Sodium Filling in Superadamantoide Na1.36(Si0.86Ga0.14)2As2.98 and the Mixed Valent Arsenidosilicate-Silicide Li1.5Ga0.9Si3.1As4
Abstract
1. Introduction
2. Results and Discussion
3. Materials and Methods
3.1. Synthesis
3.2. Single-Crystal X-ray Diffraction
3.3. Powder X-ray Diffraction
3.4. Solid-State MAS-NMR
3.5. Energy-Dispersive X-ray Spectroscopy
3.6. Scanning Transmission Electron Microscopy
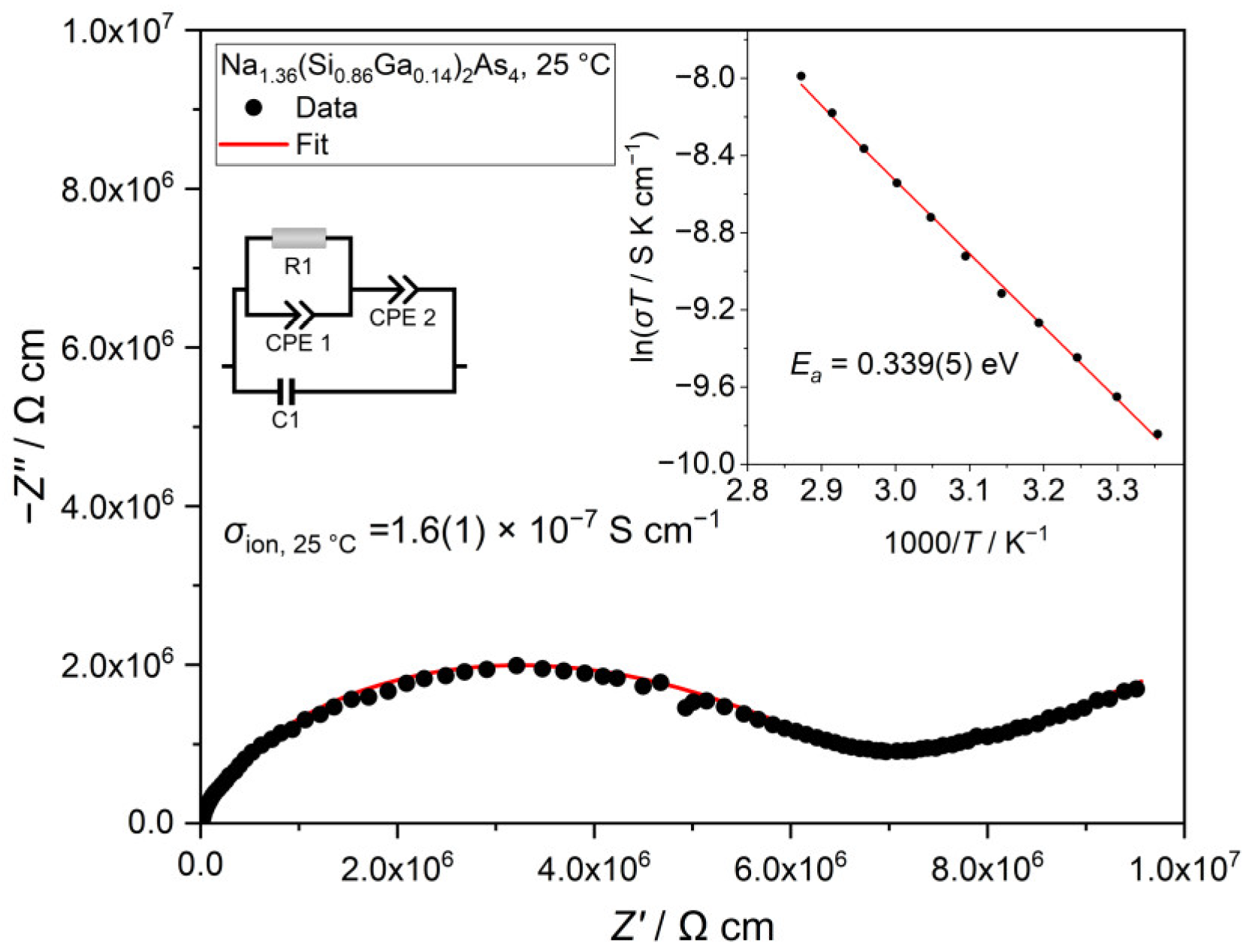
3.7. Electrochemical Measurements
4. Conclusions
Supplementary Materials
Author Contributions
Funding
Data Availability Statement
Acknowledgments
Conflicts of Interest
References
- Wang, L.; Li, J.; Lu, G.; Li, W.; Tao, Q.; Shi, C.; Jin, H.; Chen, G.; Wang, S. Fundamentals of electrolytes for solid-state batteries: Challenges and perspectives. Front. Mater. 2020, 7, 111. [Google Scholar] [CrossRef]
- Sun, Y.-K. Promising all-solid-state batteries for future electric vehicles. ACS Energy Lett. 2020, 5, 3221–3223. [Google Scholar] [CrossRef]
- Gao, Z.; Sun, H.; Fu, L.; Ye, F.; Zhang, Y.; Luo, W.; Huang, Y. Promises, challenges, and recent progress of inorganic solid-state electrolytes for all-solid-state lithium batteries. Adv. Mater. 2018, 30, e1705702. [Google Scholar] [CrossRef] [PubMed]
- Lim, H.-D.; Park, J.-H.; Shin, H.-J.; Jeong, J.; Kim, J.T.; Nam, K.-W.; Jung, H.-G.; Chung, K.Y. A review of challenges and issues concerning interfaces for all-solid-state batteries. Energy Storage Mater. 2020, 25, 224–250. [Google Scholar] [CrossRef]
- Zaman, W.; Hatzell, K.B. Processing and manufacturing of next generation lithium-based all solid-state batteries. Curr. Opin. Solid State Mater. Sci. 2022, 26, 101003. [Google Scholar] [CrossRef]
- Banerjee, A.; Wang, X.; Fang, C.; Wu, E.A.; Meng, Y.S. Interfaces and interphases in all-solid-state batteries with inorganic solid electrolytes. Chem. Rev. 2020, 120, 6878–6933. [Google Scholar] [CrossRef]
- Toffoletti, L.; Kirchhain, H.; Landesfeind, J.; Klein, W.; van Wullen, L.; Gasteiger, H.A.; Fassler, T.F. Lithium ion mobility in lithium phosphidosilicates: Crystal structure, 7Li, 29Si, and 31P mas nmr spectroscopy, and impedance spectroscopy of Li8SiP4 and Li2SiP2. Chemistry 2016, 22, 17635–17645. [Google Scholar] [CrossRef] [PubMed]
