Benzimidazole-Based NHC Metal Complexes as Anticancer Drug Candidates: Gold(I) vs. Platinum(II)
Abstract
1. Introduction
2. Results
2.1. Synthesis and Characterisation
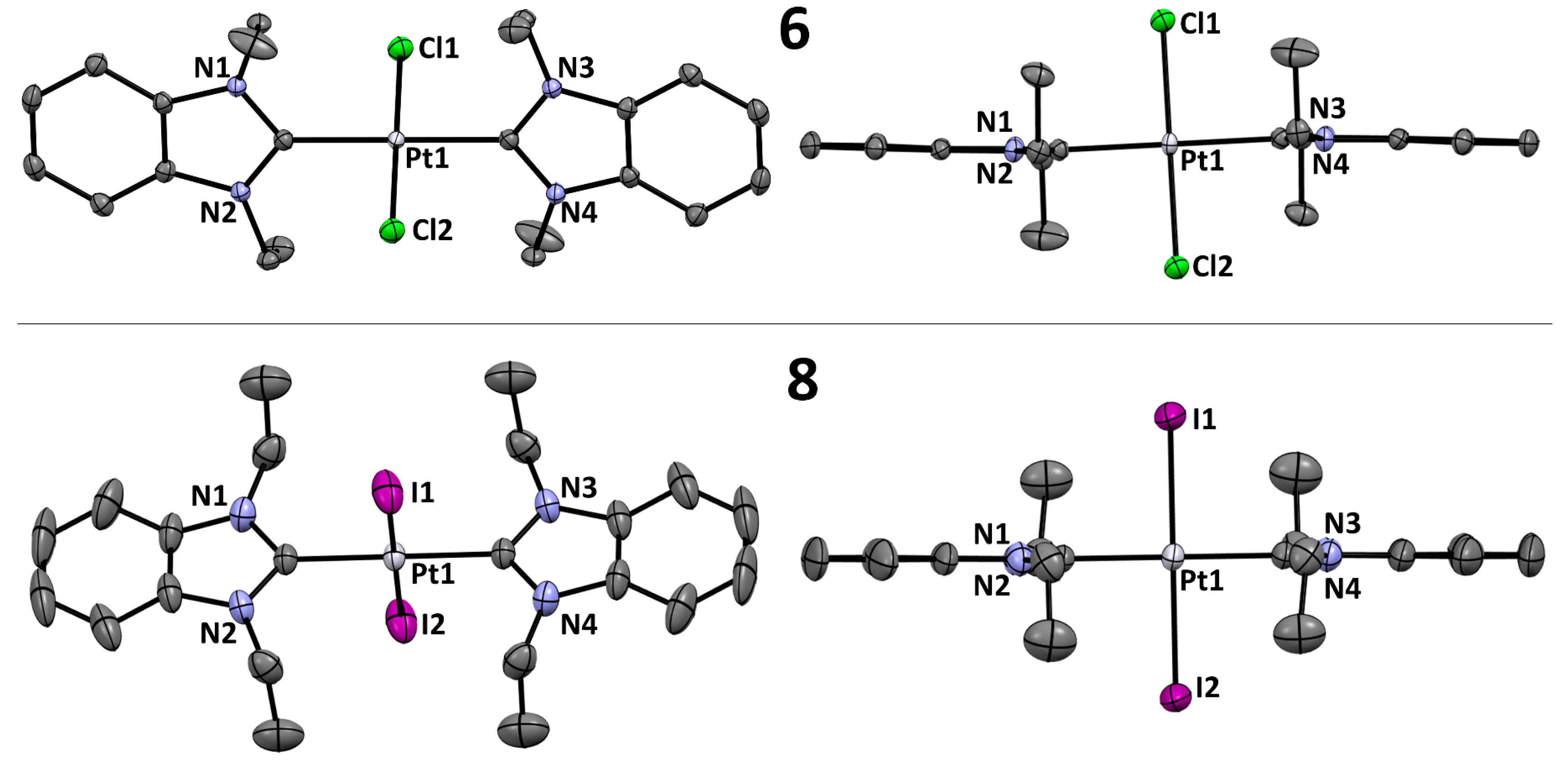
2.2. Crystal Structures
2.3. Stability in Organic Solevents and Cell Culture Medium
2.4. Reactivity toward GSH and 5′-Guanosine Monophosphate (5′-GMP)
2.5. Interference with Double Stranded Plasmid-DNA
2.6. In Vitro Cytotoxicity
3. Materials and Methods
3.1. Materials
3.2. Synthesis
3.2.1. Synthesis of Platinum Complexes (5–9)
- Method A
- Method B
3.2.2. Synthesis of Gold Complexes (10–12)
3.3. HPLC Investigations
3.4. X-ray Crystallography
3.5. Electrophoretic Double Stranded DNA Plasmid Assay
3.6. Cell Lines
3.7. Cytotoxicity Assays and Data Analysis
4. Conclusions
Supplementary Materials
Author Contributions
Funding
Data Availability Statement
Acknowledgments
Conflicts of Interest
References
- Rosenberg, B.; VanCamp, L.; Trosko, J.E.; Mansour, V.H. Platinum Compounds: A New Class of Potent Antitumour Agents. Nature 1969, 222, 385–386. [Google Scholar] [CrossRef]
- Muggia, F.M.; Bonetti, A.; Hoeschele, J.D.; Rozencweig, M.; Howell, S.B. Platinum Antitumor Complexes: 50 Years Since Barnett Rosenberg’s Discovery. J. Clin. Oncol. 2015, 33, 4219–4226. [Google Scholar] [CrossRef]
- Armstrong-Gordon, E.; Gnjidic, D.; McLachlan, A.J.; Hosseini, B.; Grant, A.; Beale, P.J.; Wheate, N.J. Patterns of Platinum Drug Use in an Acute Care Setting: A Retrospective Study. J. Cancer Res. Clin. Oncol. 2018, 144, 1561–1568. [Google Scholar] [CrossRef]
- Desoize, B.; Madoulet, C. Particular Aspects of Platinum Compounds Used at Present in Cancer Treatment. Crit. Rev. Oncol./Hematol. 2002, 42, 317–325. [Google Scholar] [CrossRef]
- Shah, N.; Dizon, D.S. New-Generation Platinum Agents for Solid Tumors. Futur. Oncol. 2009, 5, 33–42. [Google Scholar] [CrossRef]
- Günes, D.A.; Florea, A.-M.; Splettstoesser, F.; Büsselberg, D. Co-Application of Arsenic Trioxide (As2O3) and Cisplatin (CDDP) on Human SY-5Y Neuroblastoma Cells has Differential Effects on the Intracellular Calcium Concentration ([Ca2+] and Cytotoxicity. Neurotoxicology 2009, 30, 194–202. [Google Scholar] [CrossRef]
- Florea, A.M.; Büsselberg, D. Metals and Metal Compounds: Occurrence, Use, Benefits and Toxic Cellular Effects. Biometals 2006, 19, 419–427. [Google Scholar] [CrossRef]
- Tsang, R.Y.; Al-Fayea, T.; Au, H.-J. Cisplatin Overdose. Drug Saf. 2009, 32, 1109–1122. [Google Scholar] [CrossRef]
- Oun, R.; Moussa, Y.E.; Wheate, N.J. The Side Effects of Platinum-Based Chemotherapy Drugs: A Review for Chemists. Dalton Trans. 2018, 47, 6645–6653. [Google Scholar] [CrossRef]
- Kelland, L. The Resurgence of Platinum-Based Cancer Chemotherapy. Nat. Rev. Cancer 2007, 7, 573–584. [Google Scholar] [CrossRef]
