Synthesis of High-Crystallinity Mg-Al Hydrotalcite with a Nanoflake Morphology and Its Adsorption Properties for Cu2+ from an Aqueous Solution
Abstract
:1. Introduction
2. Materials and Methods
2.1. Materials
2.2. Adsorbent Preparation
2.3. Adsorption Experiment Method
2.4. Analytical and Characterization Methods
3. Results and Discussion
3.1. Sample Characterization
3.2. Batch Adsorption of Cu2+ onto the Mg-Al LDH
3.2.1. The Effect of Solution pH on Cu2+ Adsorption
3.2.2. Adsorption Kinetics
3.2.3. The Effect of Dosage on Cu2+ Adsorption
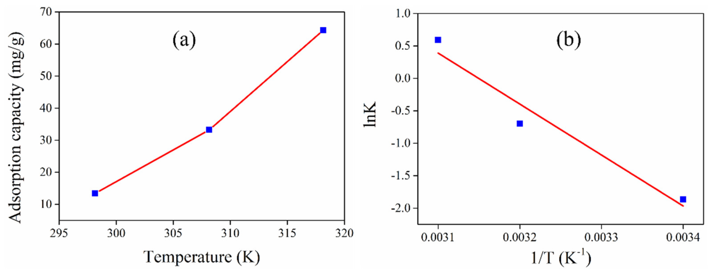
3.2.4. Adsorption Thermodynamics
4. Conclusions
Author Contributions
Funding
Institutional Review Board Statement
Informed Consent Statement
Data Availability Statement
Conflicts of Interest
References
- Lin, G.; Zeng, B.; Li, J.; Wang, Z.-Y.; Wang, S.-X.; Hu, T.; Zhang, L.-B. A systematic review of metal organic frameworks materials for heavy metal removal: Synthesis, applications and mechanism. Chem. Eng. J. 2023, 460, 141710. [Google Scholar] [CrossRef]
- Zheng, L.; Lin, H.; Dong, Y.; Li, B.; Lu, Y. A promising approach for simultaneous removal of ammonia and multiple heavy metals from landfill leachate by carbonate precipitating bacterium. J. Hazard. Mater. 2023, 456, 131662. [Google Scholar] [CrossRef]
- Zhao, K.; Zhao, X.; Gao, T.; Li, X.; Wang, G.; Pan, X.; Wang, J. Dielectrophoresis-assisted removal of Cd and Cu heavy metal ions by using Chlorella microalgae. Environ. Pollut. 2023, 334, 122110. [Google Scholar] [CrossRef]
- Zhao, D.; Peng, Z.; Fang, J.; Fang, Z.; Zhang, J. Programmable and low-cost biohybrid membrane for efficient heavy metal removal from water. Sep. Purif. Technol. 2023, 306, 122751. [Google Scholar] [CrossRef]
- Eibshary, R.; Gouda, A.; Sheikh, R.; Alqahtani, M.; Hanfi, M.; Atia, B.; Sakr, A.; Gado, M. Recovery of W(VI) from wolframite ore using new synthetic chiff base derivative. Int. J. Mol. Sci. 2023, 24, 7423. [Google Scholar] [CrossRef] [PubMed]
- Chang, X.; Yan, J.; Ding, X.; Jia, Y.; Li, S.; Zhang, M. One-dimensional CoMoP nanostructures as bifunctional electrodes for overall water splitting. Nanomaterials 2022, 12, 3866. [Google Scholar] [CrossRef] [PubMed]
- Tripathi, S.; Sharma, P.; Singh, K.; Purchase, D.; Chandra, R. Translocation of heavy metals in medicinally important herbal plants growing on complex organometallic sludge of sugarcane molasses-based distillery waste. Environ. Technol. Innov. 2021, 22, 101434. [Google Scholar] [CrossRef]
- Chen, Q.; Yao, Y.; Li, X.; Lu, J.; Zhou, J.; Huang, Z. Comparison of heavy metal removals from aqueous solutions by chemical precipitation and characteristics of precipitates. J. Water Process Eng. 2018, 26, 289–300. [Google Scholar] [CrossRef]
- Li, K.; Wang, C.; Hu, H.; Zhang, Q. Selective removal of copper from heavy-metals-containing acidic solution by a mechanochemical reduction with zero-valent silicon. Chem. Eng. J. 2023, 466, 143246. [Google Scholar] [CrossRef]
- Fu, Z.-J.; Jiang, S.-K.; Chao, X.-Y.; Zhang, C.-X.; Shi, Q.; Wang, Z.-Y.; Liu, M.-L.; Sun, S.-P. Removing miscellaneous heavy metals by all-in-one ion exchange-nanofiltration membrane. Water Res. 2022, 222, 118888. [Google Scholar] [CrossRef]
