Next Article in Journal
Development of Modified Zeolites for Methane Separation from Diluted Streams
Next Article in Special Issue
Effect of Doping Inorganic Acid Radical Ions on Electrochemical Properties of Polyaniline/Graphite Carbon Paper Electrodes
Previous Article in Journal
Correction: Blanco et al. Dual-Promoted Trimetallic CoMo-Ni/Al2O3-K2O Catalysts: Impact of K2O Doping on Guaiacol Hydrodeoxygenation Selectivity. Inorganics 2026, 14, 45
Previous Article in Special Issue
Low-Temperature Co-Sintering of Li-Glass Solid Electrolytes and Li-Glass/Graphite Composite Anodes via Hot Press Processing
 
 
Font Type:
Arial Georgia Verdana
Font Size:
Aa Aa Aa
Line Spacing:
Column Width:
Background:
Article

Influence of Surface Morphology of High-Carbon Steel on Roughness of Copper Coating Fabricated During Electrolysis of Aqueous KOH Solution with Copper Anode

by
Svetlana V. Sidorova
1,*,
Alexey D. Kouptsov
1,
Anastasia A. Felde
2 and
Alexandre N. Zakharov
1,*
1
Faculties of Mechanical Engineering Technologies and Fundamental Sciences, Bauman Moscow State Technical University (BMSTU), 2-ya Baumanskaya, 5, 105005 Moscow, Russia
2
Lebedev Physical Institute of the Russian Academy of Sciences (LPI), Leninsky Avenue, 53, 119991 Moscow, Russia
*
Authors to whom correspondence should be addressed.
Inorganics 2026, 14(3), 79; https://doi.org/10.3390/inorganics14030079
Submission received: 15 December 2025 / Revised: 16 February 2026 / Accepted: 25 February 2026 / Published: 11 March 2026

Abstract

Electrodeposition of copper on the surface of the high-carbon steel (HCS) cathode was carried out in situ during the electrolysis of an aqueous KOH solution with a copper anode. A mechanism was proposed for the transfer of the copper from the anode to the cathode, followed by the formation of a copper film on the HCS. The surface roughness of the substrate and the copper coating was studied using AFM and profilographic data. There is a discrepancy between the roughness values of the substrate and coating obtained using different techniques. The surface morphology of the substrate was found to affect the copper film quality. The roughness of the copper coating calculated using AFM data replicated the roughness of the substrate surface. It was found that, despite some difference in the roughness calculated by profilographic and AFM data, the overall roughness trend remains unchanged.

Graphical Abstract

1. Introduction

Modification of a metal surface by nanoscale layers of different metals via electrodeposition has always attracted great attention due to the widespread use of these materials [1]. The morphology of the metal coating is of particular importance for various industries such as microelectronics, radio engineering and other applications of electrically conductive composites [2,3,4,5]. The most interesting is the control of the roughness of the metal coating surface [2]. In some cases, e.g., for optical devices, coating properties are a real problem that needs to be solved in order to obtain materials with the required performance characteristics [2].
Copper is often used as a coating of various metals. Copper coatings exhibit effective anticorrosive, electrically conductive and many other properties, among which even antimicrobial activity has been found [6,7,8]. Over the past 20–25 years, many research papers have been published on the application of copper coating on metals [9,10,11,12,13,14,15,16,17,18,19,20,21,22,23,24,25,26,27,28,29,30,31].
Many methods are known for manufacturing copper-coated composites [32,33]. A simple and available method of copper deposition on a metal substrate is the electrochemical reduction of copper ions from solutions of copper salts of inorganic and organic acids [3,4,9,10,11,12,13,14]. As a rule, neutral and acidic aqueous solutions of copper salts are used [9,11,12,13,16,17,18,19,20,21,29]. The salts are known to be strong electrolytes providing high electrical conductivity to solutions. The aqueous solutions of salts make it possible to carry out electrolysis without the use of supporting electrolytes. However, these systems have substantial disadvantages to providing high coating quality, e.g., a uniform metal coverage with low roughness and high adhesion to a substrate. The high adhesion of the coating layer is of great importance, since it prevents electrochemical corrosion of the substrate by increasing the resistance to corrosion damage and enhances material wear life [34].
Unfortunately, electrodeposition of metals from aqueous solutions results often in weak adhesion to the substrate surface owing to defects in coating [34,35]. The probability of the formation of defects increases during electrodeposition, especially from concentrated solutions of metal salts. The high rate of cation reduction is evident in not contributing to the formation of a defect-free coating. The poor adhesion leads to diminishing of corrosion resistance due to penetration of aggressive medium between the interface of the substrate and metal coating [35]. This phenomenon is observed during electrochemical deposition of metal, the probability of the formation of defects increasing with the increase in the rate of the reduction. The defected structures are known to show significantly lower performance characteristics.
It was found that deep eutectic solvents and ionic liquids as electrolytes are also very effective for electrodeposition of metals [35,36]. Unfortunately, not all ionic compounds, e.g., some inorganic salts of metals, are well soluble in these electrolytes. Nevertheless, hydrophobic ionic liquids were effectively used for electropolishing of metal surface [37]. Application of ionic liquids for electrodeposition of metals is also an effective method of fabricating metal coating.
Effective adhesion of the coating to the metal substrate is the main task in the manufacture of high-quality composite materials. For some metals, such as aluminum, this challenge has been solved to an extent by hot rolling on the steel substrate [38]. However, this method has a substantial disadvantage, since aluminum is easily oxidized even by traces of oxygen.
Also, it is very difficult to avoid a partial high-temperature oxidation of the substrate. This effect results in decreasing operational time of the goods due to interface corrosion, especially when using the material under alternating loads.
The inter-surface defects resulting in poor adhesion of coating to the substrate are of a varied nature. Superficial oxide films are the most wide-spread origin of the formation of the inter-surface defects deteriorating performance properties of materials [35].
Thus, a heterogeneity of the inter-surface layer is one of the problems in the manufacture of metal coatings. The solution for this problem can be achieved, for example, by reducing the reduction rate of copper ions by decreasing its concentration in electrolyte. This can be realized using strong alkalis (NaOH, KOH), which yield soluble anion complexes of Cu2+ ions.
Alkaline aqueous solutions are rarely used for electrodeposition of metals, since the majority of them do not form soluble compounds with hydroxide ions. Some metals, however, undergo a reaction with hydroxide ions to form negatively charged soluble hydroxide complexes. Copper ions also react with alkalis to yield water-soluble hydroxide compounds [39]. The higher the equilibrium constant of this reaction, the lower the concentration of free Cu2+ cations present in the solution.
Metal coating on the substrate results in a change in the surface morphology. The main morphological parameter of the solid surface is its roughness [12]. Roughness of the metal surface determines not only physical properties but also affects sufficiently the resistance to corrosion. The effect of the roughness of the substrate surface on coating roughness was observed earlier in one of the fist papers in 1988 [2]. The authors found that roughness of the coating surface does not always replicate the roughness of the substrate and depends on various factors such as the application conditions.
Electrodeposition of copper nanolayer from aqueous alkaline solutions onto steel surface is still poorly studied. The purpose of this work was to study electrodeposition of metal copper from sacrificial copper anode onto high-carbon steel cathode in the course of electrolysis of aqueous KOH solution to fabricate metal composites containing nanoscale copper coating. High-carbon steel was chosen as a substrate.
Additionally, the roughness of HCS and the copper coating obtained by electrodeposition from alkaline aqueous solutions were studied using two different methods, atomic force microscopy and profilography, the results of which were compared and discussed.
The main aim of our research is to show an opportunity to deposit copper from a copper-free solution. It is also the novelty of our research, since there are no data on the electrodeposition of copper from solutions that do not contain copper cations. There are no similar investigations in the literature. The cathode coating is always carried out from solutions containing metal cations.
This approach makes it possible to impact also on the coating quality. Obviously, the lower the concentration of the metal ions in solution, the lower the rate of cathodic deposition. Evidently, also, the lower the rate of metal deposition, the higher the coating quality. This condition can be achieved by reducing the concentration of the metal ions to be deposited.
The effect of the copper electrodeposition method on the surface state of the copper coating was studied using AFM and profilographic measurements.

