Next Article in Journal
Calcium Phosphate Ceramic Powders Prepared from Mechanochemically Activated Precursors
Next Article in Special Issue
Scalable High-Yield Exfoliation of Hydrophilic h-BN Nanosheets via Gallium Intercalation
Previous Article in Journal
Biophysical Characterization of Membrane Interactions of 3-Hydroxy-4-Pyridinone Vanadium Complexes: Insights for Antidiabetic Applications
Previous Article in Special Issue
Tuning Magneto-Birefringence of Two-Dimensional Vermiculite Dispersions Through Magnetic Ion Exchange
 
 
Font Type:
Arial Georgia Verdana
Font Size:
Aa Aa Aa
Line Spacing:
Column Width:
Background:
Article

Single-Atom Cobalt-Doped 2D Graphene: Electronic Design for Multifunctional Applications in Environmental Remediation and Energy Storage

1
Key Laboratory of Extraordinary Bond Engineering and Advanced Materials Technology of Chongqing, Yangtze Normal University, Chongqing 408100, China
2
Renewable Energy Conversion and Storage Center (RECAST), National Institute for Advanced Materials, School of Materials Science and Engineering, Nankai University, Tianjin 300350, China
*
Authors to whom correspondence should be addressed.
Inorganics 2025, 13(10), 312; https://doi.org/10.3390/inorganics13100312
Submission received: 12 August 2025 / Revised: 9 September 2025 / Accepted: 22 September 2025 / Published: 24 September 2025
(This article belongs to the Special Issue Physicochemical Characterization of 2D Materials)

Abstract

Through atomic-scale characterization of a single cobalt atom anchored in a pyridinic N3 vacancy of graphene (Co-N3-gra), this study computationally explores three interconnected functionalities mediated by cobalt’s electronic configuration. Quantum-confined molecular prototypes extend prior bulk models, achieving a competitive catalytic activity for CO oxidation via Langmuir–Hinshelwood pathways with a 0.85 eV barrier. These molecular prototypes’ discrete energy states facilitate single-electron transistor operation, enabling sensitive detection of NO, NO2, SO2, and CO2 through adsorption-induced conductance modulation. When applied to lithium–sulfur batteries using periodic Co-N3-gra, cobalt sites enhance polysulfide conversion kinetics and suppress the shuttle effect, with the Li2S2→Li2S step identified as the rate-limiting process. Density functional simulations provide atomic-scale physicochemical characterization of Co-N3-gra, revealing how defect engineering in 2D materials modulates electronic structures for multifunctional applications.

Graphical Abstract

1. Introduction

The concept of single-atom catalysis has emerged as a powerful strategy for achieving high activity and selectivity [1]. Leveraging its unique electronic configuration and tunable coordination chemistry, single-atom cobalt (Co) [2] emerges as a versatile platform spanning heterogeneous catalysis to quantum electronics. Beyond catalytic carbon oxide (CO) oxidation [3], Co sites exhibit non-sequential electron transport in single-electron transistors (SETs) [4], while analogous charge modulation enables molecular sensing [5,6] and energy storage catalysis [7]. This multifunctionality positions cobalt as a key building block for integrated environmental and energy technologies.
The exceptional activity of atomic Co catalysts originates from tunable coordination environments that optimize adsorption/desorption kinetics—critical for applications like pollutant degradation [8,9]. While Co-based systems show broad catalytic versatility (e.g., hydroformylation [10,11,12,13,14], and C-H activation [15,16,17,18]), their efficacy in gaseous pollutant elimination remains underexplored. In 2016, Zhang et al. pioneered single Co atoms in pyridinic N3 graphene (Co-N3-gra), demonstrating efficient CO oxidation via Langmuir–Hinshelwood pathways with a 0.86 eV barrier [19].
However, two fundamental questions arise from this work [19]: How do quantum confinement effects in nanoscale Co-N3-gra flakes modify electronic structures and catalytic behavior? Can the charge transfer mechanisms governing catalysis enable other functionalities like sensing and energy storage? Addressing these gaps requires multiscale computational probes bridging discrete and periodic systems.
The discrete energy states of quantum-confined flakes provide an ideal platform for SETs. When configured with Co-based islands [20,21], SETs resolve single-electron charging effects through Coulomb blockade phenomena—including quantized charge states and stability diamonds—that fingerprint molecular energy landscapes [22,23]. This approach offers direct electrical readouts of electronic states complementary to spectroscopic methods.
Molecular adsorption at Co sites enables environmental monitoring, particularly for bioactive gases (NO/NO2) [24,25] and pollutants (CO2/SO2) [26]. Crucially, adsorption-induced conductance shifts in SETs directly correlate with charge redistribution during catalytic activation. For instance, NO2 adsorption triggers electron transfer analogous to O2 activation in CO oxidation, establishing SETs as in situ probes of catalytic behavior.
In energy storage, lithium–sulfur(Li-S) batteries face challenges from polysulfide shuttling [27,28]. Recent advances highlight the promise of two-dimensional (2D) layered nitrogenous carbon-based material for suppressing the polysulfide shuttle effect in Li-S batteries [29]. Unlike prior nanoparticle approaches [7,30,31], we pioneer periodic Co-N3-gra for Li-S systems—retaining identical coordination while enabling electrode-scale simulations. Co-based catalysts enhance polysulfide conversion [32,33,34] and improve conductivity [7,32,35,36], directly translating electronic insights from flakes to practical interfaces.
Through density functional theory (DFT), this work implements a three-tier strategy: revisiting CO oxidation on a quantum-confined Co-N3-gra molecular prototype to probe size effects, employing SETs to quantify charge states and adsorption behavior, and applying these insights to Li-S catalysis via periodic Co-N3-gra models. Rather than treating these applications in isolation, this work seeks to demonstrate a unified design principle: the electronic structure of the atomically dispersed cobalt site serves as a universal ’control knob’ for diverse functionalities. Section 3 details computational methods, with results progressing systematically from catalysis (Section 2.1) to SET characterization (Section 2.2), molecular sensing (Section 2.3), and Li-S battery applications (Section 2.4). Section 4 summarizes how charge redistribution unifies functionality across systems.

