Abstract
N-Heterocyclic carbenes (NHCs) have been widely utilized over the past three decades due to their broad applications, yet synthetic methods for their preparation remain limited. A promising approach for NHC generation involves the thermolysis of NHC adducts. Herein, we report the synthesis of NHC pentafluorobenzene adducts featuring an o-carboranyl group in the backbone (2), which, unlike previously studied systems, resists thermal decomposition. Density functional theory (DFT) calculations were used to investigate the discrepancy, revealing that the decomposition reaction is kinetically controlled. For widely studied NHC systems like IMes and SIMes, the activation barriers were calculated to be 246.3 kJ/mol and 267.3 kJ/mol, respectively, aligning with reactions requiring heating. In contrast, the o-carborane system exhibited a significantly higher barrier of 320.5 kJ/mol, primarily due to the structural influence of the o-carborane backbone. Further analysis indicates that delocalization of π-electrons from the backbone into the NHC’s p-orbitals lowers the activation barrier, whereas delocalization into an exo-NHC ring increases it. These findings provide new insights into the thermal generation of NHCs and we hope it can offer guidance for future NHC design and synthesis.
1. Introduction
Since the first isolation and characterization of stable N-heterocyclic carbene (NHC) by Arduengo and colleagues in 1991 [1,2], these compounds have attracted significant attention due to their broad range of applications [3,4,5,6,7,8,9,10,11,12]. These include serving as ligands in transition-metal-catalyzed homogeneous reactions, stabilizing reactive low-valent main group species, facilitating the construction of self-assembled metallacycles and metallacages, etc. [13,14,15,16,17,18,19]. Free NHCs have also proven highly effective as organocatalysts in various reactions. Despite their widespread use, synthetic methods for the preparation of free NHCs remain limited. The most common approach involves deprotonating the precursor imidazolium salt using strong bases such as n-BuLi, M[N(SiMe3)2] (M = Li, Na, K), KOtBu, NaH, or Li(NiPr2) [20,21,22,23,24,25]. Alternative methods include the alkali metal reduction of imidazolidin-2-thiones [26] and the deprotonation of “protected” NHC adducts, such as 2-alkoxy-imidazolidines or 2-phenoxy-imidazolidines [27,28].
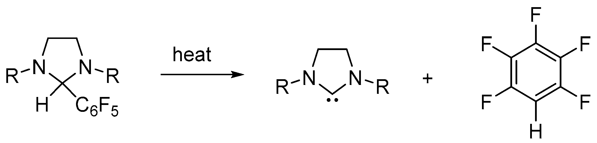
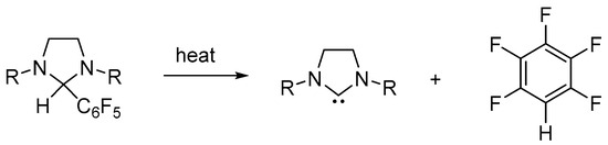
In 2004, Waymouth, Hedrick, and colleagues [29] reported the thermolysis (thermal decomposition) of a new class of air-stable NHC adducts which incorporate a pentafluorophenyl substituent as a protective group (Scheme 1). These adducts are conveniently synthesized through the condensation of diamines with pentafluorobenzaldehyde and decompose readily upon mild heating to yield the corresponding NHCs. The only byproduct of this thermolysis is pentafluorobenzene (boiling point 85 °C). This methodology appears to be promising for generating NHCs for three key reasons: (1) it avoids the use of alkali metals or strong bases; (2) the pentafluorobenzene-based adducts are easily accessible and air stable at room temperature; (3) the byproduct is innocent in most subsequent reactions and can be readily removed under vacuum.
Scheme 1.
Thermolysis for generating free NHCs (R = Ph, 2,4,6-trimethylphenyl).
Subsequently, Bedford and colleagues utilized this thermal decomposition method to synthesize phosphite-based palladium complexes with NHC ligands, as well as an iron–NHC complex formed in situ [30,31,32]. Grubbs and co-workers [33] also employed this approach to synthesize the second-generation Grubbs catalyst, along with iridium and rhodium complexes containing NHC ligands. They later developed rotationally locked NHC pentafluorophenyl adducts, from which rhodium–NHC complexes were successfully obtained [34]. Similarly, Herrmann and colleagues reported rhodium–NHC complexes, but using π-acceptor substituted NHCs (Scheme 2) [35]. Thermal gravimetric analysis demonstrated that the experimental weight loss of the NHC pentafluorophenyl adduct correlated well with the theoretical calculations.
Scheme 2.
Synthesis of NHC-Rh complexes using the thermal generation of NHC method.
Carboranes are polyhedral boron hydride molecular clusters in which at least one of the BH vertices is replaced by a CH group, forming a highly stable and unique molecular structure. They can be structurally categorized into four main types: closo-, nido-, arachno-, and hypho-, with the first two being the most extensively studied [36,37,38,39,40,41,42,43,44,45,46]. Nevertheless, closo- and nido-carboranes exhibit a distinct electron effect when functioning as an auxiliary ligand. For example, closo-carboranes can be considered an electron-withdrawing group due to their electron deficiency and/or the three-dimensional aromaticity of their cage structure, while nido-carboranes are viewed as electron-donating groups because they carry a negative charge [47,48,49,50,51,52,53]. We have previously reported the facile synthesis and functionalization of diamino o-carborane, which has been utilized in the preparation of salen ligands and NHCs [54,55,56,57,58]. During the modification of NHCs with carborane groups in their backbone [59,60,61], it was found that the o-carborane cage could undergo structural opening, leading to the formation of nido-carboranes-supported NHCs. This structural transformation, in turn, led to the development of highly electron-donating NHCs as the backbone has a negative charge. Given the different electronic effects that can be imparted by an o-carborane moiety, efforts are directed toward preparing o-carborane-supported NHCs.
In this work, we report the synthesis of NHC pentafluorobenzene adducts and investigate the thermal generation of o-carborane-supported NHCs. However, various attempts to generate these NHCs thermally were unsuccessful. Its reaction with a strong base (n-BuLi) also resulted in the abstraction of fluoride from the pentafluorobenzene moiety. We then shifted our focus to a theoretical study of the thermal generation of NHCs. Several models were investigated, revealing that the reductive elimination of pentafluorobenzene from the NHC is critical to the reaction and the exo-π-electron conjugation (such as cyano and o-carborane) is unfavorable for the thermal generation of NHCs.
