at 50 MHz. Deuterated DMSO-d6 was used in the kinetic experiments, while deuterated chloroform CDCl3 was used for characterization of 2-thiohydantoin derivatives 2a and 2b. Tetramethylsilane was used as the internal standard, and all recorded chemical shifts were rounded to the nearest 0.01 ppm. IR spectra were recorded on a Perkin-Elmer Spectrum One FTIR spectrometer (Shelton, CT, USA). X-ray diffraction measurements were performed on a Gemini S single-crystal X-ray diffractometer.
L-S-methylcysteine and L-methionine methyl esters 1a and 1b were obtained through a well-known protocol that uses acetyl chloride to generate methanolic HCl. 2-Thiohydantoin derivatives 2a and 2b were synthesized according to a previously published protocol [35]. Spectral data and NMR and IR spectra for 2a and 2b, as well as crystal structure characterization data for 2b, are given in the Supplementary Materials.

3.2. 1H NMR Kinetic Experiments

Kinetic measurements for the reactions of 2-thiohydantoin derivatives 2a and 2b with cisplatin in deuterated DMSO-d6 were done in standard 5 mm tubes at ambient temperature during an overnight experiment. Fresh 0.3 mL DMSO-d6 solutions of the reactants were prepared just before the start of the experiment. Upon mixing the reactants, a series of spectra was recorded periodically overnight. A total of 29 spectra were recorded for each experiment, with predetermined delays between their recording times. The first six spectra were recorded without delays, the next three with 5 min between them, then sets of three spectra with 10, 15, and 30 min delays between them. The remaining spectra were recorded with an hour delay. Relative concentrations of the reactants and products for each spectrum were determined by integrating the intensities of suitable proton signals in the spectra.

3.3. Computational Methods

Optimization of the structures of the investigated compounds and other calculations were done using Gaussian09 software [36]. The structures were optimized using the B3LYP model and 6−31g** basis for non-metals and lanl2dz for platinum. The 6−31g** basis set was chosen because it was shown that bond lengths and angles in the structures obtained using this basis are in good agreement with the ones determined experimentally through X-ray diffraction analysis for similar hydantoin compounds [37]. Merz-Kollman atomic charges were determined for all atoms at the mentioned level of theory, in accordance with the scheme defined by the RESP procedure [38]. Gibbs energy changes for the formation of the corresponding Pt complexes in the gas phase (∆G) were calculated according to Equation (13).
G(g) = ∆U + VpTS = ∆HTS
where ∆U is the internal energy change in the system, ∆H is the enthalpy change in the system, ∆S is the entropy change in the system, T is the temperature of the system (298.15 K), V is the volume of the system, and ∆p is the pressure change in the system (∆p = 0). The enthalpy change in the system (∆H) was determined using Equation (14).
H = ∆Ee(r) + ∆Et(r)
where ∆Ee is the electronic energy change, and ∆Et is the thermal energy change. The thermal component of the reaction (∆Et(r)) is calculated as the difference between the products and reactants (Equation (15)), incorporating rotational, translational, and vibrational contributions (the latter scaled by a factor of 0.9877).
Et(r) = ∆Ev + ∆Et + ∆Er
AutoDock 4.2 was used for the preparation of the investigated DNA structures, while AutoDockTools was used for generating the grid and docking parameter files [39]. Atomic parameters were read from the AutoDock software, except for platinum, where the AD4 parameter file was used (AD4.1_bound.dat). The Protein Data Bank (PDB) was used as a source of DNA structures [40]. A double helix DNA structure, with two regions rich in G≡C pairs and one region rich in A=T pairs (d(CpGpCpGpApApTpTpCpGpCpG dodecamer), deposited under PDB ID 1BNA, was extracted from PDB [38], along with a DNA structure with an intercalation gap (deposited under PDB ID 1XRW), from which the ligand was removed [41].
For the dodecamer structure without an intercalation gap (1BNA), a grid box was used in which the whole DNA molecule could fit. This was done because there are no experimental results that indicate any specific binding site for the investigated compounds. For the structure with an intercalation gap (1XRW), the grid box was much smaller. The grid box for the DNA structure with an intercalation gap contains the gap and two nucleobase pairs above and below the gap. A Lamarckian genetic algorithm was used for the search and calculation of ligand-receptor binding affinities and determining the 50 best binding adducts (with the lowest energies of conformations) per calculation. Discovery Studio 2021 Client software (v21.1.0.20298) was used for the visualization and analysis of the docking results [42].