- Long, X.; Zhao, G.-Q.; Zheng, Y.-J.; Hu, J.; Zuo, Y.; Luo, W.-J.; Jiao, F.-P. A precise pyromellitic acid grafting prepared multifunctional Mxene membranes for efficient oil-in-water emulsion separation and heavy metal ions removal. Chem. Eng. J. 2023, 472, 144904. [Google Scholar] [CrossRef]
- Kushwaha, J.; Singh, R. Cellulose hydrogel and its derivatives: A review of application in heavy metal adsorption. Inorg. Chem. Commun. 2023, 152, 110721. [Google Scholar] [CrossRef]
- Xiao, X.; Sun, Y.; Liu, J.; Zheng, H. Flocculation of heavy metal by functionalized starch-based bioflocculants: Characterization and process evaluation. Sep. Purif. Technol. 2021, 267, 118628. [Google Scholar] [CrossRef]
- Aoun, M.; El Samrani, A.G.; Lartiges, B.S.; Kazpard, V.; Saad, Z. Releases of phosphate fertilizer industry in the surrounding environment: Investigation on heavy metals and polonium-210 in soil. J. Environ. Sci. 2010, 22, 1387–1397. [Google Scholar] [CrossRef]
- Sowmya, P.; Prakash, S.; Joseph, A. Adsorption of heavy metal ions by thiophene containing mesoporous polymers: An experimental and theoretical study. J. Solid State Chem. 2023, 320, 123836. [Google Scholar] [CrossRef]
- Zhou, Y.; Gao, B.; Zimmerman, A.R.; Fang, J.; Sun, Y.; Cao, X. Sorption of heavy metals on chitosan-modified biochars and its biological effects. Chem. Eng. J. 2013, 231, 512–518. [Google Scholar] [CrossRef]
- Kim, C.-Y.; Kim, S.H.; An, H.-R.; Park, J.-I.; Jang, Y.; Seo, J.; Kim, H.; Son, B.; Jeong, Y.; Jeong, B.; et al. Iron oxide incorporated carbide nanofiber composites for removal of organic pollutants and heavy metals from water. Ceram. Int. 2023, 49, 17984–17992. [Google Scholar] [CrossRef]
- Song, W.; Zhang, X.; Zhang, L.; Yu, Z.; Li, X.; Li, Y.; Cui, Y.; Zhao, Y.; Yan, L. Removal of various aqueous heavy metals by polyethylene glycol modified MgAl-LDH: Adsorption mechanisms and vital role of precipitation. J. Mol. Liq. 2023, 375, 121386. [Google Scholar] [CrossRef]
- Sankararamakrishnan, N.; Jaiswal, M.; Verma, N. Composite nanofloral clusters of carbon nanotubes and activated alumina: An efficient sorbent for heavy metal removal. Chem. Eng. J. 2014, 235, 1–9. [Google Scholar] [CrossRef]
- Ramraj, S.M.; Kubaib, A.; Imran, P.M.; Thirupathy, M.K. Utilizing Sida Acuta leaves for low-cost adsorption of chromium (VI) heavy metal with activated charcoal. J. Hazard. Mater. 2023, 11, 100338. [Google Scholar] [CrossRef]
- Yang, Z.-Z.; Wei, J.-J.; Zeng, G.-M.; Zhang, H.-Q.; Tan, X.-F.; Ma, C.; Li, X.-C.; Li, Z.-H.; Zhang, C. A review on strategies to LDH-based materials to improve adsorption capacity and photoreduction efficiency for CO2. Coord. Chem. Rev. 2019, 386, 154–182. [Google Scholar] [CrossRef]
- Kumar, P.; Gill, K.; Kumar, S.; Ganguly, S.; Jain, S. Magnetic Fe3O4 @MgAl–LDH composite grafted with cobalt phthalocyanine as an efficient heterogeneous catalyst for the oxidation of mercaptans. J. Mol. Catal. A-Chem. 2019, 401, 48–54. [Google Scholar] [CrossRef]
- Tran, H.N.; Lin, C.; Woo, S.H.; Chao, H. Efficient removal of copper and lead by Mg/Al layered double hydroxides intercalated with organic acid anions: Adsorption kinetics, isotherms, and thermodynamics. Appl. Clay Sci. 2018, 154, 17–27. [Google Scholar] [CrossRef]