2. Results and Discussion
2.1. Synthesis
Treatment of the secondary diamine functionalized o-carborane [54,55] (1) with pentafluorobenzaldehyde in the presence of a catalytic amount of methanesulfonic acid (CH3SO3H) gave the NHC adducts (2) in moderate isolated yields. (Scheme 3) The structures of these adducts were confirmed by 1H, 13C, 11B, and 19F NMR spectroscopy, as well as high-resolution mass spectrometry (HRMS). For example, in the 1H NMR spectrum of 1a, the broad signal corresponding to the NH group disappeared, and a new singlet resonance at 4.98 ppm, attributable to the CH group, appeared. HRMS analysis revealed the expected molecular ion peak for [C17H25B9N2]+, along with the corresponding isotopic pattern. The structures of 2a and 2b were further confirmed by single-crystal X-ray diffraction (Figure 1). It is worth noting that the choice of catalyst is crucial in this reaction. Previously, we successfully achieved the ring-closure reaction of amine-functionalized o-carborane (1) with polyformaldehyde using trifluoroacetic acid (CF3COOH) as a catalyst [54,55]. However, CF3COOH proved ineffective for the condensation of 1 with pentafluorobenzaldehyde under various conditions (e.g., different solvents or elevated temperatures). We also tested the more acidic CF3SO3H, which led to the formation of 3 as a byproduct (Figures S9 and S16). It is inferred that the acidity of CF3SO3H is too strong for this reaction. The acidity of CH3SO3H, which is stronger than that of CF3COOH but weaker than that of CF3SO3H, appears to be optimal for this transformation.
Scheme 3.
Synthesis of o-carborane-fused imidazole 2.
Figure 1.
(a) Molecular structure of 2a (Color code: Boron (brown), Nitrogen (blue), Fluorine (green), and Carbon (white); Hydrogen atoms are omitted for clarity, ellipsoids are set at the 30% probability level). Selected bond lengths (pm) and angles (o): N(1)-C(1) 148.6(2), N(1)-C(2) 143.52(19), N(1)-C(4) 147.76(18), N(2)-C(1) 149.44(19), N(2)-C(3) 144.24(19), N(2)-C(11) 148.06(19), C(2)-C(3) 158.5(2); C(2)-N(1)-C(1) 106.70(11), C(2)-N(1)-C(4) 115.65(12), C(4)-N(1)-C(1) 115.78(12), C(3)-N(2)-C(1) 106.18(11), C(3)-N(2)-C(11) 114.11(12), C(11)-N(2)-C(1) 114.61(12), N(1)-C(1)-N(2) 104.66(12), N(1)-C(1)-C(18) 112.09(12), N(2)-C(1)-C(18) 112.14(12), N(1)-C(2)-C(3) 105.42(11), N(2)-C(3)-C(2) 105.80(11). (b) Molecular structure of 2b. Selected bond lengths (pm) and angles (o): C(2)-C(3) 158.97(19), N(1)-C(1) 149.40(17), N(1)-C(2) 143.33(16), N(1)-C(4) 148.06(18), N(2)-C(1) 148.59(17), N(2)-C(3) 143.48(16), N(2)-C(12) 148.06(18); C(2)-N(1)-C(1) 106.64(10), C(2)-N(1)-C(4) 113.56(10), C(4)-N(1)-C(1) 114.32(11), C(3)-N(2)-C(1) 106.59(10), C(3)-N(2)-C(12) 113.91(10), C(12)-N(2)-C(1) 115.29(11), N(1)-C(1)-C(20) 110.82(11), N(2)-C(1)-N(1) 105.60(10), N(2)-C(1)-C(20) 112.16(11), N(1)-C(2)-C(3) 105.98(10), N(2)-C(3)-C(2) 105.73(10).
With the NHC adduct in hand, several attempts were made to generate the free NHC. Initially, we explored the thermal decomposition of 2 in toluene, later increasing the temperature to 165 °C in the solvent of xylene. We also noted a previous report by Herrmann and co-workers, who attempted the thermal generation of NHC in the presence of metal complexes to trap the NHC in situ. Accordingly, we employed various metal complexes ([(cod)MCl]2, where M = Rh, Cl). Unfortunately, neither the free NHC nor its metal complexes were obtained. As reported by Stahl [62], the abstraction of a proton from a phenol-masked NHC using n-BuLi can facilitate the formation of free NHC. Reactions of 2 with n-BuLi were subsequently carried out; however, this led to the formation of compound 4, an SNAr product resulting from substituting the para-position of the pentafluorophenyl group (Figure 2, see also Figures S10–S13).
Figure 2.
Molecular structure of 4b (Color code: Boron (brown), Nitrogen (blue), Fluorine (green), and Carbon (white); Hydrogen atoms are omitted for clarity, ellipsoids are set at the 30% probability level). Selected bond lengths (pm) and angles (o): N1-C1 143.2(2), N1-C3 148.1(2), N1-C4 147.6(2), N2-C2 144.0(2), N2-C3 149.1(2), N2-C12 147.7(2), C1-C2 159.2(2); C(1)-N(1)-C(3) 107.09(13), C(1)-N(1)-C(4) 116.03(13), C(4)-N(1)-C(3) 113.97(13), C(2)-N(2)-C(3) 106.03(12), C(2)-N(2)-C(12) 112.63(13), C(12)-N(2)-C(3) 114.59(14), N(1)-C(1)-C(2) 105.00(13), N(2)-C(2)-C(1) 105.74(13).
2.2. X-Ray Structures
Single crystals of 2a and 2b suitable for XRD analysis were obtained by slowly evaporating their CH2Cl2 solution. The perspective drawings of them are shown in Figure 1, with relevant data provided in the captions. In both structures, the pendent phenyl groups are nearly parallel to the pentafluorophenyl groups, suggesting intramolecular π-π stacking interactions between them. The C(1) atoms in 2a and 2b exhibit a distorted tetrahedral geometry, indicating their sp3 hybridization. The bond length of C(2)-C(3) in both compounds is 158.5(2) pm, significantly shorter than that in 1a, due to the absence of in-plane negative hyperconjugation. This bond length is also slightly shorter than that observed in o-carborane-fused imidazole (158.5 pm vs. 162.7 pm).