- Strangmuller, S.; Eickhoff, H.; Muller, D.; Klein, W.; Raudaschl-Sieber, G.; Kirchhain, H.; Sedlmeier, C.; Baran, V.; Senyshyn, A.; Deringer, V.L.; et al. Fast ionic conductivity in the most lithium-rich phosphidosilicate Li14SiP6. J. Am. Chem. Soc. 2019, 141, 14200–14209. [Google Scholar] [CrossRef] [PubMed]
- Eickhoff, H.; Strangmüller, S.; Klein, W.; Kirchhain, H.; Dietrich, C.; Zeier, W.G.; van Wüllen, L.; Fässler, T.F. Lithium phosphidogermanates α- and β-Li8GeP4—A novel compound class with mixed Li+ ionic and electronic conductivity. Chem. Mater. 2018, 30, 6440–6448. [Google Scholar] [CrossRef]
- Haffner, A.; Brauniger, T.; Johrendt, D. Supertetrahedral Networks and Lithium-Ion Mobility in Li2SiP2 and LiSi2P3. Angew. Chem. Int. Ed. Engl. 2016, 55, 13585–13588. [Google Scholar] [CrossRef]
- Haffner, A.; Hatz, A.K.; Moudrakovski, I.; Lotsch, B.V.; Johrendt, D. Fast sodium-ion conductivity in supertetrahedral phosphidosilicates. Angew. Chem. Int. Ed. Engl. 2018, 57, 6155–6160. [Google Scholar] [CrossRef]
- Haffner, A.; Hatz, A.K.; Zeman, O.E.O.; Hoch, C.; Lotsch, B.V.; Johrendt, D. Polymorphism and fast potassium-ion conduction in the T5 supertetrahedral phosphidosilicate KSi2P3. Angew. Chem. Int. Ed. Engl. 2021, 60, 13641–13646. [Google Scholar] [CrossRef]
- Weippert, V.; Haffner, A.; Stamatopoulos, A.; Johrendt, D. Supertetrahedral layers based on GaAs or InAs. J. Am. Chem. Soc. 2019, 141, 11245–11252. [Google Scholar] [CrossRef]
- Weippert, V.; Haffner, A.; Johrendt, D. New layered supertetrahedral compounds T2-MSiAs2, T3-MGaSiAs3 and polytypic T4-M4Ga5SiAs9 (M = Sr, Eu). Z. Naturforschung B 2020, 75, 983–989. [Google Scholar] [CrossRef]
- Wang, C.; Bu, X.; Zheng, N.; Feng, P. Nanocluster with one missing core atom: A three-dimensional hybrid superlattice built from dual-sized supertetrahedral clusters. J. Am. Chem. Soc. 2002, 124, 10268–10269. [Google Scholar] [CrossRef] [PubMed]
- Sasaki, T.; Takizawa, H.; Uheda, K.; Yamashita, T.; Endo, T. High-pressure synthesis and crystal structure of B2S3. J. Solid State Chem. 2002, 166, 164–170. [Google Scholar] [CrossRef]
- Perrier, C.; Kreisel, J.; Vincent, H.; Chaix-Pluchery, O.; Madar, R. Synthesis, crystal structure, physical properties and Raman spectroscopy of transition metal phospho-silicides MSixPy (M = Fe, Co, Ru, Rh, Pd, Os, Ir, Pt). J. Alloys Compd. 1997, 262–263, 71–77. [Google Scholar] [CrossRef]
- Yox, P.; Lee, S.J.; Wang, L.L.; Jing, D.; Kovnir, K. Crystal structure and properties of layered pnictides BaCuSi2Pn3 (Pn = P, As). Inorg. Chem. 2021, 60, 5627–5634. [Google Scholar] [CrossRef] [PubMed]