2. Results and Discussion

2.1. Electrodeposition of Copper on High-Carbon Steel Cathode

Fabrication of metal coating on a steel by electrodeposition is a well-known process [1]. Usually, this process is realized in acidic solutions of metal salts containing metal cations [13,18,19,21,30]. As a rule, alkaline solutions are rarely used for applying metal coatings, since the majority of the important metals do not form soluble compounds in alkali medium.
Electrodeposition of metals is based on a reduction of the metal cations on the surface of a negatively charged electrode. At the same time, some metals are known to form soluble hydroxide complexes. However, the formation of the hydroxide compounds of metal ions leads to “overcharge” of the Cu2+ cations to yield negatively charged anions [Cu(OH)4]2−.
In this research, electrodeposition of copper was studied from copper-free aqueous solutions of KOH. The copper ions were generated in situ during the electrochemical oxidation of the copper anode. The process was carried out with a sacrificial copper electrode as an anode and a carbon steel cathode using the electrochemical cell without separating the anode and cathode parts.
The electrolysis of KOH aqueous solution undergoes the well-known reaction
2H2O = 2H2 + O2
This is the main process in this system. The majority of metals do not form soluble compounds in alkaline solutions. For example, iron is known not only to undergo no all-destructive oxidation but also to be effectively passivated in alkaline solutions, forming protective film. In contrast, copper belongs to the metals, whose solubility increases with increasing alkali concentration due to complex formation with hydroxide ions [40]. So, some part of electricity is consumed by the anode oxidation of copper to form soluble anion complex [Cu(OH)4]2−.
Cu + 4 OH¯ − 2 ē → [Cu(OH)4]2−
The colorless solution around anode turns blue due to the formation of [Cu(OH)4]2− ions after beginning the electrolysis of water.
At the same time, oxygen evolution at the copper anode is accompanied by the electrochemical oxidation of copper to yield the copper oxide according to the side-reaction:
Cu + O → CuO(s)
Superficial copper oxide, CuO(s), in turn, undergoes a reaction with the excess of KOH to form [Cu(OH)4]2− complex anion as well:
CuO(s) + H2O + 2 OH¯ → [Cu(OH)4]2−
Thus, the electrolysis of water in alkaline solutions with copper anode leads to the formation of [Cu(OH)4]2− anions. It is obvious that [Cu(OH)4]2− anions formed at the anode cannot migrate to the steel cathode to form a copper film on the surface of the carbon steel electrode. At the same time, the [Cu(OH)4]2− anions, as well as any other complex anions, produced partial cations Cu2+ according to the reversible reaction:
[Cu(OH)4]2− ↔ Cu2+ + 4 OH¯
The stability constant of the [Cu(OH)4]2− complex anions is lgβ = 16.26 ± 0.24 [40]. The small value of the stability constant means that the above equilibrium significantly shifted to the left, so that the concentration of Cu2+ cations is very small in alkaline solution.
The quality of the coating surface depends on the rate of the electrodeposition. The rate of the electrodeposition of metals affects one of the most important surface characteristics—its roughness. The lower the metal ion reduction rate, the lower the surface roughness of the coating.
Owing to extremely low concentration of Cu2+ cations, the rate of the electrodeposition of copper on the steel cathode is also very low. It is the low concentration of Cu2+ cations that makes it possible to obtain a high-quality coating without the formation of voids at the interface between the substrate and copper film. As a result of the low rate of copper electrodeposition, high adhesion of the coating to the substrate is also achieved, which increases its wear resistance.
In our case, the low electrodeposition rate was provided due to a very low concentration of Cu2+ ions.

2.2. AFM Study of the Surface Morphology of High-Carbon Steel and Copper Coating

To study the surface structure before and after copper electrodeposition, five samples of HCS were selected. They were distinguished by the roughness of the substrate surface obtained by mechanical polishing with various sandpapers #240, #400, #600, #1000, and #2000 (samples 1–5, respectively).
Atomic force microscopic analysis provides a visual representation of the nanoscale features of the surface of metals and film coatings. A typical morphology of the HCS surface and copper coating obtained by FM measurements, as well as the arithmetic mean deviations of the HCS surface profile after polishing with #600 sand #2000 sandpapers and the arithmetic mean deviations of the copper coating on this substrate, are shown in Figure 1, Figure 2, Figure 3 and Figure 4.
AFM images and surface profiles of the HCS substrate (after polishing the HCS substrate with #600 and #2000 sandpaper) and copper coating of these samples are shown in Figure 1 and Figure 3, respectively.
The distinct differences in morphology of the HCS shown in Figure 1 and Figure 3 are due to the difference in the initial finishing of the substrate, which affects the features of the copper coating as well.
The AFM images and surface profiles of the HCS obtained after finishing with #2000 sandpaper and the AFM images and surface profiles of the copper coating on this substrate are depicted in Figure 3.
According to the AFM data (Figure 1, Figure 2, Figure 3 and Figure 4), the roughness of the surface of copper coating is clearly seen to depend on the roughness of a substrate surface and to grow with the enhancement in the roughness of the substrate for all applied types of polishing of the high-carbon steel under the studied conditions of the electrodeposition of copper.
At the same time, however, the morphology of the coating has become more uniform. After applying the copper coating, the surface profile of steel is somewhat smoothed. The increase in the surface roughness of the copper coating compared to the roughness of the substrate surface occurs due to differences in the reduction rate of copper ions on the protrusions and cavities of the surface profile. Filling cracks and grooves with copper atoms results in smoothing of substrate roughness and formation of a more uniform profile of the surface.
The surface topographies and arithmetic mean deviations of the HCS and copper coating surface profiles of samples 1, 2 and 4 obtained from AFM measurements are shown in Figures S2, S4 and S6, respectively (Supplementary Information).