2. Results and Discussion

2.1. Catalytic Design for Environmental Remediation

In this section, the catalytic effect of the single Co atom embedded in pyridinic nitrogen vacancy sites in graphene molecular prototype (Co-N3-gra molecular prototype) on CO is investigated for the first time, as far as we know. As shown in Equations (1) and (2), CO can be oxidized in two reactions:
CO + O 2 Co CO 2 + O ,
CO + O Co CO 2 .
The catalytic oxidation of CO (Equation (1)) was investigated through two well-established pathways: the Eley–Rideal (ER) and LH mechanisms [37]. In the ER pathway, CO molecules from the gas phase react directly with pre-adsorbed oxygen molecules on the cobalt site, forming a carbonate-like intermediate that undergoes subsequent dissociation. By contrast, the LH mechanism initiates with co-adsorbed CO and O2 species that undergo intramolecular rearrangement before decomposing through a peroxide-like intermediate. Following CO2 desorption, the residual atomic oxygen on the cobalt center retains catalytic activity, enabling continuous oxidation cycles through Equation (2) with minimal energy penalty.
The reaction adsorption energy is calculated using the following formula:
E ads = E total E adsorbate E cluster
where E ads , E total , E adsorbate , E cluster denote the energies adsorbed on the Co atoms, total energy of combined cluster-and-adsorbate complex, the energy of the isolated adsorbate, and the energy of the isolated cluster model itself (e.g., the CoC9N3H9 molecular prototype), respectively. Note that E cluster represents the entire supported active site, not just the single metal atom.
The energy barriers mentioned above were evaluated at zero Kelvin (0 K). However, to account for the effects of temperature, the free-energy changes (ΔG) of the processes need to be corrected, resulting in the adjusted energy barriers E bar . The adjusted energy barriers can be calculated using the equation ΔG = ΔH − TΔS, where ΔH the change in enthalpy, T is the room temperature (298.15 K), and ΔS is the change in entropy. Given that ΔH = ΔU − PΔV, ΔU = ΔEtot + ΔEvib + ΔEtrans + ΔErot and ΔS = ΔSvib + ΔStrans + ΔSrot, where ΔU is the change in internal energy, ΔEtot is the change in total electronic energy obtained from DFT calculations, and the subscripts vib, trans, and rot represent the vibrational, translational, and rotational components, respectively.
In the CO oxidation process, the ER mechanism is followed. As described in previous studies [19,38], this process consists of multiple steps and involves various intermediate products. Every reaction step is characterized by a different transition state, such as the transition state in step 1 of Equation (1) labeled as TS1 in Figure 1a, and that in step 2 of Equation (1) noted by TS2 in Figure 1b. In the initial step (Figure 1a), the reaction begins with physically adsorbed CO molecules, which gradually approach the O2 molecules on the Co surface. During the transition from the initial state (IS) to the TS, the O-O bond elongates from 1.39 Å to 2.67 Å, requiring an energy barrier of 0.91 eV to be overcome. Subsequently, the system enters an intermediate state (MS), forming a carbonate-like structure, which is accompanied by the cleavage of one O-O bond and the formation of two C-O bonds.
As shown in Figure 1b, the reaction proceeds further. From the MS to the TS2, an energy barrier of 1.48 eV needs to be overcome, ultimately leading to the formation of a CO2 molecule. Adsorption energy of -0.269 eV is consistent with typical van der Waals interactions, confirming the physical nature of the binding in the final state (FS). It is worth noting that the energy of the MS is 0.96 eV lower than that of the FS, making MS more stable. From a thermodynamic perspective, this stability hinders the spontaneous desorption of the generated CO2 molecule, which is consistent with the results of other related studies [19]. Thus, the quite big barriers of CO3 formation and dissociation indicate that the CO oxidation on Co-N3-gra molecular prototype via the ER mechanism is difficult.
In the LH mechanism, when transitioning from IS to MS, an energy barrier of 1.21 eV needs to be overcome. When FS is formed, the O-O bond is stretched from 1.521 Å to 1.968 Å. Subsequently, CO2 begins to dissociate. After overcoming an energy barrier of 0.28 eV, the O-O bond is broken, forming TS2 where the distance between C and Co is 2.408 Å, as shown in Figure 2. After that, the C-Co bond breaks, and CO2 is successfully dissociated, generating FS where the distance between C and Co is 4.258 Å. The energy released in the entire process is 0.21 eV. Comparative analysis between ER and LH mechanisms reveals distinct energetic landscapes for these routes; the LH pathway demonstrates superior kinetics due to its lower activation barrier of 0.85eV after temperature corrections and energy-favorable dissociation between formed CO2 and the Co-N3-gra molecular prototype. This calculated barrier is competitive with experimental values reported for noble metal catalysts, such as Pt-based systems (1.0 eV) [39].
Following Equation (1) discussed above, there is an oxygen ion remaining on the Co atom. In the reaction described by Equation (2), an oxygen ion on the Co surface reacts with another CO molecule to form CO2, with an energy barrier of 0.50 eV to be overcome (Figure 3a). The transition state in step 1 of Equation (2) is given by TS in Figure 3. This step releases an energy of 1.65 eV, which is significantly higher than the physisorption energy of CO2 in the final state (FS) at 0.006 eV, indicating that the desorption of CO2 is feasible [19]. Additionally, the validity of Equation (2) is supported by the reaction pathway in Equation (2) that starts with oxygen atoms [40].
The reaction paths following Equation (1) with LH mechanism and Equation (2) are thermally favorable, compared with those with ER mechanism. Partial density of states (PDOS) analysis for the LH mechanism and Equation (2) is given in Appendix A.1. It is also shown that inclusion of van der Waals interactions via DFT-D method does not alter the overall trends or conclusions of the active reaction pathways (LH and Equation (2)), as given in Appendix A.2. Reaction time for Figure 2a,b and Figure 3a at room temperature is estimated by the following equation:
τ = ν 1 exp ( E bar k B T )
where ν is in order of 1012 Hz, and k B is the Boltzmann constant. For Figure 2a,b and Figure 3a, we can obtain τ 1 = 2.33 × 10−2 s, τ 2 = 2.9 × 10−3 s, and τ 3 = 1.92 × 10−4 s, respectively. Therefore, the adsorption of oxygen ions by Co exhibits fast reaction kinetics for CO oxidation, indicating rapid kinetics for oxygen–ion-mediated oxidation.

2.2. Single-Electron Phenomena in Defective 2D Graphene

In this study, the potential applications of Co atom-doped graphene in SETs were explored through theoretical simulations and calculations. Figure 4a depicts a schematic diagram of the SET device. A single Co atom-embedded pyridinic nitrogen-doped graphene molecular prototype is placed between two electrodes and serves as the central island for controlling the horizontal electron transport. The gate electrode is located below the central island, and the electron-transport characteristics are controlled by adjusting the gate voltage to achieve precise regulation of the electrical properties of the device [41,42].
Figure 4b shows the energy distribution of Co atoms in different charge states. PDOS analysis for the neutral charge state is given in Appendix A.1. It can be seen that as the charge state changes from q = 2 to q = + 2 , the energy levels exhibit obvious quantization characteristics. In particular, when the charge states are q = + 1 and q = + 2 , the energy levels are densely distributed near zero energy, indicating that these states are the most stable and most likely to be occupied under normal conditions. However, the energy levels for q = 2 , q = 1 , q = 0 , and q = + 1 are relatively sparse and far from the zero-energy level, suggesting that these states have higher energies and are less likely to be occupied under normal conditions. This discrete energy-level distribution enables Co atoms to exhibit single-electron charging behavior during the charge transfer process.
Figure 4c further shows the relationship between the total energy of Co atoms in the SET and the gate voltage. The total energy is a large negative value due to the sum of the energies of all electrons and nuclei in the system. The physically relevant information is the relative change in energy with gate voltage. As the gate voltage changes, the total energy under different charge states exhibits non-linear changes, which are closely related to the capacitive characteristics of the system. To gain additional insights into how total energy varies with gate voltage and to explore the electronic properties of various central island configurations, we performed DFT calculations and fitted the results to a quadratic function: E ( q , V g ) = E 0 + qW + α qV g + β ( eV g ) 2  [32,41,42]. Here, E ( q , V g ) is the total energy of the SET with charge state q and gate voltage V g . E 0 is a constant energy term, q W represents stored energy (a value of 5.28 eV is used to simulate gold electrodes), and α q V g describes the linear coupling between the island and gate electrode. For Co, the parameters are α = 0.6477 and β = −0.0054.
Figure 4d illustrates the charge stability diagram of the Co-based SET. With the source-drain bias voltage fixed, as the gate voltage is scanned, a series of periodic peaks can be observed, indicating that electrons are either added to or removed from the central island. These peaks form characteristic diamond-shaped regions in the V g V s d plane, constituting the charge stability diagram. The existence of these regions demonstrates the stability of the Co-based SET in different charge states [5], providing visual evidence for the charge control of the SET.
To better observe the performance of the SET, Figure 4e shows the variation of the charge state of the Co-N3-gra molecular prototype with the gate bias under a fixed source-drain voltage of 2.5 volts, indicating that within a specific range of gate voltages, the Co-N3-gra molecular prototype can stably maintain a single-charge state. Figure 4f presents the changes in the charge states under different source-drain biases at a fixed gate bias of −3.8 V. Figure 4g shows the variation of the maximum conductance of the Co-N3-gra molecular prototype under different source-drain biases, and the Co-N3-gra molecular prototype exhibits two conductance changes in the range from −5 V to 5 V.
The quantized charge states and gate-tunable energy levels reveal the discrete electronic structure of Co sites. This enables precise probing of electron transfer processes—a capability we leverage to investigate catalytic interactions with bioactive gases.

