Mixed 3d-3d’-Metal Complexes: A Dicobalt(III)Iron(III) Coordination Cluster Based on Pyridine-2-Amidoxime
Abstract
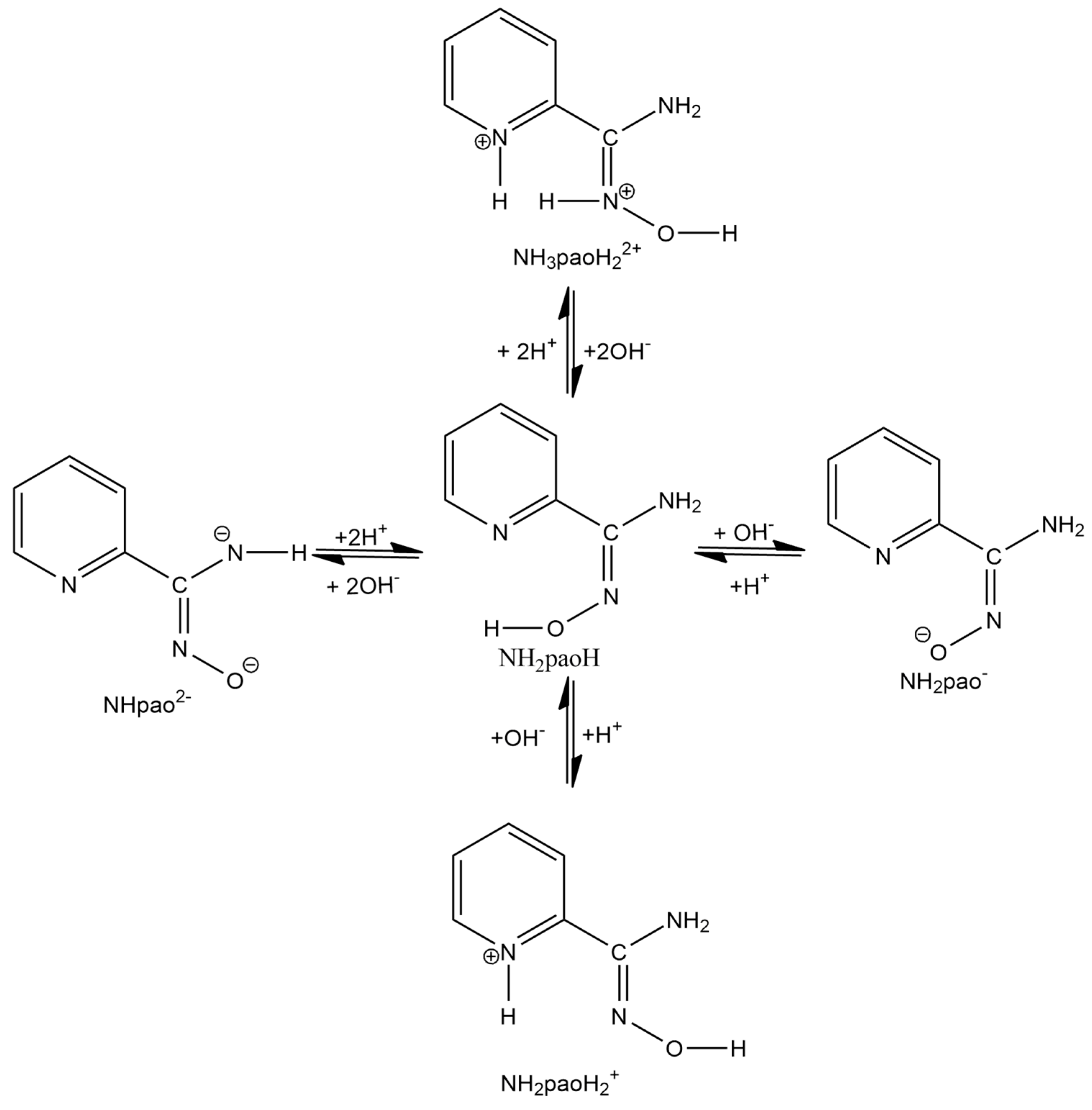
1. Introduction
2. Results and Discussion
2.1. Synthetic Comments
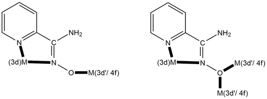
2.2. Description of Structure
| Complex a | Coordination Mode b,c | Reference |
|---|---|---|
| [Ni2CrIII(NH2pao)6](OH) | 2.1112120 | [38] |
| [Ni2CrIII(NH2pao)6](ClO4) | 2.1112120 | [39] |
| [Ni2MnIV(NH2pao)6](ClO4)Cl | 2.1112120 | [39] |
| [Ni2MnIV(NH2pao)6](ClO4)2 | 2.1112120 | [39] |
| [Ni2FeIII(NH2pao)6](NO3) | 2.1112120 | [40] |
| [Ni2FeIII(NH2pao)6]Cl | 2.1112120 | [38] |
| [Ni2FeIII(NH2pao)6](ClO4) | 2.1112120 | [39] |
| [CoIIIDy(NH2pao)3(NO3)3] | 2.1112120 | [41] |
| [CoIII2FeIII(NH2pao)6](ClO4)2 (NO3) | This work |
| Complex a | Coordination Mode f | References |
|---|---|---|
| [MnIICl2(NH2paoH)2] | 1.0110 | [47] |
| [MnIICl(N3)(NH2paoH)2] | 1.0110 | [47] |
| [MnII(O2CMe)2(NH2paoH)2] | 1.0110 | [47,48] |
| {[Mn(bdc)(NH2paoH)2]}n b | 1.0110 | [49] |
| {[MnII(SO4)(NH2paoH)2]}n | 1.0110 | [50] |
| [Ni(NO3)2(NH2paoH)2] | 1.0110 | [51] |
| [Ni(NH2paoH)3](NO3)2 | 1.0110 | [51] |
| [Ni(O2CMe)2(NH2paoH)2] | 1.0110 | [52] |
| {[Ni(SO4)(NH2paoH)2(H2O)]}n | 1.0110 | [50] |
| {[Ni(bdc)(NH2paoH)2]}n b | 1.0110 | [49] |
| {[Ni(Hbtc)(NH2paoH)2}n c | 1.0110 | [49] |
| [Ni(H2btc)2(NH2paoH)2] d | 1.0110 | [49] |
| [Cu(NH2paoH)2(H2O)]Cl2 | 1.0110 | [53,54] |
| [Zn(O2CMe)2(NH2paoH)2] | 1.0110 | [48,55] |
| [Zn(O2CPh)2(NH2paoH)2] | 1.0110 | [55] |
| [Zn(NO3)(NH2paoH)2](NO3) | 1.0110 | [55] |
| [Zn2(O2CMe)3(NH2paoH)4](OH) | 1.0110 | [50] |
| {[Zn(bdc)(NH2paoH)(DMF)]}n b | 1.0110 | [49] |
| [Cd(O2CMe)2(NH2paoH)2] | 1.0110 | [56] |
| [Hg2(SCN)4(NH2paoH)2] | 1.0110 | [57] |
| [ReIBr(CO)3(NH2paoH)] | 1.0110 | [58] |
| [RhIIICl(Cp*)(NH2paoH)](PF6) e | 1.0110 | [59] |
| [IrIIICl(Cp*)(NH2paoH)](PF6) e | 1.0110 | [59] |
| {[Ag(NO3)(NH2paoH)]}n | 2.0110 | [60] |
| [Dy2(NO3)6(NH2paoH)2] | 1.0110 | [61] |
| [Zn2(NH2pao)2(NH2paoH)2](NO3)2 | 2.1110 g, 1.0110 h | [62] |
2.3. Spectroscopic and Physical Studies



3. Materials and Methods
3.1. Materials and Instrumentation
3.2. Preparation of the Complex
3.3. Single-Crystal X-Ray Crystallography
4. Conclusions and Perspectives
Supplementary Materials
Author Contributions
Funding
Institutional Review Board Statement
Informed Consent Statement
Data Availability Statement
Acknowledgments
Conflicts of Interest
References
- Liu, N.; Homann, C.; Morfin, S.; Kesanakurti, M.S.; Calvert, N.D.; Shukendler, A.J.; Al, T.; Hemmer, E. Core-multi-shell design: Unlocking multimodal capabilities in lanthanide-based nanoparticles as upconverting, T2-weighted MRI and CT probes. Nanoscale 2013, 15, 19546–19556. [Google Scholar] [CrossRef] [PubMed]
- Cheong, S.-W.; Mostovoy, M. Multiferroics: A magnetic twist for ferroelectricity. Nat. Mater. 2007, 6, 13–20. [Google Scholar] [CrossRef]
- Seo, D.; Somjit, V.; Wi, D.H.; Galli, G.; Choi, K.-S. p-Type BiVO4 for Solar O2 Reduction to H2O2. J. Am. Chem. Soc. 2025, 147, 3261–3273. [Google Scholar] [CrossRef] [PubMed]
- Du, W.; Zhang, W.; Zhu, C.; Guo, W.; He, M.; Zhao, H.; Chen, R. Platinum group metal-based intermetallic compounds: Syntheses and application in electrocatalysis. Coord. Chem. Rev. 2025, 530, 216473. [Google Scholar] [CrossRef]