2.3. Study of the Surface Morphology of High-Carbon Steel and Copper Coating Using Profilographic Measurements

The morphology of the surface of the HCS and copper coating was also studied using profilographic measurements. However, profilographic measurements make it possible to examine a larger area of the surface as compared with AFM measurements. In this case, the usual measuring track is about 4 mm.
The arithmetic mean deviations of the HCS surface profile after polishing the substrate with #600 and #2000 sandpaper and surface profile of the copper coating are presented in Figure 5 and Figure 6, respectively.
The data obtained using profilographic measurements show that applying copper coating leads to an increase in the surface roughness regardless of the initial roughness of the substrate. Additionally, there is a change in the morphology all over the surface of the HCS. According to profilographic measurements, the development of the surface modified with a copper coating is clearly observed.
The corresponding results obtained from profilographic data for samples 1, 2, and 4 (samples polished with #240, #400, and #1000 sandpaper, respectively) are presented in Figures S7–S9, respectively (Supplementary Information).

2.4. Influence of Mechanical Finishing on Morphology of HCS Substrate

Mechanical polishing of the HCS substrate with various sandpapers results in samples with various roughness. The roughness of the samples as a function of the granule size (L) of the sandpaper, obtained using AFM and profilographic measurements, are shown in Figure 7.
The roughness of the HCS increases with an increase in the size of the abrasive granules (L). S-shaped curves are monotonic but not linear. On the other hand, the run of the roughness of the HCS (samples 1–5) on P index of the abrasive sandpaper has a different character (Figure 8). The roughness of the HCS substrate also decreases with an increase in the number of P index of the abrasive sandpaper (FEPA-P).
It should be noted that the roughness of the samples found using different methods correlate with each other much better than the relationship shown in Figure 8.
Additionally, both curves in Figure 8 can be approximated by two intersecting linear branches, 1′-1′, 1″-1″ and 2′-2′, 2″-2″. The intersection points of both lines are close enough to each other. This means that there are two dependencies of <Ra1> on P. In the range of lower p values, there is a sharp decrease in the roughness of the HCS. After P about 700–750, the roughness of the HCS measured by both methods remains practically constant and independent of the granule sizes of the abrasive material.
Despite some difference in the values of <Ra1> obtained using AFM and profilographic measurements, all the data presented in Figure 8 can be described by a single linear dependence in the form of an inverse function 1/<Ra1> on P (Figure 9).
Thus, the measurements of <Ra1> using AFM and profilographic data can be represented by a common straight line 1/<Ra1> = −0.00583 + 3.8 × 10−5 × P (nm) (R2 = 0.994) that makes it possible to calculate the intermediate values of the HCS roughness with sufficient accuracy using interpolation in the range of 240 < P < 2000.

2.5. The Effect of HCS Roughness on the Roughness of the Copper Coating

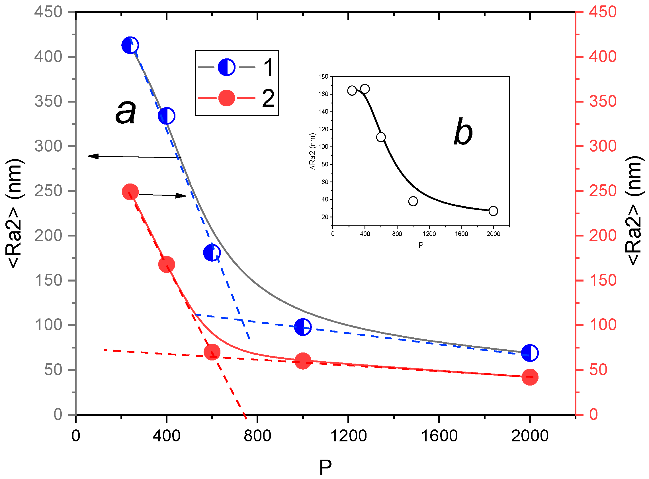
The roughness of the copper coating obviously depends both on the conditions of the mechanical treatment of the substrate and on the result of the finishing, i.e., on the resulting roughness of the HCS. The relationship between the roughness of the copper coating measured by both methods and P index of the sandpaper is shown in Figure 10.
It can be said that the shape of the curves depicting the average roughness of the copper coating generally is similar to that shown in Figure 8. Both curves obtained using different methods can also be approximated by two intersecting straight lines, the slopes of which differ significantly. It is absolutely clear this means a jump-like change in the character of the structure of the surface of both the HCS substrate resulting from the mechanical treatment and the copper coating replicating this change.
It is particularly important that this phenomenon is observed using both profilographic and AFM data at the same values of P index of the sandpaper, despite there being a significant discrepancy between the corresponding roughness obtained using profilographic and AFM measurements, ∆Ra2 = (Ra2)’ − (Ra2)’’, where (Ra2)’ and (Ra2)’’ are measurements obtained using profilographic and AFM data, respectively.
The change in ∆Ra2 as a function of the P index of the sandpaper is shown as insertion (b) in Figure 10. It can be seen that this value decreases sharply with P index and, after P index 900, remains practically constant.
Despite the fact that the values of ∆Ra2 decrease sharply with an increase in the P index, nevertheless, the discrepancies in the values of the copper coating roughness obtained using different methods are too large to be averaged, as was done for the corresponding values of the roughness of the HCS substrate (Figure 9).
Thus, on the base of the data shown in Figure 8 and Figure 10, it can be concluded that starting with the p value of the sandpaper, approximately 700–800, the following reduction in the size of the abrasive granules negligibly affects the quality of the surface of both the HCS substrate and the copper coating.
The average values of the slopes, α1 and α2, for the straight sections of the experimental curves <Ra1> and <Ra2> as functions of the P index of the sandpaper in the range #240–#600 found using data presented in Figure 8 and Figure 10 are summarized in Table 1. These data indicate that the roughness of the copper coating decreases in the range of #240–#600 almost twice as fast as the roughness of the HCS substrate.
The values of slopes (β1 and β2) of the curves in the range #600–#2000 are listed in Table 1 and also differ for the measurements by both methods. However, the ratios of these values obtained by different methods, i.e., <β1>/<β2>, were found to be very close to each other. The discrepancy between these ratios obtained using profilographic and AFM measurements is 3.8%.
This result indirectly confirms that, despite the difference between the roughness calculated by different methods, the main trend remains unchanged in all studied ranges of the P indexes.
The roughness of the HCS, in turn, also affects the quality of the copper coating electrodeposited from alkali solutions during electrolysis with a soluble copper anode. The roughness of the copper coating depends on the roughness of the HCS substrate. Two linear dependencies of the HCS substrate roughness and the roughness of the copper coating obtained using two different methods are shown in Figure 11.
As can be seen, the roughness of the substrate and the copper coating is described by two different straight lines obtained using the results of profilographic and AFM measurements. The slopes of these straight lines are different as well. The slope of the straight line calculated for the profilographic data is 1.40 and the same value obtained for AFM measurements is 1.02. In other words, only according to AFM measurements, the roughness of the copper coating completely replicates the roughness of the HCS substrate in all studied ranges of the P index of the sandpaper. On the other hand, the profilographic data gives slightly overestimated results.
This result is probably due to the difference in the physical principles used in profilographic measurements and AFM.