2.3. Catalytic Design for Environmental Remediation

In this part, building on the electronic state mapping of Co sites (Section 2.2), we employ SETs to detect bioactive gases through adsorption-induced conductance changes. As a highly sensitive device, the SET can detect the charge of a single electron, giving it a unique advantage in molecular adsorption detection.
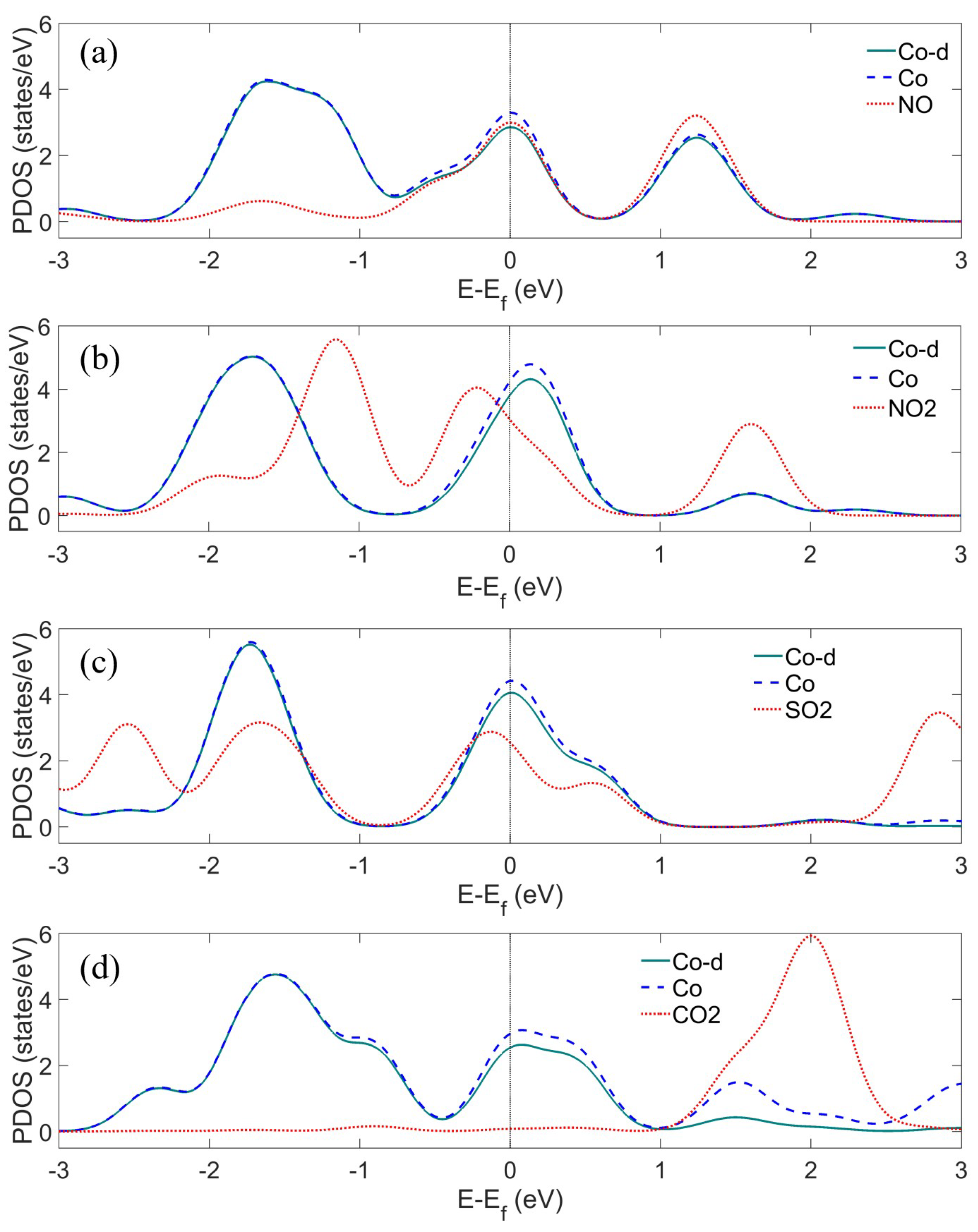
Figure 5a illustrates the binding models of NO, NO2, SO2, and CO2 gas molecules with Co atoms. The adsorption structures formed between different gas molecules and Co atoms are distinct. The Co complexes can be regarded as islands within the SET configuration. PDOS analysis for the four Co complexes is given in Appendix A.1, reflecting the crucial role of Co-N3 center in molecule absorption. The selectivity between gas molecules is quantified with adsorption energies and charge transfer values in Appendix B.1. Due to the different interactions between the molecules and the SET, it is possible to evaluate their sensitivity to the adsorption of gas molecules.
Figure 5b shows the relationship between the charge states of different gas molecules in the SET as a function of gate voltage. It can be observed that the charge states of NO2 and CO2 molecules undergo significant changes at lower voltages as the gate voltage increases, while NO and SO2 molecules require higher voltages to cause changes in their charge states. This indicates that NO2 and CO2 molecules have stronger interactions with cobalt atoms, which can more easily lead to electron transfer within the SET.
Figure 5c further demonstrates the changes in charge states of various gas molecules under different source-drain biases. The results show that SO2 can achieve charge state transitions at smaller source-drain biases, while NO, SO2, and CO2 molecules require larger biases, consequently. Figure 5d shows the variation of normalized conductance of different gas molecules in a SET with the source-drain bias, featuring distinct conductance peaks corresponding to specific air pollutants.
It is important to note that this study focuses on the fundamental charge transfer-based sensing mechanism. Translating this principle into a practical device would necessitate addressing several engineering challenges, including the fabrication of large-scale, uniform arrays of Co-N3 sites, the minimization of 1/f noise and charge noise in graphene-based SETs at room temperature, and ensuring long-term stability against oxidation and poisoning. Nonetheless, quantifying the intrinsic electronic response, as done here, is a critical first step for identifying promising material candidates for next-generation sensors.
Co-N3-gra can also be used to detect more complex molecules containing hydrocarbon radicals such as methanol, ethanol, butanol, etc., which are extremely important for many practical applications [43,44,45]. A detailed study can be found in Appendix B.2. The unique structural and electrical response characteristics of Co atoms’ adsorption to different air pollutant molecules provide a theoretical basis for the development of highly sensitive air pollutant molecule detection devices based on Co atoms.