- Kanatzidis, M.G.; Pöttgen, R.; Jeitschko, W. The Metal Flux: A Preparative Tool for the Exploration of Intermetallic Compounds. Angew. Chem. Int. Ed. 2005, 44, 6996–7023. [Google Scholar] [CrossRef] [PubMed]
- Sagawa, M.; Fujimura, S.; Togawa, N.; Yamamoto, H.; Matsura, Y. New material for permanent magnets on a base of Nd and Fe. J. Appl. Phys. 1984, 55, 2083–2087. [Google Scholar] [CrossRef]
- Mukherjee, S.; Stull, J.A.; Yano, J.; Stamatatos, T.C.; Pringouri, K.; Stich, T.A.; Abboud, K.A.; Britt, R.D.; Yachandra, V.K.; Christou, G. Synthetic model of the asymmetric [Mn3CaO4] subane core of the oxygen-evolving complex of photosystem II. Proc. Natl. Acad. Sci. USA 2012, 109, 2257–2262. [Google Scholar] [CrossRef]
- Kanady, J.S.; Tsui, E.Y.; Day, M.W.; Agapie, T. A Synthetic Model of the Mn3Ca Subsite of the Oxygen-Evolving Complex in Photosystem II. Science 2011, 333, 733–736. [Google Scholar] [CrossRef]
- Blakemore, J.D.; Crabtree, R.H.; Brudvig, G.W. Molecular Catalysts for Water Oxidation. Chem. Rev. 2015, 115, 12794–13005. [Google Scholar] [CrossRef]
- Atwood, J.L.; Lehn, J.M. Comprehensive Supramolecular Chemistry; Pergamon: Oxford, UK, 1996. [Google Scholar]
- Aguilà, D.; Barrios, L.; Belasco, V.; Roubeau, O.; Repollés, A.; Alonso, P.J.; Sesé, J.; Teat, S.J.; Luis, F.; Aromi, G. Heterodimetallic [LnLn’] Lanthanide Complexes: Toward a Chemical Design of Two-Qubit Molecular Spin Quantum Gates. J. Am. Chem. Soc. 2014, 136, 14215–14222. [Google Scholar] [CrossRef]
- Miyasaka, H.; Julve, M.; Yamashita, M.; Clérac, R. Slow Dynamics of the Magnetization in One-Dimensional Coordination Polymers: Single-Chain Magnets. Inorg. Chem. 2009, 48, 3420–3437. [Google Scholar] [CrossRef]
- O’ Keeffe, M.; Yaghi, O.M. Deconstructing the Crystal Structures of Metal-Organic Frameworks and Related Materials into their Underlying Nets. Chem. Rev. 2012, 112, 675–702. [Google Scholar] [CrossRef] [PubMed]
- Anastasiadis, N.C.; Polyzou, C.D.; Kostakis, G.E.; Bekiari, V.; Lan, Y.; Perlepes, S.P.; Konidaris, K.F.; Powell, A.K. Dinuclear lanthanide(III)/zinc(II) complexes with methyl 2-pyridyl ketone oxime. Dalton Trans. 2015, 44, 19791–19795. [Google Scholar] [CrossRef] [PubMed]
- Wang, J.-H.; Li, Z.-Y.; Yamashita, M.; Bu, X.-H. Recent progress on cyano-bridged transition-metal-based single-molecule magnets and single-chain magnets. Coord. Chem. Rev. 2021, 428, 213617. [Google Scholar] [CrossRef]
- Chorazy, S.; Rams, M.; Nakabayashi, K.; Sieklucka, B.; Ohkoshi, S.-i. White Light Emissive DyIII Single-Molecule Magnets Sensitized by Diamagnetic [CoIII(CN)6]3- Linkers. Chem. Eur. J. 2016, 22, 7371–7375. [Google Scholar] [CrossRef] [PubMed]
- Liu, K.; Shi, W.; Cheng, P. Toward heterometallic single-molecule magnets: Synthetic strategy, structures and properties of 3d-4f discrete complexes. Coord. Chem. Rev. 2015, 289-290, 74–122. [Google Scholar] [CrossRef]
- Sessoli, R.; Powell, A.K. Strategies towards single-molecule magnets based on lanthanide ions. Coord. Chem. Rev. 2009, 253, 2328–2341. [Google Scholar] [CrossRef]