Single crystals of compound 4b suitable for XRD analysis were grown by the vapor diffusion of hexane into its THF solution. A perspective drawing of compound 4b is presented in Figure 2. In the crystal structure of 4b, only one of the pendant phenyl groups is parallel to the pentafluorophenyl group. This suggests that other interactions may be at play. Indeed, in the packing arrangement, the second phenyl group is found to be parallel to a phenyl group from an adjacent molecule, indicating intermolecular π-π stacking interactions. The C(1)–C(2) bond length is 159.2(2) pm, slightly longer than that in 2 (158.5 pm) but still shorter than that in o-carborane-fused imidazole (162.7 pm). Although we have obtained several structures of o-carborane-fused imidazole derivatives, they exhibit no significant differences in the structural features of the carborane skeleton.
2.3. Calculations
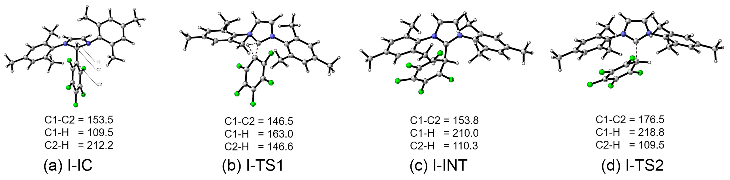
As previously described, several groups have successfully obtained NHCs or NHC complexes using the thermal decomposition approach. The notable discrepancy between these reports and our results prompted us to investigate these reactions in greater detail using density functional theory (DFT) calculations. First, we examined the SIMes system (Figure 3, compound I), previously studied by Waymouth, Hedrick, and colleagues [29], at the M06-2X(D3)/def2-TZVP level of theory [63,64,65,66]. According to our calculations, the formation of the free NHC (Figure 3, compound I) is thermodynamically unfavorable (ΔG = +24.3 kJ/mol), suggesting that the reaction is under kinetic control. Further analysis revealed that the reaction proceeds through several elementary steps, including a concerted reductive elimination of pentafluorobenzene from the NHC via a three-membered transition state (I-TS1, Scheme 4), followed by the formation of an NHC σ-type Wheland intermediate with pentafluorobenzene (I-INT, Scheme 4), and a subsequent pentafluorobenzene departure transition state (I-TS2, Scheme 4). The calculated activation barrier (ΔG‡) for this process is 267.3 kJ/mol, in qualitative agreement with reactions that proceed under heating conditions. The three-membered transition state (I-TS1), connecting the stationary points (I-IC and I-INT), was confirmed by intrinsic reaction coordinate (IRC) analysis (Figure S18). Optimized geometries for I-IC, I-TS1, I-INT, and I-TS2, along with key structural parameters, are depicted in Figure 4.
Figure 3.
Structures of some model NHCs.
Scheme 4.
Calculated reaction coordinates for the thermal generation of NHC at the M06-2X(D3)/def2-TZVP level.
Figure 4.
Optimized geometries for I-IC, I-TS1, I-INT, and I-TS2 at M06-2X(D3)/def2-TZVP level. Bond lengths are given in pm. Color code: Nitrogen (blue), Fluorine (green), and Carbon (gray).
Accordingly, the thermal decomposition reactions for systems II–V (Figure 3) were modeled. We successfully identified all stationary points for these compounds, and the results are summarized in Table 1. The transformation of the NHC pentafluorobenzene adduct (the initial compound, IC) to transition state I (TS1) was the most endothermic process and dominated the decomposition reaction. Therefore, the calculated activation barriers (ΔG‡) were compared. For the unsaturated NHC system (Figure 3, II), the energy barrier was 246.3 kJ/mol, slightly lower than that of I (ΔΔG‡ = 21 kJ/mol). This difference can be attributed to the greater stability of IMes, which possesses a conjugated π-system, allowing π-electrons to delocalize into the p-orbital of the NHC. In contrast, the energy barriers for NHCs with an exo-π-acceptor backbone (Figure 3, III,IV) were higher than that of I (267.3 vs. 280.6–293.6 kJ/mol). This is qualitatively consistent with experimental observations that these reactions require substantially higher temperatures (e.g., refluxing mesitylene for IV). This can be attributed to the electron conjugation across the NHC ring and the exo-π-acceptor backbone, which exhibited the opposite effect on the carbene center compared to that in IMes (II). Additionally, replacing the mesityl group with a benzyl group slightly increases the energy barrier. Finally, the o-carborane-fused NHC system (V) was evaluated. The results revealed an exceptionally high energy barrier of 320.5 kJ/mol. Moreover, the reaction was thermodynamically unfavorable (ΔGPROD = 69.8 kJ/mol), indicating that generating an o-carborane-fused NHC is particularly challenging. This finding was corroborated by thermal gravimetric analysis (TGA) and differential scanning calorimetry (DSC) (Figure 5). Unlike Herrmann’s report, which noted a weight loss of 34% (close to the theoretical 37% for pentafluorobenzene) between 138 and 180 °C [35], we observed a continuous weight loss of 77% between 220 and 300 °C, much higher than the theoretical weight loss of pentafluorobenzene. This also indicated that, as the temperature increased, the compound decomposed gradually.
Table 1.
Relative energy profile for all models [a].
Figure 5.
TGA (solid line) and DSC (dashed line) of compound 2a.
3. Materials and Method
General remarks. All reactions were performed under a controlled dry argon atmosphere using standard Schlenk techniques. The glass equipment was stored in an oven at 140 °C for at least 4 h and evacuated before use. The solvents (n-hexane, tetrahydrofuran) were dried over Na/K alloy and distilled under a nitrogen atmosphere before use. Other reagents or solvents (C6F5CHO, CH3SO3H, CF3SO3H, n-BuLi (1.6M in hexane), anhydrous magnesium sulfate, petroleum ether (PE), ethyl acetate (EA), dichloromethane, and chloroform) were used without further purification. Compounds of 1 were prepared using procedures from the literature [54,55]. 1H and 13C{1H} NMR spectra were recorded on Bruker AV-400 or AV-500 spectrometers (Ettlingen, Germany). The 19F and 11B{1H} NMR spectra were measured with an AV-500 instrument. 1H and 13C{1H} NMR spectra were calibrated against the residual signal of the solvent as internal references. 11B{1H} NMR spectra were calibrated against external standards (δ 11B(BF3∙Et2O) = 0.00). High-resolution mass spectra were measured with a Bruker Daltonics Autoflex II TM MALDI-TOF spectrometer (Bremen, Germany).