2.4. Stepwise Polysulfide Conversion Catalyzed by Atomic Cobalt Centers

Effective suppression of the polysulfide shuttle effect in Li-S batteries necessitates strong anchoring of lithium polysulfides (LiPSs). During discharge, sulfur undergoes stepwise reduction through adsorbed intermediates: S8*→Li2S8*→Li2S6*→Li2S4*→Li2S2*→Li2S* where asterisks denote binding at Co-N3-gra catalytic sites (Figure 6). PDOS analysis for Li2S* represents the key of Co-N3 center in anchoring of the LiPs, as given in Appendix A.1. This cascade serves as an ideal model system for probing how atomically dispersed Co catalysts control reaction kinetics and thermodynamics in multielectron transfer processes.
The overall discharge process involves the reduction of adsorbed sulfur: S8 + 16Li+ + 16e→8Li2S, which encompasses multiple elementary steps with associated intermediates [46]. To resolve the catalytic function of atomic Co sites, we decompose this process into five concerted reactions:
S 8 + 2 Li + + 2 e Co Li 2 S 8
Li 2 S 8 + 4 Li + + 4 e Co Li 2 S 6 + 2 Li 2 S ,
Li 2 S 6 + 4 Li + + 4 e Co Li 2 S 4 + 2 Li 2 S ,
Li 2 S 4 + 4 Li + + 4 e Co Li 2 S 2 + 2 Li 2 S ,
Li 2 S 2 + 2 Li + + 2 e Co Li 2 S + Li 2 S ,
where each step occurs at the Co-N3 active sites.
To gain deeper mechanistic insights into polysulfide conversion catalyzed by Co-N3-gra, we systematically evaluated the Gibbs free-energy landscape for the sulfur reduction pathway. The computational hydrogen electrode approach [47] was employed to determine the free-energy change (ΔG) for each elementary step according to
Δ G = Δ E + Δ ZPE T Δ S .
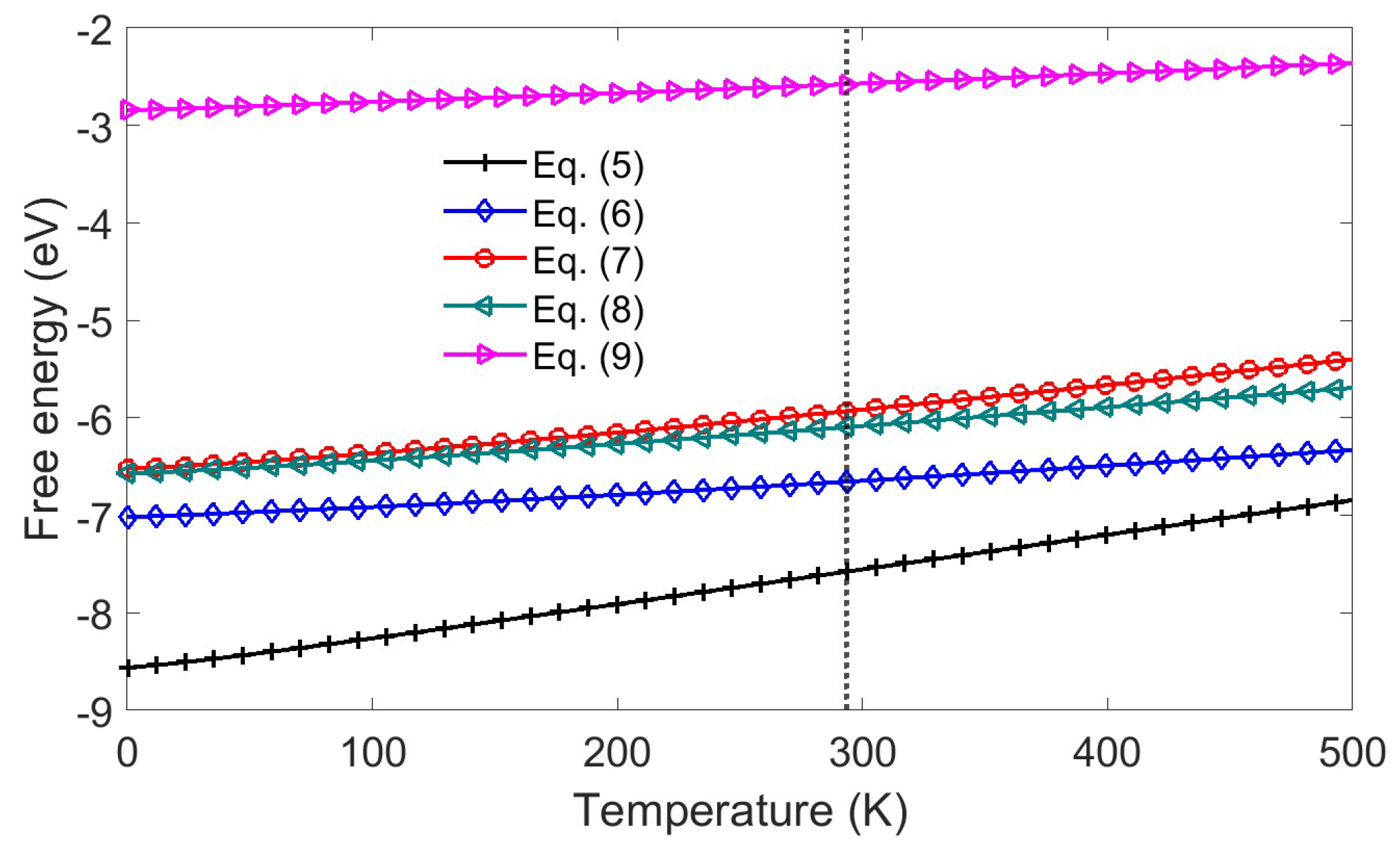
In this expression, ΔE represents the reaction energy computed via DFT, ΔZPE accounts for zero-point energy (ZPE) variations, ΔS corresponds to entropy adjustments, and T denotes the absolute temperature. Thermodynamically favorable processes exhibit negative ΔG values (exergonic), whereas positive ΔG indicates endergonic reactions requiring energy input. As demonstrated in Figure 7, all five lithium polysulfide formation reactions maintain negative free-energy values throughout the 0–500 K temperature range, confirming their spontaneous character under battery operating conditions.
Under typical battery operating conditions (ambient temperature, 293 K), the free-energy profile for sulfur reduction on Co-N3-gra reveals critical insights (Figure 8). The initial S8*→Li2S8* conversion exhibits the most negative ΔG (−1.82 eV), confirming its exothermic and spontaneous nature. Analysis of the complete reaction pathway identifies the Li2S2*→Li22S* transition as kinetically limiting, with a substantial positive barrier of 3.52 eV— significantly higher than other elementary steps. This kinetic bottleneck originates from the solid–solid restructuring required for Li2S2 to Li2S conversion, whereas preceding transitions involve more facile phase changes, including S8*→ Li2S4* as a dissolution-mediated solid-to-liquid transition, Li2S4*→Li2S2* as a liquid-to-solid precipitation, and Li2S2 to Li2S as a solid–solid crystal transformation. Such phase-dependent barriers align with experimental reports of nucleation-limited kinetics in sulfur cathodes [48]. This barrier value is higher than barriers reported for other cobalt-based catalysts (e.g., 1.38 eV on Co(111) [49]), suggesting our Co-N3 site needs further optimization. Future catalyst design should therefore focus on optimizing Co-S bonding interactions through coordination engineering to facilitate this critical solid-state conversion.

3. Materials and Methods

In the study of properties and catalytic applications of Co atom-doped graphene, spin-unrestricted DFT is employed. The computational setup was designed to ensure both accuracy and efficiency for the diverse systems studied, ranging from molecular clusters to periodic surfaces and transport devices.

3.1. Model Systems and Computation Details

In the work, two distinct types of models were utilized, depending on the application.

3.1.1. Molecular Cluster Models (for CO Oxidation, SET, and Molecular Sensing)

The active site was modeled using a CoC9N3H9 molecular cluster (as shown in Figure 1, Figure 2, Figure 3, Figure 4 and Figure 5), representing a single cobalt atom anchored in a pyridinic N3 vacancy within a finite graphene molecular prototype. This cluster size was carefully chosen to balance computational efficiency with the accurate representation of the electronic structure of the Co-N3 center. For CO oxidation and gas adsorption energy calculations, computations were performed in the DMol3 module without periodic boundary conditions. This approach is standard for modeling isolated molecular reactions and is in agreement with conventional first-principles studies of Co-based absorption and catalysis [50,51]. For SET simulations, the CoC9N3H9 molecule served as the central island. Neumann boundary conditions were adopted, following established first-principles modeling practices for molecular-scale electronic devices [41]. Simulations were conducted using QuantumATK software 2019, combining DFT with the non-equilibrium Green’s function (NEGF) formalism. The DFT-NEGF method was used to investigate the charging energies in SETs, while self-consistent-charge DFT was employed to study the electronic properties of the Co atoms’ structures [32,52], ensuring model stability and the accurate capture of discrete energy levels and Coulomb blockade effects.

3.1.2. Periodic Model (for Li-S Battery Applications)

A periodic model was constructed using a 7 × 7 graphene supercell (in-plane lattice parameter of 2.46 Å) with a single Co-N3 center. A vacuum layer of 15 Åwas added along the z-direction to decouple the periodic slabs and prevent any spurious interactions between them, which is sufficient for convergence of the electronic structure.

3.2. Exchange-Correlation Functional and Basis Set

The Perdew–Burke–Ernzerhof (PBE) functional within the generalized gradient approximation (GGA) was employed for all calculations. While this functional possibly underestimates absolute reaction barriers, it provides a well-established and computationally efficient framework for describing catalytic reaction mechanisms [19], adsorption energetics, and electronic structures in carbon-based materials and transition-metal complexes, and its use is consistent with previous computational studies of cobalt-based catalysts [50,51]. The double numerical plus polarization (DNP) basis set was used throughout this work. The DNP basis set is the default in the DMol3 module, offering good accuracy in describing both the localized d-orbitals of the cobalt atom and the delocalized π -system of the graphene substrate. Grimme’s DFT-D method was used to account for dispersion interactions. Core electrons were treated with DFT semi-core pseudopotentials (DSPPs) to account for relativistic effects [6,53,54,55].

3.3. Convergence Parameters and Transition State Search

During the calculations, the energy convergence tolerance was set to 5 × 10−7 Hartree, the maximum force to 0.005 Hartree/Å, and the displacement to 0.05 Å, to ensure the precision of the calculations. To determine the minimum energy path for the CO oxidation reaction, the linear synchronous transit/quadratic synchronous transit (LST/QST) methods were utilized [56]. The vibrational frequencies were calculated to obtain the zero-point energy (ZPE) and thermal corrections to the Gibbs free energy.