- Lada, Z.G.; Polyzou, C.D.; Nika, V.; Stamatatos, T.C.; Konidaris, K.F.; Perlepes, S.P. Adventures in the coordination chemistry of 2-pyridyl oximes: On the way to 3d/4f-metal coordination clusters. Inorg. Chim. Acta 2022, 539, 120954. [Google Scholar] [CrossRef]
- Ribas Gispert, J. Coordination Chemistry; Wiley-VCH: Weinheim, Germany, 2008; pp. 205–208. [Google Scholar]
- Pantelis, K.N.; Skiadas, S.G.; Lada, Z.G.; Clérac, R.; Sanakis, Y.; Dechambenoit, P.; Perlepes, S.P. Hexanuclear {ZnII4FeIII2} and {ZnII4CrIII2} complexes from the use of potentially tetradentate NOO′O″ Schiff-based ligands. New J. Chem. 2024, 48, 11221–11232. [Google Scholar] [CrossRef]
- Rosado Piquer, L.; Sañudo, E.C. Heterometallic 3d-4f single-molecule magnets. Dalton Trans. 2015, 44, 8771–8780. [Google Scholar] [CrossRef]
- Wang, H.-S.; Zhang, K.; Song, Y.; Pan, Z.-Q. Recent advances in 3d-4f magnetic complexes with several types of non-carboxylate ligands. Inorg. Chim. Acta 2021, 521, 120318. [Google Scholar] [CrossRef]
- Dey, A.; Acharya, J.; Chandrasekhar, V. Heterometallic 3d-4f Complexes as Single-Molecule Magnets. Chem. Asian J. 2019, 14, 4433–4453. [Google Scholar] [CrossRef] [PubMed]
- Chaudhuri, P. Homo- and hetero-polymetallic exchange coupled metal-oximates. Coord. Chem. Rev. 2003, 243, 143–190. [Google Scholar] [CrossRef]
- Ross, S.; Weyhermüller, T.; Bill, E.; Wieghardt, K.; Chaudhuri, P. Tris(pyridinealdoximato)metal Complexes as Ligands for the Synthesis of Asymmetric Heterodinuclear CrIIIM Species [M = Zn(II), Cu(II), Ni(II), Fe(II), Mn(II), Cr(II), Co(III)]: A Magneto-Structural Study. Inorg. Chem. 2001, 40, 6656–6665. [Google Scholar] [CrossRef] [PubMed]
- Sahyoun, T.; Arrault, A.; Schneider, R. Amidoximes and Oximes: Synthesis, Structure, and their Key Role as NO Donors. Molecules 2019, 24, 2470. [Google Scholar] [CrossRef]
- Aakeröy, C.B.; Sinha, A.S.; Epa, K.N.; Chopade, P.D.; Smith, M.M.; Desper, J. Structural Chemistry of Oximes. Cryst. Growth Des. 2013, 13, 2687–2695. [Google Scholar] [CrossRef]
- Novikov, A.S.; Bolotin, D.S. Tautomerism of Amidoxime and Other Oxime Species. J. Phys. Org. Chem. 2018, 31, e3772. [Google Scholar] [CrossRef]
- Tavakol, H.; Arshadi, S. Theoretical Investigation of N-Hydroxy Amidines. J. Mol. Model. 2009, 15, 807–816. [Google Scholar] [CrossRef]
- Abney, C.W.; Mayers, R.T.; Saito, T.; Dai, S. Materials for the Recovery of Uranium Seawater. Chem. Rev. 2017, 117, 13935–14013. [Google Scholar] [CrossRef]
- Abney, C.W.; Liu, S.; Lin, W. Tuning Amidoximate to Enhance Uranyl Binding: A Density Functional Theory. J. Phys. Chem. A 2013, 117, 11558–11565. [Google Scholar] [CrossRef]
- Vukovich, S.; Hay, B.P. De Novo Structure-Based Design of Bis-amidoxime Uranophiles. Inorg. Chem. 2013, 52, 7805–7810. [Google Scholar] [CrossRef]
- Wei, Y.; Salih, K.A.M.; Lu, S.; Hamza, M.F.; Fujita, T.; Vincent, T.; Guibal, E. Amidoxime Functionalization of Algal/Polyethyleneimine Beads for the Sorption of Sr(II) from Aqueous Solutions. Molecules 2019, 24, 3893. [Google Scholar] [CrossRef]
- Kelley, S.P.; Rogers, R.D. Lanthanide complexes with zwitterionic amidoximes stabilized by noncoordinating water molecules. Supramol. Chem. 2018, 30, 411–417. [Google Scholar] [CrossRef]