3.4. Cytotoxic Activity Determination

Human colorectal carcinoma (HCT116) and human breast adenocarcinoma (MDA-MB-231) cell lines were obtained from the European Collection of Authenticated Cell Cultures. HCT116 and MDA-MB-231 cells were cultured as monolayers in Dulbecco’s Modified Eagle Medium (DMEM, Thermo Fisher Scientific Inc., Waltham, MA, USA) supplemented with Antibiotic-Antimycotic solution (Thermo Fisher Scientific Inc.) and 10% (v/v) fetal bovine serum (FBS) (Thermo Fisher Scientific Inc.). The cells were incubated at 37 °C in a humidified environment with 95% air and 10% CO2. Cytotoxicity was assessed using the MTT (3-(4,5-dimethylthiazol-2-yl)-2,5-diphenyltetrazolium bromide) assay after 24 and 72 h of exposure to the investigated complex (0.1, 1, 10, 50, 100, and 200 µg/mL). After 30 min, MTT was removed, and 50 μL DMSO (Fisher Chemicals, Thermo Fisher Scientific Inc.) was added to each well. To determine cell viability, absorbance at 540 nm was measured with the Tecan Infinite200 plate reader (Tecan, Männedorf, Switzerland). Cell survival was expressed as a percentage compared to the untreated cells. Assays were performed in tetraplicates.

4. Conclusions

As this investigation reaches its conclusion, it is apparent that DMSO causes quite a bit of controversy in topics related to platinum complexes and anticancer research. The existence of DMSO in any reaction system that contains platinum ions always complicates things, as it is involved in various kinetically favored processes. In our study, we demonstrated how interactions with DMSO significantly impact reaction order and kinetics and influence possible reaction pathways and outcomes. DMSO seems to alter every investigated platinum ion reaction pathway and readily incorporates itself into all final product structures.
These DMSO-substituted platinum complexes obtained in the experiments exhibit significantly reduced in vitro anticancer activity in the preliminary evaluation, and we have attempted to predict and explain the reasons for this phenomenon. As the scope of this study is limited to the kinetic evaluation, further studies will be focused on complex separation and isolation, as well as obtaining non-DMSO-substituted complexes. This would enable a thorough comparative evaluation of their anticancer properties on various cancer cell lines, as well as normal cell lines, for the deduction of their safety profile and selectivity, and possibly analyzing the mechanisms of cell death. All the while, a more in-depth SAR-based comparison would possibly uncover the differences in their biomolecular interactions and provide more concrete evidence and reasoning as to how DMSO, as a ligand, specifically reduces the anticancer action of platinum(II) complexes.
For now, the bigger picture still remains unclear, as many platinum DMSO complexes have been found to exhibit anticancer activities, but our investigation provides a novel kinetic and mechanistic insight into the influence of DMSO in these types of chemical systems and, hopefully, serves as a cautionary tale for DMSO applications in synthetic protocols and anticancer research.

Supplementary Materials

The following supporting information can be downloaded at https://www.mdpi.com/article/10.3390/inorganics14040100/s1, Spectral data and spectra (Figure S1: 1H NMR spectrum of 2a; Figure S2: 13C NMR spectrum of 2a; Figure S3: IR spectrum of 2a; Figure S4: 1H NMR spectrum of 2b; Figure S5: 13C NMR spectrum of 2b; Figure S6: IR spectrum of 2b) and molecular structure, crystallographic, and refinement details (Figure S7: Molecular structure of 2b and atom numbering scheme; Table S1: Crystallographic and refinement details of 2b). Figure S8. Change in the chemical shift and shape of the signal of the thiohydantoin ring CH proton of 2a due to coordination in the 1H NMR spectra; Figure S9. Change in the chemical shift of signals of the allyl group protons of 2a due to coordination in the 1H NMR spectra; Figure S10. Possible signals of the [Pt-2a] minor species in the 1H NMR spectra; Figure S11. Change in the chemical shift of signals of 2a due to coordination in the 1H NMR spectra.