- Ndagi, U.; Mhlongo, N.; Soliman, M.E. Metal Complexes in Cancer Therapy–An Update from Drug Design Perspective. Drug Des. Devel. Ther. 2017, 11, 599–616. [Google Scholar] [CrossRef]
- Frezza, M.; Hindo, S.; Chen, D.; Davenport, A.; Schmitt, S.; Tomco, D.; Dou, Q.P. Novel Metals and Metal Complexes as Platforms for Cancer Therapy. Curr. Pharm. Des. 2010, 16, 1813–1825. [Google Scholar] [CrossRef]
- Li, Y.; Liu, B.; Shi, H.; Wang, Y.; Sun, Q.; Zhang, Q. Metal Complexes Against Breast Cancer Stem Cells. Dalton Trans. 2021, 50, 14498–14512. [Google Scholar] [CrossRef]
- Thota, S.; Rodrigues, D.A.; Crans, D.C.; Barreiro, E.J. Ru(II) Compounds: Next-Generation Anticancer Metallotherapeutics? J. Med. Chem. 2018, 61, 5805–5821. [Google Scholar] [CrossRef]
- Höfer, D.; Varbanov, H.P.; Legin, A.; Jakupec, M.A.; Roller, A.; Galanski, M.S.; Keppler, B.K. Tetracarboxylatoplatinum(IV) Complexes Featuring Monodentate Leaving Groups–A Rational Approach Toward Exploiting the Platinum(IV) Prodrug Strategy. J. Inorg. Biochem. 2015, 153, 259–271. [Google Scholar] [CrossRef]
- Lu, Y.; Ma, X.; Chang, X.; Liang, Z.; Lv, L.; Shan, M.; Lu, Q.; Wen, Z.; Gust, R.; Liu, W. Recent Development of Gold(I) and Gold(III) Complexes as Therapeutic Agents for Cancer Diseases. Chem. Soc. Rev. 2022, 51, 5518–5556. [Google Scholar] [CrossRef]
- Harringer, S.; Hejl, M.; Enyedy, É.A.; Jakupec, M.A.; Galanski, M.S.; Keppler, B.K.; Dyson, P.J.; Varbanov, H.P. Multifunctional Pt(IV) Prodrug Candidates Featuring the Carboplatin Core and Deferoxamine. Dalton Trans. 2021, 50, 8167–8178. [Google Scholar] [CrossRef]
- Arduengo, A.J., III; Harlow, R.L.; Kline, M. A Stable Crystalline Carbene. J. Am. Chem. Soc. 1991, 113, 361–363. [Google Scholar] [CrossRef]
- Jacobsen, H.; Correa, A.; Poater, A.; Costabile, C.; Cavallo, L. Understanding the M(NHC) (NHC=N-Heterocyclic Carbene) Bond. Coord. Chem. Rev. 2009, 253, 687–703. [Google Scholar] [CrossRef]
- Díez-González, S. N-heterocyclic Carbenes: From Laboratory to Curiosities to Efficient Synthetic Tools; Royal Society of Chemistry: London, UK, 2016; Volume 27. [Google Scholar]
- Bellemin-Laponnaz, S. N-Heterocyclic Carbene Platinum Complexes: A Big Step Forward for Effective Antitumor Compounds. Eur. J. Inorg. Chem. 2020, 2020, 10–20. [Google Scholar] [CrossRef]
- Cisnetti, F.; Gautier, A. Metal/N-Heterocyclic Carbene Complexes: Opportunities for the Development of Anticancer Metallodrugs. Angew. Chem. Int. Ed. 2013, 52, 11976–11978. [Google Scholar] [CrossRef] [PubMed]
- Böhme, M.D.; Eder, T.; Röthel, M.B.; Dutschke, P.D.; Wilm, L.F.B.; Hahn, F.E.; Dielmann, F. Synthesis of N-Heterocyclic Carbenes and Their Complexes by Chloronium Ion Abstraction from 2-Chloroazolium Salts Using Electron-Rich Phosphines. Angew. Chem. Int. Ed. 2022, 61, e202202190. [Google Scholar] [CrossRef] [PubMed]