- Bolotin, D.S.; Bokach, N.A.; Kukushkin, V.Y. Coordination chemistry and metal-involving reactions of amidoximes: Relevance to the chemistry of oximes and oxime ligands. Coord. Chem. Rev. 2016, 313, 62–93. [Google Scholar] [CrossRef]
- Efthymiou, C.G.; Cunha-Silva, L.; Perlepes, S.P.; Brechin, E.K.; Inglis, R.; Evangelisti, M.; Papatriantafyllopoulou, C. In search of molecules displaying ferromagnetic exchange; multiple-decker Ni12 and Ni16 complexes from the use of pyridine-2-amidoxime. Dalton Trans. 2016, 45, 17409–17419. [Google Scholar] [CrossRef]
- Ran, J.-W.; Tong, Y.-P. Crystal Structures, Magnetic Properties, and Theoretical Investigations of three Linear Cluster Complexes with Pyridine-2-Amidoxime. J. Struct. Chem. 2018, 59, 1433–1439. [Google Scholar] [CrossRef]
- An, G.-Y.; Yuan, B.; Tao, J.; Cui, A.-L.; Kou, H.-Z. Synthesis, structure and magnetic properties of trinuclear transition metal complexes based on pyridine-2-amidoxime. Inorg. Chim. Acta 2012, 387, 401–406. [Google Scholar] [CrossRef]
- Ran, J.; Li, X.; Zhao, Q.; Hou, Y.; Tang, W.; Chen, G. High-efficient photooxidative degradation of dyes catalyzed by heteronuclear complex under light irradiation. Inorg. Chem. Commun. 2010, 13, 1527–1529. [Google Scholar] [CrossRef]
- Polyzou, C.D.; Koumousi, E.S.; Lada, Z.G.; Raptopoulou, C.P.; Psycharis, V.; Rouzières, M.; Tsipis, A.C.; Mathonière, C.; Clèrac, R.; Perlepes, S.P. “Switching on” the single-molecule magnet properties within a series of dinuclear cobalt(III)-dysprosium(III) 2-pyridyloximate complexes. Dalton Trans. 2017, 46, 14812–14825. [Google Scholar] [CrossRef]
- Housecroft, C.E.; Sharpe, A.G. Inorganic Chemistry, 5th ed.; Pearson: Harlow, UK, 2018; p. 415. [Google Scholar]
- Hou, Y.H.; Zhao, Y.J.; Liu, Z.W.; Yu, H.Y.; Zhong, X.C.; Qiu, W.Q.; Zeng, D.C.; Wen, L.S. Structural, electronic and magnetic properties of partially inverse spinel CoFe2O4: A first principles study. J. Phys. D Appl. Phys. 2010, 43, 445003. [Google Scholar] [CrossRef]
- Zeng, X.; Zhang, J.; Zhu, S.; Deng, X.; Ma, H.; Zhang, J.; Zhang, Q.; Li, P.; Xue, D.; Mellors, N.J.; et al. Direct observation of cation distributions of ideal inverse spinel CoFe2O4 nanofibres and correlated magnetic properties. Nanoscale 2017, 9, 7493–7500. [Google Scholar] [CrossRef] [PubMed]
- Phu, P.N.; Lee, J.L.; Biswas, S.; Ziller, J.W.; Bominaar, E.L.; Hendrich, M.P.; Borovic, A.S. Proton-Induced Switching of Paramagnetism: Reversible Conversion between a Low and High Spin CoIII Center within a Heterobimetallic Core. J. Am. Chem. Soc. 2025, 147, 3129–3139. [Google Scholar] [CrossRef]
- Aguilà, D.; Prado, Y.; Koumousi, E.S.; Mathonière, C.; Clèrac, R. Switchable Fe/Co Prussian blue networks and molecular analogues. Chem. Soc. Rev. 2016, 45, 203–224. [Google Scholar] [CrossRef] [PubMed]
- Dolai, M.; Saha, U.; Kumar, G.S.; Ali, M. Amidoxime-Based Mononuclear Mn(II) complexes: Synthesis, Characterization, and Studies on DNA Binding and Nuclease Activity. ChemistrySelect 2018, 3, 6935–6941. [Google Scholar] [CrossRef]
- Ran, J.; Tong, Y.-P. Synthesis, structures, photoluminescence, and theoretical investigations on two new Zn(II)/Mn(II) complexes with pyridine-2-amidoxime and carboxylate ligands. Struct. Chem. 2011, 22, 1113–1118. [Google Scholar] [CrossRef]