Author Contributions

Conceptualization, P.B.S., B.M.Š. and G.V.J.; methodology, P.B.S., A.I.N., D.P.A., M.V.R. and G.V.J.; validation, T.V.S., M.V.R., B.M.Š. and G.V.J.; formal analysis, P.B.S., A.I.N., T.V.S., D.P.A. and G.V.J.; investigation, P.B.S., A.I.N., T.V.S., D.P.A., M.V.R., B.M.Š. and G.V.J.; data curation, D.P.A., M.V.R. and G.V.J.; writing—original draft preparation, P.B.S., A.I.N. and G.V.J.; writing—review and editing, P.B.S., A.I.N., T.V.S., D.P.A., M.V.R., B.M.Š. and G.V.J.; visualization, P.B.S. and G.V.J.; supervision, T.V.S. and B.M.Š. All authors have read and agreed to the published version of the manuscript.

Funding

This research received no external funding.

Data Availability Statement

The original contributions presented in this study are included in the article/Supplementary Material. Further inquiries can be directed to the corresponding author.

Acknowledgments

The authors would like to express gratitude to the Ministry of Science, Technological Development, and Innovation of the Republic of Serbia for support (grant Nos. 451-03-33/2026-03/200378, 451-03-33/2026-03/200111, 451-03-34/2026-03/200252, and 451-03-33/2026-03/200026).

Conflicts of Interest

The authors declare no conflicts of interest.