3. Materials and Methods

KOH was used as purchased for the preparation of the saturated solution as an electrolyte using distilled water. HCS was used as a substrate to be covered with a copper layer by electrodeposition during electrolysis of aqueous KOH solution with copper anode. The composition of HCS analyzed by using an Atomic Emission Spectrometer equipped with laser excitation SPEK LAES (Moscow, Russian Federation) is presented in Table 2.
HCS samples with a size of 25 mm × 30 mm × 2 mm were applied as a cathode. The surface of HCS, which was to be coated with a layer of copper, was mechanically polished using #240, #400, #600, #1000, and #2000 sandpaper (Al2O3) to achieve different roughness. The main characteristics of the sandpaper are presented in Table 3.
The differences in measured values of Ra1 are of stochastic nature, being due to experimental errors in both methods. To determine the effect of substrate roughness on the roughness of the copper coating, the average values <Ra1> were used (Table 3).
Before electrolysis, samples 1–5 were polished on an abrasive disc of Ryobi Shleifer Machine (Hong Kong, China,), the rate of which being monitored within the range of 10,000 r/min and vibration amplitude of 2.4 mm. The roughness of the polished samples was studied using AFM and Profilograph instrument. Profilograph (TR220 Profilograph) was used to compare the results of the surface roughness obtained by different methods. The results of polishing are listed in Table 2.
Figure 12 and Figure 13 show views of an AFM set and a schematic method for measuring roughness using AFM. The measuring range of linear dimensions is 0–93 μm in plane (relative deviation is 1%) and 0–10 μm in height (relative deviation is 5%). The data was processed using the Nova Px software.
Height and roughness of the samples were measured using TR220 Profilograph (Figure 14). The roughness of the samples was registered in the range of 0–40 μm. The measurements were performed in 10 μm increments (deviation is 10%). The measuring scheme is presented in Figure 15.
After polishing, HCS samples were treated with benzene and ethanol to remove the traces of organic substances and were placed as the cathodes in an electrochemical bath with saturated aqueous KOH solution. The view of the electrochemical bath is depicted in Figure 16.
The electrodeposition of copper was carried out in a two-electrode electrochemical bath without separation of cathodic and anode parts (Figure 16). A copper plate (5 mm × 50 mm × 0.5 mm) was used as a sacrificial electrode. The distance between HCS cathode and copper anode was 5 cm.
The electrodeposition process was carried out at a voltage of 1.5 V and at an electric current density of 50 mA cm−2 during 24 h at room temperature. The parameters for the electrochemical process were chosen in such a way to minimize the effect of the side reaction of water decomposition. The required current density was provided by controlling the depth of immersion of the HCS cathode in the electrolyte solution.
After electrodeposition of copper onto the HCS cathode, the electrode was rinsed with distilled water and dried in air at room temperature. A typical view of the samples 1, 3, and 5 covered with copper layer is shown in Figure 17.
Representative samples 1, 3, and 5 shown in Figure 17 differ in the roughness of the substrate surface finishing using sandpaper #240, #600, and #2000, respectively. The roughness of the substrate surface is visible on the upper sides of samples 1, 3, and 5, since the upper parts of the samples were not immersed in the electrolyte. The difference in the light reflection from the upper parts of the samples is due to the change in the different surface roughness. The smallest reflection of the light from the substrate of sample 1 (Table 3) indicates the greatest roughness. The greatest albedo from sample 5 (Table 4) is due to finishing the substrate with the sandpaper with the smallest size of the granules.
Visible differences of the surface of polished substrates, such as those shown in Figure 17, are confirmed by measuring roughness using AFM and profilograph. These methods are completely different in their physical nature. However, the results of profilographic measuring and data obtained using AFM are quite similar.

4. Conclusions

Electrolysis of KOH aqueous solution in an electrochemical bath with a high carbon steel cathode and a copper anode leads to electrodeposition of a copper film on a high-carbon steel electrode to form a copper coating.
The surface roughness of the copper coating has been found to increase linearly with an increase in the roughness of the substrate, measured by both AFM and profilographic methods.
A relationship was found between the roughness of the copper coating and the P index of the abrasive materials. Also, it was established that the roughness of both the substrate and the copper coating becomes independent of the P index of the sandpaper at P > 700–800.
Despite the fact that the measurements of the surface roughness using AFM and profilographic techniques show a noticeable difference in the results, the overall trend remains unchanged.