- Mylonas-Margaritis, I.; Winterlich, M.; Efthymiou, C.G.; Lazarides, T.; McArdle, P.; Papatriantafyllopoulou, C. New insights into oximic ligands: Synthesis and characterization of 1D chains by the use of pyridine-2-amidoxime and polycarboxylates. Polyhedron 2018, 151, 360–368. [Google Scholar] [CrossRef]
- Liu, Y.-L.; Chen, Y.-M.; Gao, Q.; Liu, W.; Li, Y.-W. Zn(II), Ni(II), and Mn(II) Complexes Supported by N-Hydroxy-pyridine-2-carboxamidine: Syntheses, Structures, and Luminescent and Magnetic Properties. Chin. J. Struct. Chem. 2014, 33, 1171–1183. [Google Scholar]
- Pearse, G.A.; Raithby, P.R.; Hay, C.M.; Lewis, J. Synthesis and X-ray Crystal Structure of two Complexes of Nickel(II) Nitrate with Pyridine-2-amidoxime (C6H7N3O): [Ni(C6H7N3O)2(NO3)2] and [Ni(C6H7N3O)3](NO3)2·H2O. Polyhedron 1989, 8, 305–310. [Google Scholar] [CrossRef]
- Werner, M.; Berner, J.; Jones, P.G. Bis(acetate)bis(pyridine-2-amidoxime-N,N′)nickel(II)-Ethanol (1/2). Acta Crystallogr. Sect. C 1996, 52, 72–74. [Google Scholar] [CrossRef]
- Näsäkkälä, M.; Saarinen, H.; Korvenranta, J.; Orama, M. Aquabis(pyridine-2-carboxamide oxime)copper(II) Chloride. Acta Crystallogr. Sect. C 1989, 45, 1514–1517. [Google Scholar] [CrossRef]
- Pearse, G.A.; Raithby, P.R.; Lewis, J. Synthesis and X-ray Crystal Structure of Pyridine-2-amidoxime, C6H7N3O, and Aqua-bis(pyridine-2-amidoxime)copper(II) chloride, [Cu(C6H7N3O)2(H2O)]Cl2. Polyhedron 1989, 8, 301–304. [Google Scholar] [CrossRef]
- Konidaris, K.F.; Bekiari, V.; Katsoulakou, E.; Raptopoulou, C.P.; Psycharis, V.; Perlepes, S.P.; Stamatatos, T.C.; Manessi-Zoupa, E. Initial employment of pyridine-2-amidoxime in zinc(II) chemistry: Synthetic, structural and spectroscopic studies of mononuclear and dinuclear complexes. Inorg. Chim. Acta 2011, 376, 470–478. [Google Scholar] [CrossRef]
- Liu, J. Crystal structure of bis(acetate-κO)bis(pyridine-2-carboxamide oxime-κ2N,N′)cadmium ethanol disolvate. Acta Crystallogr. Sect. E 2014, 70, 142–144. [Google Scholar] [CrossRef] [PubMed]
- Danelli, P.; Lada, Z.G.; Raptopoulou, C.P.; Psycharis, V.; Stamatatos, T.C.; Perlepes, S.P. Doubly Thiocyanato (S,N)-Bridged Dinuclear Complexes of Mercury(II) from the Use of 2-pyridyl Oximes as Capping Ligands. Curr. Inorg. Chem. 2015, 5, 26–37. [Google Scholar] [CrossRef]
- Costa, R.; Barone, N.; Gorczycka, C.; Powers, E.F.; Cupelo, W.; Lopez, J.; Herrick, R.S.; Ziegler, C.J. Dioxime and pyridine-2-aldoxime complexes of Re(CO)3+. J. Organomet. Chem. 2009, 694, 2163–2170. [Google Scholar] [CrossRef]
- Palepu, N.R.; Adhikari, S.; Premkumar, R.; Verma, A.K.; Shepherd, S.L.; Phillips, R.M.; Kaminsky, W.; Kollipara, M.R. Half-sandwich ruthenium, rhodium and iridium complexes featuring oxime ligands: Structural studies and preliminary investigation of in vitro and in vivo anti-tumour activities. Appl. Organomet. Chem. 2017, 31, 3640. [Google Scholar] [CrossRef]
- Cui, A.-L.; Han, P.; Yang, H.-J.; Wang, R.-J.; Kou, H.-Z. Poly[μ2-(N-hydroxypyridine-2-carboxamide)-μ2-nitrato-silver(I)]. Acta Crystallogr. Sect. C 2007, 63, m560–m562. [Google Scholar] [CrossRef]