- Scattolin, T.; Nolan, S.P. Synthetic Routes to Late Transition Metal–NHC Complexes. Trends Chem. 2020, 2, 721–736. [Google Scholar] [CrossRef]
- Zhao, Q.; Meng, G.; Nolan, S.P.; Szostak, M. N-Heterocyclic Carbene Complexes in C–H Activation Reactions. Chem. Rev. 2020, 120, 1981–2048. [Google Scholar] [CrossRef] [PubMed]
- Yang, S.; Zhou, T.; Yu, X.; Szostak, M. Ag–NHC Complexes in the π-Activation of Alkynes. Molecules 2023, 28, 950. [Google Scholar] [CrossRef]
- Shen, H.; Tian, G.; Xu, Z.; Wang, L.; Wu, Q.; Zhang, Y.; Teo, B.K.; Zheng, N. N-Heterocyclic Carbene Coordinated Metal Nanoparticles and Nanoclusters. Coord. Chem. Rev. 2022, 458, 214425. [Google Scholar] [CrossRef]
- Liu, T.; Bai, S.; Zhang, L.; Hahn, F.E.; Han, Y.-F. N-Heterocyclic Carbene-Stabilized Metal Nanoparticles within Porous Organic Cages for Catalytic Application. Natl. Sci. Rev. 2022, 9, nwac067. [Google Scholar] [CrossRef]
- Oehninger, L.; Rubbiani, R.; Ott, I. N-Heterocyclic Carbene Metal Complexes in Medicinal Chemistry. Dalton Trans. 2013, 42, 3269–3284. [Google Scholar] [CrossRef]
- Büssing, R.; Karge, B.; Lippmann, P.; Jones, P.G.; Brönstrup, M.; Ott, I. Gold(I) and Gold(III) N-Heterocyclic Carbene Complexes as Antibacterial Agents and Inhibitors of Bacterial Thioredoxin Reductase. ChemMedChem 2021, 16, 3402–3409. [Google Scholar] [CrossRef]
- Kaur, M.; Thakare, R.; Bhattacherya, A.; Murugan, P.A.; Kaul, G.; Shukla, M.; Singh, A.K.; Matheshwaran, S.; Chopra, S.; Bera, J.K. Antimicrobial Efficacy of a Hemilabile Pt(II)–NHC Compound Against Drug-Resistant S. Aureus and Enterococcus. Dalton Trans. 2023, 52, 1876–1884. [Google Scholar] [CrossRef]
- Muenzner, J.K.; Rehm, T.; Biersack, B.; Casini, A.; de Graaf, I.A.M.; Worawutputtapong, P.; Noor, A.; Kempe, R.; Brabec, V.; Kasparkova, J.; et al. Adjusting the DNA Interaction and Anticancer Activity of Pt(II) N-Heterocyclic Carbene Complexes by Steric Shielding of the Trans Leaving Group. J. Med. Chem. 2015, 58, 6283–6292. [Google Scholar] [CrossRef] [PubMed]
- Bouché, M.; Bonnefont, A.; Achard, T.; Bellemin-Laponnaz, S. Exploring Diversity in Platinum(IV) N-Heterocyclic Carbene Complexes: Synthesis, Characterization, Reactivity and Biological Evaluation. Dalton Trans. 2018, 47, 11491–11502. [Google Scholar] [CrossRef]
- Babu, T.; Ghareeb, H.; Basu, U.; Schueffl, H.; Theiner, S.; Heffeter, P.; Koellensperger, G.; Metanis, N.; Gandin, V.; Ott, I.; et al. Oral Anticancer Heterobimetallic Pt(IV)−Au(I) Complexes Show High In Vivo Activity and Low Toxicity. Angew. Chem. Int. Ed. 2023, 62, e202217233. [Google Scholar] [CrossRef] [PubMed]