- Huang, D.; Liu, C.; Zhang, C.; Deng, R.; Wang, R.; Xue, W.; Luo, H.; Zeng, G.; Zhang, Q.; Guo, X. Cr(VI) removal from aqueous solution using biochar modified with Mg/Al layered double hydroxide intercalated with ethylenediaminetetraacetic acid. Bioresour. Technol. 2019, 276, 127–132. [Google Scholar] [CrossRef]
- Soltani, R.; Marjani, A.; Shirazian, S. A hierarchical LDH/MOF nanocomposite: Single, simultaneous and consecutive adsorption of a reactive dye and Cr(VI). Dalton Trans. 2020, 49, 5323–5335. [Google Scholar] [CrossRef]
- Liu, H.; Ji, P.; Han, X. Rheological phase synthesis of nanosized α-LiFeO2 with higher crystallinity degree for cathode material of lithium-ion batteries. Mater. Chem. Phys. 2016, 183, 152–157. [Google Scholar] [CrossRef]
- Wang, Z.; Li, Q.; Chen, X.; Zhang, Q.; Wang, K. High crystallinity makes excellent wear resistance in crosslinked UHMWPE. Polymer 2023, 280, 126059. [Google Scholar] [CrossRef]
- Zhang, J.; Wang, X.; Zhan, S.; Li, H.; Ma, C.; Qiu, Z. Synthesis of Mg/Al-LDH nanoflakes decorated magnetic mesoporous MCM-41 and its application in humic acid adsorption. Microchem. J. 2021, 162, 105839. [Google Scholar] [CrossRef]
- Fang, C.; Liu, W.; Dai, Y.; Wang, Z.; Li, Y.; Cai, L.; Liu, B.; Yang, S.; Wang, J.; Ding, X.; et al. Synthesis of a novel hierarchical pillared Sep@Fe3O4/ZnAl-LDH composite for effective anionic dyes removal. Colloid. Surf. A 2023, 663, 130921. [Google Scholar]
- Chen, X.; Liu, W.; Luo, L.; Han, Y.; Zhang, H.; Zheng, S.; Zhang, Y.; Li, P. A green desilication method from highly concentrated chromate solutions by Mg-Al-CO3 LDH. Sep. Purif. Technol. 2022, 286, 120432. [Google Scholar] [CrossRef]
- Zeng, B.; Wang, Q.; Mo, L.; Jin, F.; Zhu, J.; Tang, M. Synthesis of Mg-Al LDH and its calcined form with natural materials for efficient Cr(VI) removal. J. Environ. Chem. Eng. 2022, 10, 108605. [Google Scholar] [CrossRef]
- Jiménez-López, B.A.; Leyva-Ramos, R.; Salazar-Rábago, J.J.; Jacobo-Azuara, A.; Aragón-Piña, A. Adsorption of selenium (iv) oxoanions on calcined layered double hydroxides of Mg-Al-CO3 from aqueous solution. Effect of calcination and reconstruction of lamellar structure, Environmental Nanotechnology. Monit. Manag. 2021, 16, 100580. [Google Scholar] [CrossRef]
- Liu, S.; Li, M.; Tang, Y.; Wen, X. A novel Fe3O4/MgAl-LDH hollow microspheres for effective removal of dyes from wastewater. J. Alloys Compd. 2023, 959, 170528. [Google Scholar] [CrossRef]
- Kruk, M.; Jaroniec, M. Gas adsorption characterization of ordered organic-inorganic nanocomposite materials. Chem. Mater. 2001, 13, 3169–3183. [Google Scholar] [CrossRef]
- Thommes, M.; Kaneko, K.; Neimark, A.-V.; Olivier, F.-R.; Rouquerol, J.; Sing, K.-S.-W. Physisorption of gases, with special reference to the evaluation of surface area and pore size distribution (IUPAC Technical Report). Pure Appl. Chem. 2015, 87, 1051–1069. [Google Scholar] [CrossRef]
- Xiao, L.; Ma, W.; Han, M.; Cheng, Z. The influence of ferric iron in calcined nano-Mg/Al hydrotalcite on adsorption of Cr (VI) from aqueous solution. J. Hazard. Mater. 2011, 186, 690–698. [Google Scholar] [CrossRef]