- Nikolaou, H.; Terzis, A.; Raptopoulou, C.P.; Psycharis, V.; Bekiari, V.; Perlepes, S.P. Unique Dinuclear, Tetrakis(nitrato-O,O’)-Bridged Lanthanide(III) Complexes from the Use of Pyridine-2-Amidoxime: Synthesis, Structural Studies and Spectroscopic Characterization. J. Surf. Interfac. Mater. 2014, 2, 311–318. [Google Scholar] [CrossRef]
- Deng, X.-H.; Ran, J.-W. [Bis(μ2-pyridine-2-carboxamide oximato)-bis[pyridine-2-carboxamide oxime)zinc]dinitrate. Acta Crystallogr. Sect. E 2011, 67, m1323–m1324. [Google Scholar] [CrossRef]
- Tomsa, A.-R.; Li, Y.; Blanchard, S.; Herson, P.; Boubekeur, K.; Gouzerh, P.; Proust, A. Oxo-Centered Trinuclear Chromium(III) Complexes with both Carboxylate and Amidoximate Ligands. J. Clust. Sci. 2014, 25, 825–838. [Google Scholar] [CrossRef]
- An, G.-Y.; Wang, H.-B.; Cui, A.-L.; Kou, H.-Z. Ferromagnetic versus antiferromagnetic exchange in oximato-bridged nickel(II) complexes. New J. Chem. 2014, 38, 5037–5042. [Google Scholar] [CrossRef]
- Jiang, X.; An, G.-Y.; Liu, C.-M.; Kou, H.-Z. Mixed-Valent {Mn14} Single-Molecule Magnet Based on Pyridine-2-amidoxime. Eur. J. Inorg. Chem. 2015, 5314–5317. [Google Scholar] [CrossRef]
- Ji, C.-M.; Yang, H.-J.; Zhao, C.-C.; Tangoulis, V.; Cui, A.-L.; Kou, H.-Z. Self-Assembly of Multidecker NiII Clusters from Preformed Ni4 Decks. Cryst. Growth Des. 2009, 9, 4606–4609. [Google Scholar] [CrossRef]
- Deng, X.-H.; Ran, J.-W. Bis[μ3-Ν′-oxidopyridine-2-carboximidamidato(2-)]bis[μ2-Ν′-oxidopyridine-2-carboximidamidato (1-)]tetrapyridinetetranickel(II) dinitrate. Acta Crystallogr. Sect. E 2012, 68, m40. [Google Scholar] [CrossRef]
- Kou, H.-Z.; An, G.-Y.; Ji, C.-M.; Wang, B.-W.; Cui, A.-L. Ferromagnetic coupling in oximato-bridged multi-decker NiII clusters. Dalton Trans. 2010, 39, 9604–9610. [Google Scholar] [CrossRef]
- Dimakopoulou, F.; Efthymiou, C.; O’Malley, C.; Kourtellaris, A.; Moushi, E.; Tasiopoulos, A.; Perlepes, S.P.; McArdle, P.; Costa-Villén, E.; Mayans, J.; et al. Novel Co5 and Ni4 Metal Complexes and Ferromagnets by the Combination of 2-Pyridyl Oximes with Polycarboxylic Ligands. Molecules 2022, 47, 4701. [Google Scholar] [CrossRef]
- Nakamoto, K. Infrared and Raman Spectra of Inorganic and Coordination Compounds, 4th ed.; Wiley: New York, NY, USA, 1986; pp. 121–124, 130–138. [Google Scholar]
- Dollish, F.R.; Fateley, W.G.; Bentley, F.F. Characteristic Raman Frequencies of Organic Compounds; Wiley: New York, NY, USA, 1974; pp. 135–137. [Google Scholar]
- Geary, W.J. The Use of Conductivity Measurements in Organic Solvents for the Characterization of Coordination Compounds. Coord. Chem. Rev. 1971, 7, 81–122. [Google Scholar] [CrossRef]
- Rao, C.N.R. Ultra-Violet and Visible Spectroscopy, 2nd ed.; Butteworths: London, UK, 1967; pp. 20–33, 58–73. [Google Scholar]
- Lever, A.B.P. Inorganic Electronic Spectroscopy, 2nd ed.; Elsevier: Amsterdam, The Netherlands, 1984; pp. 329–332, 452, 453, 457–458, 473–478. [Google Scholar]
- Greenwood, N.N.; Gibbs, T.C. Mössbauer Spectroscopy; Chapman and Hall: London, UK, 1971; pp. 1–660. [Google Scholar]
- Bernasek, E. Pyridineamidoximes. J. Org. Chem. 1957, 22, 1263. [Google Scholar] [CrossRef]
- Sheldrick, G.M. SADABS, ver. 2.03; Brucker Analytical X-Ray Systems: Madison, WI, USA, 2000.