Supplementary Materials

The following supporting information can be downloaded at: https://www.mdpi.com/article/10.3390/inorganics14030079/s1. Figure S1. 2D and 3D AFM images of the surface of high-carbon steel (sample 1, Table 3) obtained after polishing with the #240 sandpaper (a and b, respectively) (<Ra1> is 212 nm) and 2D and 3D AFM images of the surface of the copper coating on this substrate (c and d, respectively) (<Ra2> is 249 nm) (AFM scanning range is 100 μm × 100 μm); Figure S2. The arithmetic mean deviation of the HCS surface profile after polishing with #240 sandpaper (sample 1, Table 3) (a) and the arithmetic mean deviation of the copper coating (b) on this substrate, measured using AFM data (AFM scanning range is 100 μm × 100 μm); Figure S3. 2D and 3D AFM images of the surface of high-carbon steel (sample 2, Table 3) obtained after polishing with the #400 sandpaper (a and b, respectively) (<Ra1> is 150 nm) and 2D and 3D AFM images of the surface of the copper coating on this substrate (c and d, respectively) (<Ra2> is 168 nm) (AFM scanning range is 100 μm × 100 μm); Figure S4. The arithmetic mean deviation of the HCS surface profile after polishing with #400 sandpaper (sample 2, Table 3) (a) and the arithmetic mean deviation of the copper coating (b) on this substrate, measured using AFM data (AFM scanning range is 100 μm × 100 μm); Figure S5. 2D and 3D AFM images of the surface of high-carbon steel (sample 4, Table 3) obtained after polishing with the #1000 sandpaper (a and b, respectively) (<Ra1> is 34 nm) and 2D and 3D AFM images of the surface of the copper coating on this substrate (c and d, respectively) (<Ra2> is 60 nm) (AFM scanning range is 100 μm × 100 μm); Figure S6. The arithmetic mean deviation of the HCS surface profile after polishing with #1000 sandpaper (a) and the arithmetic mean deviation of the copper coating (b) on this substrate, measured using AFM data (AFM scanning range is 100 μm × 100 μm); Figure S7. Profilographic data of the surface of high-carbon steel (sample 1, Table 3) obtained after polishing with the #240 sandpaper (a and b, respectively) (<Ra1> is 249 nm) and profilographic data of the surface of the copper coating on this substrate (c and d, respectively) (<Ra2> is 413 nm); Figure S8. Profilographic data of the surface of high-carbon steel (sample 2, Table 3) obtained after polishing with the #400 sandpaper (a and b, respectively) (<Ra1> is 289 nm) and profilographic data of the surface of the copper coating on this substrate (c and d, respectively) (<Ra2> is 334 nm); Figure S9. Profilographic data of the surface of high-carbon steel (sample 4, Table 3) obtained after polishing with the #1000 sandpaper (a and b, respectively) (<Ra1> is 24. nm) and profilographic data of the surface of the copper coating on this substrate (c and d, respectively) (<Ra2> is 98 nm).

Author Contributions

Conceptualization—A.N.Z. and S.V.S.; methodology and data analysis—A.N.Z. and S.V.S.; design and performance of the experiments—S.V.S., A.N.Z., A.D.K. and A.A.F.; experiments—A.D.K. and A.A.F.; writing—original draft preparation—A.N.Z. and S.V.S.; writing—review and editing—A.N.Z. and S.V.S. All authors have read and agreed to the published version of the manuscript.

Funding

Financial support from Bauman Moscow State Technical University is gratefully acknowledged.

Institutional Review Board Statement

Not applicable.

Informed Consent Statement

Not applicable.

Data Availability Statement

The original contributions presented in this study are included in the article/Supplementary Materials. Further inquiries can be directed to the corresponding authors.

Acknowledgments

This study was fulfilled using an Atomic Emission Spectrometer equipped with laser excitation SPEK LAES and Solver Next Atomic Force Microscope purchased by BMSTU Development Program.

Conflicts of Interest

The authors declare no conflicts of interest.