References

  1. Romani, A.M.P. Cisplatin in Cancer Treatment. Biochem. Pharmacol. 2022, 206, 115323. [Google Scholar] [CrossRef]
  2. Elmorsy, E.A.; Saber, S.; Hamad, R.S.; Abdel-Reheim, M.A.; El-kott, A.F.; AlShehri, M.A.; Morsy, K.; Salama, S.A.; Youssef, M.E. Advances in Understanding Cisplatin-Induced Toxicity: Molecular Mechanisms and Protective Strategies. Eur. J. Pharm. Sci. 2024, 203, 106939. [Google Scholar] [CrossRef] [PubMed]
  3. Soldatović, T.V.; Šmit, B.; Mrkalić, E.M.; Matić, S.L.; Jelić, R.M.; Serafinović, M.Ć.; Gligorijević, N.; Čavić, M.; Aranđelović, S.; Grgurić-Šipka, S. Exploring Heterometallic Bridged Pt(II)-Zn(II) Complexes as Potential Antitumor Agents. J. Inorg. Biochem. 2023, 240, 112100. [Google Scholar] [CrossRef] [PubMed]
  4. Hall, M.D.; Telma, K.A.; Chang, K.-E.; Lee, T.D.; Madigan, J.P.; Lloyd, J.R.; Goldlust, I.S.; Hoeschele, J.D.; Gottesman, M.M. Say No to DMSO: Dimethylsulfoxide Inactivates Cisplatin, Carboplatin, and Other Platinum Complexes. Cancer Res. 2014, 74, 3913–3922. [Google Scholar] [CrossRef]
  5. Massart, C.; Le Tellier, C.; Gibassier, J.; Leclech, G.; Nicol, M. Modulation by Dimethyl Sulphoxide of the Toxicity Induced by Cis-Diamminedichloroplatinum in Cultured Thyrocytes. Toxicol. Vitr. 1993, 7, 87–94. [Google Scholar] [CrossRef]
  6. Dernell, W.S.; Straw, R.C.; Withrow, S.J.; Powers, B.E.; Fujita, S.M.; Yewey, G.S.; Joseph, K.F.; Dunn, R.L.; Whitman, S.L.; Southard, G.L. Apparent Interaction of Dimethyl Sulfoxide with Cisplatin Released from Polymer Delivery Devices Injected Subcutaneously in Dogs. J. Drug Target. 1998, 5, 391–396. [Google Scholar] [CrossRef]
  7. Kaszuba, A.; Sitkowski, J.; Muzioł, T.; Pokrzywka, K.; Kaźmierski, Ł.; Maj, M.; Steppeler, F.; Wojaczyńska, E.; Hoffmann, M.; Łakomska, I. Unveiling the Promising in Vitro Anticancer Activity of Lipophilic Platinum(II) Complexes Containing (1S,4R,5R)-4-(4-Phenyl-1H-1,2,3-Triazol-1-Yl)-2-((S)-1-Phenylethyl)-2-Azabicyclo[3.2.1]Octane: A Spectroscopic Characterization and DFT Calculation. Dalton Trans. 2025, 54, 5334–5354. [Google Scholar] [CrossRef]
  8. Moghadam, N.H.; Salehzadeh, S.; Kia, R.; Shahabadi, N.; Karimi, J.; Hokmi, S.; Movafagh, S.S. A New Antitumor Platinum(II) Complex Containing Metformin Drug: Synthesis, Characterization, Cellular Responses, and Theoretical Study. J. Mol. Struct. 2025, 1337, 142131. [Google Scholar] [CrossRef]
  9. Živković, M.D.; Kljun, J.; Ilic-Tomic, T.; Pavic, A.; Veselinović, A.; Manojlović, D.D.; Nikodinovic-Runic, J.; Turel, I. A New Class of Platinum(II) Complexes with the Phosphine Ligand Pta Which Show Potent Anticancer Activity. Inorg. Chem. Front. 2018, 5, 39–53. [Google Scholar] [CrossRef]
  10. Jakubowski, M.; Łakomska, I.; Sitkowski, J.; Wiśniewska, J. Dicarboxylato Platinum(II) Complexes Containing Dimethyl Sulfoxide and Triazolopyrimidine as Potential Anticancer Agents: Synthesis, Structural and Biological Studies in Solution. New J. Chem. 2018, 42, 8113–8122. [Google Scholar] [CrossRef]
  11. Bär, S.I.; Schleser, S.W.; Oberhuber, N.; Herrmann, A.; Schlotte, L.; Weber, S.E.; Schobert, R. Trans-[Bis(Benzimidazol-2-Ylidene)Dichlorido]Platinum(II) Complexes with Peculiar Modes of Action and Activity against Cisplatin-Resistant Cancer Cells. J. Inorg. Biochem. 2023, 238, 112028. [Google Scholar] [CrossRef]
  12. Cho, S.H.; Kim, S.H.; Shin, D. Recent Applications of Hydantoin and Thiohydantoin in Medicinal Chemistry. Eur. J. Med. Chem. 2019, 164, 517–545. [Google Scholar] [CrossRef]
  13. Gupta, A.K.; Thakur, G.S.; Jain, S.K. Recent Development in Hydantoins, Thiohydantoins, and Selenohydantoins as Anticancer Agents: Structure-Activity Relationship and Design Strategies. Mini-Rev. Med. Chem. 2025, 25, 693–726. [Google Scholar] [CrossRef] [PubMed]
  14. Gawas, P.P.; Ramakrishna, B.; Veeraiah, N.; Nutalapati, V. Multifunctional Hydantoins: Recent Advances in Optoelectronics and Medicinal Drugs from Academia to the Chemical Industry. J. Mater. Chem. C 2021, 9, 16341–16377. [Google Scholar] [CrossRef]
  15. Akpan, E.D.; Dagdag, O.; Ebenso, E.E. Progress on the Coordination Chemistry and Application of Hydantoins and Its Derivatives as Anticorrosive Materials for Steel: A Review. Coord. Chem. Rev. 2023, 489, 215207. [Google Scholar] [CrossRef]
