Next Article in Journal
Synthesis of Sulfonic Acid-Functionalized g-C3N4/BiOI Bifunctional Heterojunction for Enhanced Photocatalytic Removal of Tartrazine and PEC Oxygen Evolution Reaction
Next Article in Special Issue
Structural and Biological Comparative Studies on M(II)-Complexes (M = Co, Mn, Cu, Ni, Zn) of Hydrazone-s-Triazine Ligand Bearing Pyridyl Arm
Previous Article in Journal
An Investigation of the Interface between Transition Metal Oxides (MnOx, FeOx, CoOx and NiOx)/MoO3 Composite Electrocatalysts for Oxygen Evolution Reactions
Previous Article in Special Issue
Evaluation of DNA and BSA-Binding, Nuclease Activity, and Anticancer Properties of New Cu(II) and Ni(II) Complexes with Quinoline-Derived Sulfonamides
 
 
Font Type:
Arial Georgia Verdana
Font Size:
Aa Aa Aa
Line Spacing:
Column Width:
Background:
Article

Synthesis, Copper(II) Binding, and Antifungal Activity of Tertiary N-Alkylamine Azole Derivatives

Instituto de Tecnologia Química e Biológica António Xavier, Universidade Nova de Lisboa, Av. República, 2780-157 Oeiras, Portugal
*
Authors to whom correspondence should be addressed.
Inorganics 2024, 12(9), 242; https://doi.org/10.3390/inorganics12090242
Submission received: 13 August 2024 / Revised: 30 August 2024 / Accepted: 3 September 2024 / Published: 5 September 2024
(This article belongs to the Special Issue Metal-Based Compounds: Relevance for the Biomedical Field)

Abstract

The rise in antifungal resistance among medically important fungi causing severe infectious diseases has underscored the urgent need for developing more effective antifungal agents. Growing evidence suggests that compounds combining functional antifungal groups with metals are promising candidates and may well be the key to addressing this global challenge. In this work, a range of new azole-containing tertiary amine compounds were prepared from three N-alkylamine azole skeletons appended with a 2,4-dihalogenobenzene function and one of the five different metal-binding motifs pyridine, quinoline, 8-hydroxyquinoline, 2-methoxyphenol, and 4-bromophenol. The copper(II) binding of these azole compounds was studied by spectrophotometric titrations in buffered aqueous medium to determine the metal binding equilibria and to comparatively characterize the copper(II)-binding ability of the compounds. The activity of all compounds against the opportunistic fungal pathogen Candida glabrata was also evaluated, allowing us to draw important conclusions about structure–activity relationships that will guide the future design of more effective metal-binding antifungal compounds.

Graphical Abstract

1. Introduction

Invasive fungal infections (IFI), where fungi reach the bloodstream and major internal organs, are a concerning problem worldwide due to the resistance many pathogenic fungi have developed to all currently available therapeutic options [1,2]. This partly explains why IFI are typically associated with high mortality and morbidity rates, imposing unacceptable burdens on individuals and healthcare systems [3]. The persistently sluggish and clearly insufficient antifungal drug development pipeline has set a catastrophic tone for the future, making the development of novel antifungal candidates an urgent priority, as recently recognized by the WHO [4].
Azole compounds are the most widely used antifungal drugs due to their low cost, broad spectrum of activity, and favorable safety profile [5,6]. They act by blocking the biosynthesis of ergosterol, an essential component of fungal cell membranes, through the inhibition of the lanosterol 14α-demethylase enzyme, which catalyzes a key step in the ergosterol pathway [2]. However, the intensive use of azole drugs, both for medical and agricultural purposes, has promoted the emergence of numerous fungi resistant to this class of antifungals, thereby severely limiting the efficacy of a cost-effective treatment option for IFI [1].
Mounting evidence suggesting that antifungal azoles synergize with copper(II) has heightened interest in copper(II)-binding azole compounds [7,8]. In Candida glabrata, a frequent causative agent of nosocomial IFI, we have recently shown that copper potentiates the activity of fluconazole, the most commonly prescribed antifungal [9]. This synergy is driven by a combination of azole efflux inhibition, the alteration of sterol metabolism, and the disruption of zinc homeostasis. We have previously developed a metal-binding azole compound, based on 8-hydroxyquinoline, capable of displaying antifungal activity against Candida glabrata through different mechanisms, including intracellular ROS induction by copper and decreased iron bioavailability [10].
In this work, we aimed at exploring the effect of different metal-binding chemical functions when combining azole compounds with copper(II). In view of that, we have developed fifteen new azole chelators based on alkylamine-substituted azole skeletons derivatized with different metal-binding functions. In addition, we have assessed the effect of the azole group, imidazole or 1,2,4-triazole, and the length of the alkyl chain connecting the azole to the primary amine. The copper(II) binding of all the compounds was studied in aqueous solution by UV spectrophotometric titrations to determine the corresponding complexation equilibria, and their antifungal potential against Candida glabrata was evaluated.

2. Results and Discussion

2.1. Design and Synthesis of Copper(II) Binding Azoles

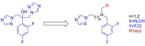
A fragment-based de novo design approach based on the structure of the model drug fluconazole and its numerous derivatives was used to develop new azole compounds. In the compound design, we have combined the main pharmacophore fragments of the azole class of drugs, namely the azole and the 2,4-dihalogenobenzene functions, both anchored on a central aliphatic amine. This amine was further derivatized with different aryl metal-binding functions to achieve a moderate copper(II) binding from the target compounds, such that the complexes formed are robust enough to survive on culture media and enter fungal cells but may release the metal once inside (Scheme 1).
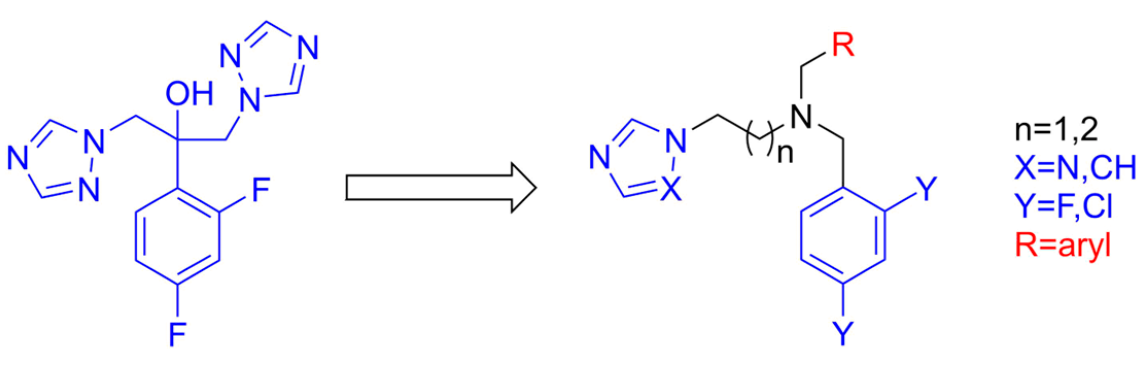
The synthetic pathway employed was similar for all the target compounds. It started by obtaining azoles N-substituted with a primary alkylamine to form the skeletons on which the remaining functions could be appended. The desired skeletons differed in the azole group, an imidazole or a 1,2,4-triazole, and in the length of the alkyl chain connecting the azole to the primary amine, an ethylene, or a propylene chain.
The N-alkylamine triazole skeletons were obtained in three steps by a Gabriel synthesis followed by nucleophilic substitution of 1,2,4-triazole and alkylamine deprotection (Scheme 2). The synthesis of compounds 1 and 2 was adapted from the literature [11]. The synthesized skeletons 5 and 6 were obtained in moderate yields, and their isolation required only simple purification methods.
The target azole compounds were then developed from the three selected N-alkylamine azole skeletons by stepwise reductive aminations with a range of aldehydes containing the desired chemical functions (Scheme 3). The 1-(3-aminopropyl)imidazole skeleton (7) was commercially available, so it was not synthesized. The synthesis proceeded in three steps using consecutive indirect and direct reductive aminations to append the two remaining functional groups selected for each particular target compound. All target compounds were obtained in low to moderate yields from the selected skeletons, and their purification required column chromatography after the last step. In general, the direct reductive amination reactions proved to be rather incomplete, so it was necessary to isolate the target compounds from the unconsumed reagents remaining in the reaction mixtures.
From each N-alkylamine azole skeleton (5–7), a family of between four to six target compounds were developed differing on the varying aryl metal-binding functions appended on the central tertiary amine and, in one case, also on the 2,4-dihalogenobenzene function. The metal-binding functions selected were the monodentate pyridine, quinoline, 2-methoxyphenol, and 4-bromophenol, and the bidentate 8-hydroxyquinoline. Each of these contains either an N-pyridyl donor atom, an O-hydroxyl donor atom, or both. The goal was that each target compound displayed two or three donor atoms suitable for copper(II) coordination, the central aliphatic amine necessarily providing one of these and the remaining one(s) located such that the target compounds may act as moderate copper(II) chelators. Overall, three closely related families of target compounds were obtained in an attempt to gain structure–activity relationship (SAR) insights, with each family built on a skeleton of 1-(3-aminopropyl)imidazole (12a–e and 13e), 1-(3-aminopropyl)-1,2,4-triazole (16a–e), or 1-(2-aminoethyl)-1,2,4-triazole (19a,c–e). The 1D and 2D NMR spectra (Figures S1–S30) and ESI-HRMS spectra (Figures S31–S45) of the target compounds are shown in the Supplementary Materials.

2.2. Copper(II)-Binding Studies

Since all synthesized target compounds are potential copper(II) chelators, we characterized their interaction with copper(II) in aqueous medium. To study the binding of the target compounds to copper(II), UV spectrophotometric titrations were performed in aqueous methanol (1:1) solutions buffered at pH = 7.0 with 10 mM of MOPS. The adoption of a solvent mixture as the medium was due to the limited solubility of most azoles in neat water, and methanol appeared as an appropriate co-solvent as it freely dissolved all azoles and is also commonly used in the literature for such mixed-solvent studies. Considering that these binding studies aimed to compare the different azoles rather than determine their full complexation properties across the pH range, we chose to carry them out at a fixed pH that was relevant for possible biological applications; thus pH = 7 was selected. In such conditions, the determined binding equilibrium constants are conditional, since the concentration of protons was kept constant during each titration by using a buffer substance. The choice of buffer was restricted to those that least interfere with the binding phenomenon, as many commonly used buffers, such as most Good’s buffers, are also able to bind metal cations including copper(II). A literature review pointed to MOPS (3-(N-morpholino)propanesulfonic acid) as the least interfering buffer among those suitable for the neutral pH region [12]. After running a few preliminary experiments, we found that MOPS was indeed suitable for determining the binding of the azole compounds to copper(II), so it was adopted as the buffer substance in all binding equilibrium studies and used at a fixed concentration that was at least 40× higher than that of any other reagent. It should be noted that MOPS was also used as the buffer in the subsequent biological studies.
The equilibrium constants determined for each target azole provided binding constants not only for the 1:1 metal-to-ligand stoichiometry (M:L) but also, in some cases, for the 1:2 and 2:1 stoichiometries. As during all titrations excesses of either copper(II) or azole were alternately present in a range of points, multiple stoichiometries may appear if such complexes were stable enough for their relative amounts in equilibrium to become relevant. Representative examples of these titrations are shown for compounds 12c, 16c and 19c in the Supplementary Materials (Figures S46–S48). A simple 1:1 binding stoichiometry was not found for all complexes, so it is not possible to compare directly all azole compounds for such 1:1 binding. To better compare the copper(II)-binding strength of all the compounds, we resorted to the calculation of the more general parameter pCu, which includes all the variable numbers and stoichiometries of species found for each azole. As pCu is equal to the negative logarithm of the concentration of free copper(II) in a solution, a higher pCu value points to a better ability to bind copper(II). The pCu was thus calculated for a 100 μM equimolar concentration of azole and copper(II), a concentration that is around the overall magnitude of the MIC50 values of the compounds (see below). The conditional binding constants and the pCu values obtained for each target compound are summarized in Table 1.
Given the different functional groups on the target compounds, the binding mode of each compound to copper(II) is likely to vary. One of the donor atoms in all the compounds should be the central tertiary amine, while the other donor atoms depend on the copper(II)-binding function present and possibly on the compound skeleton. The first family of compounds (12/13) contains an imidazole on the skeleton, for which intramolecular coordination to copper(II) is not structurally favored, but the second and third families contain a triazole on the skeleton that might be able to bind copper(II) through the N-2 nitrogen atom, even if only weakly. This hypothesis can be confirmed by examining the data for the compounds containing a pyridine function on each skeleton (12a, 16a, and 19a), which only form complexes of the simplest 1:1 stoichiometry. There is a binding strength increase visible on the log β(ML) constant values from 12a to 16a which can only be assigned to the presence of the triazole function, all other functions being equal, and a very similar effect is also seen by comparing compounds 12b and 16b. Also, there is an even higher binding strength increase from 16a to 19a that must be attributed to the shorter skeleton chain (ethylene instead of propylene). This can be rationalized by considering that the coordination of the triazole N-2 nitrogen atom would yield a six-membered chelate ring relative to the central amine on 19a, instead of a less stable seven-membered chelate ring on 16a. From these data, we can assume that the triazole is indeed involved in the coordination of copper(II), especially for compounds containing the 1-(2-aminoethyl)-1,2,4-triazole skeleton.
Another interesting perspective involves considering the different metal-binding functions appended on a similar skeleton. For example, comparing the compounds based on the 1-(3-aminopropyl)imidazole skeleton (12a–e and 13e), we can observe a much stronger copper(II) binding for compound 12c, which contains the 8-hydroxyquinoline function, resulting in both 1:1 and 1:2 (M:L) binding. This was expected given the bidentate nature of this function, capable of acting as a chelator by itself. In contrast, the compounds containing the 2-methoxyphenol or 4-bromophenol functions (12d,e and 13e) exhibit weaker binding compared with all other compounds and only yield 1:2 (M:L) binding species as a consequence. Similar features may be observed for the compounds based on the 1-(3-aminopropyl)-1,2,4-triazole (16a–e) or 1-(2-aminoethyl)-1,2,4-triazole (19a,c–e) skeletons as well. A small but meaningful difference in these cases is that the compounds containing the 8-hydroxyquinoline function (16c and 19c) also result in 2:1 (M:L) copper(II) binding, thus effectively yielding dinuclear complex species, something that must be related to the additional coordination ability of the triazole function discussed above. This translates into the strongest copper(II) binding for 16c and especially 19c between all compounds, even comparing to 12c.
A more general view on the copper(II)-binding strength of all the compounds is offered by the calculated pCu values (Table 1), and these were also plotted on a bar graph (Figure 1) for easier comparison. This plot is organized by structural family and color-coded according to the metal-binding function present in each target compound. At first, the pCu values indicate that the strongest copper(II) binding by far is achieved by the compounds containing the 8-hydroxyquinoline function, unsurprisingly due to the chelator nature of such function. Secondly, there is an evident trend of stronger copper(II) binding for the compounds based on the 1-(3-aminopropyl)-1,2,4-triazole and especially the 1-(2-aminoethyl)-1,2,4-triazole skeletons, as a consequence of the triazole binding discussed above. Thirdly, a stronger copper(II) binding is also noticeable for the compounds containing a monodentate N-pyridyl donor function (pyridine or quinoline) versus those containing a monodentate O-hydroxyl donor function (2-methoxyphenol or 4-bromophenol). Finally, replacing the 2,4-dichlorobenzyl moiety on compound 12e with a 2,4-difluorobenzyl one on compound 13e resulted in only a slightly higher copper(II) binding.