- Zhang, X.; Yu, T.; Li, C.; Wang, S.; Tao, X. Synthesis and crystal structures of the calcium silicon phosphides Ca2Si2P4, Ca3Si8P14 and Ca3Si2P4. Z. Für Anorg. Und Allg. Chem. 2015, 641, 1545–1549. [Google Scholar] [CrossRef]
- Haffner, A.; Zeman, O.E.O.; Brauniger, T.; Johrendt, D. Supertetrahedral anions in the phosphidosilicates Na1.25Ba0.875Si3P5 and Na31Ba5Si52P83. Dalton Trans. 2021, 50, 9123–9128. [Google Scholar] [CrossRef]
- Weidemann, M.L.; Calaminus, R.; Menzel, N.; Johrendt, D. The phosphidosilicates AE2Li4SiP4 (AE = Ca, Sr, Eu) Ba4Li16Si3P12. Chemistry 2024, 30, e202303696. [Google Scholar] [CrossRef] [PubMed]
- Macdonald, J.R.; Johnson, W.B. Impedance Spectroscopy: Theory, Experiment, Applications, 2nd ed.; John Wiley & Sons, Inc.: Hoboken, NJ, USA, 2005. [Google Scholar]
- Lasia, A. The origin of the constant phase element. J. Phys. Chem. Lett. 2022, 13, 580–589. [Google Scholar] [CrossRef] [PubMed]
- Kuhn, A.; Gerbig, O.; Zhu, C.; Falkenberg, F.; Maier, J.; Lotsch, B.V. A new ultrafast superionic Li-conductor: Ion dynamics in Li11Si2PS12 and comparison with other tetragonal LGPS-type electrolytes. Phys. Chem. Chem. Phys. 2014, 16, 14669–14674. [Google Scholar] [CrossRef] [PubMed]
- Brug, G.J.; van den Eeden, A.L.G.; Sluyters-Rehbach, M.; Sluyters, J.H. The analysis of electrode impedances complicated by the presence of a constant phase element. J. Electroanal. Chem. Interfacial Electrochem. 1984, 176, 275–295. [Google Scholar] [CrossRef]
- Irvine, J.T.S.; Sinclair, D.C.; West, A.R. Electroceramics: Characterization by impedance spectroscopy. Adv. Mater. 1990, 2, 132–138. [Google Scholar] [CrossRef]
- Huggins, R.A. Simple method to determine electronic and ionic components of the conductivity in mixed conductors a review. Ionics 2002, 8, 300–313. [Google Scholar] [CrossRef]
- APEX III, v2016.5-0 ed.; Bruker AXS Inc.: Madison, WI, USA, 2016.
- SADABS, Version 2012/1; Bruker AXS Inc.: Madison, WI, USA, 2001.
- XPrep—Reciprocal Space Exploration, Version 2008/2; Bruker AXS Inc.: Madison, WI, USA, 2008.
- Dolomanov, O.; Bourhis, L.; Gildea, R.; Howard, J.; Puschmann, H. OLEX2: A complete structure solution, refinement and analysis program. J. Appl. Cryst. 2009, 42, 339–341. [Google Scholar] [CrossRef]
- Brandenburg, K. Diamond, Version 3.2k; Crystal Impact: Bonn, Germany, 2014.