Synthesis of 2a. To 15 mL chloroform solution of compound 1a (354 mg, 1 mmol) were added pentafluorobenzaldehyde (196 mg, 1 mmol), a catalytic amount of methanesulfonic acid, and anhydrous magnesium sulfate (200 mg). The mixture was stirred at 50 °C for 10 h, then filtered. All the volatiles of the filtrate were removed under reduced pressure to yield a light-yellow residue, which was further purified by column chromatography (PE: CH2Cl2 = 5:1) to afford a white solid of 2a. Yield: 331 mg (62%). 1H NMR (400.13 MHz, CDCl3): δ 7.12–7.07 (m, 10 H, Ph), 4.98 (s,1 H, CH), 4.14 (d, 2JH,H = 12 Hz, 2H, PhCH2), 4.48 (d, 2JH,H = 12 Hz, 2H, PhCH2); 13C NMR (125,77 MHz, CDCl3): δ 146.24, 144.27, 134.88, 128.95, 128.39, 128.21, 111.20, 92.96, 87.35, 87.26, 56.82 (dd); 11B{1H} NMR (160.46 MHz, CDCl3): δ −9.51, −10.75, −13.68, −14.52, −16.50; 19F NMR (470.59 MHz CDCl3): δ −151.87(t), −162.77. HRMS analysis (ESI): m/z calcd [M + H]+: 533.3036; found: 533.3025.
Synthesis of 2b. To 15 mL chloroform solution of compound 1b (382 mg, 1 mmol) were added pentafluorobenzaldehyde (196 mg, 1 mmol), a catalytic amount of methanesulfonic acid, and anhydrous magnesium sulfate (200 mg). The mixture was stirred at 50 °C for 10 h, then filtered. All the volatiles of the filtrate were removed under reduced pressure to yield a light-yellow residue, which was further purified by column chromatography (PE: CH2Cl2 = 5:1) to afford a white solid of 2b. Yield: 359 mg (64%). 1H NMR (400.13 MHz, CDCl3): δ 6.96 (d, 3JH,H = 8 Hz, 4H,Ph), 6.89(d, 3JH,H = 8 Hz, 4H,Ph), 4.91(s,1H, CH), 4.08(d, 2JH,H = 12 Hz, 2H, PhCH2), 3.43(d, 2JH,H = 12 Hz, 2H, PhCH2), 2.20(s, 6H, PhCH3); 13C NMR (125.77 MHz, CDCl3): δ 146.39, 143.87, 138.12, 131.75, 128.72, 128.44, 111.52, 93.03, 87.16, 56.58, 21.01; 11B{1H} NMR (160.46 MHz, CDCl3): δ −10.66, −13.73, −14.41, −16.44; 19F NMR (470.59 MHz CDCl3): δ −153.21(t), −163.13. HRMS analysis (ESI): m/z calcd [M + H]+: 561.3358; found: 561.3339.
Synthesis of 3. To 15 mL chloroform solution of compound 1a (354 mg, 1 mmol) were added pentafluorobenzaldehyde (196 mg, 1 mmol), a catalytic amount of trifluoromethanesulfonic acid, and anhydrous magnesium sulfate (200 mg). The mixture was stirred at 50 °C for 10 h, then filtered. All the volatiles of the filtrate were removed under reduced pressure to yield a light-yellow residue, which was further purified by column chromatography (PE: CH2Cl2 = 10:1) to afford a white solid of 3. Single crystals of 3 were obtained by slow evaporation of its hexane solution at room temperature. Yield: 319.1 mg (72%). 1H NMR (400.13 MHz, CDCl3): δ 8.70 (s, 1H, N=CH), 7.35 (m, 5H, Ph), 4.13 (s, 2H, CH2). HRMS analysis (ESI): m/z calcd [M + H]+: 443.2552; found: 443.2539.
Synthesis of 4a. To 10 mL THF solution of 2a (532 mg, 1 mmol) was slowly added n-BuLi (1.6 M in hexane, 1 mmol, 0.65 mL) at room temperature. The mixture was stirred for 2 h and all of the volatile was removed under reduced pressure. The residue was exacted by 5 mL hexane 3 times. After the solvent was removed, a white solid of 4 was obtained. Yield: 525.1 mg (92%). 1H NMR (CDCl3, 400.13MHz): δ 7.16–7.06(m, 10H, Ph), 5.06(s, 1H, CH), 4.10(d, 2JH,H = 12 Hz, 2H, CH2Ph), 3.54(d, 2JH,H = 12 Hz, 2H, CH2Ph), 2.48(t, 2H, CH2), 1.40(m, 2H, CH2), 1.27(m, 2H, CH2), 0.94(t, 3H,CH3); 13C NMR(CDCl3, 125.77MHz): δ 135.16, 128.41, 128.10, 127.91, 122.41, 112.74, 93.24, 87.49, 56.45, 30.97, 22.46, 22.40, 13.80; 11B{1H} NMR (160.46 MHz CDCl3): δ −11.38, −16.11, −18.66. 19F NMR(CDCl3, 470.55MHz): δ −134.60, −134.64, −140.29, −140.33, −145.62, −151.84(t). HRMS analysis (ESI): m/z calcd [M + H]+: 571.3747; found: 571.3732.
Crystallography. For X-ray structure analyses, the oil-coated crystals were mounted onto a loop, and the diffraction data were collected on a Bruker Smart Apex II or Bruker D8 venture CCD diffractometer with graphite-monochromated Mo Kα (λ = 0.71073 Å) at the requested temperature. An empirical (multi-scan) absorption correction was applied with the program SADABS [67]. The structures were solved by Olex2 [68] with the ShelXT [69] solution program using the intrinsic phasing method and subsequently refined on F2 with the ShelXL refinement package (SHELXL-2014) [70] using full-matrix least-squares minimization techniques. If not noted otherwise, all non-hydrogen atoms were refined anisotropically, and hydrogen atoms were located at calculated positions or found in the ΔF map. Figures of the solid-state molecular structures were generated using XP as implemented in the SHELXTL program. Molecular structures of 2a, 2b, 3, and 4b, as well as the pertinent structure parameters, are given in Figures S31–S36. A summary of the crystallographic data, data collection parameters, and the results of the analysis of these compounds are listed in Table S1. Crystallographic data for the structures of the compounds reported in this paper have been deposited in the Cambridge Crystallographic Data Center under accession number CCDC 2258321-2258324.