2.3. Biological Studies

We next determined the minimum inhibitory concentration (MIC) of each target compound, with or without added copper(II), against Candida glabrata (Table 2). The MIC of compound 19e could not be assessed because it was insoluble in the water/DMSO stock solution.
Without the addition of copper(II), compounds containing the 8-hydroxyquinoline function (12c, 16c, and 19c) stood out as the most promising, exhibiting MIC values well below that of fluconazole (−Cu(II), Table 2) or copper alone (200 μM). Interestingly, we found that Candida glabrata cells treated with these compounds did not have ergosterol levels as depleted as when treated with fluconazole (Figure 2A). These findings suggest that compounds 12c, 16c, and 19c operate through a mechanism other than the inhibition of the lanosterol 14α-demethylase enzyme Erg11. Given that 8-hydroxyquinoline, the metal-binding motif of 12c, 16c, and 19c, can also bind other metals with good affinity, we hypothesized that the addition of these compounds to the growth medium could be depriving yeast cells of essential metals. We therefore examined the intracellular levels of iron in Candida glabrata exposed to 1× MIC concentrations of these compounds using inductively coupled plasma atomic emission spectroscopy (ICP-AES) and found that iron levels were strongly depleted upon treatment with the compounds (Figure 2B). These results also suggest that once bound to iron, the compounds are not capable of entering the cells; otherwise, an increase in intracellular iron levels would be observed instead of a reduction. The metal chelation properties of these compounds may also explain their toxicity to mammalian cells (Figure 2C). Upon the addition of copper(II), we observed a pronounced increase in the MIC for compounds 12c, 16c, and 19c (+Cu(II), Table 2), possibly explained by the alleviation of iron depletion. Accordingly, we found that intracellular copper levels increased when this metal was added to the compounds (Figure 2D). The addition of copper(II) to compounds 12c, 16c, and 19c continued to render them highly toxic to mammalian cells, with toxicity levels higher than those of copper(II) alone (Figure 2E). These results suggest that copper(II) complexes should be formed in the medium used for cytotoxicity assays, which is not buffered with MOPS, but that they are not selective for fungal cells. The data also indicate that organic ligands and complexes operate through different mechanisms.
Interestingly, with the exception of compounds 16c and 19c, all other tested compounds from families 16 and 19 demonstrated enhanced antifungal activity upon the addition of copper(II), with many exhibiting activities far superior to that of fluconazole (Table 2). This was not observed for compounds of family 12/13 and aligns with the greater copper(II)-binding strength exhibited by compounds from families 16 and 19 compared with those from family 12/13 (Table 1). Possibly, all these compounds, by binding copper(II) with greater affinity, also transport it in larger amounts to the cells, which could result in increased antifungal activity.

3. Materials and Methods

3.1. General Synthesis Methods

Reagents were obtained from commercial sources and used as received. Organic solvents of analytical grade were dried by distillation using established procedures. All intermediate compounds were synthesized, except 1-(3-aminopropyl)imidazole (7) that was obtained commercially. All reactions were carried out under an inert nitrogen atmosphere and were followed by thin-layer chromatography (TLC) in silica MACHEREY-NAGEL ALUGRAM Xtra SIL G/UV254. The TLC spots were detected by UV light or by staining with iodine. NMR spectra of 1H, 13C, 19F, APT, and 2D NMR correlations (COSY and HMQC) were acquired on a Bruker Avance II+ 400 MHz spectrometer in CDCl3 solutions at 25 °C, at the CERMAX NMR facility. Chemical shifts (δ) are given in ppm relative to residual solvent peaks as reference. NMR assignments were based on 1H integration and multiplicity as well as 2D correlation spectra. ESI-HRMS spectra were obtained from samples dissolved in MeOH or H2O by the Mass Spectrometry Unit (UniMS) of ITQB/iBET (Oeiras, Portugal), using a Thermo Scientific Q Exactive™ Focus spectrometer in the positive mode.