- Rehm, T.; Rothemund, M.; Muenzner, J.K.; Noor, A.; Kempe, R.; Schobert, R. Novel Cis-[(NHC)1(NHC)2(L)Cl]Platinum(II) Complexes–Synthesis, Structures, and Anticancer Activities. Dalton Trans. 2016, 45, 15390–15398. [Google Scholar] [CrossRef] [PubMed]
- Rothemund, M.; Bär, S.I.; Rehm, T.; Kostrhunova, H.; Brabec, V.; Schobert, R. Antitumoral Effects of Mitochondria-Targeting Neutral and Cationic Cis-[Bis(1,3-Dibenzylimidazol-2-ylidene)Cl(L)]Pt(II) Complexes. Dalton Trans. 2020, 49, 8901–8910. [Google Scholar] [CrossRef]
- Yang, Z.; Huang, S.; Liu, Y.; Chang, X.; Liang, Y.; Li, X.; Xu, Z.; Wang, S.; Lu, Y.; Liu, Y.; et al. Biotin-Targeted Au(I) Radiosensitizer for Cancer Synergistic Therapy by Intervening with Redox Homeostasis and Inducing Ferroptosis. J. Med. Chem. 2022, 65, 8401–8415. [Google Scholar] [CrossRef]
- Rubbiani, R.; Can, S.; Kitanovic, I.; Alborzinia, H.; Stefanopoulou, M.; Kokoschka, M.; Mönchgesang, S.; Sheldrick, W.S.; Wölfl, S.; Ott, I. Comparative in Vitro Evaluation of N-Heterocyclic Carbene Gold(I) Complexes of the Benzimidazolylidene Type. J. Med. Chem. 2011, 54, 8646–8657. [Google Scholar] [CrossRef]
- Goetzfried, S.; Kapitza, P.; Gallati, C.M.; Nindl, A.; Cziferszky, M.; Hermann, M.; Wurst, K.; Kircher, B.; Gust, R. Investigations on Reactivity, Stability and Biological Activity of Halido (NHC)gold(I) Complexes. Dalton Trans. 2022, 51, 1395–1406. [Google Scholar] [CrossRef]
- Gallati, C.M.; Goetzfried, S.K.; Ausserer, M.; Sagasser, J.; Plangger, M.; Wurst, K.; Hermann, M.; Baecker, D.; Kircher, B.; Gust, R. Synthesis, Characterization and Biological Activity of Bromido[3-ethyl-4-aryl-5-(2-methoxypyridin-5-yl)-1-propyl-1,3-dihydro-2H-imidazol-2-ylidene]Gold(I) Complexes. Dalton Trans. 2020, 49, 5471–5481. [Google Scholar] [CrossRef]
- Liu, W.; Bensdorf, K.; Proetto, M.; Abram, U.; Hagenbach, A.; Gust, R. NHC Gold Halide Complexes Derived from 4,5-Diarylimidazoles: Synthesis, Structural Analysis, and Pharmacological Investigations as Potential Antitumor Agents. J. Med. Chem. 2011, 54, 8605–8615. [Google Scholar] [CrossRef]
- Rubbiani, R.; Kitanovic, I.; Alborzinia, H.; Can, S.; Kitanovic, A.; Onambele, L.A.; Stefanopoulou, M.; Geldmacher, Y.; Sheldrick, W.S.; Wolber, G.; et al. Benzimidazol-2-ylidene Gold(I) Complexes Are Thioredoxin Reductase Inhibitors with Multiple Antitumor Properties. J. Med. Chem. 2010, 53, 8608–8618. [Google Scholar] [CrossRef] [PubMed]
- Goetzfried, S.K.; Koenig, S.M.C.; Gallati, C.M.; Gust, R. Internal and External Influences on Stability and Ligand Exchange Reactions in Bromido[3-ethyl-4-aryl-5-(2-methoxypyridin-5-yl)-1-propyl-1,3-dihydro-2H-imidazol-2-ylidene]gold(I) Complexes. Inorg. Chem. 2021, 60, 8546–8553. [Google Scholar] [CrossRef] [PubMed]