4. Conclusions

This computational study demonstrates that the multifunctionality of single-atom cobalt-doped graphene stems from a common root: the tunable electronic structure of the Co-N3 active site. The ability of this site to undergo charge redistribution enables it to facilitate catalytic cycles, alter conductance in SETs for sensing, and enhance reaction kinetics in batteries. Our key findings reveal that in catalytic applications, Co-N3-gra molecular prototypes drive efficient CO oxidation via LH pathways, with the rate-limiting step exhibiting a 0.85 eV barrier. The coordination environment critically tunes reaction energetics, as shown in the contrasting mechanisms between ER and LH pathways. For electronic and sensing applications, quantum confinement in nanoscale molecular prototypes creates discrete energy states that enable precise SET operation. When configured as Coulomb islands, these systems detect adsorption events through characteristic conductance shifts—particularly for environmentally relevant gases like NO, NO2, SO2, and CO2. In energy storage, periodic Co-N3-gra models significantly mitigate the polysulfide shuttle effect in Li-S batteries. Our work identifies the Li2S2→Li2S conversion as the rate-limiting step and quantifies its challenging barrier, providing a key metric for future catalyst design. This work demonstrates that the electronic structure of a single Co-N3 active site serves as a unified platform for multifunctional applications. We elucidate the mechanism by which charge redistribution at this specific site simultaneously governs its catalytic, sensing, and energy storage functionalities.

Author Contributions

Conceptualization, Z.H. and G.L.; methodology, Z.H. and L.D.; software, M.B. and C.Y.; validation, Y.Z., C.L. and L.D.; formal analysis, Z.H., L.D. and G.L.; investigation, Z.H., Y.Z., C.L., L.D., B.S. and H.L.; resources, G.L.; data curation, Y.Z., C.L., L.D. and B.S.; writing—original draft preparation, Y.Z.; writing—review and editing, Z.H.; visualization, Z.H., Y.Z. and C.L.; supervision, G.L.; project administration, Z.H. and G.L.; funding acquisition, Z.H. All authors have read and agreed to the published version of the manuscript.

Funding

This research was funded by the Science and Technology Research project of Chongqing Education Commission under No. KJQN202201421 and KJQN202401422, and the Fuling District guiding scientific research project under No. FLKJ.2024BAG5130.

Institutional Review Board Statement

Not applicable.

Informed Consent Statement

Not applicable.

Data Availability Statement

Data are contained within the article. Further inquiries can be directed to the corresponding author.

Acknowledgments

We would like to express our sincere gratitude to Yangtze Normal University and Nankai University for providing the equipment for this research.

Conflicts of Interest

The authors declare no conflicts of interest.

Appendix A. Electronic Structures Analysis

Appendix A.1. PDOS Analysis

Figure A1 clearly shows hybridization of d orbital of Co, CO, and O2 during the LH catalytic circle. In the initial state, the O2 molecule is significantly activated upon adsorption, as evidenced by the elongated O-O bond and the hybridization between Co-d orbitals and O2 orbitals near the Fermi level. At the transition state, this hybridization intensifies, and a new emerging state indicates electron redistribution towards the formation of the peroxide-like intermediate, concomitant with O-O bond weakening. Figure A2 displays the active charge redistribution for Co, CO, and O for the Equation (2) mechanism. The Co-adsorbed atomic oxygen site exhibits a highly reactive electronic state. This state readily interacts with the approaching CO molecule, leading to a low-barrier transition state characterized by Co-O-C hybridization. Comparing with Figure 2 and Figure 3 in the main context, the bond cleavage is accompanied by a significant charge redistribution, as revealed by our PDOS analysis above. The electronic structure evolution directly drives the catalytic cycle. Figure A3, Figure A4, Figure A5 present the PDOS analysis for Co-N3-gra molecular prototype as SET island, for NO, NO2, SO2, and CO2 adsorbed onto the Co-N3-gra molecular prototype, and for representative LiPs on Co-N3 graphene, respectively. It can be found that Co serves as active sites due to clear hybridization between Co-d orbitals and neighboring states of atoms/molecules.
Figure A1. PDOS analysis for (a) IS, (b) TS1, and (c) MS in the LH path.
Figure A1. PDOS analysis for (a) IS, (b) TS1, and (c) MS in the LH path.
Inorganics 13 00312 g0a1
Figure A2. PDOS analysis for (a) IS and (b) TS in the path of Equation (2).
Figure A2. PDOS analysis for (a) IS and (b) TS in the path of Equation (2).
Inorganics 13 00312 g0a2
Figure A3. PDOS analysis for the Co-N3-gra molecular prototype.
Figure A3. PDOS analysis for the Co-N3-gra molecular prototype.
Inorganics 13 00312 g0a3
Figure A4. PDOS analysis for (a) NO, (b) NO2, (c) SO2, and (d) CO2 adsorbed onto the Co-N3-gra molecular prototype.
Figure A4. PDOS analysis for (a) NO, (b) NO2, (c) SO2, and (d) CO2 adsorbed onto the Co-N3-gra molecular prototype.
Inorganics 13 00312 g0a4
Figure A5. PDOS analysis for LiPs.
Figure A5. PDOS analysis for LiPs.
Inorganics 13 00312 g0a5

Appendix A.2. DFT-D Correction

Inclusion of vdW corrections does not alter the overall trends or conclusions of the active reaction pathways (LH and Equation (2)). The relative energy landscape and the identity of the rate-limiting step remain unchanged. The revised energy profiles (with vdW corrections) are now included in the Figure A6 and Figure A7 for transparency.
Figure A6. Catalytic reaction’s energy profiles for catalytic CO oxidation over Co-3-gra molecular prototype with the LH mechanism. (a) Initial step of Equation (1) transitions from IS to MS via TS1. (b) Second step of Equation (1) moves from MS to FS via TS2. (c) Revised energy profile including temperature corrections. Vdw correction is adopted for related calculations.
Figure A6. Catalytic reaction’s energy profiles for catalytic CO oxidation over Co-3-gra molecular prototype with the LH mechanism. (a) Initial step of Equation (1) transitions from IS to MS via TS1. (b) Second step of Equation (1) moves from MS to FS via TS2. (c) Revised energy profile including temperature corrections. Vdw correction is adopted for related calculations.
Inorganics 13 00312 g0a6
Figure A7. (a) Catalytic reaction’s energy profiles for Equation (2) advance from IS to FS through TS. (b) Revised energy profile including temperature corrections. Vdw correction is adopted for related calculations.
Figure A7. (a) Catalytic reaction’s energy profiles for Equation (2) advance from IS to FS through TS. (b) Revised energy profile including temperature corrections. Vdw correction is adopted for related calculations.
Inorganics 13 00312 g0a7

Appendix B. Sensing

Appendix B.1. Charge Transfer Mechanism

The selectivity can be rigorously quantified by the adsorption strength and the amount of charge transfer, as summarized in the above figure. NO2 exhibits the strongest adsorption (−0.128 eV), confirming it as the most sensitive analyte. This is followed by NO, SO2, and CO2, which correlates perfectly with the conductance shift trends in Figure 5. This quantitative analysis removes any ambiguity in the selectivity ordering. Furthermore, it directly links the sensing mechanism to the catalytic process: the strong charge transfer to NO2 mirrors its role as an oxidant in catalytic cycles, unifying the functionality of the Co-N3 site across different applications.
Figure A8. Charge density difference, absorption energy, and Bader charge for air pollutant sensing.
Figure A8. Charge density difference, absorption energy, and Bader charge for air pollutant sensing.
Inorganics 13 00312 g0a8

Appendix B.2. Detection of Hydrocarbon Radicals

This section illustrates the detection of more complex molecules containing hydrocarbon radicals such as methanol, ethanol, and butanol. Figure A9a illustrates the binding models of butanol, ethanol, and methanol molecules with the Co-N3-gra molecular prototype. Figure A9b–d display the effect of gate voltage on charge state at fixed source-drain bias of −15 V, impact of source-drain voltage on charge state at fixed gate bias of 0 V, and influence of source-drain voltage on conductivity at fixed gate bias of 0 V, respectively. Due to the different interactions between the molecules and the SET, it is possible to evaluate their sensitivity to the adsorption of studied molecules.
Figure A9. (a) Molecules of methanol, ethanol, and butanol adsorb onto the Co-N3-gra molecular prototype. (b) Impact of gate voltage on charge state at fixed source-drain bias of −15 V. (c) Effect of source-drain voltage on charge state at fixed gate bias of 0 V. (d) Influence of source-drain voltage on conductivity at fixed gate bias of 0 V.
Figure A9. (a) Molecules of methanol, ethanol, and butanol adsorb onto the Co-N3-gra molecular prototype. (b) Impact of gate voltage on charge state at fixed source-drain bias of −15 V. (c) Effect of source-drain voltage on charge state at fixed gate bias of 0 V. (d) Influence of source-drain voltage on conductivity at fixed gate bias of 0 V.
Inorganics 13 00312 g0a9