References

  1. Sequeira, C.A.C. Practice of Thin-layer Electrodeposition of Metals and Alloys. Biomed. J. Sci. Tech. Res. 2024, 58, 50550–50575. [Google Scholar] [CrossRef]
  2. Al-Jumaily, G.; Wilson, S.R.; Jacobson, R.D.; McNeil, J.R. Effects of Metal Coatings on the Surface Roughness and Optical Scatter Characteristics of Coated Surfaces. In Optical Interference Coatings, Technical Digest Series; Optica Publishing Group: Washington, DC, USA, 1988; paper TuA16; Available online: https://opg.optica.org/abstract.cfm?URI=OIC-1988-TuA16 (accessed on 17 February 2026).
  3. Aleshina, V.K.; Grigoryan, N.S.; Asnis, N.A.; Abrashov, A.A.; Fadeeva, V.A.; Chudnova, T.A. Effect of organic additives on copper electrodeposition in the manufacture of printed boards. Int. J. Corros. Scale Inhib. 2023, 12, 126–144. [Google Scholar] [CrossRef]
  4. Aleshina, V.K.; Grigoryan, N.S.; Asnis, N.A.; Vagramyan, T.A.; Kuznetsova, T.I. Additives to the electrolyte for copper plating of through-holes in multilayer printed circuit boards. Int. J. Corros. Scale Inhib. 2021, 10, 1661–1676. [Google Scholar] [CrossRef]
  5. Kondo, K.; Akolkar, R.N.; Barkey, D.P.; Yokoi, M. Copper Electrodeposition for Nanofabrication of Electronics Devices; Nanostructure Science and Technology; Springer: New York, NY, USA; Heidelberg, Germany; Dordrecht, The Netherlands; London, UK, 2014; Volume 171, p. 282. [Google Scholar] [CrossRef]
  6. Bigos, A.; Bugajska, M.; Kwiecien, I.; Janusz-Skuza, M.; Szczerba, M.; Ozga, P.; Wierzbicka-Miernik, A.; Dyner, M.; Misztela, A.; Dyner, A.; et al. Antipathogenic copper coatings: Electrodeposition process and microstructure analysis. Arch. Civ. Mech. Eng. 2023, 23, 233. [Google Scholar] [CrossRef]
  7. Bharadishettar, N.; Bhat, K.U.; Panemangalore, D.B. Coating technologies for copper based antimicrobial active surfaces: A perspective review. Metals 2021, 11, 711–738. [Google Scholar] [CrossRef]
  8. Zeiger, M.; Solioz, M.; Edongué, H.; Arzt, E.; Schneider, A.S. Surface structure influences contact killing of bacteria by copper. Microbiologyopen 2014, 3, 327–332. [Google Scholar] [CrossRef]
  9. Ibrahim, M.A.M.; Bakdash, R.S. New non-cyanide acidic copper electroplating bath based on glutamate complexing agent. Surf. Coat. Technol. 2015, 282, 139–148. [Google Scholar] [CrossRef]
  10. Li, Z.; Tan, B.; Shi, M.; Luo, J.; Hao, Z.; He, J.; Yang, G.; Cui, C. Bis-(sodium sulfoethyl)-disulfide: A promising agent for superconformal copper electrodeposition with wide operating concentration ranges. J. Electrochem. Soc. 2020, 167, 042508. [Google Scholar] [CrossRef]
  11. Florence, F.; Rajendran, N.S.; Srinivasan, K.N.; John, S. Studies on Electrodeposition of Copper from Methanesulphonic Acid Bath. Int. J. ChemTech Res. 2011, 3, 1318–1325. [Google Scholar]
  12. Alebrahim, M.F.; Khattab, I.A.; Sharif, A.O. Electrodeposition of copper from a copper sulfate solution using a packed-bed continuous-recirculation flow reactor at high applied electric current. Egypt. J. Pet. 2015, 24, 325–331. [Google Scholar] [CrossRef]
  13. Medeliene, V.; Kurtinaitiene, M.; Bikulčius, G.; Stankevič, V. A study of copper coatings electrodeposited in electrolyte with a metallic powder of chromium. Surf. Coatings Technol. 2006, 200, 6123–6129. [Google Scholar] [CrossRef]
  14. Kamel, M.M.; El_moemen, A.A.; Abd, A.; Rashwan, S.M.; Bolbol, A.M. Electrodeposition of nanocrystalline copper deposits using lactic acid-based plating bath. Metall 2018, 6, 179–183. [Google Scholar]
  15. Wang, X.; Cao, L.-A.; Yang, G.; Qu, X.-P. Study of direct Cu electrodeposition on ultra-thin Mo for copper interconnect. Microelectron. Eng. 2016, 164, 7–13. [Google Scholar] [CrossRef]
  16. Krishnan, R.M.; Kanagasabapathy, M.; Jayakrishnan, S.; Sriveeraraghavan, S.; Anantharam, R.; Natarajan, S.R. Electroplating of copper from a non-cyanide electrolyte. Plat. Surf. Finish. 1995, 82, 56–59. [Google Scholar]
  17. Kublanovsky, V.; Litovchenko, K. Mass transfer and mechanism of electrochemical reduction of copper(II) from aminoacetate electrolytes. J. Electroanal. Chem. 2000, 495, 10–18. [Google Scholar] [CrossRef]
  18. Ballesteros, J.C.; Chainet, E.; Ozil, P.; Meas, Y.; Trejo, G. Electrodeposition of copper from non-cyanide alkaline solution containing tartrate. Int. J. Electrochem. Sci. 2011, 6, 2632–2651. [Google Scholar] [CrossRef]
  19. Li, Q.; Hu, J.; Zhang, J.; Yang, P.; Huc, Y.; An, M. Screening of electroplating additive for improving throwing power of copper pyrophosphate bath via molecular dynamics simulation. Chem. Phys. Lett. 2020, 757, 137848. [Google Scholar] [CrossRef]
  20. Fabbri, L.; Giurlani, W.; Mencherini, G.; De Luca, A.; Passaponti, M.; Piciollo, E.; Fontanesi, C.; Caneschi, A.; Innocenti, M. Optimisation of thiourea concentration in a decorative copper plating acid bath based on methanesulfonic electrolyte. Coatings 2022, 12, 376. [Google Scholar] [CrossRef]
  21. Ibrahim, M.A.M. Copper electrodeposition from non-polluting aqueous ammonia baths. Plat. Surf. Finish. 2000, 87, 67–72. [Google Scholar]
  22. Gamburg, Y.D.; Zangari, G. Theory and Practice of Metal Electrodeposition; Springer: New York, NY, USA, 2011. [Google Scholar]
  23. Giurlani, W.; Zangari, G.; Gambinossi, F.; Passaponti, M.; Salvietti, E.; Di Benedetto, F.; Caporali, S.; Innocenti, M. Electroplating for Decorative Applications: Recent Trends in Research and Development. Coatings 2018, 8, 260. [Google Scholar] [CrossRef]
  24. Defforge, T.; Coudron, L.; Ménard, O.; Grimal, V.; Gautier, G.; Tran-Van, F. Copper electrodeposition into macroporous silicon arrays for through silicon via applications. Microelectron. Eng. 2013, 106, 160–163. [Google Scholar] [CrossRef]
  25. Kurapova, O.; Grashchenko, A.S.; Archakov, I.; Golubevd, S.N.; Konakov, V.G. The microstructure and mechanical properties of twinned copper-bismuth films obtained by DC electrodeposition. J. Alloys Compd. 2020, 862, 158007. [Google Scholar] [CrossRef]
  26. Vizza, M.; Pappaianni, G.; Giurlani, W.; Stefani, A.; Giovanardi, R.; Innocenti, M.; Fontanesi, C. Electrodeposition of Cu on PEDOT for a Hybrid Solid-State Electronic Device. Surfaces 2021, 4, 157–168. [Google Scholar] [CrossRef]
  27. Chiang, C.-H.; Lin, C.-C.; Hu, C.-C. Effects of Thiourea and Allyl Thioura on the Electrodeposition and Microstructures of Copper from Methanesulfonic Acid Baths. J. Electrochem. Soc. 2021, 168, 032505. [Google Scholar] [CrossRef]
  28. Armini, S.; El-Mekki, Z.; Swerts, J.; Nagar, M.; Demuynck, S. Direct Copper Electrochemical Deposition on Ru-Based Substrates for Advanced Interconnects Target 30 nm and 1/2 Pitch Lines: From Coupon to Full-Wafer Experiments. J. Electrochem. Soc. 2013, 160, D1–D6. [Google Scholar] [CrossRef]
  29. Bozzini, B.; D’Urzo, L.; Romanello, V.; Mele, C. Electrodeposition of Cu from Acidic Sulfate Solutions in the Presence of Bis-(3-sulfopropyl)-disulfide (SPS) and Chloride Ions. J. Electrochem. Soc. 2006, 153, C254–C257. [Google Scholar] [CrossRef]
  30. Moffat, T.P.; Wheeler, D.; Josell, D. Electrodeposition of Copper in the SPS-PEG-Cl Additive System. I. Kinetic Measurements: Influence of SPS. J. Electrochem. Soc. 2004, 151, C262–C271. [Google Scholar] [CrossRef]
  31. Dow, W.-P.; Huang, H.-S.; Yen, M.-Y.; Chen, H.-H. Influence of Molecular Weight of Polyethylene Glycol on Microvia Filling by Copper Electroplating. J. Electrochem. Soc. 2005, 152, C769–C775. [Google Scholar] [CrossRef]
  32. Luo, Z.; Su, Y.; Yue, S.; Yu, Q.; Zhang, H.; Zhang, J. Electrodeposition of copper nanopowder with controllable morphology: Influence of pH on the nucleation/growth mechanism. J. Solid State Electrochem. 2021, 25, 1611–1621. [Google Scholar] [CrossRef]
  33. Vdovin, K.N.; Dubskii, G.A.; Nefed’ev, A.A.; Derevyanko, D.V. Coating of a steel wire with copper. Russ. Met. 2016, 2016, 250–255. [Google Scholar] [CrossRef]
  34. Nwaogu, U.C.; Tiedje, N.S. Foundry Coating Technology: A Review. Mater. Sci. Appl. 2011, 2, 1143–1160. [Google Scholar] [CrossRef]
  35. Wan, H.; Song, D.; Li, X.; Zhang, D.; Gao, J.; Du, C. Failure Mechanisms of the Coating/Metal Interface in Waterborne Coatings: The Effect of Bonding. Materials 2017, 10, 397. [Google Scholar] [CrossRef]
  36. Zankana, M.M.S.R.; Barzinjy, A.A.A. Electrodeposition of some metals and their alloys using different deep eutectic solvents based on choline chloride. J. Garmian Univ. 2017, 4, 474–485. [Google Scholar] [CrossRef][Green Version]
  37. Smith, E.L.; Abbott, A.P.; Ryder, K.S. Deep eutectic solvents (DESs) and their applications. Chem. Rev. 2014, 114, 11060–11082. [Google Scholar] [CrossRef]
  38. Lebedeva, O.; Kultin, D.; Zakharov, A.; Kustov, L. Advantages of Electrochemical Polishing of Metals and Alloys in Ionic Liquids. Metals 2021, 11, 959. [Google Scholar] [CrossRef]
  39. Vincze, G.; Simões, F.; Butuc, M. Asymmetrical Rolling of Aluminum Alloys and Steels: A Review. Metals 2020, 10, 1126. [Google Scholar] [CrossRef]
  40. Powell, K.J.; Brown, P.L.L.; Byrne, R.H.; Gajda, S.; Hefter, G.N.; Sjöberg, S.N.; Wanner, H. Chemical speciation of environmentally significant metals with inorganic ligands. Part 2: The Cu2+–OH, Cl, CO32–, SO42–, and PO43– systems. Pure Appl. Chem. 2007, 79, 895–950. [Google Scholar] [CrossRef]
Figure 1. 2D and 3D AFM images ((a) and (b), respectively) of the high-carbon steel surface after polishing by P600 sandpaper (<Ra1> is 44 nm) and 2D and 3D AFM images ((c) and (d), respectively) of the surface of copper coating on the substrate (<Ra2> is 66 nm) (AFM scanning range is 100 μm × 100 μm).