- Goetzfried, S.K.; Gallati, C.M.; Cziferszky, M.; Talmazan, R.A.; Wurst, K.; Liedl, K.R.; Podewitz, M.; Gust, R. N-Heterocyclic Carbene Gold(I) Complexes: Mechanism of the Ligand Scrambling Reaction and Their Oxidation to Gold(III) in Aqueous Solutions. Inorg. Chem. 2020, 59, 15312–15323. [Google Scholar] [CrossRef]
- Kapitza, P.; Scherfler, A.; Salcher, S.; Sopper, S.; Cziferszky, M.; Wurst, K.; Gust, R. Reaction Behavior of [1,3-diethyl-4,5-diphenyl-2H-imidazol-2-ylidene] Containing Gold(I/III) Complexes Against Ingredients of the Cell Culture Medium and the Meaning on the Potential Use for Cancer Eradication Therapy. J. Med. Chem. 2023, 66, 8238–8250. [Google Scholar] [CrossRef]
- Bertrand, B.; Stefan, L.; Pirrotta, M.; Monchaud, D.; Bodio, E.; Richard, P.; Le Gendre, P.; Warmerdam, E.; de Jager, M.H.; Groothuis, G.M.; et al. Caffeine-Based Gold(I) N-Heterocyclic Carbenes as Possible Anticancer Agents: Synthesis and Biological Properties. Inorg. Chem. 2014, 53, 2296–2303. [Google Scholar] [CrossRef]
- Karaca, Ö.; Scalcon, V.; Meier-Menches, S.M.; Bonsignore, R.; Brouwer, J.M.J.L.; Tonolo, F.; Folda, A.; Rigobello, M.P.; Kühn, F.E.; Casini, A. Characterization of Hydrophilic Gold(I) N-Heterocyclic Carbene (NHC) Complexes as Potent TrxR Inhibitors Using Biochemical and Mass Spectrometric Approaches. Inorg. Chem. 2017, 56, 14237–14250. [Google Scholar] [CrossRef]
- Unger, Y.; Zeller, A.; Taige, M.A.; Strassner, T. Near-UV Phosphorescent Emitters: N-Heterocyclic Platinum(II) Tetracarbene Complexes. Dalton Trans. 2009, 24, 4786–4794. [Google Scholar] [CrossRef]
- Newman, C.P.; Deeth, R.J.; Clarkson, G.J.; Rourke, J.P. Synthesis of Mixed NHC/L Platinum(II) Complexes: Restricted Rotation of the NHC Group. Organometallics 2007, 26, 6225–6233. [Google Scholar] [CrossRef]
- Rehm, T.; Rothemund, M.; Bär, A.; Dietel, T.; Kempe, R.; Kostrhunova, H.; Brabec, V.; Kasparkova, J.; Schobert, R. N,N-Dialkylbenzimidazol-2-ylidene Platinum Complexes–Effects of Alkyl Residues and Ancillary Cis-Ligands on Anticancer Activity. Dalton Trans. 2018, 47, 17367–17381. [Google Scholar] [CrossRef]
- Wang, H.M.J.; Chen, C.Y.L.; Lin, I.J.B. Synthesis, Structure, and Spectroscopic Properties of Gold(I)−Carbene Complexes. Organometallics 1999, 18, 1216–1223. [Google Scholar] [CrossRef]
- Rehm, T.; Rothemund, M.; Dietel, T.; Kempe, R.; Schobert, R. Synthesis, Structures and Cytotoxic Effects in Vitro of Cis- and Trans-[Pt(IV)Cl4(NHC)2] Complexes and Their Pt(II) Precursors. Dalton Trans. 2019, 48, 16358–16365. [Google Scholar] [CrossRef]
- Wang, H.M.J.; Vasam, C.S.; Tsai, T.Y.R.; Chen, S.-H.; Chang, A.H.H.; Lin, I.J.B. Gold(I) N-Heterocyclic Carbene and Carbazolate Complexes. Organometallics 2005, 24, 486–493. [Google Scholar] [CrossRef]