Computational details. All quantum chemical calculations were carried out using the Gaussian16 package [71]. The molecular structure optimizations were performed at the M06-2X(D3)/def2-TZVP level. Every stationary point was identified by a subsequent frequency calculation either as a minimum (number of imaginary frequencies (NIMAG): 0) or transition state (NIMAG: 1). Intrinsic reaction coordinate (IRC) calculations were used to connect transition-state structures with the appropriate molecular structures of intermediates (see Figure S18) [72].
4. Conclusions
In conclusion, this study explored the synthesis and attempted thermal decomposition of NHC adducts derived from diamino o-carborane and pentafluorobenzaldehyde, as well as theoretical investigations of related systems. While thermal decomposition successfully yielded NHCs in prior reports (e.g., SIMes and IMes systems), our o-carborane-fused NHC adduct (2) resisted similar transformation. DFT calculations were employed to analyze the reaction mechanism in detail, leading to several conclusions: (1) The decomposition reaction is kinetically controlled, with high energy barriers. (2) The energy barriers correlate closely with the structural backbone. The barriers for the SIMes and IMes carbenes are 267.3 kJ/mol and 246.3 kJ/mol, while the barriers for the o-carborane system are much higher (320.5 kJ/mol). (3) The delocalization of more π-electrons into the p-orbital of the NHC lowers the barriers, while delocalization into the exo-NHC ring increases them. 4) Replacing the mesityl substituents on the N atoms with benzyl groups will slightly elevate the energy barrier. These results contribute to a deeper understanding of NHC formation. We hope that the insights presented here will be valuable to researchers involved in the design of NHC-based molecules, providing guidance for future studies in this area.
Supplementary Materials
The following supporting information can be downloaded at: https://www.mdpi.com/article/10.3390/inorganics13060179/s1, Figures S1–S13: NMR spectra. Figures S14–S17: Molecular structures. Table S1: Details of crystallographic data. Figure S18: IRC plot.
Author Contributions
X.-Q.X. and F.Q. conceived and designed the experiments; M.-J.L., K.-C.C., Z.C., Y.-C.Z. and Y.W. performed the experiments and analyzed the data; M.-J.L. and K.-C.C. performed the DFT calculations; X.-Q.X. and F.Q. wrote the paper. All authors have read and agreed to the published version of the manuscript.
Funding
We gratefully acknowledge the financial support from the National Natural Science Foundation of China (grant nos. 22471050 and 22171063) and the Natural Science Foundation of Zhejiang Province (grant nos. LY22B010002 and LTGC24B050005). The simulations were carried out in the ROSA HPC Cluster, located at the University of Oldenburg (Germany), and funded by the DFG through its Major Research Instrumentation Programme (INST 184/225-1 FUGG) and the Ministry of Science and Culture (MWK) of the Lower Saxony State.
Data Availability Statement
NMR spectra, X-ray crystallographic data, and computational data that support the findings of this study are available in the Supplementary Material of this article.
Conflicts of Interest
The authors declare no conflicts of interest.
References
- Arduengo, A.J.; Kline, M.; Calabrese, J.C.; Davidson, F. Synthesis of a reverse ylide from a nucleophilic carbene. J. Am. Chem. Soc. 1991, 113, 9704–9705. [Google Scholar] [CrossRef]
- Arduengo, A.J.; Harlow, R.L.; Kline, M. A stable crystalline carbene. J. Am. Chem. Soc. 1991, 113, 361–363. [Google Scholar] [CrossRef]
- Lin, I.J.B.; Vasam, C.S. Preparation and application of N-heterocyclic carbene complexes of Ag(I). Coord. Chem. Rev. 2007, 251, 642–670. [Google Scholar] [CrossRef]
- Poyatos, M.; Mata, J.A.; Peris, E. Complexes with poly(N-heterocyclic carbene) ligands: Structural features and catalytic applications. Chem. Rev. 2009, 109, 3677–3707. [Google Scholar] [CrossRef]
- Benhamou, L.; Chardon, E.; Lavigne, G.; Bellemin-Laponnaz, S.; Cesar, V. Synthetic routes to N-heterocyclic carbene precursors. Chem. Rev. 2011, 111, 2705–2733. [Google Scholar] [CrossRef]
- Sinha, N.; Hahn, F.E. Metallosupramolecular Architectures Obtained from Poly-N-heterocyclic Carbene Ligands. Acc. Chem. Res. 2017, 50, 2167–2184. [Google Scholar] [CrossRef]
- Huynh, H.V. Electronic Properties of N-Heterocyclic Carbenes and Their Experimental Determination. Chem. Rev. 2018, 118, 9457–9492. [Google Scholar] [CrossRef]
- Gan, M.-M.; Liu, J.-Q.; Zhang, L.; Wang, Y.-Y.; Hahn, F.E.; Han, Y.-F. Preparation and Post-Assembly Modification of Metallosupramolecular Assemblies from Poly(N-Heterocyclic Carbene) Ligands. Chem. Rev. 2018, 118, 9587–9641. [Google Scholar] [CrossRef]