Figure 1. 2D and 3D AFM images ((a) and (b), respectively) of the high-carbon steel surface after polishing by P600 sandpaper (<Ra1> is 44 nm) and 2D and 3D AFM images ((c) and (d), respectively) of the surface of copper coating on the substrate (<Ra2> is 66 nm) (AFM scanning range is 100 μm × 100 μm).
Inorganics 14 00079 g001
Figure 2. The arithmetic mean deviation of the HCS surface profile after polishing with #600 sandpaper (a) and the arithmetic mean deviation of the copper coating (b) on this substrate, measured using AFM data (AFM scanning range is 100 μm × 100 μm).
Figure 2. The arithmetic mean deviation of the HCS surface profile after polishing with #600 sandpaper (a) and the arithmetic mean deviation of the copper coating (b) on this substrate, measured using AFM data (AFM scanning range is 100 μm × 100 μm).
Inorganics 14 00079 g002aInorganics 14 00079 g002b
Figure 3. 2D and 3D AFM images of the surface of high-carbon steel (sample 5) obtained after polishing with the #2000 sandpaper ((a) and (b), respectively) (<Ra1> is 9 nm) and 2D and 3D AFM images of the surface of the copper coating on this substrate ((c) and (d), respectively) (<Ra2> is 44 nm) (AFM scanning range is 100 μm × 100 μm).
Figure 3. 2D and 3D AFM images of the surface of high-carbon steel (sample 5) obtained after polishing with the #2000 sandpaper ((a) and (b), respectively) (<Ra1> is 9 nm) and 2D and 3D AFM images of the surface of the copper coating on this substrate ((c) and (d), respectively) (<Ra2> is 44 nm) (AFM scanning range is 100 μm × 100 μm).
Inorganics 14 00079 g003
Figure 4. The arithmetic mean deviation of the HCS surface profile after polishing with #2000 sandpaper (sample 5) (a) and the arithmetic mean deviation of the copper coating on this substrate (b), measured using AFM data (AFM scanning range is 100 μm × 100 μm).
Figure 4. The arithmetic mean deviation of the HCS surface profile after polishing with #2000 sandpaper (sample 5) (a) and the arithmetic mean deviation of the copper coating on this substrate (b), measured using AFM data (AFM scanning range is 100 μm × 100 μm).
Inorganics 14 00079 g004
Figure 5. The arithmetic mean deviation of the HCS surface profile without ((a), <Ra1> is 58 nm) and with ((b), <Ra2> is 179 nm) copper coating after polishing the HCS using #600 sandpaper, obtained as a result of profilographic measurements.
Figure 5. The arithmetic mean deviation of the HCS surface profile without ((a), <Ra1> is 58 nm) and with ((b), <Ra2> is 179 nm) copper coating after polishing the HCS using #600 sandpaper, obtained as a result of profilographic measurements.
Inorganics 14 00079 g005
Figure 6. The arithmetic mean deviation of HCS surface profile without ((a), <Ra1> is 18 nm) and with ((b), <Ra2> is 71 nm) copper coating obtained after polishing using #2000 sandpaper, obtained by measuring with a profilographic technique.
Figure 6. The arithmetic mean deviation of HCS surface profile without ((a), <Ra1> is 18 nm) and with ((b), <Ra2> is 71 nm) copper coating obtained after polishing using #2000 sandpaper, obtained by measuring with a profilographic technique.
Inorganics 14 00079 g006aInorganics 14 00079 g006b
Figure 7. Plots of the average roughness of HCS (<Ra1>) vs. size of the granules of the sandpaper (L) measured by the use of profilographic (1) and AFM (2) techniques.
Figure 7. Plots of the average roughness of HCS (<Ra1>) vs. size of the granules of the sandpaper (L) measured by the use of profilographic (1) and AFM (2) techniques.
Inorganics 14 00079 g007
Figure 8. Plots of average roughness of the HCS substrate <Ra1> vs. P index of the abrasive sandpaper obtained using profilographic (1) and AFM (2) data.
Figure 8. Plots of average roughness of the HCS substrate <Ra1> vs. P index of the abrasive sandpaper obtained using profilographic (1) and AFM (2) data.
Inorganics 14 00079 g008
Figure 9. Plots of 1 / <Ra1> vs. P index of the abrasion sandpaper for 1–5 samples for profilographic (1) and AFM (2) data.
Figure 9. Plots of 1 / <Ra1> vs. P index of the abrasion sandpaper for 1–5 samples for profilographic (1) and AFM (2) data.
Inorganics 14 00079 g009
Figure 10. Plots of copper coating roughness <Ra2> vs. P index of sandpaper using profilographic (1) and AFM (2) data (a); insertion: ∆Ra2 is a difference between Ra2 calculated using profilographic (1) and AFM (2) data (b).
Figure 10. Plots of copper coating roughness <Ra2> vs. P index of sandpaper using profilographic (1) and AFM (2) data (a); insertion: ∆Ra2 is a difference between Ra2 calculated using profilographic (1) and AFM (2) data (b).
Inorganics 14 00079 g010
Figure 11. Plots of copper coating average roughness <Ra2> vs. average roughness of the HCS substrate <Ra1> found using profilographic (1) and AFM (2) data.
Figure 11. Plots of copper coating average roughness <Ra2> vs. average roughness of the HCS substrate <Ra1> found using profilographic (1) and AFM (2) data.
Inorganics 14 00079 g011
Figure 12. View of Solver Next Atomic Force Microscope.
Figure 12. View of Solver Next Atomic Force Microscope.
Inorganics 14 00079 g012
Figure 13. Schematic view of roughness measurement using AFM.
Figure 13. Schematic view of roughness measurement using AFM.
Inorganics 14 00079 g013
Figure 14. Schematic view of the device for roughness measuring by means of TR220 Profilograph (TIME Group, Hong Kong, China): 1—substrate pad; 2—table for measuring; 3—profilograph; 4—plateform; 5—screw-nut transfer handle.
Figure 14. Schematic view of the device for roughness measuring by means of TR220 Profilograph (TIME Group, Hong Kong, China): 1—substrate pad; 2—table for measuring; 3—profilograph; 4—plateform; 5—screw-nut transfer handle.
Inorganics 14 00079 g014
Figure 15. Schematic representation of a method of measuring surface roughness by TR220 Profilograph device.
Figure 15. Schematic representation of a method of measuring surface roughness by TR220 Profilograph device.
Inorganics 14 00079 g015
Figure 16. Schematic view of the electrochemical bath for electrodeposition of copper on HCS cathode.
Figure 16. Schematic view of the electrochemical bath for electrodeposition of copper on HCS cathode.
Inorganics 14 00079 g016
Figure 17. Photographs of HCS samples 1, 3, and 5 (from left to right) coated with a copper layer after electrodeposition in the course of electrolysis of H2O in saturated KOH solution with a copper anode for 24 h (1.5 V; 50 mA cm−2); the number of the sample corresponds to the number in Table 3.
Figure 17. Photographs of HCS samples 1, 3, and 5 (from left to right) coated with a copper layer after electrodeposition in the course of electrolysis of H2O in saturated KOH solution with a copper anode for 24 h (1.5 V; 50 mA cm−2); the number of the sample corresponds to the number in Table 3.
Inorganics 14 00079 g017
Table 1. Slopes (α1 and α2) and average slopes (<α1> and <α2>), calculated for the straight sections of the curves <Ra1> and <Ra2>, respectively, as functions of the P index of sandpaper in the range 240–700 and slopes (β1 and β2) and average slopes (<β1> and <β2>) as functions of the P index of sandpaper in the range 700–2000, obtained from profilographic and AFM data, respectively.
Table 1. Slopes (α1 and α2) and average slopes (<α1> and <α2>), calculated for the straight sections of the curves <Ra1> and <Ra2>, respectively, as functions of the P index of sandpaper in the range 240–700 and slopes (β1 and β2) and average slopes (<β1> and <β2>) as functions of the P index of sandpaper in the range 700–2000, obtained from profilographic and AFM data, respectively.
2>/<α1><Ra2><Ra1>
2>α21>α1
1.660.580.650.350.35Profilograph
0.510.35AFM
2>/<β1>2>β21>β1
1.60.0240.0290.0150.009Profilograph
0.0180.02AFM
Table 2. Element composition of HCS.
Table 2. Element composition of HCS.
FeCCrNiMnSiComposition
rest0.1<0.01<0.010.3<0.01%
Table 3. Characteristics of the abrasive materials (granule size range, GSR; average size of granule. <L>) and the roughness (Ra1) and average roughness (<Ra1>) of the HCS samples after polishing, obtained using AFM and profilographic measurements.
Table 3. Characteristics of the abrasive materials (granule size range, GSR; average size of granule. <L>) and the roughness (Ra1) and average roughness (<Ra1>) of the HCS samples after polishing, obtained using AFM and profilographic measurements.
Roughness, nm<L>, μmGSR, μmSandpaperHCS Sample
ProfilographAFM
<Ra1>Ra1<Ra1>Ra1
2492472122346050–69#2401
250191
1511493428–40#4002
152
785848532420–28#6003
9844
242334311714–20#10004
2536
151114973–10#20005
1818
Table 4. Roughness (Ra2) and average roughness (<Ra2>) of copper coating electrodeposited onto HCS cathode during electrolysis of an aqueous KOH solution, obtained according to AFM and profilographic data; the sample number corresponds to the same sample in Table 3.
Table 4. Roughness (Ra2) and average roughness (<Ra2>) of copper coating electrodeposited onto HCS cathode during electrolysis of an aqueous KOH solution, obtained according to AFM and profilographic data; the sample number corresponds to the same sample in Table 3.
ProfilographAFMSample
<Ra2>, nmRa2, nm<Ra2>, nmRa2, nm
4134242492751
402222
3343391681652
328170
18118270733
17966
9810160564
9666
696742405
7144
Disclaimer/Publisher’s Note: The statements, opinions and data contained in all publications are solely those of the individual author(s) and contributor(s) and not of MDPI and/or the editor(s). MDPI and/or the editor(s) disclaim responsibility for any injury to people or property resulting from any ideas, methods, instructions or products referred to in the content.