- Tran, H.-N.; Lin, C.-C.; Chao, H.-P. Amino acids-intercalated Mg/Al layered double hydroxides as dual-electronic adsorbent for effective removal of cationic and oxyanionic metal ions. Sep. Purif. Technol. 2018, 192, 36–45. [Google Scholar] [CrossRef]
- Palmer, S.J.; Frost, R.L.; Nguyen, T. Hydrotalcites and their role in coordination of anions in Bayer liquors: Anion binding in layered double hydroxides. Coord. Chem. Rev. 2009, 253, 250–267. [Google Scholar] [CrossRef]
- Xu, Z.P.; Jin, Y.G.; Li, S.M.; Hao, Z.P.; Lu, G.Q. Surface charging of layered double hydroxides during dynamic interactions of anions at the interfaces. J. Colloid Interface Sci. 2008, 326, 522–529. [Google Scholar] [CrossRef]
- Extremera, R.; Pavlovic, I.; P’erez, M.R.; Barriga, C. Removal of acid orange 10 by calcined Mg/Al layered double hydroxides from water and recovery of the adsorbed dye. Chem. Eng. J. 2012, 213, 392–400. [Google Scholar] [CrossRef]
- Li, B.; Zhang, Y.; Zhou, X.; Liu, Z.; Liu, Q.; Li, X. Different dye removal mechanisms between monodispersed and uniform hexagonal thin plate-like MgAl–CO32−-LDH and its calcined product in efficient removal of Congo red from water. J. Alloys Compd. 2016, 673, 265–271. [Google Scholar] [CrossRef]
- Xu, N.; Liu, J.; Han, L.; Feng, B.; Li, Y.; Yang, Y.; Bian, S. Preparation, modification and adsorption properties of spinel-type H1.6Mn1.6O4 lithium-ion sieves with spiny nanotube morphology. J. Mater. Sci. 2023, 58, 4707–4725. [Google Scholar] [CrossRef]
- Rojas, R.; Perez, M.R.; Erro, E.M.; Ortiz, P.I.; Ulibarri, M.A.; Giacomelli, C.E. EDTA modified LDHs as Cu2+ scavengers: Removal kinetics and sorbent stability. J. Colloid Interface Sci. 2009, 331, 425–431. [Google Scholar] [CrossRef]
- Zhu, S.; Khan, M.A.; Wang, F.; Bano, Z.; Xia, M. Rapid removal of toxic metals Cu2+ and Pb2+ by amino trimethylene phosphonic acid intercalated layered double hydroxide: A combined experimental and DFT study. Chem. Eng. J. 2020, 392, 123711. [Google Scholar] [CrossRef]
- Miyake, Y.; Ishida, H.; Tanaka, S.; Kolev, P.S. Theoretical analysis of the pseudo-second order kinetic model of adsorption. Application to the adsorption of Ag (I) to mesoporous silica microspheres functionalized with thiol groups. Chem. Eng. J. 2013, 21, 350–357. [Google Scholar] [CrossRef]
- Ho, Y.S. Review of second-order models for adsorption systems. J. Hazard. Mater. 2006, 136, 681–689. [Google Scholar] [CrossRef]
- Hao, J.; Han, M.; Wang, C.; Meng, X.G. Enhanced removal of arsenite from water by a mesoporous hybrid material-Thiol-functionalized silica coated activated alumina. Microporous Mesoporous Mater. 2009, 124, 1–7. [Google Scholar] [CrossRef]
- Muhire, C.; Zhang, D.; Xu, X. Adsorption of uranium (VI) ions by LDH intercalated with l-methionine in acidic water: Kinetics, thermodynamics and mechanisms. Results Eng. 2022, 16, 100686. [Google Scholar] [CrossRef]
- Yuan, T.; Chen, M.; Sun, X.; Guan, J.; Zhu, F.; Tang, K.; Zhang, Z.; Liu, Q.; Chen, X. Synthesis of camphor sulfonic acid derivatives modified Mg/Al-LDH for efficient separation of propranolol enantiomers. Appl. Clay Sci. 2022, 224, 106521. [Google Scholar] [CrossRef]