- Hu, C.Y.; Wang, X.F.; Wei, R.; Hu, C.P.; Ruiz, D.A.; Chang, X.Y.; Liu, L.L. Crystalline monometal-substituted free carbenes. Chem 2022, 8, 2278–2289. [Google Scholar] [CrossRef]
- Bai, S.; Han, Y.F. Metal-N-Heterocyclic Carbene Chemistry Directed toward Metallosupramolecular Synthesis and Beyond. Acc. Chem. Res. 2023, 56, 1213–1227. [Google Scholar] [CrossRef]
- Hu, C.P.; Wang, X.F.; Li, J.C.; Chang, X.Y.; Liu, L.L. A stable rhodium-coordinated carbene with a σ0π2 electronic configuration. Science 2024, 383, 81–85. [Google Scholar] [CrossRef] [PubMed]
- Amouri, H. Luminescent Complexes of Platinum, Iridium, and Coinage Metals Containing N-Heterocyclic Carbene Ligands: Design, Structural Diversity, and Photophysical Properties. Chem. Rev. 2023, 123, 230–270. [Google Scholar] [CrossRef]
- Bielawski, C.W.; Grubbs, R.H. Highly Efficient Ring-Opening Metathesis Polymerization (ROMP) Using New Ruthenium Catalysts Containing N-Heterocyclic Carbene Ligands. Angew. Chem. Int. Ed. 2000, 39, 2903–2906. [Google Scholar] [CrossRef]
- Ohishi, T.; Nishiura, M.; Hou, Z. Carboxylation of Organoboronic Esters Catalyzed by N-Heterocyclic Carbene Copper(I) Complexes. Angew. Chem. Int. Ed. 2008, 47, 5792–5795. [Google Scholar] [CrossRef]
- Marion, N.; Nolan, S.P. N-heterocyclic carbenes in gold catalysis. Chem. Soc. Rev. 2008, 37, 1776–1782. [Google Scholar] [CrossRef]
- Riener, K.; Haslinger, S.; Raba, A.; Hogerl, M.P.; Cokoja, M.; Herrmann, W.A.; Kuhn, F.E. Chemistry of iron N-heterocyclic carbene complexes: Syntheses, structures, reactivities, and catalytic applications. Chem. Rev. 2014, 114, 5215–5272. [Google Scholar] [CrossRef]
- Gou, X.X.; Liu, T.; Wang, Y.Y.; Han, Y.F. Ultrastable and Highly Catalytically Active N-Heterocyclic-Carbene-Stabilized Gold Nanoparticles in Confined Spaces. Angew. Chem. Int. Ed. 2020, 59, 16683–16689. [Google Scholar] [CrossRef] [PubMed]
- He, C.; Si, D.H.; Huang, Y.B.; Cao, R. A CO-Masked Carbene Functionalized Covalent Organic Framework for Highly Efficient Carbon Dioxide Conversion. Angew. Chem. Int. Ed. 2022, 61, e202207478. [Google Scholar] [CrossRef]
- Lan, X.; Wang, H.; Liang, Q.; Liu, L.L. A Crystalline Mesoionic Diazasilole Featuring Low-Valent Silicon. Angew. Chem. Int. Ed. 2025, 64, e202415246. [Google Scholar] [CrossRef]
- Lavallo, V.; Canac, Y.; Präsang, C.; Donnadieu, B.; Bertrand, G. Stable Cyclic (Alkyl)(Amino)Carbenes as Rigid or Flexible, Bulky, Electron-Rich Ligands for Transition-Metal Catalysts: A Quaternary Carbon Atom Makes the Difference. Angew. Chem. Int. Ed. 2005, 44, 5705–5709. [Google Scholar] [CrossRef]
- Khramov, D.M.; Rosen, E.L.; Lynch, V.M.; Bielawski, C.W. Diaminocarbene[3]ferrocenophanes and their transition-metal complexes. Angew. Chem. Int. Ed. 2008, 47, 2267–2270. [Google Scholar] [CrossRef] [PubMed]
- Kronig, S.; Theuergarten, E.; Daniliuc, C.G.; Jones, P.G.; Tamm, M. Anionic N-heterocyclic carbenes that contain a weakly coordinating borate moiety. Angew. Chem. Int. Ed. 2012, 51, 3240–3244. [Google Scholar] [CrossRef]
- El-Hellani, A.; Lavallo, V. Fusing N-Heterocyclic Carbenes with Carborane Anions. Angew. Chem. Int. Ed. 2014, 53, 4489–4493. [Google Scholar] [CrossRef] [PubMed]
- Teator, A.J.; Tian, Y.; Chen, M.; Lee, J.K.; Bielawski, C.W. An Isolable, Photoswitchable N-Heterocyclic Carbene: On-Demand Reversible Ammonia Activation. Angew. Chem. Int. Ed. 2015, 54, 11559–11563. [Google Scholar] [CrossRef] [PubMed]
- Estrada, J.; Lavallo, V. Fusing Dicarbollide Ions with N-Heterocyclic Carbenes. Angew. Chem. Int. Ed. 2017, 56, 9906–9909. [Google Scholar] [CrossRef]
- Kuhn, N.; Kratz, T. Synthesis of Imidazol-2-ylidenes by Reduction of Imidazole-2(3H)-thiones. Synthesis 1993, 1993, 561–562. [Google Scholar] [CrossRef]
- Denk, K.; Sirsch, P.; Herrmann, W.A. The first metal complexes of bis(diisopropylamino)carbene: Synthesis, structure and ligand properties. J. Organomet. Chem. 2002, 649, 219–224. [Google Scholar] [CrossRef]
- Trnka, T.M.; Morgan, J.P.; Sanford, M.S.; Wilhelm, T.E.; Scholl, M.; Choi, T.L.; Ding, S.; Day, M.W.; Grubbs, R.H. Synthesis and activity of ruthenium alkylidene complexes coordinated with phosphine and N-heterocyclic carbene ligands. J. Am. Chem. Soc. 2003, 125, 2546–2558. [Google Scholar] [CrossRef]
- Nyce, G.W.; Csihony, S.; Waymouth, R.M.; Hedrick, J.L. A general and versatile approach to thermally generated N-heterocyclic carbenes. Chem. Eur. J. 2004, 10, 4073–4079. [Google Scholar] [CrossRef]
- Bedford, R.B.; Betham, M.; Blake, M.E.; Frost, R.M.; Horton, P.N.; Hursthouse, M.B.; Lopez-Nicolas, R.-M. N-Heterocyclic carbene adducts of orthopalladated triarylphosphite complexes. Dalton Trans. 2005, 2774–2779. [Google Scholar] [CrossRef]
- Bedford, R.B.; Betham, M.; Bruce, D.W.; Danopoulos, A.A.; Frost, R.M.; Hird, M. Iron-phosphine, -phosphite, -arsine, and -carbene catalysts for the coupling of primary and secondary alkyl halides with aryl Grignard reagents. J. Org. Chem. 2006, 71, 1104–1110. [Google Scholar] [CrossRef] [PubMed]