  16. Tishchenko, K.; Beloglazkina, E.; Proskurnin, M.; Malinnikov, V.; Guk, D.; Muratova, M.; Krasnovskaya, O.; Udina, A.; Skvortsov, D.; Shafikov, R.R.; et al. New Copper(II) Thiohydantoin Complexes: Synthesis, Characterization, and Assessment of Their Interaction with Bovine Serum Albumin and DNA. J. Inorg. Biochem. 2017, 175, 190–197. [Google Scholar] [CrossRef]
  17. Šmit, B.; Pavlović, R.Z.; Radosavljević-Mihailović, A.; Došen, A.; Ćurčić, M.G.; Šeklić, D.S.; Živanović, M.N. Synthesis, Characterization and Cytotoxicity of a Palladium(II) Complex of 3-[(2-Hydroxybenzylidene)Amino]-2-Thioxoimidazolidin-4-One. J. Serb. Chem. Soc. 2013, 78, 217–227. [Google Scholar] [CrossRef]
  18. Cherneva, E.; Atanasova, M.; Buyukliev, R.; Tomovic, K.; Smelcerovic, Z.; Bakalova, A.; Smelcerovic, A. 3′-Methyl-4-thio-1H-tetrahydropyranspiro-5′-hydantoin Platinum Complex as a Novel Potent Anticancer Agent and Xanthine Oxidase Inhibitor. Arch. Pharm. 2020, 353, 2000039. [Google Scholar] [CrossRef]
  19. Bakalova, A.G.; Buyukliev, R.T.; Nikolova, R.P.; Shivachev, B.L.; Mihaylova, R.A.; Konstantinov, S.M. Synthesis, Spectroscopic Properties, Crystal Structure And Biological Evaluation of New Platinum Complexes with 5-Methyl-5-(2-Thiomethyl)Ethyl Hydantoin. Anticancer Agents Med. Chem. 2019, 19, 1243–1252. [Google Scholar] [CrossRef]
  20. Vatannavaz, L.; Sabounchei, S.J.; Sedghi, A.; Karamian, R.; Farida, S.H.M.; Rahmani, N. New Nickel, Palladium and Platinum Complexes of Hydantoin Derivative: Synthesis, Characterization, Theoretical Study and Biological Activity. Polyhedron 2020, 181, 114478. [Google Scholar] [CrossRef]
  21. Bakalova, A.; Buyukliev, R.; Momekov, G. Synthesis, DFT Calculations and Cytotoxic Investigation of Platinum Complexes with 3-Thiolanespiro-5′-Hydantoin and 4-Thio-1H-Tetrahydropyranespiro-5′-Hydantoin. J. Mol. Struct. 2015, 1091, 118–124. [Google Scholar] [CrossRef]
  22. Bakalova, A.; Varbanov, H.; Buyukliev, R.; Momekov, G.; Ivanov, D.; Doytchinova, I. Platinum Complexes with 5-Methyl-5(4-pyridyl)Hydantoin and Its 3-Methyl Derivatives: Synthesis and Cytotoxic Activity—Quantitative Structure-Activity Relationships. Arch. Pharm. 2011, 344, 209–216. [Google Scholar] [CrossRef]
  23. Kushev, D.; Naydenova, E.; Popova, J.; Maneva, L.; Grancharov, K.; Spassovska, N. Synthesis and Cytotoxicity of Platinum(II) Complexes of 3-Aminocyclopentanespiro-5-Hydantoin and 3-Aminocycloheptanespiro-5-Hydantoin. Z. Naturforschung C 2003, 58, 103–108. [Google Scholar] [CrossRef] [PubMed]
  24. Ahmedova, A.; Pavlović, G.; Marinov, M.; Marinova, P.; Momekov, G.; Paradowska, K.; Yordanova, S.; Stoyanov, S.; Vassilev, N.; Stoyanov, N. Synthesis and Anticancer Activity of Pt(II) Complexes of Spiro-5-Substituted 2,4-Dithiohydantoins. Inorg. Chim. Acta 2021, 528, 120605. [Google Scholar] [CrossRef]
  25. Fischer, S.J.; Benson, L.M.; Fauq, A.; Naylor, S.; Windebank, A.J. Cisplatin and Dimethyl Sulfoxide React to Form an Adducted Compound with Reduced Cytotoxicity and Neurotoxicity. Neurotoxicology 2008, 29, 444–452. [Google Scholar] [CrossRef] [PubMed]
  26. Varbanov, H.P.; Ortiz, D.; Höfer, D.; Menin, L.; Galanski, M.S.; Keppler, B.K.; Dyson, P.J. Oxaliplatin Reacts with DMSO Only in the Presence of Water. Dalton Trans. 2017, 46, 8929–8932. [Google Scholar] [CrossRef]
  27. Bugarčić, Ž.D.; Mojsilović, B.M.; Leovac, V.M. Mechanism of the Substitution Reactions between Dimethyl Sulphoxide and Trichloro(Dimethyl Sulphoxide)Platinate(II). J. Serb. Chem. Soc. 1996, 61, 659–663. [Google Scholar]
  28. Konovalov, B.; Živković, M.D.; Milovanović, J.Z.; Djordjević, D.B.; Arsenijević, A.N.; Vasić, I.R.; Janjić, G.V.; Franich, A.; Manojlović, D.; Skrivanj, S.; et al. Synthesis, Cytotoxic Activity and DNA Interaction Studies of New Dinuclear Platinum(II) Complexes with an Aromatic 1,5-Naphthyridine Bridging Ligand: DNA Binding Mode of Polynuclear Platinum(II) Complexes in Relation to the Complex Structure. Dalton Trans. 2018, 47, 15091–15102. [Google Scholar] [CrossRef]
  29. Rosa, N.M.P.; do C. Ferreira, F.H.; Farrell, N.P.; Costa, L.A.S. TriplatinNC and Biomolecules: Building Models Based on Non-Covalent Interactions. Front. Chem. 2019, 7, 307. [Google Scholar] [CrossRef]