- Zubair, M.; Manzar, M.S.; Mu’azu, N.D.; Anil, I.; Blaisi, N.I.; Al-Harthi, M.A. Functionalized MgAl-layered hydroxide intercalated date-palm biochar for Enhanced Uptake of Cationic dye: Kinetics, isotherm and thermodynamic studies. Appl. Clay Sci. 2020, 190, 105587. [Google Scholar] [CrossRef]
- Guo, Y.; Gong, Z.; Li, C.; Gao, B.; Li, P.; Wang, X.; Zhang, B.; Li, X. Efficient removal of uranium (VI) by 3D hierarchical Mg/Fe-LDH supported nanoscale hydroxyapatite: A synthetic experimental and mechanism studies. Chem. Eng. J. 2020, 392, 123682. [Google Scholar] [CrossRef]










| Parameters | Mg-Al LDH | Mg-Al LDO |
|---|---|---|
| BET surface area (m2/g) | 50.21 | 115.71 |
| Pore volume (cm3/g) | 0.39 | 0.31 |
| Average pore diameter (nm) | 63.03 | 42.25 |
| Experimental | Pseudo-First-Order | Pseudo-Second-Order | ||||||||
|---|---|---|---|---|---|---|---|---|---|---|
| qe (mg·g−1) | k1 (min−1) | qe (mg·g−1) | R2 | Standard Error | k2 (g·mg−1·min−1) | qe (mg·g−1) | R2 | Standard Error | ||
| 62.11 | 0.0084 | 67.32 | 0.9041 | Intercept | Slope | 0.0001 | 78.74 | 0.9532 | Intercept | Slope |
| 0.1100 | 0.00096 | 0.2407 | 0.0013 | |||||||
| Sample | T (K) | ΔGϴ (kJ/mol) | ΔHϴ (kJ/mol) | ΔSϴ (J/(mol·K) | R2 | Standard Error | |
|---|---|---|---|---|---|---|---|
| Mg-Al LDH | 298 | 3.97 | 65.24 | 205.49 | 0.9056 | Intercept | Slope |
| 308 | 1.92 | 5.6509 | 1746.40 | ||||
| 318 | −0.14 | ||||||
Disclaimer/Publisher’s Note: The statements, opinions and data contained in all publications are solely those of the individual author(s) and contributor(s) and not of MDPI and/or the editor(s). MDPI and/or the editor(s) disclaim responsibility for any injury to people or property resulting from any ideas, methods, instructions or products referred to in the content. |
© 2023 by the authors. Licensee MDPI, Basel, Switzerland. This article is an open access article distributed under the terms and conditions of the Creative Commons Attribution (CC BY) license (https://creativecommons.org/licenses/by/4.0/).
Share and Cite
Xu, N.-C.; Shi, D.-D.; Zhang, Y.; Zhong, K.-P.; Liu, J.; Zhao, Q.; Gao, Q.; Bian, S.-J. Synthesis of High-Crystallinity Mg-Al Hydrotalcite with a Nanoflake Morphology and Its Adsorption Properties for Cu2+ from an Aqueous Solution. Inorganics 2023, 11, 369. https://doi.org/10.3390/inorganics11090369
Xu N-C, Shi D-D, Zhang Y, Zhong K-P, Liu J, Zhao Q, Gao Q, Bian S-J. Synthesis of High-Crystallinity Mg-Al Hydrotalcite with a Nanoflake Morphology and Its Adsorption Properties for Cu2+ from an Aqueous Solution. Inorganics. 2023; 11(9):369. https://doi.org/10.3390/inorganics11090369
Chicago/Turabian StyleXu, Nai-Cai, Dan-Dan Shi, Ying Zhang, Kai-Peng Zhong, Jing Liu, Qi Zhao, Qiang Gao, and Shao-Ju Bian. 2023. "Synthesis of High-Crystallinity Mg-Al Hydrotalcite with a Nanoflake Morphology and Its Adsorption Properties for Cu2+ from an Aqueous Solution" Inorganics 11, no. 9: 369. https://doi.org/10.3390/inorganics11090369
APA StyleXu, N.-C., Shi, D.-D., Zhang, Y., Zhong, K.-P., Liu, J., Zhao, Q., Gao, Q., & Bian, S.-J. (2023). Synthesis of High-Crystallinity Mg-Al Hydrotalcite with a Nanoflake Morphology and Its Adsorption Properties for Cu2+ from an Aqueous Solution. Inorganics, 11(9), 369. https://doi.org/10.3390/inorganics11090369