References

  1. Yang, X.-F.; Wang, A.; Qiao, B.; Li, J.; Liu, J.; Zhang, T. Single-atom catalysts: A new frontier in heterogeneous catalysis. Accounts Chem. Res. 2013, 46, 1740–1748. [Google Scholar] [CrossRef] [PubMed]
  2. Gambardella, P.; Rusponi, S.; Veronese, M.; Dhesi, S.S.; Grazioli, C.; Dallmeyer, A.; Cabria, I.; Zeller, R.; Dederichs, P.H.; Kern, K.; et al. Giant magnetic anisotropy of single cobalt atoms and nanoparticles. Science 2003, 300, 1130–1133. [Google Scholar] [CrossRef] [PubMed]
  3. Ipadeola, A.K.; Chitt, M.; Abdelgawad, A.; Eid, K.; Abdullah, A.M. Graphene-based catalysts for carbon monoxide oxidation: Experimental and theoretical insights. Int. J. Hydrogen Energy 2023, 48, 17434–17467. [Google Scholar] [CrossRef]
  4. Park, J.; Pasupathy, A.N.; Goldsmith, J.I. Coulomb blockade and the Kondo effect in single-atom transistors. Nature 2002, 417, 722–725. [Google Scholar] [CrossRef]
  5. Rani, S.; Ray, S.J. Detection of gas molecule using C3N island single electron transistor. Carbon 2019, 144, 235–240. [Google Scholar] [CrossRef]
  6. Shabeeb, M.; Maity, S. Computational investigation on adsorption and activation of atmospheric pollutants co, no and so on small cobalt clusters. Chem. Phys. 2024, 582, 112291. [Google Scholar] [CrossRef]
  7. Wang, F.; Li, J.; Zhao, J.; Yang, Y.; Su, C.; Zhong, Y.L.; Yang, Q.H.; Lu, J. Single-atom electrocatalysts for lithium sulfur batteries: Progress, opportunities, and challenges. ACS Mater. Lett. 2020, 2, 1450–1463. [Google Scholar] [CrossRef]
  8. Ozols, K.; Jang, Y.S.; Cramer, N. Chiral cyclopentadienyl cobalt(iii) complexes enable highly enantioselective 3d-metal-catalyzed c-h functionalizations. J. Am. Chem. Soc. 2019, 141, 5675–5680. [Google Scholar] [CrossRef]
  9. Cao, L.; Luo, Q.; Liu, W.; Lin, Y.; Liu, X.; Cao, Y.; Zhang, W.; Wu, Y.; Yang, J.; Yao, T.; et al. Identification of single-atom active sites in carbon-based cobalt catalysts during electrocatalytic hydrogen evolution. Nat. Catal. 2019, 2, 134–141. [Google Scholar] [CrossRef]
  10. Hood, D.M.; Johnson, R.A.; Carpenter, A.E.; Younker, J.M.; Vinyard, D.J.; Stanley, G.G. Highly active cationic cobalt(ii) hydroformylation catalysts. Science 2020, 367, 542–548. [Google Scholar] [CrossRef]
  11. MacNeil, C.S.; Mendelsohn, L.N.; Pabst, T.P.; Hierlmeier, G.; Chirik, P.J. Alcohol synthesis by cobalt-catalyzed visible-light-driven reductive hydroformylation. J. Am. Chem. Soc. 2022, 144, 19219–19224. [Google Scholar] [CrossRef]
  12. Delolo, F.G.; Yang, J.; Neumann, H.; Dos Santos, E.N.; Gusevskaya, E.V.; Beller, M. Cobalt-catalyzed hydroformylation under mild conditions in the presence of phosphine oxides. ACS Sustain. Chem. Eng. 2021, 9, 5148–5154. [Google Scholar] [CrossRef]
  13. Hebrard, F.; Kalck, P. Cobalt-catalyzed hydroformylation of alkenes: Generation and recycling of the carbonyl species, and catalytic cycle. Chem. Rev. 2009, 109, 4272–4282. [Google Scholar] [CrossRef] [PubMed]
  14. Zhang, B.; Kubis, C.; Franke, R. Hydroformylation catalyzed by unmodified cobalt carbonyl under mild conditions. Science 2022, 377, 1223–1227. [Google Scholar] [CrossRef] [PubMed]
  15. Gao, K.; Yoshikai, N. Low-valent cobalt catalysis: New opportunities for c-h functionalization. Accounts Chem. Res. 2014, 47, 1208–1219. [Google Scholar] [CrossRef]
  16. Nakanowatari, S.; Mei, R.; Feldt, M.; Ackermann, L. Cobalt(iii)-catalyzed hydroarylation of allenes via c-h activation. ACS Catal. 2017, 7, 2511–2515. [Google Scholar] [CrossRef]
  17. Oliveira, J.C.; Dhawa, U.; Ackermann, L. Insights into the mechanism of low-valent cobalt-catalyzed c-h activation. ACS Catal. 2021, 11, 1505–1515. [Google Scholar] [CrossRef]
  18. Li, T.; Shen, C.; Sun, Y.; Zhang, J.; Xiang, P.; Lu, X.; Zhong, G. Cobalt-catalyzed olefinic c-h alkenylation/alkylation switched by carbonyl groups. Org. Lett. 2019, 21, 7772–7777. [Google Scholar] [CrossRef]
  19. Zhang, X.; Lu, Z.; Yang, Z. Single non-noble-metal cobalt atom stabilized by pyridinic vacancy graphene: An efficient catalyst for co oxidation. J. Mol. Catal. A Chem. 2016, 417, 28–35. [Google Scholar] [CrossRef]
  20. Hu, W.; Wang, C.; Tan, H.; Duan, H.; Li, G.; Li, N.; Ji, Q.; Lu, Y.; Wang, Y.; Sun, Z.; et al. Embedding atomic cobalt into graphene lattices to activate room-temperature ferromagnetism. Nat. Commun. 2021, 12, 1854. [Google Scholar] [CrossRef]
  21. Gallagher, C.; Siddiqui, W.; Arnold, T.; Cheng, C.; Su, E.; Zhao, Q. Benchmarking a Molecular Flake Model on the Road to Programmable Graphene-Based Single-Atom Catalysts. J. Phys. Chem. C 2024, 128, 2876–2883. [Google Scholar] [CrossRef]
  22. Graf, H.; Vancea, J.; Hoffmann, H. Single-electron tunneling at room temperature in cobalt nanoparticles. Appl. Phys. Lett. 2002, 80, 1264–1266. [Google Scholar] [CrossRef]
  23. Li, Z.; Wang, Z.; Xi, S.; Zhao, X.; Sun, T.; Li, J.; Yu, W.; Xu, H.; Herng, T.S.; Hai, X.; et al. Tuning the spin density of cobalt single-atom catalysts for efficient oxygen evolution. ACS Nano 2021, 15, 7105–7113. [Google Scholar] [CrossRef]
  24. Wu, D.; Tan, Z.; Feng, X.; Anderson, W.A.; Li, Q. Regeneration of cobalt complexes by thermal decomposition and acid treatment for no absorption. Chem. Eng. J. 2017, 315, 233–242. [Google Scholar] [CrossRef]
  25. Shen, Y.; Deng, J.; Impeng, S.; Li, S.; Yan, T.; Zhang, J.; Shi, L.; Zhang, D. Boosting toluene combustion by engineering co-o strength in cobalt oxide catalysts. Environ. Sci. Technol. 2020, 54, 10342–10350. [Google Scholar] [CrossRef] [PubMed]
  26. Bessell, S. Support effects in cobalt-based fischer-tropsch catalysis. Appl. Catal. A Gen. 1993, 96, 253–268. [Google Scholar] [CrossRef]
  27. Bruce, P.G.; Freunberger, S.A.; Hardwick, L.J.; Tarascon, J.M. Li–O2 and Li–S batteries with high energy storage. Nat. Mater. 2012, 11, 19–29. [Google Scholar] [CrossRef]
  28. Manthiram, A.; Fu, Y.; Su, Y.S. Challenges and prospects of lithium-sulfur batteries. Accounts Chem. Res. 2013, 46, 1125–1134. [Google Scholar] [CrossRef]
  29. Yin, H.; He, J.; Xiao, B.; Zhou, M.; Wang, W.; Joao, C.; Chen, Z.; Hou, Z.; Zhang, T.; Yu, Z. Advances and prospects of g-C3N4 in lithium-sulfur batteries. Nano Res. Energy 2024, 3, e9120138. [Google Scholar] [CrossRef]
  30. Feng, S.; Zhong, H.; Song, J.; Zhu, C.; Dong, P.; Shi, Q.; Liu, D.; Li, J.; Chang, Y.C.; Beckman, S.P.; et al. Catalytic activity of co-x (x = s, p, o) and its dependency on nanostructure/chemical composition in lithium-sulfur batteries. ACS Appl. Energy Mater. 2018, 1, 7014–7021. [Google Scholar] [CrossRef]
  31. Gu, Z.; Cheng, C.; Yan, T.; Liu, G.; Jiang, J.; Mao, J.; Dai, K.; Li, J.; Wu, J.; Zhang, L. Synergistic effect of Co3Fe7 alloy and n-doped hollow carbon spheres with high activity and stability for high-performance lithium-sulfur batteries. Nano Energy 2021, 86, 106111. [Google Scholar] [CrossRef]
  32. Huang, T.; Sun, Y.; Wu, J.; Jin, J.; Wei, C.; Shi, Z.; Wang, M.; Cai, J.; An, X.T.; Wang, P.; et al. A dual-functional fibrous skeleton implanted with single-atomic co-nxdispersions for longevous li-s full batteries. ACS Nano 2021, 15, 14105–14115. [Google Scholar] [CrossRef]
  33. Sun, X.; Qiu, Y.; Jiang, B.; Chen, Z.; Zhao, C.; Zhou, H.; Yang, L.; Fan, L.; Zhang, Y.; Zhang, N. Isolated fe-co heteronuclear diatomic sites as efficient bifunctional catalysts for high-performance lithium-sulfur batteries. Nat. Commun. 2023, 14, 291. [Google Scholar] [CrossRef]
  34. Yang, C.; Li, Y.; Peng, W.; Zhang, F.; Fan, X. In situ n-doped CoS2 anchored on mxene toward an efficient bifunctional catalyst for enhanced lithium-sulfur batteries. Chem. Eng. J. 2022, 427, 131792. [Google Scholar] [CrossRef]
  35. Li, Y.; Wu, J.; Zhang, B.; Wang, W.; Zhang, G.; Seh, Z.W.; Zhang, N.; Sun, J.; Huang, L.; Jiang, J.; et al. Fast conversion and controlled deposition of lithium (poly)sulfides in lithium-sulfur batteries using high-loading cobalt single atoms. Energy Storage Mater. 2020, 30, 250–259. [Google Scholar] [CrossRef]
  36. Wang, Y.; Chu, F.; Zeng, J.; Wang, Q.; Naren, T.; Li, Y.; Cheng, Y.; Lei, Y.; Wu, F. Single atom catalysts for fuel cells and rechargeable batteries: Principles, advances, and opportunities. ACS Nano 2021, 15, 210–239. [Google Scholar] [CrossRef]
  37. Liu, X.; Sui, Y.; Duan, T.; Meng, C.; Han, Y. Monodisperse pt atoms anchored on n-doped graphene as efficient catalysts for co oxidation: A first-principles investigation. Catal. Sci. Technol. 2015, 5, 1658–1667. [Google Scholar] [CrossRef]
  38. Li, Y.; Zhou, Z.; Yu, G.; Chen, W.; Chen, Z. Co catalytic oxidation on iron-embedded graphene: Computational quest for low-cost nanocatalysts. J. Phys. Chem. C 2010, 114, 6250–6254. [Google Scholar] [CrossRef]
  39. Therrien, A.J.; Hensley, A.J.R.; Marcinkowski, M.D.; Zhang, R.; Lucci, F.R.; Coughlin, B.; Schilling, A.C.; McEwen, J.S.; Sykes, E.C.H. An atomic-scale view of single-site Pt catalysis for low-temperature CO oxidation. Nat. Catal. 2018, 1, 192–198. [Google Scholar] [CrossRef]
  40. Tang, Y.; Chen, W.; Zhou, J.; Chai, H.; Li, Y.; Cui, Y.; Feng, Z.; Dai, X. Mechanistic insight into the selective catalytic oxidation for no and co on co-doping graphene sheet: A theoretical study. Fuel 2019, 253, 1531–1544. [Google Scholar] [CrossRef]