  30. Komeda, S.; Moulaei, T.; Chikuma, M.; Odani, A.; Kipping, R.; Farrell, N.P.; Williams, L.D. The Phosphate Clamp: A Small and Independent Motif for Nucleic Acid Backbone Recognition. Nucleic Acids Res. 2011, 39, 325–336. [Google Scholar] [CrossRef]
  31. Neidle, S.; Nunn, C.M. Crystal Structures of Nucleic Acids and Their Drug Complexes. Nat. Prod. Rep. 1998, 15, 1–15. [Google Scholar] [CrossRef] [PubMed]
  32. Neidle, S. DNA Minor-Groove Recognition by Small Molecules (up to 2000). Nat. Prod. Rep. 2001, 18, 291–309. [Google Scholar] [CrossRef] [PubMed]
  33. Ren, J.; Chaires, J.B. Sequence and Structural Selectivity of Nucleic Acid Binding Ligands. Biochemistry 1999, 38, 16067–16075. [Google Scholar] [CrossRef] [PubMed]
  34. Kopka, M.L.; Goodsell, D.S.; Han, G.W.; Chiu, T.K.; Lown, J.; Dickerson, R.E. Defining GC-Specificity in the Minor Groove: Side-by-Side Binding of the Di-Imidazole Lexitropsin to C-A-T-G-G-C-C-A-T-G. Structure 1997, 5, 1033–1046. [Google Scholar] [CrossRef]
  35. Stanić, P.; Rodić, M.V.; Šmit, B. 5-(2-Methylsulfanylethyl)-3-Prop-2-Enyl-2-Sulfanylideneimidazolidin-4-One. Molbank 2025, 2025, M2057. [Google Scholar] [CrossRef]
  36. Frisch, M.J.; Trucks, G.W.; Schlegel, H.B.; Scuseria, G.E.; Robb, M.A.; Cheeseman, J.R.; Scalmani, G.; Barone, V.; Mennucci, B.; Petersson, G.A.; et al. Gaussian 09, Revision C.01; Gaussian, Inc.: Wallingford, CT, USA, 2009. [Google Scholar]
  37. Varbanov, H.; Buyukliev, R.; Bakalova, A.; Roller, A. 3-Amino-5-Methyl-5-(4-Pyridyl)Hydantoin. Acta Crystallogr. Sect. E 2009, 65, o953. [Google Scholar] [CrossRef]
  38. Drew, H.R.; Wing, R.M.; Takano, T.; Broka, C.; Tanaka, S.; Itakura, K.; Dickerson, R.E. Structure of a B-DNA Dodecamer: Conformation and Dynamics. Proc. Natl. Acad. Sci. USA 1981, 78, 2179–2183. [Google Scholar] [CrossRef]
  39. Morris, G.M.; Huey, R.; Lindstrom, W.; Sanner, M.F.; Belew, R.K.; Goodsell, D.S.; Olson, A.J. AutoDock4 and AutoDockTools4: Automated Docking with Selective Receptor Flexibility. J. Comput. Chem. 2009, 30, 2785–2791. [Google Scholar] [CrossRef]
  40. Burley, S.K.; Berman, H.M.; Bhikadiya, C.; Bi, C.; Chen, L.; Di Costanzo, L.; Christie, C.; Duarte, J.M.; Dutta, S.; Feng, Z.; et al. Protein Data Bank: The Single Global Archive for 3D Macromolecular Structure Data. Nucleic Acids Res. 2019, 47, D520–D528. [Google Scholar] [CrossRef]
  41. Baruah, H.; Wright, M.W.; Bierbach, U. Solution Structural Study of a DNA Duplex Containing the Guanine-N7 Adduct Formed by a Cytotoxic Platinum−Acridine Hybrid Agent. Biochemistry 2005, 44, 6059–6070. [Google Scholar] [CrossRef]
  42. BIOVIA. Dassault Systèmes, BIOVIA Discovery Studio, Release 2021; Dassault Systèmes: San Diego, CA, USA, 2020. [Google Scholar]
Figure 1. Synthesis and structure of the 2-thiohydantoin derivatives.
Figure 1. Synthesis and structure of the 2-thiohydantoin derivatives.
Inorganics 14 00100 g001
Figure 2. 1H NMR spectra of the reaction of thiohydantoin 2a and cisplatin. (a) The signal of the –S-CH3 protons of free 2a. (b) The signal of the –S-CH3 group of the coordinated 2a. (c) The signal of the NH3 ligand of [PtCl(NH3)2(dmso-d6)]+. (d) The signal of free ammonia.
Figure 2. 1H NMR spectra of the reaction of thiohydantoin 2a and cisplatin. (a) The signal of the –S-CH3 protons of free 2a. (b) The signal of the –S-CH3 group of the coordinated 2a. (c) The signal of the NH3 ligand of [PtCl(NH3)2(dmso-d6)]+. (d) The signal of free ammonia.
Inorganics 14 00100 g002
Figure 3. 1H NMR spectra of the reaction of thiohydantoin 2b and cisplatin. (a) The signal of the –S-CH3 protons of free 2b. (b) The signal of the –S-CH3 group of the coordinated 2b. (c) The signal of the NH3 ligand of [PtCl(NH3)2(dmso-d6)]+. (d) The signal of free ammonia. (e) The signal of the NH group of free 2b.
Figure 3. 1H NMR spectra of the reaction of thiohydantoin 2b and cisplatin. (a) The signal of the –S-CH3 protons of free 2b. (b) The signal of the –S-CH3 group of the coordinated 2b. (c) The signal of the NH3 ligand of [PtCl(NH3)2(dmso-d6)]+. (d) The signal of free ammonia. (e) The signal of the NH group of free 2b.
Inorganics 14 00100 g003