- Bedford, R.B.; Dumycz, H.; Haddow, M.F.; Pilarski, L.T.; Orpen, A.G.; Pringle, P.G.; Wingad, R.L. Chiral triaryl phosphite-based palladacycles and platinacycles: Synthesis and application to asymmetric Lewis acid catalysis. Dalton Trans. 2009, 7796–7804. [Google Scholar] [CrossRef] [PubMed]
- Blum, A.P.; Ritter, T.; Grubbs, R.H. Synthesis of N-Heterocylic Carbene-Containing Metal Complexes from 2-(Pentafluorophenyl)imidazolidines. Organometallics 2007, 26, 2122–2124. [Google Scholar] [CrossRef]
- Li, J.; Stewart, I.C.; Grubbs, R.H. Synthesis and Structure of Fused N-Heterocylic Carbenes and Their Rhodium Complexes. Organometallics 2010, 29, 3765–3768. [Google Scholar] [CrossRef]
- Bittermann, A.; Haerter, P.; Herdtweck, E.; Hoffmann, S.D.; Herrmann, W.A. Acceptor substituted N-heterocyclic carbenes and their Rh(I) complexes: Synthesis, structure and properties. J. Organomet. Chem. 2008, 693, 2079–2090. [Google Scholar] [CrossRef]
- Holmes, J.; Pask, C.M.; Fox, M.A.; Willans, C.E. Tethered N-heterocyclic carbene-carboranes: Unique ligands that exhibit unprecedented and versatile coordination modes at rhodium. Chem. Commun. 2016, 52, 6443–6446. [Google Scholar] [CrossRef]
- Nie, Y.; Wang, Y.; Miao, J.; Li, Y.; Zhang, Z. Synthesis and characterization of carboranyl Schiff base compounds from 1-amino-o-carborane. J. Organomet. Chem. 2015, 798, 182–188. [Google Scholar] [CrossRef]
- Nuñez, R.; Tarres, M.; Ferrer-Ugalde, A.; Biani, F.F.; Teixidor, F. Electrochemistry and Photoluminescence of Icosahedral Carboranes, Boranes, Metallacarboranes, and Their Derivatives. Chem. Rev. 2016, 116, 14307–14378. [Google Scholar] [CrossRef]
- Selg, C.; Neumann, W.; Lonnecke, P.; Hey-Hawkins, E.; Zeitler, K. Carboranes as Aryl Mimetics in Catalysis: A Highly Active Zwitterionic NHC-Precatalyst. Chem. Eur. J. 2017, 23, 7932–7937. [Google Scholar] [CrossRef]
- Nie, Y.; Zhang, H.; Miao, J.L.; Zhao, X.Q.; Li, Y.X.; Sun, G.X. Synthesis, aggregation-induced emission and mechanochromism of a new carborane-tetraphenylethylene hybrid. J. Organomet. Chem. 2018, 865, 200–205. [Google Scholar] [CrossRef]
- Xu, T.T.; Cao, K.; Zhang, C.Y.; Wu, J.; Ding, L.F.; Yang, J.X. Old Key Opens the Lock in Carborane: The in Situ NHC-Palladium Catalytic System for Selective Arylation of B(3,6)-H Bonds of o-Carboranes via B-H Activation. Org. Lett. 2019, 21, 9276–9279. [Google Scholar] [CrossRef] [PubMed]
- Quan, Y.; Xie, Z. Controlled functionalization of o-carborane via transition metal catalyzed B-H activation. Chem. Soc. Rev. 2019, 48, 3660–3673. [Google Scholar] [CrossRef] [PubMed]
- Cao, K.; Xu, T.-T.; Wu, J.; Zhang, C.-Y.; Wen, X.-Y.; Yang, J. The in Situ NHC-Palladium Catalyzed Selective Activation of B(3)–H or B(6)–H Bonds of o-Carboranes for Hydroboration of Alkynes: An Efficient Approach to Alkenyl-o-carboranes. Inorg. Chem. 2020, 60, 1080–1085. [Google Scholar] [CrossRef]
- Wang, L.H.; Perveen, S.; Ouyang, Y.Z.; Zhang, S.; Jiao, J.; He, G.; Nie, Y.; Li, P.F. Well-Defined, Versatile and Recyclable Half-Sandwich Nickelacarborane Catalyst for Selective Carbene-Transfer Reactions. Chem. Eur. J. 2021, 27, 5754–5760. [Google Scholar] [CrossRef]
- Cui, P.F.; Liu, X.R.; Lin, Y.J.; Li, Z.H.; Jin, G.X. Highly Selective Separation of Benzene and Cyclohexane in a Spatially Confined Carborane Metallacage. J. Am. Chem. Soc. 2022, 144, 6558–6565. [Google Scholar] [CrossRef]
- Buzsáki, D.; Gál, D.; Szathmári, B.; Holczbauer, T.; Udvardy, A.; Szilágyiné, J.K.; Kargin, D.; Bruhn, C.; Pietschnig, R.; Kelemen, Z. The “chemical tug-of-war” in carborane clusters: Distinct tuning on different sides of the cluster. Inorg. Chem. Front. 2025, 12, 1822–1830. [Google Scholar] [CrossRef]
- Jin, G.-X. Advances in the chemistry of organometallic complexes with 1,2-dichalcogenolato-o-carborane ligands. Coord. Chem. Rev. 2004, 248, 587–602. [Google Scholar] [CrossRef]
- Mandal, N.; Pal, A.K.; Gain, P.; Zohaib, A.; Datta, A. Transition-State-like Planar Structures for Amine Inversion with Ultralong C-C Bonds in Diamino-o-carborane and Diamino-o-dodecahedron. J. Am. Chem. Soc. 2020, 142, 5331–5337. [Google Scholar] [CrossRef] [PubMed]
- Buzsáki, D.; Kovács, M.B.; Hümpfner, E.; Harcsa-Pintér, Z.; Kelemen, Z. Conjugation between 3D and 2D aromaticity: Does it really exist? The case of carborane-fused heterocycles. Chem. Sci. 2022, 13, 11388–11393. [Google Scholar] [CrossRef]
- Ma, Y.N.; Ren, H.Z.; Wu, Y.X.; Li, N.; Chen, F.J.; Chen, X.N. B(9)-OH-o-Carboranes: Synthesis, Mechanism, and Property Exploration. J. Am. Chem. Soc. 2023, 145, 7331–7342. [Google Scholar] [CrossRef]
- Zhang, H.T.; Gao, Y.; Ma, Y.N.; Chen, X.N. Pd(ii)-catalyzed B(9)-alkynylation of o/m-carboranes. Org. Chem. Front. 2024, 11, 6706–6711. [Google Scholar] [CrossRef]