3.2. Synthesis of Organic Compounds

  • N-(2-Bromoethyl)phthalimide (1)
1,2-dibromoethane (8.63 mL, 100 mmol) was dissolved in dry DMF (20 mL), and tetrabutylammonium bromide (TBAB, 0.342 g, 1 mmol) and potassium carbonate (7.005 g, 50 mmol) were added. Phthalimide (3.678 g, 25 mmol) was slowly added to the suspension, and the reaction was vigorously stirred and heated to 40 °C for 1 day. Water (150 mL) was added to the reaction, and the aqueous phase was extracted with ethyl acetate (4 × 15 mL). The combined organic layers were dried with anhydrous Na2SO4, filtered, evaporated, and dried under vacuum. The compound was obtained as a white solid in 92% yield (5.844 g).
1H NMR (CDCl3, 400 MHz, ppm): δH = 7.84–7.79 (m, 2H, CHphtalimide), 7.71–7.65 (m, 2H, CHphtalimide), 4.05 (t, 3JHH = 6.7 Hz, 2H, CH2 ethyl), 3.55 (t, 3JHH = 6.7 Hz, 2H, CH2 ethyl). 13C NMR (CDCl3, 100 MHz, ppm): δC = 134.22 (2C, CHphtalimide), 131.83 (2C, O=Cq phtalimide), 123.53 (2C, CHphtalimide), 99.98 (2C, Cq phtalimide), 39.30 (1C, CH2 ethyl), 28.14 (1C, CH2 ethyl).
  • N-(3-Bromopropyl)phthalimide (2)
Synthesized similarly to 1, starting from 1,3-dibromopropane (16 mL, 160 mmol) reacted with phthalimide (5.884 g, 40 mmol) in presence of TBAB (0.205 g, 0.6 mmol) and potassium carbonate (11.072 g, 80 mmol). The crude product was purified by silica column chromatography (CHCl3, Rf = 0.3) to give the compound as a white solid in 77% yield (8.257 g).
1H NMR (CDCl3, 400 MHz, ppm): δH = 7.91–7.84 (m, 2H, CHphtalimide), 7.78–7.71 (m, 2H, CHphtalimide), 3.86 (t, 3JHH = 6.8 Hz, 2H, CH2 propyl), 3.44 (t, 3JHH = 6.7 Hz, 2H, CH2 propyl), 2.28 (quint, 3JHH = 6.8 Hz, 2H, CH2–CH2–CH2 propyl). 13C NMR (CDCl3, 100 MHz, ppm): δC = 168.24 (2C, O=Cq phtalimide), 134.06 (2C, CHphtalimide), 132.00 (2C, Cq phtalimide), 123.33 (2C, CHphtalimide), 36.73 (1C, CH2 propyl), 31.64 (1C, CH2 propyl), 29.79 (1C, CH2CH2–CH2 propyl).
  • N-(2-(1,2,4-triazol-1-yl)ethyl)phthalimide (3)
To a solution of 1,2,4-triazole (1.381 g, 20 mmol) in dry acetonitrile (80 mL) was added sodium tert-butoxide (1.920 g, 20 mmol), and the mixture was stirred for 1 h. Then 1 (5.082 g, 20 mmol) was added to the milky white suspension, and the stirred mixture was heated to reflux over 2 days, during which time it became yellow with white solids. The solids were filtered out and the solution was evaporated to dryness. The residue was taken in H2O (100 mL) and extracted with CHCl3 (3 × 150 mL). The combined organic layers were dried with anhydrous Na2SO4, filtered, evaporated, and dried under vacuum. The product was purified by precipitation with ethanol (20 mL), filtered, and dried under vacuum. The compound was obtained as a white solid in 55% yield (2.641 g).
1H NMR (CDCl3, 400 MHz, ppm): δH = 8.51 (s, 1H, CHtriazole), 7.93 (s, 1H, CHtriazole), 7.79–7.74 (m, 2H, CHphtalimide), 7.69–7.65 (m, 2H, CHphtalimide), 4.53 (t, 3JHH = 5.9 Hz, 2H, CH2 ethyl), 4.12 (t, 3JHH = 5.9 Hz, 2H, CH2 ethyl). 13C NMR (CDCl3, 100 MHz, ppm): δC = 167.69 (2C, O=Cq phtalimide), 149.68 (1C, CHtriazole), 142.90 (1C, CHtriazole), 134.37 (2C, CHphtalimide), 131.61 (2C, Cq phtalimide), 123.64 (2C, CHphtalimide), 48.08 (1C, CH2 ethyl), 37.52 (1C, CH2 ethyl).
  • 2-(3-(1H-1,2,4-triazol-1-yl)propyl)phthalimide (4)
Synthetized similarly to 3, starting from 1,2,4-triazole (2.076 g, 30 mmol) reacted with sodium tert-butoxide (2.652 g, 30 mmol) and 2 (8.257 g, 31 mmol). The crude product was purified by silica column chromatography (CHCl3/MeOH, 98:2, Rf = 0.3) to give the compound as a yellow solid in 40% yield (3.075 g).
1H NMR (CDCl3, 400 MHz, ppm): δH = 8.17 (s, 1H, CHtriazole), 7.85 (s, 1H, CHtriazole), 7.80–7.77 (m, 2H, CHphtalimide), 7.69–7.66 (m, 2H, CHphtalimide), 4.16 (t, 3JHH = 6.7 Hz, 2H, CH2 propyl), 3.66 (t, 3JHH = 6.2 Hz, 2H, CH2 propyl), 2.24 (quint, 3JHH = 6.7 Hz, 2H, CH2–CH2–CH2 propyl). 13C NMR (CDCl3, 100 MHz, ppm): δC = 168.37 (2C, O=Cq phtalimide), 152.18 (1C, CHtriazole), 143.60 (1C, CHtriazole), 134.21 (2C, CHphthalimide), 131.87 (2C, Cq phthalimide), 123.40 (2C, CHphthalimide), 47.10 (1C, CH2 propyl), 34.89 (1C, CH2 propyl), 28.97 (1C, CH2CH2–CH2 propyl).
  • 1-(2-aminoethyl)-1,2,4-triazole (5)
To a solution of 3 (1.451 g, 6 mmol) in absolute ethanol (100 mL) and CHCl3 (20 mL) was added hydrazine monohydrate (2.91 mL, 60 mmol), and the colorless solution was stirred at room temperature for 17 h. After that the solution was heated to 50 °C for 1 day, during which time white solids were formed. To the hot mixture was added CHCl3 (30 mL) and the mixture was cooled. The mixture was filtered, and the solids washed with CHCl3. The combined solution was evaporated, then co-evaporated with EtOH (2 × 10 mL) to remove the excess hydrazine, and the residue was dried under vacuum. The compound was obtained as a yellow oil in 93% yield (623 mg).
1H NMR (CDCl3, 400 MHz, ppm): δH = 8.20 (s, 1H, CHtriazole), 7.87 (s, 1H, CHtriazole), 4.20 (t, 3JHH = 5.7 Hz, 2H, CH2 ethyl), 3.09 (t, 3JHH = 5.7 Hz, 2H, CH2 ethyl). 13C NMR (CDCl3, 100 MHz, ppm): δC = 152.21 (1C, CHtriazole), 143.56 (1C, CHtriazole), 52.71 (1C, CH2 ethyl), 41.43 (1C, CH2 ethyl).
  • 1-(3-aminopropyl)-1,2,4-triazole (6)
Synthetized similarly to 5, starting from 4 (2.800 g, 11 mmol) reacted with monohydrated hydrazine (5.3 mL, 110 mmol). The compound was obtained as a yellow oil in 91% yield (1.255 g).
1H NMR (CDCl3, 400 MHz, ppm): δH = 8.03 (s, 1H, CHtriazole), 7.87 (s, 1H, CHtriazole), 4.23 (t, 3JHH = 6.8 Hz, 2H, CH2 propyl), 2.64 (t, 3JHH = 6.7 Hz, 2H, CH2 propyl), 1.93 (quint, 3JHH = 6.7 Hz, 2H, CH2–CH2–CH2 propyl). 13C NMR (CDCl3, 100 MHz, ppm): δC = 151.85 (1C, CHtriazole), 143.05 (1C, CHtriazole), 46.90 (1C, CH2 propyl), 38.52 (1C, CH2 propyl), 32.96 (1C, CH2CH2–CH2 propyl).
  • N-(3-(1H-imidazol-1-yl)propyl)-1-(2,4-dichlorophenyl)methanimine (8)
To a solution of 7 (597 μL, 5 mmol) in dry toluene (50 mL) was added 2,4-dichlorobenzaldehyde (875 mg, 5 mmol). Some 4 Å molecular sieves and 5 drops of AcOH were added to the colorless solution, and the stirred mixture was heated to reflux over 1 day, during which time it turned yellow. The solids were filtered out, and the solution was evaporated and dried under vacuum. The compound was obtained as a yellow oil in 99% yield (1.408 g).
1H NMR (CDCl3, 400 MHz, ppm): δH = 8.53 (s, 1H, CHimine), 7.87 (d, 3JHH = 8.5 Hz, 1H, CHbenzene), 7.42 (s, 1H, CHimidazole), 7.29 (d, 4JHH = 2.0 Hz, 1H, CHbenzene), 7.18 (dd, 3JHH = 8.5, 1.7 Hz, 1H, CHbenzene), 6.98 (s, 1H, CHimidazole), 6.86 (s, 1H, CHimidazole), 3.99 (t, 3JHH = 6.9 Hz, 2H, CH2 propyl), 3.51 (t, 3JHH = 7.0 Hz, 2H, CH2 propyl), 2.08 (quint, 3JHH = 6.7 Hz, 2H, CH2–CH2–CH2 propyl). 13C NMR (CDCl3, 100 MHz, ppm): δC = 157.52 (1C, CHimine), 137.14 (1C, CHimidazole), 137.05 (1C, Cq benzene), 135.55 (1C, Cq benzene), 131.46 (1C, Cq benzene), 129.53 (1C, CHbenzene), 129.43 (1C, CHimidazole), 129.13 (1C, CHbenzene), 127.50 (1C, CHbenzene), 118.82 (1C, CHimidazole), 57.67 (1C, CH2 propyl), 44.54 (1C, CH2 propyl), 31.89 (1C, CH2CH2–CH2 propyl).
  • N-(3-(1H-imidazol-1-yl)propyl)-1-(2,4-difluorophenyl)methanimine (9)
Synthetized similarly to 8, starting from 7 (597 μL, 5 mmol) reacted with 2,4-difluorobenzaldehyde (547 µL, 5 mmol). The compound was obtained as an orange oil in 94% yield (1.177 g).
1H NMR (CDCl3, 400 MHz, ppm): δH = 8.42 (s, 1H, CHimine), 7.90 (td, 4JHF = 8.5, 3JHH = 6.7 Hz, 1H, CHbenzene), 7.44 (s, 1H, CHimidazole), 7.00 (s, 1H, CHimidazole), 6.91–6.82 (m, 2H), 6.76 (ddd, 3JHF = 10.9, 3JHH = 8.8, 4JHH = 2.4 Hz, 1H, CHbenzene), 4.02 (t, 3JHH = 7.0 Hz, 2H, CH2 propyl), 3.51 (t, 3JHH = 6.9 Hz, 2H, CH2 propyl), 2.10 (quint, 3JHH = 6.7 Hz, 2H, CH2–CH2–CH2 propyl). 13C NMR (CDCl3, 100 MHz, ppm): δC = 164.76 (dd, 1JCF = 218.5 Hz, 3JCF = 12.3 Hz, 1C, Cq benzene), 162.23 (dd, 1JCF = 220.0 Hz, 3JCF = 12.2 Hz, 1C, Cq benzene), 154.23 (1C, CHimine), 137.17 (1C, CHimidazole), 129.43 (1C, CHimidazole), 129.03 (dd, 3JCF = 9.8 Hz, 3JCF = 4.1 Hz, 1C, CHbenzene), 120.08 (dd, 2JCF = 9.3 Hz, 4JCF = 3.2 Hz, 1C, Cq benzene), 118.82 (1C, CHimidazole), 112.10 (dd, 2JCF = 21.6 Hz, 4JCF = 2.9 Hz, 1C, CHbenzene), 104.03 (t, 1JCF = 25.3 Hz, 1C, CHbenzene), 57.82 (1C, CH2 propyl), 44.63 (1C, CH2 propyl), 31.99 (1C, CH2CH2–CH2 propyl). 19F NMR (CDCl3, 376 MHz, ppm): δF = −105.41 (m, 1F), −117.76 (m, 1F).
  • N-(2,4-dichlorobenzyl)-3-(1H-imidazol-1-yl)propan-1-amine (10)
The oil of 8 (1.408 g, 4.99 mmol) was dissolved in dry MeOH (50 mL) and sodium borohydride (NaBH4, 379 mg, 10 mmol) was added slowly. The yellow solution was stirred at room temperature for 6 h and then heated to reflux for 20 h, during which time it became colorless. The solution was filtered and evaporated to dryness. The residue was taken in CHCl3 (30 mL) and H2O (20 mL) with the pH of the aqueous phase adjusted to 9 by addition of KOH. The mixture was extracted, and the separated aqueous phase was further extracted with CHCl3 (2 × 30 mL). The combined organic layers were dried with anhydrous Na2SO4, filtered, evaporated, and dried under vacuum. The compound was obtained as a yellow oil in 99% yield (1.403 g).
1H NMR (CDCl3, 400 MHz, ppm): δH = 7.39 (s, 1H, CHimidazole), 7.30 (d, 4JHH = 1.9 Hz, 1H, CHbenzene), 7.21 (d, 3JHH = 8.1 Hz, 1H, CHbenzene), 7.14 (dd, 3JHH = 8.2, 4JHH = 1.9 Hz, 1H, CHbenzene), 6.97 (s, 1H, CHimidazole), 6.82 (s, 1H, CHimidazole), 3.98 (t, 3JHH = 6.9 Hz, 2H, CH2 propyl), 3.73 (s, 2H, NH–CH2), 2.51 (t, 3JHH = 6.6 Hz, 2H, CH2 propyl), 1.86 (quint, 3JHH = 6.7 Hz, 2H, CH2–CH2–CH2 propyl).
13C NMR (CDCl3, 100 MHz, ppm): δC = 137.18 (1C, CHimidazole), 136.04 (1C, Cq benzene), 134.31 (1C, Cq benzene), 133.42 (1C, Cq benzene), 130.87 (1C, CHbenzene), 129.40 (1C, CHbenzene), 129.35 (1C, CHimidazole), 127.10 (1C, CHbenzene), 118.82 (1C, CHimidazole), 50.66 (1C, N–CH2), 45.44 (1C, CH2 propyl), 44.53 (1C, CH2 propyl), 31.22 (1C, CH2CH2–CH2 propyl).
  • N-(2,4-difluorobenzyl)-3-(1H-imidazol-1-yl)propan-1-amine (11)