Figure 4. 1H NMR spectra of the reaction of cisplatin and DMSO-d6. (a) The signal of the NH3 protons of [PtCl(NH3)2(dmso-d6)]+. (b) The signals of NH3 protons of [Pt(NH3)2(dmso-d6)2]2+.
Figure 4. 1H NMR spectra of the reaction of cisplatin and DMSO-d6. (a) The signal of the NH3 protons of [PtCl(NH3)2(dmso-d6)]+. (b) The signals of NH3 protons of [Pt(NH3)2(dmso-d6)2]2+.
Inorganics 14 00100 g004
Figure 5. Changes in the concentrations of reactants and products of the reaction of 2a with cisplatin in DMSO-d6.
Figure 5. Changes in the concentrations of reactants and products of the reaction of 2a with cisplatin in DMSO-d6.
Inorganics 14 00100 g005
Figure 6. Changes in the concentrations of reactants and products of the reaction of 2b with cisplatin in DMSO-d6.
Figure 6. Changes in the concentrations of reactants and products of the reaction of 2b with cisplatin in DMSO-d6.
Inorganics 14 00100 g006
Figure 7. Possible coordination modes of 2a in the reaction with cisplatin.
Figure 7. Possible coordination modes of 2a in the reaction with cisplatin.
Inorganics 14 00100 g007
Figure 8. Graphs of the reaction of 2a with cisplatin: (a) second-order plot for 2a; (b) second-order plot for [Pt-2a]; (c) second-order plot for [PtCl(NH3)2(dmso-d6)]+; and (d) first-order plot for [PtCl(NH3)2(dmso-d6)]+.
Figure 8. Graphs of the reaction of 2a with cisplatin: (a) second-order plot for 2a; (b) second-order plot for [Pt-2a]; (c) second-order plot for [PtCl(NH3)2(dmso-d6)]+; and (d) first-order plot for [PtCl(NH3)2(dmso-d6)]+.
Inorganics 14 00100 g008
Figure 9. Graphs of the reaction of 2b with cisplatin: (a) second-order plot for 2b; (b) second-order plot for [Pt-2b]; (c) second-order plot for [PtCl(NH3)2(dmso-d6)]+; and (d) first-order plot for [PtCl(NH3)2(dmso-d6)]+.
Figure 9. Graphs of the reaction of 2b with cisplatin: (a) second-order plot for 2b; (b) second-order plot for [Pt-2b]; (c) second-order plot for [PtCl(NH3)2(dmso-d6)]+; and (d) first-order plot for [PtCl(NH3)2(dmso-d6)]+.
Inorganics 14 00100 g009
Figure 10. Possible structures of complexes formed in the reaction of 2b with cisplatin in DMSO-d6.
Figure 10. Possible structures of complexes formed in the reaction of 2b with cisplatin in DMSO-d6.
Inorganics 14 00100 g010
Figure 11. Model of the reaction of cisplatin with DMSO.
Figure 11. Model of the reaction of cisplatin with DMSO.
Inorganics 14 00100 g011
Figure 12. Formation and isomerization of platinum DMSO complexes in D2O.
Figure 12. Formation and isomerization of platinum DMSO complexes in D2O.
Inorganics 14 00100 g012
Figure 13. Structures of the major and minor products of the reactions of 2a and 2b with cisplatin in DMSO-d6.
Figure 13. Structures of the major and minor products of the reactions of 2a and 2b with cisplatin in DMSO-d6.
Inorganics 14 00100 g013
Figure 14. Cytotoxic effects of the complexes: [Pt-2a] on (a) HCT116 colorectal cancer cells and (b) on MDA-MB-231 breast cancer cells; [Pt-2b] on (c) HCT116 colorectal cancer cells and (d) on MDA-MB-231 breast cancer cells.
Figure 14. Cytotoxic effects of the complexes: [Pt-2a] on (a) HCT116 colorectal cancer cells and (b) on MDA-MB-231 breast cancer cells; [Pt-2b] on (c) HCT116 colorectal cancer cells and (d) on MDA-MB-231 breast cancer cells.
Inorganics 14 00100 g014
Figure 15. Binding sites for the obtained complexes within DNA structures without (1BNA) and with an intercalation gap (1XRW).
Figure 15. Binding sites for the obtained complexes within DNA structures without (1BNA) and with an intercalation gap (1XRW).
Inorganics 14 00100 g015
Figure 16. Depiction of the environment in the binding sites of [Pt-2a] complexes within the minor groove and [Pt-2b] complexes on the phosphate backbone.
Figure 16. Depiction of the environment in the binding sites of [Pt-2a] complexes within the minor groove and [Pt-2b] complexes on the phosphate backbone.
Inorganics 14 00100 g016
Disclaimer/Publisher’s Note: The statements, opinions and data contained in all publications are solely those of the individual author(s) and contributor(s) and not of MDPI and/or the editor(s). MDPI and/or the editor(s) disclaim responsibility for any injury to people or property resulting from any ideas, methods, instructions or products referred to in the content.