- Wang, Y.; Li, Y.G.; Chen, F.J.; Ma, Y.N.; Chen, X.N. HSAB theory guiding electrophilic substitution reactions of o-carborane. Org. Chem. Front. 2024, 12, 76–84. [Google Scholar] [CrossRef]
- Chen, X.-M.; Ge, Y.-W.; Yu, X.-C.; Wang, P.; Jiang, K.; Ma, Y.-N.; Chen, X. Improved Methods for the Synthesis of B10H14 and N-Heterocycle-Coordinated B9H13 (N-Het·B9H13). Inorg. Chem. 2024, 64, 268–274. [Google Scholar] [CrossRef] [PubMed]
- Li, J.; Pang, R.; Li, Z.; Lai, G.; Xiao, X.Q.; Müller, T. Exceptionally Long C-C Single Bonds in Diamino-o-carborane as Induced by Negative Hyperconjugation. Angew. Chem. Int. Ed. 2019, 58, 1397–1401. [Google Scholar] [CrossRef]
- Pang, R.; Li, J.; Cui, Z.; Zheng, C.; Li, Z.; Chen, W.; Qi, F.; Su, L.; Xiao, X.Q. Synthesis, structure and DFT calculations of 1,2-N-substituted o-carboranes. Dalton Trans. 2019, 48, 7242–7248. [Google Scholar] [CrossRef]
- Kang, Y.R.; Wang, B.N.; Nan, R.X.; Li, Y.W.; Zhu, Z.L.; Xiao, X.Q. Cyclic Carbonate Synthesis from Epoxides and CO Catalyzed by Aluminum-Salen Complexes Bearing a nido-C2B9 Carborane Ligand. Inorg. Chem. 2022, 61, 8806–8814. [Google Scholar] [CrossRef]
- Wang, B.N.; Zhu, Z.L.; Liang, M.J.; Ren, Y.K.; Xue, J.B.; Zhang, J.Y.; Qi, F.; Xiao, X.Q. A 12-Vertex Metallacarborane of Silver(I). Inorg. Chem. 2024, 63, 5481–5486. [Google Scholar] [CrossRef]
- Xue, J.-B.; Wang, J.-N.; Chen, K.-C.; Cheng, Q.; Zhang, J.-Y.; Xiao, X.-Q. A comparative study on nido- and closo-carborane supported zinc-salen catalysts for the ROCOP of epoxides and anhydrides. Dalton Trans. 2025. [Google Scholar] [CrossRef]
- Cui, Z.Z.; Wang, B.N.; Li, J.X.; Pang, R.L.; Kang, Y.R.; Xiao, X.Q. N-Heterocyclic Carbenes with a Nido-C2B9 Carborane Backbone. Chin. J. Chem. 2021, 39, 2410–2416. [Google Scholar] [CrossRef]
- Nan, R.X.; Li, Y.W.; Zhu, Z.L.; Qi, F.; Xiao, X.Q. Nickelacarborane-Supported Bis-N-heterocyclic Carbenes. J. Am. Chem. Soc. 2023, 145, 15538–15546. [Google Scholar] [CrossRef]
- Ren, Y.-K.; Li, Y.; Liang, M.-J.; Ma, J.-W.; Niu, Z.-X.; Xiao, X.-Q. Self-Assembly and Dynamic Equilibrium of Trinuclear and Tetranuclear Cu(I) Supramolecules Featuring nido-Carborane-Supported N-Heterocyclic Carbene Ligands. Inorg. Chem. 2025, 64, 9727–9734. [Google Scholar] [CrossRef]
- Scarborough, C.C.; Guzei, I.A.; Stahl, S.S. Synthesis and isolation of a stable, axially-chiral seven-membered N-heterocyclic carbene. Dalton Trans. 2009, 2284–2286. [Google Scholar] [CrossRef] [PubMed]
- Becke, A.D. Density-functional exchange-energy approximation with correct asymptotic behavior. Phys. Rev. A 1988, 38, 3098–3100. [Google Scholar] [CrossRef] [PubMed]
- Becke, A.D. Density-functional thermochemistry. III. The role of exact exchange. J. Chem. Phys. 1993, 98, 5648–5652. [Google Scholar] [CrossRef]
- Weigend, F.; Ahlrichs, R. Balanced basis sets of split valence, triple zeta valence and quadruple zeta valence quality for H to Rn: Design and assessment of accuracy. Phys. Chem. Chem. Phys. 2005, 7, 3297–3305. [Google Scholar] [CrossRef] [PubMed]
- Grimme, S. Semiempirical GGA-type density functional constructed with a long-range dispersion correction. J. Comput. Chem. 2006, 27, 1787–1799. [Google Scholar] [CrossRef]
- Sheldrick, G. Program for Empirical Absorption Correction of Area Detector Data (SADABS); University of Göttingen: Göttingen, Germany, 1994; Volume 90. [Google Scholar]
- Dolomanov, O.V.; Bourhis, L.J.; Gildea, R.J.; Howard, J.A.K.; Puschmann, H. OLEX2: A complete structure solution, refinement and analysis program. J. Appl. Crystallogr. 2009, 42, 339–341. [Google Scholar] [CrossRef]
- Sheldrick, G.M. SHELXT—Integrated space-group and crystal-structure determination. Acta Crystallogr. A 2015, 71, 3–8. [Google Scholar] [CrossRef]
- Bruker. SHELXTL Version 6.22 Program for Solution and Refinement of Crystal Structures; Bruker AXS Inc.: Madison, WI, USA, 2001. [Google Scholar]
- Frisch, M.J.; Trucks, G.W.; Schlegel, H.B.; Scuseria, G.E.; Robb, M.A.; Cheeseman, J.R.; Scalmani, G.; Barone, V.; Petersson, G.A.; Nakatsuji, H.; et al. Gaussian 16 Rev. C.01; Gaussian, Inc.: Wallingford, CT, USA, 2019. [Google Scholar]
- Fukui, K. The path of chemical reactions—The IRC approach. Acc. Chem. Res. 2002, 14, 363–368. [Google Scholar] [CrossRef]
Disclaimer/Publisher’s Note: The statements, opinions and data contained in all publications are solely those of the individual author(s) and contributor(s) and not of MDPI and/or the editor(s). MDPI and/or the editor(s) disclaim responsibility for any injury to people or property resulting from any ideas, methods, instructions or products referred to in the content. |
© 2025 by the authors. Licensee MDPI, Basel, Switzerland. This article is an open access article distributed under the terms and conditions of the Creative Commons Attribution (CC BY) license (https://creativecommons.org/licenses/by/4.0/).