- Huynh, H.V.; Guo, S.; Wu, W. Detailed Structural, Spectroscopic, and Electrochemical Trends of Halido Mono- and Bis(NHC) Complexes of Au(I) and Au(III). Organometallics 2013, 32, 4591–4600. [Google Scholar] [CrossRef]
- Kerrison, S.J.S.; Sadler, P.J. Solvolysis of Cis-[Pt(NH3)2Cl2] in Dimethyl Sulphoxide and Reactions of Glycine with [PtCl3(Me2SO)]–as Probed by 195PtNuclear Magnetic Resonance Shifts and 195Pt–15N Coupling Constants. J. Chem. Soc. Chem. Commun. 1977, 23, 861–863. [Google Scholar] [CrossRef]
- Kerrison, S.J.S.; Sadler, P.J. 195Pt NMR Studies of Platinum(II) Dimethylsuphoxide Complexes. Inorganica Chim. Acta 1985, 104, 197–201. [Google Scholar] [CrossRef]
- Annibale, G.; Cattalini, L.; Canovese, L.; Michelon, G.; Marangoni, G.; Tobe, M.L. Reactivity of Sulfoxides Toward the Tetrachloroplatinate (II) Anion. Inorg. Chem. 1983, 22, 975–978. [Google Scholar] [CrossRef]
- Hall, M.D.; Telma, K.A.; Chang, K.-E.; Lee, T.D.; Madigan, J.P.; Lloyd, J.R.; Goldlust, I.S.; Hoeschele, J.D.; Gottesman, M.M. Say no to DMSO: Dimethylsulfoxide Inactivates Cisplatin, Carboplatin, and Other Platinum Complexes. Cancer Res. 2014, 74, 3913–3922. [Google Scholar] [CrossRef]
- Varbanov, H.P.; Ortiz, D.; Höfer, D.; Menin, L.; Galanski, M.S.; Keppler, B.K.; Dyson, P.J. Oxaliplatin Reacts with DMSO Only in the Presence of Water. Dalton Trans. 2017, 46, 8929–8932. [Google Scholar] [CrossRef]
- Chen, H.H.; Kuo, M.T. Role of Glutathione in the Regulation of Cisplatin Resistance in Cancer Chemotherapy. Met. Based Drugs 2010, 2010, 430939. [Google Scholar] [CrossRef]
- Schmidt, C.; Karge, B.; Misgeld, R.; Prokop, A.; Brönstrup, M.; Ott, I. Biscarbene Gold(I) Complexes: Structure–Activity-Relationships Regarding Antibacterial Effects, Cytotoxicity, TrxR Inhibition and Cellular Bioavailability. MedChemComm 2017, 8, 1681–1689. [Google Scholar] [CrossRef]
- Messori, L.; Marchetti, L.; Massai, L.; Scaletti, F.; Guerri, A.; Landini, I.; Nobili, S.; Perrone, G.; Mini, E.; Leoni, P.; et al. Chemistry and Biology of Two Novel Gold(I) Carbene Complexes as Prospective Anticancer Agents. Inorg. Chem. 2014, 53, 2396–2403. [Google Scholar] [CrossRef] [PubMed]
- Baik, M.H.; Friesner, R.A.; Lippard, S.J. Theoretical Study of Cisplatin Binding to Purine Bases: Why Does Cisplatin Prefer Guanine Over Adenine? J. Am. Chem. Soc. 2003, 125, 14082–14092. [Google Scholar] [CrossRef]
- Lempers, E.L.M.; Reedijk, J. Interactions of Platinum Amine Compounds with Sulfur-Containing Biomolecules and DNA Fragments. Adv. Inorg. Chem. 1991, 37, 175–217. [Google Scholar]
- Takahara, P.M.; Rosenzweig, A.C.; Frederick, C.A.; Lippard, S.J. Crystal Structure of Double-Stranded DNA Containing the Major Adduct of the Anticancer Drug Cisplatin. Nature 1995, 377, 649–652. [Google Scholar] [CrossRef]