Share and Cite

MDPI and ACS Style

Stanić, P.B.; Nurović, A.I.; Soldatović, T.V.; Ašanin, D.P.; Rodić, M.V.; Šmit, B.M.; Janjić, G.V. Investigating the Kinetic Impact of DMSO on Platinum(II) Coordination: An Experimental and Computational Study of Cisplatin and 2-Thiohydantoin Ligands. Inorganics 2026, 14, 100. https://doi.org/10.3390/inorganics14040100

AMA Style

Stanić PB, Nurović AI, Soldatović TV, Ašanin DP, Rodić MV, Šmit BM, Janjić GV. Investigating the Kinetic Impact of DMSO on Platinum(II) Coordination: An Experimental and Computational Study of Cisplatin and 2-Thiohydantoin Ligands. Inorganics. 2026; 14(4):100. https://doi.org/10.3390/inorganics14040100

Chicago/Turabian Style

Stanić, Petar B., Amina I. Nurović, Tanja V. Soldatović, Darko P. Ašanin, Marko V. Rodić, Biljana M. Šmit, and Goran V. Janjić. 2026. "Investigating the Kinetic Impact of DMSO on Platinum(II) Coordination: An Experimental and Computational Study of Cisplatin and 2-Thiohydantoin Ligands" Inorganics 14, no. 4: 100. https://doi.org/10.3390/inorganics14040100

APA Style

Stanić, P. B., Nurović, A. I., Soldatović, T. V., Ašanin, D. P., Rodić, M. V., Šmit, B. M., & Janjić, G. V. (2026). Investigating the Kinetic Impact of DMSO on Platinum(II) Coordination: An Experimental and Computational Study of Cisplatin and 2-Thiohydantoin Ligands. Inorganics, 14(4), 100. https://doi.org/10.3390/inorganics14040100

Note that from the first issue of 2016, this journal uses article numbers instead of page numbers. See further details here.

Article Metrics

Back to TopTop