- Sheldrick, G.M. SHELXT—Integrated space-group and crystal-structure determination. Acta Crystallogr. Sect. A 2015, 71, 3–8. [Google Scholar]
- Sheldrick, G.M. Crystal structure refinement with SHELXL. Acta Crystallogr. Sect. C 2015, 71, 3–8. [Google Scholar]







| Parameter | [CoIII2FeIII(NH2pao)6](ClO4)2(NO3)·5MeOH·1.5H2O |
|---|---|
| Empirical formula | C82H118Cl4Co4Fe2N38O47 |
| Formula weight | 2893.36 |
| Crystal system | triclinic |
| Space group | |
| Color, habit | brown, plate |
| a, Å | 13.744(2) |
| b, Å | 15.390(3) |
| c, Å | 16.650(3) |
| α, ° | 101.326(7) |
| β, ° | 110.122(7) |
| γ, ° | 107.924(7) |
| Volume, Å3 | 2960.7(8) |
| Z | 1 |
| Temperature, K | 120 |
| Radiation, Å | Mo Kα, 0.71073 |
| Calculated density, g cm−3 | 1.623 |
| Absorption coefficient, mm−1 | 0.98 |
| No. of measured, independent, and observed [I > 2σ(I)] reflections | 150,252, 12,373, 11,094 |
| Rint | 0.028 |
| θmax°, θmin° | 26.8, 1.7 |
| Number of parameters | 896 |
| Final R indices a | R1 = 0.0549 [I > 2σ(I)], wR2 = 0.1532 (all reflections) |
| Goodness-of-fit on F2 | 1.04 |
| Largest differences peak and hole (e Å−3) | 2.51, −1.82 |
| Interatomic Distances (Å) | Bond Angles (°) | ||
|---|---|---|---|
| Fe1…Co1 | 3.488(2) | N1-Co1-N3 | 82.4(1) |
| Co1…Co1′ | 6.976(2) | N1-Co1-N4 | 94.7(1) |
| Co1-N1 | 1.956(3) | N1-Co1-N6 | 94.7(1) |
| Co1-N3 | 1.888(3) | N1-Co1-N7 | 94.3(1) |
| Co1-N4 | 1.961(3) | N1-Co1-N9 | 171.7(1) |
| Co1-N6 | 1.892(3) | N3-Co1-N4 | 171.5(1) |
| Co1-N7 | 1.960(3) | N3-Co1-N6 | 90.3(1) |
| Co1-N9 | 1.884(3) | N3-Co1-N7 | 93.7(1) |
| Fe1-O1 | 2.053(2) | N3-Co1-N9 | 90.6(1) |
| Fe1-O2 | 2.032(2) | N4-Co1-N6 | 82.0(1) |
| Fe1-O3 | 2.005(2) | N4-Co1-N7 | 94.5(1) |
| N3-O1 | 1.370(3) | N4-Co1-N9 | 92.9(1) |
| N6-O2 | 1.368(4) | N6-Co1-N7 | 170.6(1) |
| N9-O3 | 1.352(3) | N6-Co1-N9 | 89.8(1) |
| C6-N3 | 1.303(4) | N7-Co1-N9 | 81.6(1) |
| C12-N6 | 1.302(5) | O1-Fe1-O2 | 89.7(1) |
| C18-N9 | 1.304(4) | O1-Fe1-O3 | 91.8(1) |
| C6-N2 | 1.340(4) | O1-Fe1-O2′ | 90.3(1) |
| C12-N5 | 1.343(5) | O1-Fe1-O3′ | 88.2(1) |
| C18-N8 | 1.348(4) | O2-Fe1-O3 | 91.5(1) |
| O2-Fe1-O3′ | 88.5(1) | ||
| Complex a | Coordination Mode c,d | Reference |
|---|---|---|
| [CrIII3O(O2CPh)3(NH2pao)3](NO3)·NH2paoH | 2.1110 | [63] |
| [CoII2CoIII(NH2pao)6](NO3) | 2.1112120 | [38] |
| [Ni2(NH2pao)3(Me3tacn)](BPh4) b | 2.1110 | [64] |
| [Zn2(acac)2(NH2pao)2] | 2.1110 | [55] |
| [Zn4(OH)2Cl2(NH2pao)4] | 2.1110 | [50] |
| Complex a | Coordination Mode i,j | References |
|---|---|---|
| [MnII2MnIII10MnIV2O8(N3)2(NHpao)2- (NH2pao)14](ClO4)2(OH)2 | k | [65] |
| [Ni4(NHpao)2(NH2pao)2(Him)4](ClO4)2 b | 3.2111/2.1110 | [66] |
| [Ni4(NHpao)2(NH2pao)2(py)4](NO3)2 c | 3.2111/2.1110 | [67] |