- Liu, Y.R.; Ji, C.; Zhang, H.Y.; Dou, S.X.; Xie, P.; Wang, W.C.; Wang, P.Y. Transplatin Enhances Effect of Cisplatin on Both Single DNA Molecules and Live Tumor Cells. Arch. Biochem. Biophys. 2013, 536, 12–24. [Google Scholar] [CrossRef] [PubMed]
- Zhang, B.; Seki, S.; Akiyama, K.; Tsutsui, K.; Li, T.; Nagao, K. Detection and Analyses by Gel Electrophoresis of Cisplatin-Mediated DNA Damage. Acta Med. Okayama 1992, 46, 427–434. [Google Scholar] [CrossRef] [PubMed]
- Chandra, A.; Pius, C.; Nabeel, M.; Nair, M.; Vishwanatha, J.K.; Ahmad, S.; Basha, R. Ovarian Cancer: Current Status and Strategies for Improving Therapeutic Outcomes. Cancer Med. 2019, 8, 7018–7031. [Google Scholar] [CrossRef]
- Lopez, J.; Banerjee, S.; Kaye, S.B. New Developments in the Treatment of Ovarian Cancer-Future Perspectives. Ann. Oncol. 2013, 24 (Suppl. S10), x69–x76. [Google Scholar] [CrossRef]
- Abdalbari, F.H.; Telleria, C.M. The Gold Complex Auranofin: New Perspectives for Cancer Therapy. Discov. Oncol. 2021, 12, 42. [Google Scholar] [CrossRef]
- Gamberi, T.; Chiappetta, G.; Fiaschi, T.; Modesti, A.; Sorbi, F.; Magherini, F. Upgrade of an Old Drug: Auranofin in Innovative Cancer Therapies to Overcome Drug Resistance and to Increase Drug Effectiveness. Med. Res. Rev. 2022, 42, 1111–1146. [Google Scholar] [CrossRef]
- Alatise, K.L.; Gardner, S.; Alexander-Bryant, A. Mechanisms of Drug Resistance in Ovarian Cancer and Associated Gene Targets. Cancers 2022, 14, 6246. [Google Scholar] [CrossRef] [PubMed]
- Borkar, P.; Bhandari, P.; Yadav, S.; Prabhu, A. Cisplatin Resistance in Ovarian Cancer: Classical Outlook and Newer Perspectives. Biomed. Pharmacol. J. 2021, 14, 1993–2005. [Google Scholar] [CrossRef]
- Liu, W.; Bensdorf, K.; Proetto, M.; Hagenbach, A.; Abram, U.; Gust, R. Synthesis, Characterization, and in Vitro Studies of Bis[1,3-diethyl-4,5-diarylimidazol-2-ylidene]gold(I/III) Complexes. J. Med. Chem. 2012, 55, 3713–3724. [Google Scholar] [CrossRef]
- Gallati, C.M.; Goetzfried, S.K.; Ortmeier, A.; Sagasser, J.; Wurst, K.; Hermann, M.; Baecker, D.; Kircher, B.; Gust, R. Synthesis, Characterization and Biological Activity of Bis[3-ethyl-4-aryl-5-(2-methoxypyridin-5-yl)-1-propyl-1,3-dihydro-2H-imidazol-2-ylidene]Gold(I) Complexes. Dalton Trans. 2021, 50, 4270–4279. [Google Scholar] [CrossRef]
- Price, J.H.; Williamson, A.N.; Schramm, R.F.; Wayland, B.B. Palladium(II) and Platinum(II) Alkyl Sulfoxide Complexes. Examples of Sulfur-Bonded, Mixed Sulfur- and Oxygen-Bonded, and Totally Oxygen-Bonded Complexes. Inorg. Chem. 1972, 11, 1280–1284. [Google Scholar] [CrossRef]
- Sheldrick, G.M. SHELXT—Integrated Space-Group and Crystal-Structure Determination. Acta Crystallogr. Sect. A Found. Adv. 2015, 71, 3–8. [Google Scholar] [CrossRef] [PubMed]