  41. Stokbro, K. First-principles modeling of molecular single-electron transistors. J. Phys. Chem. C 2010, 114, 20461–20465. [Google Scholar] [CrossRef]
  42. Khademhosseini, V.; Dideban, D.; Ahmadi, M.T.; Ismail, R.; Heidari, H. Impact of hydrogen adsorption on the performance of a single electron transistor utilizing fullerene quantum dots. ECS J. Solid State Sci. Technol. 2018, 7, M191–M194. [Google Scholar] [CrossRef]
  43. Pronin, I.A.; Plugin, I.A.; Kolosov, D.A.; Karmanov, A.A.; Yakushova, N.D.; Varezhnikov, A.S.; Komolov, A.S.; Lazneva, E.F.; Koroleva, A.V.; Moshnikov, V.A.; et al. Sol-gel derived zno film as a gas sensor: Influence of uv processing versus a thermal annealing. Sens. Actuators A Phys. 2024, 377, 115707. [Google Scholar] [CrossRef]
  44. Zhao, Q.; Liu, Z.; Xu, Z.; Li, B.; Yang, S. rGO/In2O3 heterostructures based gas sensor for efficient ppb-level n-butanol detection. J. Alloys Compd. 2024, 986, 174154. [Google Scholar] [CrossRef]
  45. Pardeshi, N.M.; Ghuge, R.S.; Birla, P.N.; Chauhan, R.; Bhalekar, S.P.; Shinde, M.D.; Sivalingam, Y.; Kale, R.D.; Rane, S.B. Reduced graphene oxide@bimodal TiO2 nanocomposites as an efficacious console for room temperature n-butanol gas sensing. ACS Appl. Electron. Mater. 2024, 6, 4805–4818. [Google Scholar] [CrossRef]
  46. Song, M.K.; Cairns, E.J.; Zhang, Y. Lithium/sulfur batteries with high specific energy: Old challenges and new opportunities. Nanoscale 2013, 5, 2186–2204. [Google Scholar] [CrossRef]
  47. Nørskov, J.K.; Rossmeisl, J.; Logadottir, A.; Lindqvist, L.; Kitchin, J.R.; Bligaard, T.; Jónsson, H. Origin of the overpotential for oxygen reduction at a fuel-cell cathode. J. Phys. Chem. B 2004, 108, 17886–17892. [Google Scholar] [CrossRef] [PubMed]
  48. Shen, C.; Xie, J.; Zhang, M.; Andrei, P.; Zheng, J.P.; Hendrickson, M.; Plichta, E.J. A li-li2s4 battery with improved discharge capacity and cycle life at low electrolyte/sulfur ratios. J. Power Sources 2019, 414, 412–419. [Google Scholar] [CrossRef]
  49. Zhang, H.; Xin, S.; Li, J.; Cui, H.; Liu, Y.; Yang, Y.; Wang, M. Synergistic regulation of polysulfides immobilization and conversion by MOF-derived CoP-HNC nanocages for high-performance lithium-sulfur batteries. Nano Energy 2021, 85, 106011. [Google Scholar] [CrossRef]
  50. Molavi, R.; Safaiee, R.; Sheikhi, M.H. Oxygen adsorption properties of small cobalt oxide clusters: Application feasibility as oxygen gas sensors. Phys. Chem. Chem. Phys. 2020, 22, 14889–14899. [Google Scholar] [CrossRef] [PubMed]
  51. Molavi, R.; Safaiee, R.; Sheikhi, M.H.; Hassani, N. Theoretical perspective on co oxidation over small cobalt oxide clusters. Chem. Phys. Lett. 2021, 767, 138361. [Google Scholar] [CrossRef]
  52. Huang, Z.; Qu, J.; Peng, X.; Liu, W.; Zhang, K.; Wei, X.; Zhong, J. Quantum confinement in graphene quantum dots. Phys. Status Solidi Rapid Res. Lett. 2014, 8, 436–440. [Google Scholar] [CrossRef]
  53. Zayed, A.O.H.; Daud, M.N.; Zain, S.M. Global structural optimization and growth mechanism of cobalt oxide nanoclusters by genetic algorithm with spin-polarized dft. J. Alloys Compd. 2017, 695, 2513–2518. [Google Scholar] [CrossRef]
  54. Xie, Y.; Dong, F.; Heinbuch, S.; Rocca, J.J.; Bernstein, E.R. Oxidation reactions on neutral cobalt oxide clusters: Experimental and theoretical studies. Phys. Chem. Chem. Phys. 2010, 12, 947–959. [Google Scholar] [CrossRef]
  55. Johnson, G.E.; Reveles, J.U.; Reilly, N.M.; Tyo, E.C.; Khanna, S.N.; Castleman, A.W. Influence of stoichiometry and charge state on the structure and reactivity of cobalt oxide clusters with co. J. Phys. Chem. A 2008, 112, 11330–11340. [Google Scholar] [CrossRef]
  56. Li, M.R.; Chen, J.; Wang, G.C. Reaction mechanism of ethanol on model cobalt catalysts: Dft calculations. J. Phys. Chem. C 2016, 120, 14198–14208. [Google Scholar] [CrossRef]
Figure 1. Catalytic reaction’s energy profiles for CO oxidation over Co-3-gra molecular prototype with the ER mechanism. (a) Initial step of Equation (1) transitions from IS to MS via TS1. (b) Second step of Equation (1) moves from MS to FS via TS2. (c) Revised energy profile including temperature corrections. Red, gray, deep blue, light blue, and white color balls in the figures represent oxygen, carbon, nitrogen, cobalt, and hydrogen atoms, respectively.
Figure 1. Catalytic reaction’s energy profiles for CO oxidation over Co-3-gra molecular prototype with the ER mechanism. (a) Initial step of Equation (1) transitions from IS to MS via TS1. (b) Second step of Equation (1) moves from MS to FS via TS2. (c) Revised energy profile including temperature corrections. Red, gray, deep blue, light blue, and white color balls in the figures represent oxygen, carbon, nitrogen, cobalt, and hydrogen atoms, respectively.
Inorganics 13 00312 g001
Figure 2. Catalytic reaction’s energy profiles for catalytic CO oxidation over Co-3-gra molecular prototype with the LH mechanism. (a) Initial step of Equation (1) transitions from IS to MS via TS1. (b) Second step of Equation (1) moves from MS to FS via TS2. (c) Revised energy profile including temperature corrections.
Figure 2. Catalytic reaction’s energy profiles for catalytic CO oxidation over Co-3-gra molecular prototype with the LH mechanism. (a) Initial step of Equation (1) transitions from IS to MS via TS1. (b) Second step of Equation (1) moves from MS to FS via TS2. (c) Revised energy profile including temperature corrections.
Inorganics 13 00312 g002
Figure 3. (a) Catalytic reaction’s energy profiles for Equation (2) advances from IS to FS through TS. (b) Revised energy profile including temperature corrections.
Figure 3. (a) Catalytic reaction’s energy profiles for Equation (2) advances from IS to FS through TS. (b) Revised energy profile including temperature corrections.
Inorganics 13 00312 g003
Figure 4. (a) The scheme of SET configuration with an island of a Co-N3-gra molecular prototype, (b) the energy distribution across different charge states, (c) the influence of gate voltage on energy, and (d) voltage-dependent charge stability diagram for the Co-N3-gra molecular prototype; the color scheme of dark blue, blue, green, orange, and red indicates the number of charge states of 0, 1, 2, 3, and 4, respectively. (e,f) Responses of charge states to gate voltage at fixed source-drain bias of 2.5 V, and its counterpart with fixed gate bias of −3.8 V, respectively, and (g) conductance under varying source-drain biases with fixed gate voltage of 0 V.
Figure 4. (a) The scheme of SET configuration with an island of a Co-N3-gra molecular prototype, (b) the energy distribution across different charge states, (c) the influence of gate voltage on energy, and (d) voltage-dependent charge stability diagram for the Co-N3-gra molecular prototype; the color scheme of dark blue, blue, green, orange, and red indicates the number of charge states of 0, 1, 2, 3, and 4, respectively. (e,f) Responses of charge states to gate voltage at fixed source-drain bias of 2.5 V, and its counterpart with fixed gate bias of −3.8 V, respectively, and (g) conductance under varying source-drain biases with fixed gate voltage of 0 V.
Inorganics 13 00312 g004
Figure 5. (a) Molecules of NO, NO2, SO2, and CO2 adsorb onto the Co-N3-gra molecular prototype. (b) Impact of gate voltage on charge state at fixed source-drain bias of −15 V. (c) Effect of source-drain voltage on charge state at fixed gate bias of 0 V. (d) Influence of source-drain voltage on conductivity at fixed gate bias of 0 V.
Figure 5. (a) Molecules of NO, NO2, SO2, and CO2 adsorb onto the Co-N3-gra molecular prototype. (b) Impact of gate voltage on charge state at fixed source-drain bias of −15 V. (c) Effect of source-drain voltage on charge state at fixed gate bias of 0 V. (d) Influence of source-drain voltage on conductivity at fixed gate bias of 0 V.
Inorganics 13 00312 g005
Figure 6. Side and top views of optimized geometrical configurations of sulfur species on Co-N3-gra surfaces. Brown, blue, green, and yellow color balls represent carbon, cobalt, lithium, and sulfur atoms, respectively.
Figure 6. Side and top views of optimized geometrical configurations of sulfur species on Co-N3-gra surfaces. Brown, blue, green, and yellow color balls represent carbon, cobalt, lithium, and sulfur atoms, respectively.
Inorganics 13 00312 g006
Figure 7. The Gibbs free-energy profile for Equations (5)–(9) from 0 to 500 K. The dotted vertical line marks the temperature of 293 K.
Figure 7. The Gibbs free-energy profile for Equations (5)–(9) from 0 to 500 K. The dotted vertical line marks the temperature of 293 K.
Inorganics 13 00312 g007
Figure 8. The Gibbs free-energy profile of LiPS species on the surface of Co-CN3-gra in the LiPS reduction process at the temperature of 293K.
Figure 8. The Gibbs free-energy profile of LiPS species on the surface of Co-CN3-gra in the LiPS reduction process at the temperature of 293K.
Inorganics 13 00312 g008
Disclaimer/Publisher’s Note: The statements, opinions and data contained in all publications are solely those of the individual author(s) and contributor(s) and not of MDPI and/or the editor(s). MDPI and/or the editor(s) disclaim responsibility for any injury to people or property resulting from any ideas, methods, instructions or products referred to in the content.