| [Ni4(NHpao)2(NH2pao)2(py)4](ClO4)2 c | 3.2111/2.1110 | [68] |
| [Ni4(NHpao)2(NH2pao)2(4-mepy)4](ClO4)2 d | 3.2111/2.1110 | [68] |
| [Ni4(NHpao)2(NH2pao)2(3-mepy)4](ClO4)2 e | 3.2111/2.1110 | [68] |
| [Ni4(NHpao)2(NH2pao)2(1-meim)4](ClO4)2 f | 3.2111/2.1110 | [68] |
| [Ni4(INA)2(NHpao)2(NH2pao)2(DMF)2] g | 3.2111/2.1110 | [69] |
| [Ni5(NHpao)2(NH2pao)4(L)2](ClO4)2 h | 3.2111/2.1110 | [64] |
| [Ni8(NHpao)4(NH2pao)4(H2O)4](ClO4)4 | 4.2121, 3.2111/3.2110, 2.1110 | [66,68] |
| [Ni8(NHpao)4(NH2pao)4(H2O)4]Br4 | 4.2121, 3.2111/3.2110, 2.1110 | [68] |
| [Ni8(NHpao)4(NH2pao)4(Him)4](NO3)2(OH)2 b | 4.2121, 3.2111/3.2110, 2.1110 | [68] |
| [Ni12Cl2(NHpao)6(NH2pao)6(MeOH)2]Cl4 | 4.2121, 3.2111/3.2110, 2.1110 | [37] |
| [Ni12(N3)2(NHpao)6(NH2pao)6(H2O)2](ClO4)4 | 4.2121, 3.2111/3.2110, 2.1110 | [66,68] |
| [Ni12(NHpao)6(NH2pao)6(H2O)4]Cl6 | 4.2121, 3.2111/3.2110, 2.1110 | [68] |
| [Ni16(NHpao)8(NH2pao)8(MeOH)4](SO4)4 | 4.2121, 3.2111/2.1110, 3.2110 | [37] |
Disclaimer/Publisher’s Note: The statements, opinions and data contained in all publications are solely those of the individual author(s) and contributor(s) and not of MDPI and/or the editor(s). MDPI and/or the editor(s) disclaim responsibility for any injury to people or property resulting from any ideas, methods, instructions or products referred to in the content. |
© 2025 by the authors. Licensee MDPI, Basel, Switzerland. This article is an open access article distributed under the terms and conditions of the Creative Commons Attribution (CC BY) license (https://creativecommons.org/licenses/by/4.0/).
Share and Cite
Skiadas, S.G.; Polyzou, C.D.; Lada, Z.G.; Clérac, R.; Sanakis, Y.; Dechambenoit, P.; Perlepes, S.P. Mixed 3d-3d’-Metal Complexes: A Dicobalt(III)Iron(III) Coordination Cluster Based on Pyridine-2-Amidoxime. Inorganics 2025, 13, 171. https://doi.org/10.3390/inorganics13050171
Skiadas SG, Polyzou CD, Lada ZG, Clérac R, Sanakis Y, Dechambenoit P, Perlepes SP. Mixed 3d-3d’-Metal Complexes: A Dicobalt(III)Iron(III) Coordination Cluster Based on Pyridine-2-Amidoxime. Inorganics. 2025; 13(5):171. https://doi.org/10.3390/inorganics13050171
Chicago/Turabian StyleSkiadas, Sotiris G., Christina D. Polyzou, Zoi G. Lada, Rodolphe Clérac, Yiannis Sanakis, Pierre Dechambenoit, and Spyros P. Perlepes. 2025. "Mixed 3d-3d’-Metal Complexes: A Dicobalt(III)Iron(III) Coordination Cluster Based on Pyridine-2-Amidoxime" Inorganics 13, no. 5: 171. https://doi.org/10.3390/inorganics13050171
APA StyleSkiadas, S. G., Polyzou, C. D., Lada, Z. G., Clérac, R., Sanakis, Y., Dechambenoit, P., & Perlepes, S. P. (2025). Mixed 3d-3d’-Metal Complexes: A Dicobalt(III)Iron(III) Coordination Cluster Based on Pyridine-2-Amidoxime. Inorganics, 13(5), 171. https://doi.org/10.3390/inorganics13050171