Synthetized similarly to 10, starting from 9 (1.177 g, 5 mmol) reacted with NaBH4 (380 mg, 10 mmol). The compound was obtained as a yellow oil in 98% yield (1.157 g).
1H NMR (CDCl3, 400 MHz, ppm): δH = 7.38 (s, 1H, CHimidazole), 7.19 (td, 4JHF = 8.4, 3JHH = 6.6 Hz, 1H, CHbenzene), 6.97 (s, 1H, CHimidazole), 6.82 (s, 1H, CHimidazole), 6.80–6.68 (m, 2H), 3.97 (t, 3JHH = 6.9 Hz, 2H, CH2 propyl), 3.69 (s, 2H, NH–CH2), 2.51 (t, 3JHH = 6.7 Hz, 2H, CH2 propyl), 1.85 (p, 3JHH = 6.8 Hz, 2H, CH2–CH2–CH2 propyl). 13C NMR (CDCl3, 100 MHz, ppm): δC = 161.17 (dd, 1JCF = 247.8, 3JCF = 12.0 Hz, 1C, Cq benzene), 160.14 (dd, 1JCF = 248.2, 3JCF = 12.1 Hz, 1C, Cq benzene), 136.19 (1C, CHimidazole), 130.05 (dd, 3JCF = 8.9, 3JCF = 6.8 Hz, 1C, CHbenzene), 128.40 (1C, CHimidazole), 121.93 (dd, 2JCF = 15.4, 4JCF = 3.1 Hz, 1C, Cq benzene), 117.81 (1C, CHimidazole), 110.10 (dd, 2JCF = 20.9, 4JCF = 3.1 Hz, 1C, CHbenzene), 102.78 (t, 2JCF = 25.6 Hz, 1C, CHbenzene), 45.74 (1C, NH–CH2), 44.40 (1C, CH2 propyl), 43.52 (1C, CH2 propyl), 30.19 (1C, CH2CH2–CH2 propyl). 19F NMR (CDCl3, 376 MHz, ppm): δF = −111.73 (m, 1F), −115.27 (m, 1F).
  • N-(2,4-dichlorobenzyl)-3-(1H-imidazol-1-yl)-N-(pyridin-2-ylmethyl)propan-1-amine (12a)
Compound 10 (284 mg, 1 mmol) was dissolved in dry MeOH (10 mL) and 2-pyridinecarboxaldehyde (95 μL, 1 mmol) was added. The yellow solution was stirred at room temperature for 1 h, then heated to reflux for 20 h. The reaction was let to cool and 5 drops of AcOH, sodium cyanoborohydride (NaBH3CN, 126 mg, 2 mmol) and more dry MeOH (5 mL) were added. The reaction was stirred at room temperature for another 21 h, and then evaporated to dryness. The residue was taken in CHCl3 (30 mL) and H2O (20 mL), with the pH of the aqueous phase adjusted to 10 by addition of KOH. The mixture was extracted, and the separated aqueous phase was further extracted with CHCl3 (2 × 30 mL). The combined organic layers were dried with anhydrous Na2SO4, filtered, and evaporated to dryness. The crude product was purified by silica column chromatography (CHCl3/MeOH, 95:5, Rf = 0.3). The compound was obtained as a brown oil in 41% yield (154 mg).
1H NMR (CDCl3, 400 MHz, ppm): δH = 8.45 (d, 3JHH = 5.5 Hz, 1H, CHpyridine), 7.57 (td, 3JHH = 7.7, 4JHH = 1.8 Hz, 1H, CHpyridine), 7.36 (d, 3JHH = 8.3 Hz, 1H, CHbenzene), 7.31–7.24 (m, 3H), 7.14 (dd, 3JHH = 8.3, 4JHH =2.1 Hz, 1H, CHbenzene), 7.10 (td, 3JHH = 4.9, 4JHH = 2.4 Hz, 1H, CHpyridine), 6.91 (s, 1H, CHimidazole), 6.67 (s, 1H, CHimidazole), 3.84 (t, 3JHH = 7.1 Hz, 2H, CH2 propyl), 3.67 (s, 2H, N–CH2), 3.64 (s, 2H, N–CH2), 2.48 (t, 3JHH = 6.7 Hz, 2H, CH2 propyl), 1.88 (quint, 3JHH = 6.8 Hz, 3H, CH2–CH2–CH2 propyl). 13C NMR (CDCl3, 100 MHz, ppm): δC = 159.00 (1C, Cq pyridine), 149.09 (1C, CHpyridine), 136.87 (1C, CHimidazole), 136.45 (1C, CHpyridine), 135.13 (1C, Cq benzene), 134.82 (1C, Cq benzene), 133.40 (1C, Cq benzene), 131.69 (1C, CHbenzene), 129.36 (1C, CHbenzene), 128.99 (1C, CHimidazole), 127.03 (1C, CHbenzene), 123.06 (1C, CHpyridine), 122.22 (1C, CHpyridine), 118.69 (1C, CHimidazole), 60.41 (1C, N–CH2), 55.60 (1C, N–CH2), 51.09 (1C, CH2 propyl), 44.84 (1C, CH2 propyl), 28.75 (1C, CH2CH2–CH2 propyl). ESI-HRMS: m/z calculated for C19H21Cl2N4 [12a+H]+ 375.1138, found 375.1138.
  • N-(2,4-dichlorobenzyl)-3-(1H-imidazol-1-yl)-N-(quinolin-3-ylmethyl)propan-1-amine (12b)
Synthetized similarly to 12a, starting from 10 (142 mg, 0.5 mmol) reacted with 2-quinolinecarboxaldehyde (79 mg, 0.5 mmol) and NaBH3CN (63 mg, 1 mmol). The crude product was purified by silica column chromatography (CHCl3/MeOH, 96:4, Rf = 0.3). The compound was obtained as a bright yellow oil in 27% yield (57 mg).
1H NMR (CDCl3, 400 MHz, ppm): δH = 8.05 (d, 3JHH = 8.5 Hz, 1H, CHquinoline), 7.97 (d, 3JHH = 8.5 Hz, 1H, CHquinoline), 7.73 (d, 3JHH = 8.1 Hz, 1H, CHquinoline), 7.64 (td, 3JHH = 7.0, 4JHH = 1.3 Hz, 1H, CHquinoline), 7.51–7.40 (m, 3H), 7.36 (d, 3JHH = 8.3 Hz, 1H, CHbenzene), 7.30 (d, 4JHH = 2.1 Hz, 1H, CHbenzene), 7.14 (dd, 3JHH = 8.2, 4JHH = 2.1 Hz, 1H, CHbenzene), 6.88 (s, 1H, CHimidazole), 6.64 (s, 1H, CHimidazole), 3.86 (t, 3JHH = 7.1 Hz, 2H, CH2 propyl), 3.85 (s, 2H, N–CH2), 3.70 (s, 2H, N–CH2), 2.54 (t, 3JHH = 6.7 Hz, 2H, CH2 propyl), 1.92 (quint, 3JHH = 7.1 Hz, 2H, CH2–CH2–CH2 propyl). 13C NMR (CDCl3, 100 MHz, ppm): δC = 159.62 (1C, Cq quinoline), 147.46 (1C, Cq quinoline), 136.63 (1C, CHimidazole), 136.54 (1C, CHquinoline), 135.00 (1C, Cq benzene), 134.98 (1C, Cq benzene), 133.61 (1C, Cq benzene), 131.96 (1C, CHbenzene), 129.66 (1C, CHquinoline), 129.47 (1C, CHbenzene), 128.93 (1C, CHquinoline), 128.02 (1C, CHimidazole), 127.60 (1C, CHquinoline), 127.31 (1C, Cq quinoline), 127.07 (1C, CHbenzene), 126.42 (1C, CHquinoline), 120.95 (1C, CHquinoline), 118.86 (1C, CHimidazole), 61.17 (1C, N–CH2), 55.89 (1C, N–CH2), 51.30 (1C, CH2 propyl), 45.23 (1C, CH2 propyl), 28.66 (1C, CH2CH2–CH2 propyl). ESI-HRMS: m/z calculated for C23H23Cl2N4 [12b+H]+ 425.1294, found 425.1287.
  • 2-(((3-(1H-imidazol-1-yl)propyl)(2,4-dichlorobenzyl)amino)methyl)quinolin-8-ol (12c)
Synthetized similarly to 12a, starting from 10 (142 mg, 0.5 mmol) reacted with 8-hydroxy-2-quinolinecarboxaldehyde (113 mg, 0.65 mmol) and NaBH3CN (63 mg, 1 mmol). The crude product was purified by silica column chromatography (CHCl3/MeOH, 98:2, Rf = 0.2). The compound was obtained as a pink oil in 15% yield (33 mg).
1H NMR (CDCl3, 400 MHz, ppm): δH = 8.03 (d, 3JHH = 8.5 Hz, 1H, CHquinoline), 7.43 (d, 3JHH = 8.5 Hz, 1H, CHquinoline), 7.39–7.30 (m, 3H), 7.26 (s, 1H, CHimidazole), 7.24 (dd, 3JHH = 8.3 Hz, 4JHH = 1.0 Hz, 2H, CHbenzene), 7.15 (dd, 3JHH = 8.2, 4JHH = 2.1 Hz, 1H, CHbenzene), 7.10 (dd, 3JHH = 7.6, 4JHH = 1.0 Hz, 1H, CHquinoline), 6.89 (s, 1H, CHimidazole), 6.65 (s, 1H, CHimidazole), 3.84 (s, 2H, N–CH2), 3.83 (t, 3JHH = 7.2 Hz, 2H, CH2 propyl), 3.70 (s, 2H, N–CH2), 2.52 (t, 3JHH = 6.8 Hz, 2H, CH2 propyl), 1.90 (quint, 3JHH = 6.8 Hz, 2H, CH2–CH2–CH2 propyl). 13C NMR (CDCl3, 100 MHz, ppm): δC = 157.49 (1C, Cq quinoline), 151.91 (1C, Cq quinoline), 137.31 (1C, Cq quinoline), 136.91 (1C, CHimidazole), 136.57 (1C, CHquinoline), 134.98 (1C, Cq benzene), 134.94(1C, Cq benzene), 133.61 (1C, Cq benzene), 131.72 (1C, CHquinoline), 129.49 (1C, CHbenzene), 129.40 (1C, CHimidazole), 127.48 (1C, CHquinoline), 127.45 (1C, Cq quinoline), 127.07 (1C, CHbenzene), 121.72 (1C, CHquinoline), 118.61 (1C, CHimidazole), 117.70 (1C, CHbenzene), 110.23 (1C, CHquinoline), 60.71 (1C, N–CH2), 55.78 (1C, N–CH2), 51.38 (1C, CH2 propyl), 44.82 (1C, CH2 propyl), 28.84 (1C, CH2CH2–CH2 propyl). ESI-HRMS: m/z calculated for C23H23Cl2N4O [12c+H]+ 441.1243, found 441.1241.
  • 2-(((3-(1H-imidazol-1-yl)propyl)(2,4-dichlorobenzyl)amino)methyl)-6-methoxyphenol (12d)
Synthetized similarly to 12a, starting from 10 (142 mg, 0.5 mmol) reacted with ortho-vanillin (76 mg, 0.5 mmol) and NaBH3CN (63 mg, 1 mmol). The crude product was purified by silica column chromatography (CHCl3/MeOH, 96:4, Rf = 0.3). The compound was obtained as a pink oil in 55% yield (115 mg).
1H NMR (CDCl3, 400 MHz, ppm): δH = 9.92 (br s, 1H, OH), 7.32 (d, 4JHH = 2.0 Hz, 1H, CHbenzene), 7.22–7.18 (m, 2H), 7.14 (dd, 3JHH = 8.2, 4JHH = 2.0 Hz, 1H, CHbenzene), 6.90 (s, 1H, CHimidazole), 6.74 (dd, 3JHH = 8.1, 4JHH = 1.1 Hz, 1H, CHphenol), 6.71–6.65 (m, 2H), 6.53 (d, 3JHH = 7.4 Hz, 1H, CHphenol), 3.82–3.79 (m, 5H), 3.64 (s, 2H, N–CH2), 3.63 (s, 2H, N–CH2) 2.44 (t, 3JHH = 7.1 Hz, 2H, CH2 propyl), 1.96 (quint, 3JHH = 7.0 Hz, 2H, CH2–CH2–CH2 propyl). 13C NMR (CDCl3, 100 MHz, ppm): δC = 147.88 (1C, Cq phenol), 146.10 (1C, Cq phenol), 136.95 (1C, CHimidazole), 135.34 (1C, Cq benzene), 134.53 (1C, Cq benzene), 133.03 (1C, Cq benzene), 132.61 (1C, CHphenol), 129.86 (1C, CHbenzene), 129.53 (1C, CHimidazole), 127.46 (1C, CHbenzene), 121.82 (1C, Cq phenol), 120.88 (1C, CHphenol), 119.38 (1C, CHbenzene), 118.53 (1C, CHimidazole), 111.13 (1C, CHphenol), 57.13 (1C, N–CH2), 55.84 (1C, O–CH3), 55.64 (1C, N–CH2), 50.67 (1C, CH2 propyl), 44.74 (1C, CH2 propyl), 28.10 (1C, CH2CH2–CH2 propyl). ESI-HRMS: m/z calculated for C21H24Cl2N3O2 [12d+H]+ 420.1240, found 420.1239.
  • 2-(((3-(1H-imidazol-1-yl)propyl)(2,4-dichlorobenzyl)amino)methyl)-4-bromophenol (12e)
Synthetized similarly to 12a, starting from 10 (142 mg, 0.5 mmol) reacted with 5-bromosalicylaldehyde (101 mg, 0.5 mmol) and NaBH3CN (63 mg, 1 mmol). The crude product was purified by silica column chromatography (CHCl3/MeOH, 97:3, Rf = 0.3). The compound was obtained as a brown oil in 40% yield (93 mg).
1H NMR (CDCl3, 400 MHz, ppm): δH = 10.18 (br s, 1H, OH), 7.36 (d, 4JHH = 2.0 Hz, 1H, CHbenzene), 7.27 (s, 1H, CHimidazole), 7.22–7.10 (m, 5H), 7.02 (d, 4JHH = 2.4 Hz, 1H, CHphenol), 6.94 (s, 1H, CHimidazole), 6.69 (s, 1H, CHimidazole), 6.62 (d, 3JHH = 8.6 Hz, 1H, CHphenol), 3.82 (t, 3JHH = 7.0 Hz, 2H, CH2 propyl), 3.62 (s, 2H, N–CH2), 3.61 (s, 2H, N–CH2), 2.45 (t, 3JHH = 7.0 Hz, 2H, CH2 propyl), 1.97 (quint, 3JHH = 7.1 Hz, 2H, CH2–CH2–CH2 propyl). 13C NMR (CDCl3, 100 MHz, ppm): δC = 156.25 (1C, Cq phenol), 136.90 (1C, CHimidazole), 135.37 (1C, Cq benzene), 134.87 (1C, Cq benzene), 132.72 (1C, CHphenol), 132.59 (1C, Cq benzene), 131.91 (1C, CHphenol), 131.38 (1C, CHbenzene), 130.02 (1C, CHbenzene), 129.62 (1C, CHimidazole), 127.56 (1C, CHbenzene), 123.53 (1C, Cq phenol), 118.53 (1C, CHimidazole), 118.05 (1C, CHphenol), 111.28 (1C, Cq phenol), 56.99 (1C, N–CH2), 55.71 (1C, N–CH2), 50.73 (1C, CH2 propyl), 44.75 (1C, CH2 propyl), 27.95 (1C, CH2CH2–CH2 propyl). ESI-HRMS: m/z calculated for C20H21Cl2N3OBr [12e+H]+ 470.0217, found 470.0214.
  • 2-(((3-(1H-imidazol-1-yl)propyl)(2,4-difluorobenzyl)amino)methyl)-4-bromophenol (13e)
Synthetized similarly to 12a, starting from 11 (126 mg, 0.5 mmol) reacted with 5-bromosalicylaldehyde (101 mg, 0.5 mmol) and NaBH3CN (63 mg, 1 mmol). The crude product was purified by silica column chromatography (CHCl3/MeOH, 99:1, Rf = 0.1). The compound was obtained as a clear oil in 26% yield (56 mg).