Share and Cite

MDPI and ACS Style

Sidorova, S.V.; Kouptsov, A.D.; Felde, A.A.; Zakharov, A.N. Influence of Surface Morphology of High-Carbon Steel on Roughness of Copper Coating Fabricated During Electrolysis of Aqueous KOH Solution with Copper Anode. Inorganics 2026, 14, 79. https://doi.org/10.3390/inorganics14030079

AMA Style

Sidorova SV, Kouptsov AD, Felde AA, Zakharov AN. Influence of Surface Morphology of High-Carbon Steel on Roughness of Copper Coating Fabricated During Electrolysis of Aqueous KOH Solution with Copper Anode. Inorganics. 2026; 14(3):79. https://doi.org/10.3390/inorganics14030079

Chicago/Turabian Style

Sidorova, Svetlana V., Alexey D. Kouptsov, Anastasia A. Felde, and Alexandre N. Zakharov. 2026. "Influence of Surface Morphology of High-Carbon Steel on Roughness of Copper Coating Fabricated During Electrolysis of Aqueous KOH Solution with Copper Anode" Inorganics 14, no. 3: 79. https://doi.org/10.3390/inorganics14030079

APA Style

Sidorova, S. V., Kouptsov, A. D., Felde, A. A., & Zakharov, A. N. (2026). Influence of Surface Morphology of High-Carbon Steel on Roughness of Copper Coating Fabricated During Electrolysis of Aqueous KOH Solution with Copper Anode. Inorganics, 14(3), 79. https://doi.org/10.3390/inorganics14030079

Note that from the first issue of 2016, this journal uses article numbers instead of page numbers. See further details here.

Article Metrics

Back to TopTop