- Coelho, A. TOPAS-Academic, Version 4.1; Coelho Software: Brisbane, Australia, 2007.
- SmartSEM, Version 5.07; Beta; Carl Zeiss Microscopy Ltd.: Cambridge, UK, 2014.
- QUANTAX 200, Version 1.9.4.3448; Bruker Nano GmbH: Berlin, Germany, 2013.
- JEMs, Version 3.3.425; JEOL: Freising, Germany, 2008.
- Velox, Version 3.0.0.815; ThermoFischer Scientific: Waltham, MA, USA, 2021.
- Nuernberg, R.B. Numerical comparison of usual Arrhenius-type equations for modeling ionic transport in solids. Ionics 2019, 26, 2405–2412. [Google Scholar] [CrossRef]












| Formula | Na1.36(Si0.86Ga0.14)2As2.98 | Li1.5Ga0.9Si3.1As4 |
|---|---|---|
| formula mass/g mol−1 | 322.59 | 460.00 |
| space group | I 41/a (No. 88) | C2/c (No. 15) |
| a/Å | 19.8772(4) | 10.8838(6) |
| b/Å | a | 10.8821(6) |
| c/Å | 37.652(1) | 13.1591(7) |
| β/deg | 90 | 101.904(3) |
| Vcell/Å3 | 14,876.3(7) | 1525.0(1) |
| Z | 100 | 8 |
| ρX-ray/g cm−1 | 3.601 | 4.007 |
| µ/mm−1 | 18.189 | 20.887 |
| radiation | Mo-Kα | Mo-Kα |
| θ-range/° | 2.35–30.50 | 5.36–29.39 |
| reflections measured | 157,235 | 13,182 |
| independent reflections | 11,375 | 13,182 |
| refined parameters | 373 | 98 |
| Rσ | 0.0498 | |
| Rint | 0.0235 | 0.0894 |
| R1 (F > 2σ(F)/all) | 0.0243/0.0300 | 0.0530/0.0784 |
| wR2 (F2 > 2σ(F2)/all) | 0.0543/0.0561 | 0.1597/0.1766 |
| GooF | 1.118 | 1.034 |
| Δρmax, Δρmin/e Å3 | 0.14/−0.99 | 2.63/−1.74 |
| Twin volume fractions | 0.499(7)/0.501(7) |
Disclaimer/Publisher’s Note: The statements, opinions and data contained in all publications are solely those of the individual author(s) and contributor(s) and not of MDPI and/or the editor(s). MDPI and/or the editor(s) disclaim responsibility for any injury to people or property resulting from any ideas, methods, instructions or products referred to in the content. |
© 2024 by the authors. Licensee MDPI, Basel, Switzerland. This article is an open access article distributed under the terms and conditions of the Creative Commons Attribution (CC BY) license (https://creativecommons.org/licenses/by/4.0/).
Share and Cite
Schöneich, M.; Balzat, L.G.; Lotsch, B.V.; Johrendt, D. Sodium Filling in Superadamantoide Na1.36(Si0.86Ga0.14)2As2.98 and the Mixed Valent Arsenidosilicate-Silicide Li1.5Ga0.9Si3.1As4. Inorganics 2024, 12, 166. https://doi.org/10.3390/inorganics12060166
Schöneich M, Balzat LG, Lotsch BV, Johrendt D. Sodium Filling in Superadamantoide Na1.36(Si0.86Ga0.14)2As2.98 and the Mixed Valent Arsenidosilicate-Silicide Li1.5Ga0.9Si3.1As4. Inorganics. 2024; 12(6):166. https://doi.org/10.3390/inorganics12060166
Chicago/Turabian StyleSchöneich, Marlo, Lucas G. Balzat, Bettina V. Lotsch, and Dirk Johrendt. 2024. "Sodium Filling in Superadamantoide Na1.36(Si0.86Ga0.14)2As2.98 and the Mixed Valent Arsenidosilicate-Silicide Li1.5Ga0.9Si3.1As4" Inorganics 12, no. 6: 166. https://doi.org/10.3390/inorganics12060166
APA StyleSchöneich, M., Balzat, L. G., Lotsch, B. V., & Johrendt, D. (2024). Sodium Filling in Superadamantoide Na1.36(Si0.86Ga0.14)2As2.98 and the Mixed Valent Arsenidosilicate-Silicide Li1.5Ga0.9Si3.1As4. Inorganics, 12(6), 166. https://doi.org/10.3390/inorganics12060166