1H NMR (CDCl3, 400 MHz, ppm): δH = 10.34 (br s, 1H, OH), 7.28 (s, 1H, CHimidazole), 7.20 (dd, 3JHH = 8.6, 4JHH = 2.5 Hz, 1H, CHphenol), 7.15–7.07 (m, 1H), 7.02 (d, 4JHH = 2.4 Hz, 1H, CHphenol), 6.94 (s, 1H, CHimidazole), 6.86–6.73 (m, 2H), 6.71 (s, 1H, CHimidazole), 6.64 (d, 3JHH = 8.6 Hz, 1H, CHphenol), 4.71 (s, 0H), 3.83 (t, 3JHH = 7.0 Hz, 2H, CH2 propyl), 3.62 (s, 2H, N–CH2), 3.58 (s, 2H, N–CH2), 2.43 (t, 3JHH = 7.2 Hz, 2H, CH2 propyl), 1.97 (quint, 3JHH = 7.1 Hz, 2H, CH2–CH2–CH2 propyl). 13C NMR (CDCl3, 100 MHz, ppm): δC = 162.87 (dd, 1JCF = 250.3 Hz, 3JCF = 12.2 Hz, 1C, Cq benzene), 161.56 (dd, 1JCF = 249.2 Hz, 3JCF = 11.9 Hz, 1C, Cq benzene), 156.48 (1C, Cq phenol), 136.94 (1C, CHimidazole), 132.71 (dd, 3JCF = 9.3, 3JCF = 5.8 Hz, 1C, CHbenzene), 131.89 (1C, CHphenol), 131.28 (1C, CHphenol), 129.68 (1C, CHimidazole), 123.46 (1C, Cq phenol), 118.92 (dd, 2JCF = 14.6, 4JCF = 3.2 Hz, 1C, Cq benzene), 118.53 (1C, CHimidazole), 118.09 (1C, CHphenol), 111.78 (dd, 2JCF = 21.3, 4JCF = 2.9 Hz, 1C, CHbenzene), 111.24 (1C, Cq phenol), 104.36 (t, 3JCF = 25.7 Hz, 1C, CHbenzene), 57.15 (1C, N–CH2), 51.14 (1C, N–CH2), 50.26 (1C, CH2 propyl), 44.61 (1C, CH2 propyl), 28.11 (1C, CH2CH2–CH2 propyl). 19F NMR (CDCl3, 376 MHz, ppm): δF = −109.00 (m, 1F), −113.01 (m, 1F). ESI-HRMS: m/z calculated for C20H21F2N3O [13e+H]+ 436.0831, found 436.0836.
  • N-(3-(1H-1,2,4-triazol-1-yl)propyl)-1-(2,4-dichlorophenyl)methanimine (14)
Synthetized similarly to 8, starting from 6 (1.255 g, 9.9 mmol) reacted with 2,4-dichlorobenzaldehyde (1.733 g, 9.9 mmol). The compound was obtained as an orange oil in 96% yield (2.7 g).
1H NMR (CDCl3, 400 MHz, ppm): δH = 8.57 (s, 1H, CHimine), 8.02 (s, 1H, CHtriazole), 7.90–7.88 (m, 2H), 7.34 (d, 4JHH = 2.0 Hz, 1H, CHbenzene), 7.22 (dd, 3JHH = 8.5, 4JHH = 1.7 Hz, 1H, CHbenzene), 4.27 (t, 3JHH = 6.8 Hz, 2H, CH2 propyl), 3.56 (t, 3JHH = 5.8 Hz, 2H, CH2 propyl), 2.23 (quint, 3JHH = 6.7 Hz, 2H, CH2–CH2–CH2 propyl). 13C NMR (CDCl3, 100 MHz, ppm): δC = 157.75 (1C, CHimine), 152.08 (1C, CHtriazole), 143.18 (1C, CHtriazole), 137.18 (1C, Cq benzene), 135.63 (1C, Cq benzene), 131.46 (1C, Cq benzene), 129.63 (1C, CHbenzene), 129.14 (1C, CHbenzene), 127.56 (1C, CHbenzene), 57.68 (1C, CH2 propyl), 47.30 (1C, CH2 propyl), 30.65 (1C, CH2CH2–CH2 propyl).
  • N-(2,4-dichlorobenzyl)-3-(1H-1,2,4-triazol-1-yl)propan-1-amine (15)
Synthetized similarly to 10, starting from 14 (2.7 g, 9.5 mmol) reacted with NaBH4 (720 mg, 19 mmol). The compound was obtained as an orange oil in 97% yield (2.614 g).
1H NMR (CDCl3, 400 MHz, ppm): δH = 7.98 (s, 1H, CHtriazole), 7.87 (s, 1H, CHtriazole), 7.31 (d, 4JHH = 1.9 Hz, 1H, CHbenzene), 7.22 (d, 3JHH = 8.2 Hz, 1H, CHbenzene), 7.15 (dd, 3JHH = 8.2, 4JHH = 2.0 Hz, 1H, CHbenzene), 4.24 (t, 3JHH = 6.8 Hz, 2H, CH2 propyl), 3.74 (s, 2H, NH–CH2), 2.52 (t, 3JHH = 6.5 Hz, 2H, CH2 propyl), 1.99 (quint, 3JHH J = 6.7 Hz, 2H, CH2–CH2–CH2 propyl). 13C NMR (CDCl3, 100 MHz, ppm): δC = 151.99 (1C, CHtriazole), 143.19 (1C, CHtriazole), 136.05 (1C, Cq benzene), 134.34 (1C, Cq benzene), 133.44 (1C, Cq benzene), 130.82 (1C, CHbenzene), 129.38 (1C, CHbenzene), 127.09 (1C, CHbenzene), 50.61 (1C, NH–CH2), 47.18 (1C, CH2 propyl), 45.30 (1C, CH2 propyl), 29.82 (1C, CH2CH2–CH2 propyl).
  • N-(2,4-dichlorobenzyl)-N-(pyridin-2-ylmethyl)-3-(1H-1,2,4-triazol-1-yl)propan-1-amine (16a)
Synthetized similarly to 12a, starting from 15 (143 mg, 0.5 mmol) reacted with 2-pyridinecarboxaldehyde (48 μL, 0.5 mmol) and NaBH3CN (63 mg, 1 mmol). The crude product was purified by silica column chromatography (CHCl3/MeOH, 98:2, Rf = 0.2). The compound was obtained as a yellow oil in 28% yield (53 mg).
1H NMR (CDCl3, 400 MHz, ppm): δH = 8.45 (d, 3JHH = 4.8 Hz, 1H, CHpyridine), 7.79 (s, 1H, CHtriazole), 7.73 (s, 1H, CHtriazole), 7.56 (td, 3JHH = 7.7, 4JHH = 1.6 Hz, 1H, CHpyridine), 7.37 (d, 3JHH = 8.3 Hz, 1H, CHbenzene), 7.34–7.23 (m, 2H), 7.13 (dd, 3JHH = 8.3, 4JHH = 2.0 Hz, 1H, CHbenzene), 7.10 (dd, 3JHH = 7.2 Hz, 4JHH = 5.6 Hz, 1H, CHpyridine), 4.07 (t, 3JHH = 7.0 Hz, 2H, CH2 propyl), 3.67 (s, 2H, N–CH2), 3.64 (s, 2H, N–CH2), 2.48 (t, 3JHH = 6.7 Hz, 2H, CH2 propyl), 2.01 (quint, 3JHH = 6.8 Hz, 2H, CH2–CH2–CH2 propyl). 13C NMR (CDCl3, 100 MHz, ppm): δC = 158.99 (1C, Cq pyridine), 151.84 (1C, CHtriazole), 149.10 (1C, CHpyridine), 142.85 (1C, CHtriazole), 136.41 (1C, CHpyridine), 135.12 (1C, Cq benzene), 134.82 (1C, Cq benzene), 133.38 (1C, Cq benzene), 131.68 (1C, CHbenzene), 129.35 (1C, CHbenzene), 127.00 (1C, CHbenzene), 123.08 (1C, CHpyridine), 122.20 (1C, CHpyridine), 60.31 (1C, N–CH2), 55.48 (1C, N–CH2), 50.80 (1C, CH2 propyl), 47.39 (1C, CH2 propyl), 27.32 (1C, CH2CH2–CH2 propyl). ESI-HRMS: m/z calculated for C18H20Cl2N5 [16a+H]+ 376.1090, found 376.1093.
  • N-(2,4-dichlorobenzyl)-N-(quinolin-2-ylmethyl)-3-(1H-1,2,4-triazol-1-yl)propan-1-amine (16b)
Synthetized similarly to 12a, starting from 15 (143 mg, 0.5 mmol) reacted with 2-quinolinecarboxaldehyde (79 mg, 0.5 mmol) and NaBH3CN (63 mg, 1 mmol). The crude product was purified by silica column chromatography (CHCl3/MeOH, 99:1, Rf = 0.1). The compound was obtained as a bright yellow oil in 17% yield (37 mg).
1H NMR (CDCl3, 400 MHz, ppm): δH = 8.03 (d, 3JHH = 8.5 Hz, 1H, CHquinoline), 7.97 (d, 3JHH = 8.5 Hz, 1H, CHquinoline), 7.79–7.69 (m, 3H), 7.63 (t, 3JHH = 7.7 Hz, 1H, CHquinoline), 7.49–7.42 (m, 2H), 7.36 (d, 3JHH = 8.3 Hz, 1H, CHbenzene), 7.29 (d, 4JHH = 2.0 Hz, 1H, CHbenzene), 7.12 (dd, 3JHH = 8.2, 4JHH = 2.0 Hz, 1H, CHbenzene), 4.06 (t, 3JHH = 7.1 Hz, 2H, CH2 propyl), 3.84 (s, 2H, N–CH2), 3.69 (s, 2H, N–CH2), 2.53 (t, 3JHH = 6.7 Hz, 2H, CH2 propyl), 2.03 (quint, 3JHH = 6.9 Hz, 2H, CH2–CH2–CH2 propyl). 13C NMR (CDCl3, 100 MHz, ppm): δC = 159.69 (1C, Cq quinoline), 151.86 (1C, CHtriazole), 147.48 (1C, Cq quinoline), 142.77 (1C, CHtriazole), 136.45 (1C, CHquinoline), 135.04 (1C, Cq benzene), 134.99 (1C, Cq benzene), 133.53 (1C, Cq benzene), 131.90 (1C, CHbenzene), 129.60 (1C, CHquinoline), 129.44 (1C, CHbenzene), 128.97 (1C, CHquinoline), 127.57 (1C, CHquinoline), 127.30 (1C, Cq quinoline), 127.01 (1C, CHbenzene), 126.38 (1C, CHquinoline), 120.93 (1C, CHquinoline), 61.13 (1C, N–CH2), 55.74 (1C, N–CH2), 51.16 (1C, CH2 propyl), 47.53 (1C, CH2 propyl), 27.41 (1C, CH2CH2–CH2 propyl). ESI-HRMS: m/z calculated for C22H22Cl2N5 [16b+H]+ 426.1247, found 426.1248.
  • 2-(((3-(1H-1,2,4-triazol-1-yl)propyl)(2,4-dichlorobenzyl)amino)methyl)quinolin-8-ol (16c)
Synthetized similarly to 12a, starting from 15 (143 mg, 0.5 mmol) reacted with 1 (113 mg, 0.65 mmol) and NaBH3CN (63 mg, 1 mmol). The residue was treated with HCl 0.1 M (10 mL) and the insoluble matter was filtered off with a PTFE filter. The aqueous solution was then adjusted to pH 12 by addition of KOH and extracted with CHCl3 (3 × 20 mL). The combined organic layers were dried with anhydrous Na2SO4, filtered, and evaporated to dryness. The crude product was purified by silica column chromatography (CHCl3/MeOH, 99.5:0.5, Rf = 0.05). The compound was obtained as a bright yellow oil in 34% yield (75 mg).
1H NMR (CDCl3, 400 MHz, ppm): δH = 8.12 (br s, 1H, OH), 8.00 (d, 3JHH = 8.4 Hz, 2H, CHquinoline), 7.77 (s, 1H, CHtriazole), 7.74 (s, 1H, CHtriazole), 7.41 (d, 3JHH = 8.4 Hz, 1H, CHquinoline), 7.36–7.25 (m, 3H), 7.21 (d, 3JHH = 8.1 Hz, 1H, CHbenzene), 7.14–7.02 (m, 2H), 4.05 (t, 3JHH = 7.0 Hz, 2H, CH2 propyl), 3.81 (s, 2H, N–CH2), 3.67 (s, 2H, N–CH2), 2.51 (t, 3JHH = 6.6 Hz, 2H, CH2 propyl), 2.03 (quint, 3JHH = 6.7 Hz, 2H, CH2–CH2–CH2 propyl). 13C NMR (CDCl3, 100 MHz, ppm): δC = 156.40 (1C, Cq quinoline), 150.86 (1C, Cq quinoline), 150.86 (1C, CHtriazole), 141.77 (1C, CHtriazole), 136.27 (1C, Cq benzene), 135.51 (1C, CHquinoline), 133.92 (1C, Cq benzene), 133.89 (1C, Cq benzene), 132.52 (1C, Cq quinoline), 130.69 (1C, CHquinoline), 128.41 (1C, CHbenzene), 126.43 (1C, Cq quinoline), 126.42 (1C, CHquinoline), 126.00 (1C, CHbenzene), 120.73 (1C, CHquinoline), 116.66 (1C, CHbenzene), 109.20 (1C, CHquinoline), 59.48 (1C, N–CH2), 54.62 (1C, N–CH2), 50.04 (1C, CH2 propyl), 46.42 (1C, CH2 propyl), 26.37 (1C, CH2CH2–CH2 propyl). ESI-HRMS: m/z calculated for C22H22Cl2N5O [16c+H]+ 442.1196, found 442.1198.
  • 2-(((3-(1H-1,2,4-triazol-1-yl)propyl)(2,4-dichlorobenzyl)amino)methyl)-6-methoxyphenol (16d)
Synthetized similarly to 12a, starting from 15 (143 mg, 0.5 mmol) reacted with ortho-vanillin (76 mg, 0.5 mmol) and NaBH3CN (63 mg, 1 mmol). The residue was treated with HCl 0.1 M (8 mL) and the insoluble matter was filtered off with a PTFE filter. The aqueous solution was then adjusted to pH 11 by addition of KOH and extracted with CHCl3 (3 × 20 mL). The combined organic layers were dried with anhydrous Na2SO4, filtered, and evaporated to dryness. The crude product was purified by silica column chromatography (CHCl3/MeOH, 99:1, Rf = 0.1). The compound was obtained as a clear oil in 42% yield (89 mg).
1H NMR (CDCl3, 400 MHz, ppm): δH = 9.87 (br s, 1H, OH), 7.78 (s, 1H, CHtriazole), 7.71 (s, 1H, CHtriazole), 7.32 (d, 4JHH = 1.9 Hz, 1H, CHbenzene), 7.21 (d, 3JHH = 8.2 Hz, 1H, CHbenzene), 7.14 (dd, 3JHH = 8.2, 4JHH = 1.9 Hz, 1H, CHbenzene), 6.73 (d, 3JHH = 8.1 Hz, 1H, CHphenol), 6.67 (t, 3JHH = 7.8 Hz, 1H, CHphenol), 6.52 (d, 3JHH = 7.5 Hz, 1H, CHphenol), 4.05 (t, 3JHH = 6.7 Hz, 2H, CH2 propyl), 3.79 (s, 3H, O–CH3), 3.64, (s, 2H, N–CH2), 3.63 (s, 2H, N–CH2), 2.44 (t, 3JHH = 6.9 Hz, 2H, CH2 propyl), 2.10 (quint, 3JHH = 6.8 Hz, 2H, CH2–CH2–CH2 propyl). 13C NMR (CDCl3, 100 MHz, ppm): δC = 151.97 (1C, CHtriazole), 147.78 (1C, Cq phenol), 145.94 (1C, Cq phenol), 143.18 (1C, CHtriazole), 135.32 (1C, Cq benzene), 134.50 (1C, Cq benzene), 133.04 (1C, Cq benzene), 132.64 (1C, CHbenzene), 129.84 (1C, CHbenzene), 127.41 (1C, CHbenzene), 121.85 (1C, Cq phenol), 120.95 (1C, CHphenol), 119.40 (1C, CHphenol), 111.12 (1C, CHphenol), 56.89 (1C, N–CH2), 55.82 (1C, O–CH3), 55.54 (1C, N–CH2), 50.33 (1C, CH2 propyl), 47.20 (1C, CH2 propyl), 26.40 (1C, CH2CH2–CH2 propyl). ESI-HRMS: m/z calculated for C20H23Cl2N4O2 [16d+H]+ 421.1193, found 421.1196.