- Sheldrick, G.M. Crystal Structure Refinement with SHELXL. Acta Crystallogr. Sect. C Struct. Chem. 2015, 71, 3–8. [Google Scholar] [CrossRef]










| Platinum(II) | Gold(I) | |||||
|---|---|---|---|---|---|---|
| 5 | 6 | 8 | 9 | 10 | 12 | |
| M-X [Å] | 2.372 | 2.317 | 2.600 | 2.348–2.387 | 2.275 | - |
| M-L [Å] | 1.964 | 2.022 | 2.018 | 2.031–2.041 * | 1.975 | 2.016 |
| 1.987–1.998 # | ||||||
| L-M-L [°] | 94.22 | 180.00 | 180.00 | 173.31–175.30 * | - | 177.19 |
| 91.00–95.42 # | ||||||
| L-M-X [°] | 94.22 | 89.55–90.45 | 89.53–90.47 | 177.61–177.76 * | 178.67 | - |
| 86.21–89.12 # | ||||||
| Compound | Metabolic Activity IC50 a [µM] | RF b x-Fold | ||
|---|---|---|---|---|
| A2780wt | A2780cis | |||
| Ligand | 2 | >40 | >40 | - |
| Platinum(II) | 5 | >6.25 | >6.25 | - |
| 7 | >6.25 | >6.25 | - | |
| 9 | 0.63 ± 0.18 | 1.14 ± 0.32 | 1.82 | |
| cisplatin | 0.87 ± 0.46 | 10.56 ± 2.16 | 12.17 | |
| Gold(I) | 10 | 4.31 ± 1.29 | 6.69 ± 1.55 | 1.55 |
| 11 | 1.02 ± 0.59 | 1.28 ± 0.44 | 1.25 | |
| 12 | 0.09 ± 0.05 | 0.11 ± 0.05 | 1.21 | |
| auranofin | 1.04 ± 0.49 | 2.31 ± 0.65 | 2.22 | |
Disclaimer/Publisher’s Note: The statements, opinions and data contained in all publications are solely those of the individual author(s) and contributor(s) and not of MDPI and/or the editor(s). MDPI and/or the editor(s) disclaim responsibility for any injury to people or property resulting from any ideas, methods, instructions or products referred to in the content. |
© 2023 by the authors. Licensee MDPI, Basel, Switzerland. This article is an open access article distributed under the terms and conditions of the Creative Commons Attribution (CC BY) license (https://creativecommons.org/licenses/by/4.0/).
Share and Cite
Kapitza, P.; Grabher, P.; Scherfler, A.; Wurst, K.; Kircher, B.; Gust, R.; Varbanov, H.P. Benzimidazole-Based NHC Metal Complexes as Anticancer Drug Candidates: Gold(I) vs. Platinum(II). Inorganics 2023, 11, 293. https://doi.org/10.3390/inorganics11070293
Kapitza P, Grabher P, Scherfler A, Wurst K, Kircher B, Gust R, Varbanov HP. Benzimidazole-Based NHC Metal Complexes as Anticancer Drug Candidates: Gold(I) vs. Platinum(II). Inorganics. 2023; 11(7):293. https://doi.org/10.3390/inorganics11070293
Chicago/Turabian StyleKapitza, Paul, Patricia Grabher, Amelie Scherfler, Klaus Wurst, Brigitte Kircher, Ronald Gust, and Hristo P. Varbanov. 2023. "Benzimidazole-Based NHC Metal Complexes as Anticancer Drug Candidates: Gold(I) vs. Platinum(II)" Inorganics 11, no. 7: 293. https://doi.org/10.3390/inorganics11070293
APA StyleKapitza, P., Grabher, P., Scherfler, A., Wurst, K., Kircher, B., Gust, R., & Varbanov, H. P. (2023). Benzimidazole-Based NHC Metal Complexes as Anticancer Drug Candidates: Gold(I) vs. Platinum(II). Inorganics, 11(7), 293. https://doi.org/10.3390/inorganics11070293