Share and Cite

MDPI and ACS Style

Huang, Z.; Zhang, Y.; Li, C.; Deng, L.; Song, B.; Bo, M.; Yao, C.; Lu, H.; Long, G. Single-Atom Cobalt-Doped 2D Graphene: Electronic Design for Multifunctional Applications in Environmental Remediation and Energy Storage. Inorganics 2025, 13, 312. https://doi.org/10.3390/inorganics13100312

AMA Style

Huang Z, Zhang Y, Li C, Deng L, Song B, Bo M, Yao C, Lu H, Long G. Single-Atom Cobalt-Doped 2D Graphene: Electronic Design for Multifunctional Applications in Environmental Remediation and Energy Storage. Inorganics. 2025; 13(10):312. https://doi.org/10.3390/inorganics13100312

Chicago/Turabian Style

Huang, Zhongkai, Yue Zhang, Chunjiang Li, Liang Deng, Bo Song, Maolin Bo, Chuang Yao, Haolin Lu, and Guankui Long. 2025. "Single-Atom Cobalt-Doped 2D Graphene: Electronic Design for Multifunctional Applications in Environmental Remediation and Energy Storage" Inorganics 13, no. 10: 312. https://doi.org/10.3390/inorganics13100312

APA Style

Huang, Z., Zhang, Y., Li, C., Deng, L., Song, B., Bo, M., Yao, C., Lu, H., & Long, G. (2025). Single-Atom Cobalt-Doped 2D Graphene: Electronic Design for Multifunctional Applications in Environmental Remediation and Energy Storage. Inorganics, 13(10), 312. https://doi.org/10.3390/inorganics13100312

Note that from the first issue of 2016, this journal uses article numbers instead of page numbers. See further details here.

Article Metrics

Back to TopTop