  • 2-(((3-(1H-1,2,4-triazol-1-yl)propyl)(2,4-dichlorobenzyl)amino)methyl)-4-bromophenol (16e)
Synthetized similarly to 12a, starting from 15 (143 mg, 0.5 mmol) reacted with 5-bromosalicylaldehyde (101 mg, 0.5 mmol) and NaBH3CN (63 mg, 1 mmol). The crude compound was purified by silica column chromatography (CHCl3/MeOH, 99.5:0.5, Rf = 0.1). The combined fractions containing the target compound were evaporated, the residue was treated with HCl 0.1 M (8 mL), and the insoluble matter was filtered off on a syringe PTFE filter. The aqueous solution was then adjusted to pH 12 by addition of KOH and extracted with CHCl3 (3 × 20 mL). The combined organic layers were dried with anhydrous Na2SO4, filtered, and evaporated to dryness. The compound was obtained as a yellow oil in 22% yield (30 mg).
1H NMR (CDCl3, 400 MHz, ppm): δH = 10.09 (br s, 1H, OH), 7.82 (s, 2H, CHtriazole), 7.36 (d, 4JHH = 1.8 Hz, 1H, CHbenzene), 7.21–7.12 (m, 3H), 7.01 (d, 4JHH = 2.4 Hz, 1H, CHphenol), 6.62 (d, 3JHH = 8.6 Hz, 1H, CHphenol), 4.06 (t, 3JHH = 6.8 Hz, 2H, CH2 propyl), 3.64 (s, 2H, N–CH2), 3.61 (s, 2H, N–CH2), 2.47(t, 3JHH = 7.0 Hz, 2H, CH2 propyl), 2.12 (quint, 3JHH = 6.9 Hz, 2H, CH2–CH2–CH2 propyl). 13C NMR (CDCl3, 100 MHz, ppm): δC = 155.18 (1C, Cq phenol), 151.12 (1C, CHtriazole), 142.11 (1C, CHtriazole), 134.37 (1C, Cq benzene), 133.86 (1C, Cq benzene), 131.73 (1C, CHphenol), 131.52 (1C, Cq benzene), 130.91 (1C, CHbenzene), 130.36 (1C, CHphenol), 129.00 (1C, CHbenzene), 126.51 (1C, CHbenzene), 122.39 (1C, Cq phenol), 117.01 (1C, CHphenol), 110.27 (1C, Cq phenol), 55.90 (1C, N–CH2), 54.52 (1C, N–CH2), 49.43 (1C, CH2 propyl), 46.22 (1C, CH2 propyl), 25.24 (1C, CH2CH2–CH2 propyl). ESI-HRMS: m/z calculated for C19H20Cl2N4OBr [16e+H]+ 471.0169, found 471.0169.
  • N-(2-(1H-1,2,4-triazol-1-yl)ethyl)-1-(2,4-dichlorophenyl)methanimine (17)
Synthetized similarly to 8, starting from 5 (623 mg, 5.56 mmol) reacted with 2,4-dichlorobenzaldehyde (973 g, 5.56 mmol). The compound was obtained as a yellow solid in 94% yield (1.406 g).
1H NMR (CDCl3, 400 MHz, ppm): δH = 8.40 (s, 1H, CHimine), 8.00 (s, 1H, CHtriazole), 7.88 (s, 1H, CHtriazole), 7.81 (d, 3JHH = 8.5 Hz, 1H, CHbenzene), 7.31 (d, 4JHH = 2.0 Hz, 1H, CHbenzene), 7.19 (dd, 3JHH = 8.3, 4JHH = 1.9 Hz, 1H, CHbenzene), 4.48 (t, 3JHH = 5.6 Hz, 2H, CH2 ethyl), 4.00 (t, 3JHH = 6.0 Hz, 2H, CH2 ethyl). 13C NMR (CDCl3, 100 MHz, ppm): δC = 159.52 (1C, CHimine), 152.19 (1C, CHtriazole), 143.74 (1C, CHtriazole), 137.51 (1C, Cq benzene), 135.82 (1C, Cq benzene), 131.08 (1C, Cq benzene), 129.66 (1C, CHbenzene), 129.00 (1C, CHbenzene), 127.58 (1C, CHbenzene), 59.70 (1C, CH2 ethyl), 50.07 (1C, CH2 ethyl).
  • N-(2,4-dichlorobenzyl)-2-(1H-1,2,4-triazol-1-yl)ethan-1-amine (18)
Synthetized similarly to 10, starting from 17 (1.406 g, 5.22 mmol) reacted with NaBH4 (395 mg, 10.44 mmol). The compound was obtained as a light-yellow solid in 97% yield (1.33 g).
1H NMR (CDCl3, 400 MHz, ppm): δH = 8.06 (s, 1H, CHtriazole), 7.88 (s, 1H, CHtriazole), 7.30 (d, 4JHH = 2.0 Hz, 1H, CHbenzene), 7.19 (d, 3JHH = 8.2 Hz, 1H, CHbenzene), 7.14 (dd, 3JHH = 8.2, 4JHH = 2.0 Hz, 1H, CHbenzene), 4.22 (t, 3JHH = 5.7 Hz, 2H, CH2 ethyl), 3.77 (s, 2H, NH–CH2), 3.01 (t, 3JHH = 5.2 Hz, 2H, CH2 ethyl). 13C NMR (CDCl3, 100 MHz, ppm): δC = 152.12 (1C, CHtriazole), 143.57 (1C, CHtriazole), 135.65 (1C, Cq benzene), 134.28 (1C, Cq benzene), 133.54 (1C, Cq benzene), 130.66 (1C, CHbenzene), 129.37 (1C, CHbenzene), 127.18 (1C, CHbenzene), 50.22 (1C, NH–CH2), 49.81 (1C, CH2 ethyl), 47.89 (1C, CH2 ethyl).
  • N-(2,4-dichlorobenzyl)-N-(pyridin-2-ylmethyl)-2-(1H-1,2,4-triazol-1-yl)ethan-1-amine (19a)
Synthetized similarly to 12a, starting from 18 (136 mg, 0.5 mmol) reacted with 2-pyridinecarboxaldehyde (48 μL, 0.5 mmol) and NaBH3CN (63 mg, 1 mmol). The crude compound was purified by silica column chromatography (CHCl3/MeOH, 97:3, Rf = 0.3). The compound was obtained as a brown oil in 68% yield (165 mg).
1H NMR (CDCl3, 400 MHz, ppm): δH = 8.45 (d, 3JHH = 4.9 Hz, 1H, CHpyridine), 7.99 (s, 1H, CHtriazole), 7.76 (s, 1H, CHtriazole), 7.53 (td, 3JHH = 7.7, 4JHH = 1.8 Hz, 1H, CHpyridine), 7.25 (s, 1H, CHbenzene), 7.12–7.05 (m, 4H), 4.15 (t, 3JHH = 6.4, 5.1 Hz, 2H, CH2 ethyl), 3.75 (s, 2H, N–CH2), 3.69 (s, 2H, N–CH2), 2.95 (t, 3JHH = 6.4 Hz, 2H, CH2 ethyl). 13C NMR (CDCl3, 100 MHz, ppm): δC = 158.29 (1C, Cq pyridine), 151.61 (1C, CHtriazole), 148.95 (1C, CHpyridine), 143.68 (1C, CHtriazole), 136.78 (1C, CHpyridine), 134.62 (1C, Cq benzene), 134.50 (1C, Cq benzene), 133.49 (1C, Cq benzene), 131.26 (1C, CHbenzene), 129.30 (1C, CHbenzene), 127.14 (1C, CHbenzene), 122.94 (1C, CHpyridine), 122.39 (1C, CHpyridine), 60.22 (1C, CH2 ethyl), 55.52 (1C, N–CH2), 53.45 (1C, N–CH2), 47.85 (1C, CH2 ethyl). ESI-HRMS: m/z calculated for C17H18Cl2N5 [19a+H]+ 362.0934, found 362.0930.
  • 2-(((2-(1H-1,2,4-triazol-1-yl)ethyl)(2,4-dichlorobenzyl)amino)methyl)quinolin-8-ol (19c)
Synthetized similarly to 12a, starting from 18 (136 mg, 0.5 mmol) reacted with 8-hydroxy-2-quinolinecarboxaldehyde (113 mg, 0.65 mmol) and NaBH3CN (63 mg, 1 mmol). The crude compound was purified by silica column chromatography (CHCl3/MeOH, 99:1, Rf = 0.1). The combined fractions containing the target compound were evaporated, the residue was treated with HCl 0.1 M (4 mL) and the insoluble matter was filtered off with a PTFE filter. The aqueous solution was then adjusted to pH 12 by addition of KOH and extracted with CHCl3 (3 × 20 mL). The combined organic layers were dried with anhydrous Na2SO4, filtered, and evaporated to dryness. The compound was obtained as a yellow oil in 28% yield (60 mg).
1H NMR (CDCl3, 400 MHz, ppm): δH = 8.11 (br s, 1H, OH), 7.96 (d, 3JHH = 8.5 Hz, 1H, CHquinoline), 7.90 (s, 1H, CHtriazole), 7.76 (s, 1H, CHtriazole), 7.34 (t, 3JHH = 7.9 Hz, 1H, CHquinoline), 7.27 (d, 4JHH = 1.6 Hz, 1H, CHbenzene), 7.23–7.16 (m, 2H), 7.14–7.06 (m, 3H), 4.13 (t, 3JHH = 5.8 Hz, 2H, CH2 ethyl), 3.86 (s, 2H, N–CH2), 3.73 (s, 2H, N–CH2), 3.00 (t, 3JHH = 5.8 Hz, 2H, CH2 ethyl). 13C NMR (CDCl3, 100 MHz, ppm): δC = 155.78 (1C, Cq quinoline), 150.87 (1C, Cq quinoline), 150.75 (1C, CHtriazole), 142.48 (1C, CHtriazole), 136.29 (1C, Cq quinoline), 135.74 (1C, CHquinoline), 133.72 (1C, Cq benzene), 133.40 (1C, Cq benzene), 132.67 (1C, Cq benzene), 130.31 (1C, Cq quinoline), 128.41 (1C, CHbenzene), 126.52 (1C, CHquinoline), 126.49 (1C, CHbenzene), 126.18 (1C, CHquinoline), 120.41 (1C, CHbenzene), 116.71 (1C, CHquinoline), 109.29 (1C, CHquinoline), 59.65 (1C, N–CH2), 54.66 (1C, N–CH2), 52.59 (1C, CH2 ethyl), 46.87 (1C, CH2 ethyl). ESI-HRMS: m/z calculated for C21H19Cl2N5O [19c+H]+ 428.1039, found 428.1043.
  • 2-(((2-(1H-1,2,4-triazol-1-yl)ethyl)(2,4-dichlorobenzyl)amino)methyl)-6-methoxyphenol (19d)
Synthetized similarly to 12a, starting from 18 (136 mg, 0.5 mmol) reacted with ortho-vanillin (76 mg, 0.5 mmol) and NaBH3CN (63 mg, 1 mmol). The crude compound was purified by silica column chromatography (CHCl3/MeOH, 98:2, Rf = 0.3). The combined fractions containing the target compound were evaporated, the residue was treated with HCl 0.1 M (4 mL), and the insoluble matter was filtered off with a PTFE filter. The aqueous solution was then adjusted to pH 10 by addition of KOH and extracted with CHCl3 (3 × 20 mL). The combined organic layers were dried with anhydrous Na2SO4, filtered, and evaporated to dryness. The compound was obtained as a yellow oil in 49% yield (99 mg).
1H NMR (CDCl3, 400 MHz, ppm): δH = 8.57 (br s, 1H, OH), 7.99 (s, 1H, CHtriazole), 7.79 (s, 1H, CHtriazole), 7.26 (d, 3JHH = 1.7 Hz, 1H, CHbenzene), 7.09–7.00 (m, 2H), 6.75–6.67 (m, 2H), 6.58 (dd, 3JHH = 7.4, 4JHH = 1.4 Hz, 1H, CHphenol), 4.17 (t, 3JHH = 6.2 Hz, 2H, CH2 ethyl), 3.78 (s, 3H, O–CH3), 3.72 (s, 2H, N–CH2), 3.64 (s, 2H, N–CH2), 2.93 (t, 3JHH = 6.2 Hz, 2H, CH2 ethyl). 13C NMR (CDCl3, 100 MHz, ppm): δC = 151.06 (1C, CHtriazole), 146.64 (1C, Cq phenol), 144.61 (1C, Cq phenol), 142.65 (1C, CHtriazole), 133.95 (1C, Cq benzene), 133.11 (1C, Cq benzene), 132.32 (1C, Cq benzene), 131.01 (1C, CHbenzene), 128.55 (1C, CHbenzene), 126.38 (1C, CHbenzene), 120.98 (1C, Cq phenol), 120.53 (1C, CHphenol), 118.50 (1C, CHphenol), 110.10 (1C, CHphenol), 55.32 (1C, N–CH2), 54.89 (1C, O–CH3), 54.73 (1C, N–CH2), 52.20 (1C, CH2 ethyl), 46.39 (1C, CH2 ethyl). ESI-HRMS: m/z calculated for C19H21Cl2N4O2 [19d+H]+ 407.1036, found 407.1038.
  • 2-(((2-(1H-1,2,4-triazol-1-yl)ethyl)(2,4-dichlorobenzyl)amino)methyl)-4-bromophenol (19e)
Synthetized similarly to 12a, starting from 18 (136 mg, 0.5 mmol) reacted with 5-bromosalicylaldehyde (101 mg, 0.5 mmol) and NaBH3CN (63 mg, 1 mmol). The crude compound was purified by silica column chromatography (CHCl3/MeOH, 99.5:0.5, Rf = 0.1). The compound was obtained as a brown oil in 19% yield (43 mg).
1H NMR (CDCl3, 400 MHz, ppm): δH = 9.30 (br s, 1H, OH), 7.92 (s, 1H, CHtriazole), 7.83 (s, 1H, CHtriazole), 7.32 (d, 4JHH = 2.0 Hz, 1H, CHbenzene), 7.20 (dd, 3JHH = 8.5 Hz, 4JHH = 2.4 Hz, 1H, CHbenzene), 7.12 (dd, 3JHH = 8.2, 4JHH = 2.1 Hz, 1H, CHphenol), 7.06 (d, 4JHH = 2.3 Hz, 1H, CHphenol), 7.02 (d, 3JHH = 8.3 Hz, 1H, CHbenzene), 6.63 (d, 3JHH = 8.6 Hz, 1H, CHphenol), 4.19 (t, 3JHH = 6.1 Hz, 2H, CH2 ethyl), 3.69 (s, 2H, N–CH2), 3.66 (s, 2H, N–CH2), 2.99 (t, 3JHH = 6.1 Hz, 2H, CH2 ethyl). 13C NMR (CDCl3, 100 MHz, ppm): δC = 156.05 (1C, Cq phenol), 152.18 (1C, CHtriazole), 143.45 (1C, CHtriazole), 135.17 (1C, Cq benzene), 134.74 (1C, Cq benzene), 132.46 (1C, Cq benzene), 132.39 (1C, CHbenzene), 132.22 (1C, CHbenzene), 131.70 (1C, CHphenol), 129.82 (1C, CHbenzene), 127.62 (1C, CHphenol), 123.33 (1C, Cq phenol), 118.28 (1C, CHphenol), 111.44 (1C, Cq phenol), 57.43 (1C, N–CH2), 55.80 (1C, N–CH2), 53.47 (1C, CH2 ethyl), 47.13 (1C, CH2 ethyl). ESI-HRMS: m/z calculated for C18H18Cl2N4OBr [19e+H]+ 457.0013, found 457.0011.

3.3. Copper(II) Binding Studies

The interaction of the target azole compounds with copper(II) was studied by UV spectrophotometric titrations at 25 °C in MeOH/H2O (1:1) solution buffered with 10 mM of MOPS (pH = 7.0). A solution of CuCl2 (at 20–100 μM) was titrated with a solution of each azole compound (at 200–500 μM) until 1.3–3.6 equivalents of azole was added, producing 25–35 experimental titration points. The UV spectra were acquired on a PerkinElmer Lambda 650 UV–visible spectrophotometer in Hellma 114-QS quartz cuvettes with 1 cm path length and 1400 µL volume, in the range of wavelengths of 230–320 nm. Conditional binding constants for each copper(II)–azole system were determined employing the software HypSpec 2008 [13,14] by using the combined titration data to determine the equilibrium constant for each stoichiometry present. The values of pCu, corresponding to the concentration of free copper in equilibrium (pCu = −log [Cu]free), were also calculated at pH = 7.0 and equimolar 100 μM concentrations of azole and copper(II). The calculation of pCu values was performed using the software HySS 2009 [15], which computes the concentration of all equilibrium species in solution by considering the combined species found and their equilibrium constants together with the total concentration of each reagent.

3.4. Biological Studies

3.4.1. Yeast Strains and Growth Conditions

Candida glabrata wild-type strain was purchased from the American Type Culture Collection (ATCC CBS138) and stored at −80 °C. C. glabrata was maintained in Yeast Peptone Dextrose (YPD) agar plates and grown at 37 °C. Assays were performed in RPMI-1640 medium buffered with 0.165 M of MOPS adjusted to pH 7.0 and sterilized by filtration using a polyester (PET) 0.2 μm filter. In assays where the compounds were tested in the presence of copper(II), the metal was added from an aqueous CuCl2 solution (51.2 mM) in equimolar amount relative to the azole compounds.

3.4.2. Antifungal Susceptibility Assays

The minimal inhibitory concentration (MIC) of the target compounds were determined by broth microdilution assays of the compounds alone and in the absence and presence of copper(II), adapted from CLSI (Clinical Laboratory and Standards Institute) standard methods M27-A3 for yeasts [16]. The assays were performed in 96-well plates, and the concentrations of the compounds applied ranged from 2 to 8 mM with sequential dilutions in H2O or H2O/DMSO (75:25), depending on the preparation of the compound’s solution. Growth in RPMI medium at 37 °C was recorded after 24 h by measuring the OD600 of the plates, using a BioTek Epoch Microplate Spectrophotometer (Agilent, Santa Clara, CA, USA). The growth condition without the target compound was used as the normalization condition, after background (RPMI medium) subtraction. The MIC50 was defined as the concentration where the relative OD600 falls below 50% that of the mock control. At least three independent assays were performed.

3.4.3. Measurement of Copper and Iron Levels

C. glabrata wild-type strain was grown to early exponential phase (OD600 0.8) in RPMI medium and left untreated or treated with the MIC concentration of the compounds in the absence and presence of copper(II), overnight. Cells were harvested and washed with 10 mM of EDTA and metal-free water. Total copper and iron intracellular contents were measured by inductively coupled plasma atomic emission spectroscopy (ICP-AES). Data were normalized against OD600. All assays were made using biological quadruplicates.

3.4.4. Measurement of Ergosterol Levels

C. glabrata wild-type strain was grown to early exponential phase (OD600 0.8) in RPMI medium and left untreated or treated with the MIC concentration of the compounds and fluconazole (104.5 μM), overnight. Ergosterol levels were measured as previously described [10]. Briefly, cells were harvested, the OD600 was normalized, and sterols were extracted using methanol. Samples were centrifuged and the supernatant was recovered. Analysis was performed on a Waters e2695 HPLC System (Waters Chromatography, Milford, MA, USA) with a 2998 Photodiode Array Detector, by injecting a volume of 50 μL of each sample into a Symmetry C18 column (4.6 × 250 mm, 5 μm particle size, Waters Chromatography, USA), using a MeOH/Acetonitrile (90:10) mixture as eluent. Column temperature was 30 °C and samples were kept at 10 °C. A standard curve prepared with ergosterol (Sigma-Aldrich, St. Louis, MO, USA) was plotted to determine the amount of ergosterol present in each sample. All assays were performed using biological triplicates.

3.4.5. Cytotoxicity Assays

HeLa cells were seeded at a density of 2 × 105 cells/mL in Dulbecco’s Modified Eagle Medium (DMEM) supplemented with 10% Fetal Bovine Serum (FBS) and cultured at 37 °C with 5% CO2 for 24 h. Medium was then supplemented with 1.563–200 μM of the target compounds, with 0.5% DMSO, in the absence and the presence of copper(II) and incubated for 24h or 48 h. Untreated HeLa cells and HeLa cells treated with 0.5% DMSO were used as control. The effect of the target compounds on the viability of HeLa cells was assessed using the MTT (thiazolyl blue tetrazolium bromide) method. Cells were incubated with 500 μg/mL MTT and left in the dark for 4 h, at 37 °C with 5% CO2. After incubation, DMSO was used to solubilize the precipitate formed by MTT and absorbance was read at 570 nm. Cell viability was determined in relation to the control conditions. Biological quadruplicates were used in all assays.

4. Conclusions

In this work, we have developed fifteen new azole-containing tertiary amine compounds organized in three closely related structural families, each based on a different N-alkylamine azole skeleton. The target azole compounds displayed a variable copper(II)-binding degree, essentially depending on the skeleton they are built from and on the particular metal-binding function appended on the tertiary amine. The strongest copper(II) binding was found for compounds containing an 8-hydroxyquinoline function (12c, 16c, 19c), particularly when anchored on a triazole-containing skeleton. Biological studies demonstrated that the 8-hydroxyquinoline function significantly enhances the antifungal activity of the azole compounds, resulting in MIC values much lower than fluconazole. Upon the addition of copper(II), compounds containing the 8-hydroxyquinoline function lost some of their activity but showed MIC values that are still lower or comparable to fluconazole. In contrast, the remaining compounds from families 16 and 19 showed an enhanced antifungal activity upon copper(II) addition, notoriously 16b, 19a, and 19b, for which the striking MIC reduction resulted in values lower than fluconazole. Taken together, these results suggest that, in developing metal-binding antifungal strategies, it is crucial to ensure that the metal complex is stably formed before administration to minimize toxicity to non-fungal cells. To further reduce toxicity, it is also essential that the overall azole molecule is highly effective in targeting the lanosterol 14α-demethylase enzyme to guarantee specificity for fungal cells, an aim that we are currently pursuing.

Supplementary Materials

The following supporting information can be downloaded at https://www.mdpi.com/article/10.3390/inorganics12090242/s1, Characterization data of the studied compounds (NMR, ESI-HRMS), and examples of UV titrations.

Author Contributions

Conceptualization, methodology, validation, and supervision, L.M.P.L. and C.P.; investigation, T.P., C.M.-L. and L.F.; formal analysis, T.P., C.M.-L., L.M.P.L. and C.P.; writing—original draft preparation, T.P., C.M.-L., L.M.P.L. and C.P.; writing—review and editing, L.M.P.L. and C.P.; project administration, L.M.P.L.; funding acquisition, L.M.P.L. and C.P. All authors have read and agreed to the published version of the manuscript.

Funding

This research was funded by FCT—Fundação para a Ciência e a Tecnologia, I.P., through project 2022.04565.PTDC, MOSTMICRO ITQB R&D Unit (UIDB/04612/2020, UIDP/04612/2020) and LS4FUTURE Associated Laboratory (LA/P/0087/2020).

Data Availability Statement

The original contributions presented in the study are included in the article/Supplementary Material, further inquiries can be directed to the corresponding authors.

Conflicts of Interest

The authors declare no conflicts of interest.

References

  1. Fisher, M.C.; Alastruey-Izquierdo, A.; Berman, J.; Bicanic, T.; Bignell, E.M.; Bowyer, P.; Bromley, M.; Brüggemann, R.; Garber, G.; Cornely, O.A.; et al. Tackling the emerging threat of antifungal resistance to human health. Nat. Rev. Microbiol. 2022, 20, 557–571. [Google Scholar] [CrossRef] [PubMed]
  2. Bongomin, F.; Gago, S.; Oladele, R.; Denning, D. Global and Multi-National Prevalence of Fungal Diseases—Estimate precision. J. Fungi 2017, 3, 57. [Google Scholar] [CrossRef] [PubMed]
  3. Denning, D.W. Global incidence and mortality of severe fungal disease. Lancet Infect. Dis. 2024, 24, e428–e438. [Google Scholar] [CrossRef] [PubMed]
  4. Fisher, M.C.; Denning, D.W. The WHO fungal priority pathogens list as a game-changer. Nat. Rev. Microbiol. 2023, 21, 211–212. [Google Scholar] [CrossRef] [PubMed]
  5. Andes, D.; Van Ogtrop, M. Characterization and quantitation of the pharmacodynamics of fluconazole in a neutropenic murine disseminated candidiasis infection model. Antimicrob. Agents Chemother. 1999, 43, 2116–2120. [Google Scholar] [CrossRef] [PubMed]
  6. Hope, W.; Drusano, G. Antifungal pharmacokinetics and pharmacodynamics: Bridging from the bench to bedside. Clin. Microbiol. Infect. 2009, 15, 602–612. [Google Scholar] [CrossRef] [PubMed]
  7. Ząbek, A.; Nagaj, J.; Grabowiecka, A.; Dworniczek, E.; Nawrot, U.; Młynarz, P.; Jeżowska-Bojczuk, M. Activity of fluconazole and its Cu(II) complex towards Candida species. Med. Chem. Res. 2014, 24, 2005–2010. [Google Scholar] [CrossRef] [PubMed]
  8. Hunsaker, E.W.; Franz, K.J. Copper potentiates azole antifungal activity in a way that does not involve complex formation. Dalton Trans. 2019, 48, 9654–9662. [Google Scholar] [CrossRef] [PubMed]
  9. Gaspar-Cordeiro, A.; Amaral, C.; Pobre, V.; Antunes, W.; Petronilho, A.; Paixão, P.; Matos, A.P.; Pimentel, C. Copper Acts Synergistically With Fluconazole in Candida glabrata by Compromising Drug Efflux, Sterol Metabolism, and Zinc Homeostasis. Front. Microbiol. 2022, 13, 920574. [Google Scholar] [CrossRef] [PubMed]
  10. Gaspar-Cordeiro, A.; Da Silva, S.; Aguiar, M.; Rodrigues-Pousada, C.; Haas, H.; Lima, L.M.P.; Pimentel, C. A copper(II)-binding triazole derivative with ionophore properties is active against Candida spp. J. Biol. Inorg. Chem. 2020, 25, 1117–1128. [Google Scholar] [CrossRef] [PubMed]
  11. Krchová, T.; Kotek, J.; Jirák, D.; Havlíčková, J.; Císařová, I.; Hermann, P. Lanthanide(III) Complexes of Aminoethyl-DO3A as PARACEST Contrast Agents Based on Decoordination of the Weakly Bound Amino Group. Dalton Trans. 2013, 42, 15735–15747. [Google Scholar] [CrossRef] [PubMed]
  12. Yu, Q.; Kandegedara, A.; Xu, Q.; Rorabacher, D.B. Avoiding Interferences from Good’s Buffers: A Contiguous Series of Noncomplexing Tertiary Amine Buffers Covering the Entire Range of pH 3–11. Anal. Biochem. 1997, 253, 50–56. [Google Scholar] [CrossRef] [PubMed]
  13. Gans, P.; Sabatini, A.; Vacca, A. Determination of Equilibrium Constants from Spectrophotometric Data Obtained from Solutions of Known pH: The Program pHab. Ann. Chim. 1999, 89, 45–49. [Google Scholar]
  14. Gans, P.; Sabatini, A.; Vacca, A. Investigation of Equilibria in Solution. Determination of Equilibrium Constants with the HYPERQUAD Suite of Programs. Talanta 1996, 43, 1739–1753. [Google Scholar] [CrossRef] [PubMed]
  15. Alderighi, L.; Gans, P.; Ienco, A.; Peters, D.; Sabatini, A.; Vacca, A. Hyperquad Simulation and Speciation (HySS): A Utility Program for the Investigation of Equilibria Involving Soluble and Partially Soluble Species. Coord. Chem. Rev. 1999, 184, 311–318. [Google Scholar] [CrossRef]
  16. Clinical and Laboratory Standards Institute. Reference Method for Broth Dilution Antifungal Susceptibility Testing of Yeasts. CLSI Standard M27, 4th ed. 2017. Available online: https://clsi.org/standards/products/microbiology/documents/m27/ (accessed on 8 February 2022).
Scheme 1. Design of target copper(II)-binding azole compounds based on fluconazole. The pharmacophore fragments are represented in blue, and the metal-binding function in red.
Scheme 1. Design of target copper(II)-binding azole compounds based on fluconazole. The pharmacophore fragments are represented in blue, and the metal-binding function in red.
Inorganics 12 00242 sch001
Scheme 2. Synthesis of intermediate N-alkylamine triazole skeletons.
Scheme 2. Synthesis of intermediate N-alkylamine triazole skeletons.
Inorganics 12 00242 sch002
Scheme 3. Synthesis of target azole compounds.
Scheme 3. Synthesis of target azole compounds.
Inorganics 12 00242 sch003
Figure 1. Graphical representation of the pCu values of the studied compounds at pH = 7 and 100 μM concentration of total copper and ligand. Each color represents a metal-binding function (blue—pyridine, cyan—quinoline, green—8-hydroxyquinoline, red—2-methoxyphenol, and pink—4-bromophenol).
Figure 1. Graphical representation of the pCu values of the studied compounds at pH = 7 and 100 μM concentration of total copper and ligand. Each color represents a metal-binding function (blue—pyridine, cyan—quinoline, green—8-hydroxyquinoline, red—2-methoxyphenol, and pink—4-bromophenol).
Inorganics 12 00242 g001
Figure 2. Biological properties of the compounds 12c, 16c, and 19c containing an 8-hydroxyquinoline metal-binding function. The ergosterol levels (A) of Candida glabrata cells left untreated or treated with the MIC concentration of the compounds in the presence or absence of Cu(II) or with 104.5 μM of fluconazole (Fluc) was measured by HPLC. Values are the means of three biological replicates and asterisks * or *** indicate p ≤ 0.05 or p ≤ 0.001, respectively. The intracellular levels of iron (B) and copper (C) in Candida glabrata cells left untreated or treated with the MIC concentration of the compounds were measured by ICP-AES. Values are the means of four biological replicates and asterisks *** indicates p ≤ 0.001 and **** p ≤ 0.0001. The cytotoxicity of the compounds in HeLa cells, in the absence (D) or presence (E) of Cu(II), was assessed using the MTT method. Values represent the mean of four biological replicates and are expressed as the percentage of viability relative to the control condition (cells treated with 0.5% DMSO).
Figure 2. Biological properties of the compounds 12c, 16c, and 19c containing an 8-hydroxyquinoline metal-binding function. The ergosterol levels (A) of Candida glabrata cells left untreated or treated with the MIC concentration of the compounds in the presence or absence of Cu(II) or with 104.5 μM of fluconazole (Fluc) was measured by HPLC. Values are the means of three biological replicates and asterisks * or *** indicate p ≤ 0.05 or p ≤ 0.001, respectively. The intracellular levels of iron (B) and copper (C) in Candida glabrata cells left untreated or treated with the MIC concentration of the compounds were measured by ICP-AES. Values are the means of four biological replicates and asterisks *** indicates p ≤ 0.001 and **** p ≤ 0.0001. The cytotoxicity of the compounds in HeLa cells, in the absence (D) or presence (E) of Cu(II), was assessed using the MTT method. Values represent the mean of four biological replicates and are expressed as the percentage of viability relative to the control condition (cells treated with 0.5% DMSO).
Inorganics 12 00242 g002
Table 1. Conditional copper(II)-binding constants and pCu values for each target compound. Values in parentheses are the standard deviations in the last significant figure.
Table 1. Conditional copper(II)-binding constants and pCu values for each target compound. Values in parentheses are the standard deviations in the last significant figure.
Compoundlog β(M2L)log β(ML)log β(ML2)pCu
12a-3.93(1)-4.19
12b-3.83(4)-4.17
12c-6.39(1)10.85(2)4.97
12d-- 7.03(3)4.03
12e-- 7.23(1)4.05
13e-- 7.66(5)4.08
16a-4.50(1)-4.37
16b-4.38(3)-4.33
16c11.14(3)6.02(2)10.64(2)5.40
16d-- 7.44(1)4.06
16e-- 7.96(3)4.11
19a-5.67(1)-4.87
19c11.81(3)6.48(2)10.19(5)5.86
19d-3.35(1)-4.07
19e-3.89(1)-4.18
Table 2. In vitro susceptibility of Candida glabrata to each target compound.
Table 2. In vitro susceptibility of Candida glabrata to each target compound.
MIC50 (µM)
CompoundCu(II)
+
Fluconazole104.5-
12a100200
12b50200
12c3.12525
12d100200
12e25100
13e100100
16a800200
16b80050
16c6.2550
16d400100
16e800400
19a80050
19c6.25100
19d80050
Disclaimer/Publisher’s Note: The statements, opinions and data contained in all publications are solely those of the individual author(s) and contributor(s) and not of MDPI and/or the editor(s). MDPI and/or the editor(s) disclaim responsibility for any injury to people or property resulting from any ideas, methods, instructions or products referred to in the content.

Share and Cite

MDPI and ACS Style

Pissarro, T.; Malta-Luís, C.; Ferreira, L.; Pimentel, C.; Lima, L.M.P. Synthesis, Copper(II) Binding, and Antifungal Activity of Tertiary N-Alkylamine Azole Derivatives. Inorganics 2024, 12, 242. https://doi.org/10.3390/inorganics12090242

AMA Style

Pissarro T, Malta-Luís C, Ferreira L, Pimentel C, Lima LMP. Synthesis, Copper(II) Binding, and Antifungal Activity of Tertiary N-Alkylamine Azole Derivatives. Inorganics. 2024; 12(9):242. https://doi.org/10.3390/inorganics12090242

Chicago/Turabian Style

Pissarro, Teresa, Cláudia Malta-Luís, Luana Ferreira, Catarina Pimentel, and Luís M. P. Lima. 2024. "Synthesis, Copper(II) Binding, and Antifungal Activity of Tertiary N-Alkylamine Azole Derivatives" Inorganics 12, no. 9: 242. https://doi.org/10.3390/inorganics12090242

APA Style

Pissarro, T., Malta-Luís, C., Ferreira, L., Pimentel, C., & Lima, L. M. P. (2024). Synthesis, Copper(II) Binding, and Antifungal Activity of Tertiary N-Alkylamine Azole Derivatives. Inorganics, 12(9), 242. https://doi.org/10.3390/inorganics12090242

Note that from the first issue of 2016, this journal uses article numbers instead of page numbers. See further details here.

Article Metrics

Back to TopTop