X-ray Absorption Spectroscopy of Phosphine-Capped Au Clusters
Abstract
1. Introduction
2. Results and Discussion
2.1. XANES of Phosphine-Capped Au Clusters
2.2. EXAFS of Phosphine-Capped Au Clusters
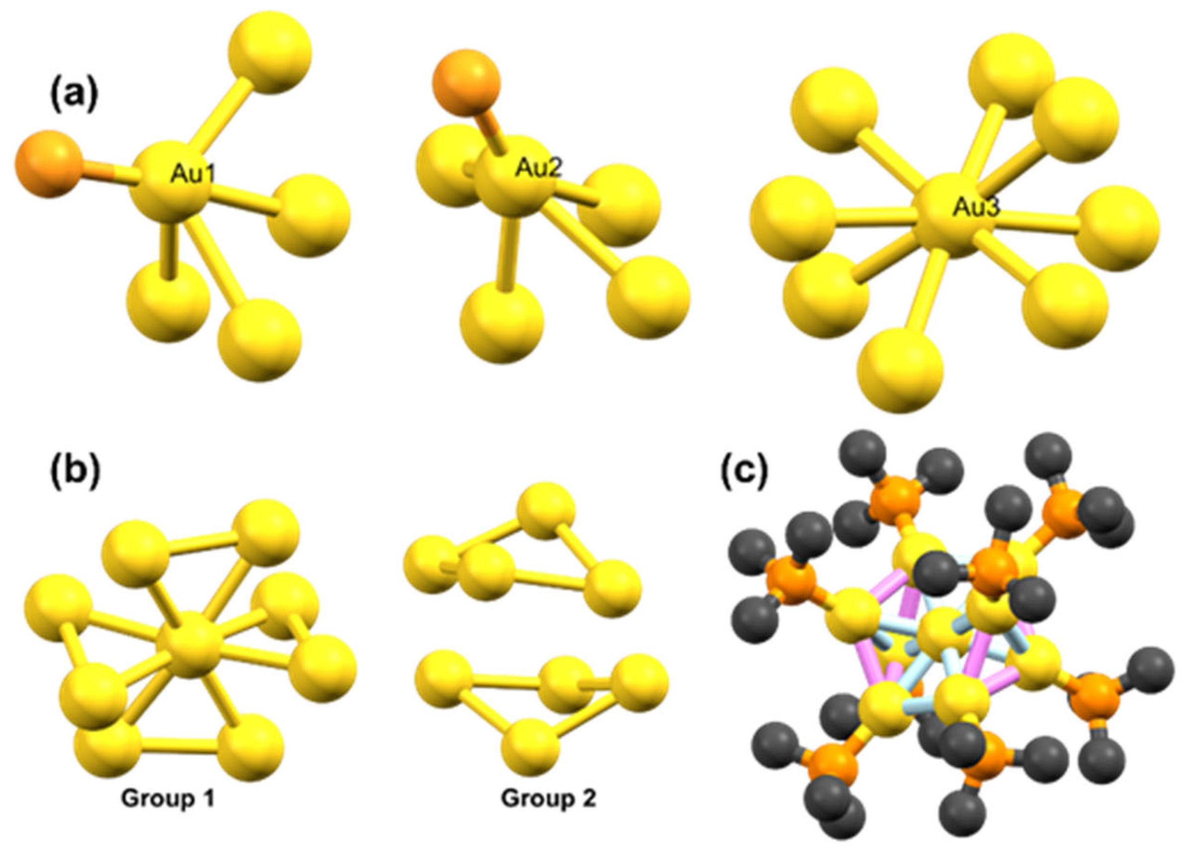
2.2.1. EXAFS of Au9 Clusters
2.2.2. EXAFS of Au6 Clusters
2.2.3. EXAFS of Au13 Clusters
2.2.4. EXAFS Analysis of Au101 Clusters
3. Materials and Methods
3.1. Synthesis and Purification of Au Clusters
3.2. X-ray Absorption Spectroscopy Measurement and Processing
Fuzzy Degeneracy Approach for EXAFS Fitting
4. Conclusions
Supplementary Materials
Author Contributions
Funding
Data Availability Statement
Acknowledgments
Conflicts of Interest
References
- Liu, L.; Corma, A. Metal Catalysts for Heterogeneous Catalysis: From Single Atoms to Nanoclusters and Nanoparticles. Chem. Rev. 2018, 118, 4981–5079. [Google Scholar] [CrossRef] [PubMed]
- Howard-Fabretto, L.; Andersson, G.G. Metal Clusters on Semiconductor Surfaces and Application in Catalysis with a Focus on Au and Ru. Adv. Mater. 2020, 32, 1904122. [Google Scholar] [CrossRef]
- Häkkinen, H.; Yoon, B.; Landman, U.; Li, X.; Zhai, H.-J.; Wang, L.-S. On the Electronic and Atomic Structures of Small AuN-(N = 4−14) Clusters: A Photoelectron Spectroscopy and. Density-Functional Study. J. Phys. Chem. A 2003, 107, 6168–6175. [Google Scholar] [CrossRef]
- Tsukuda, T.; Häkkinen, H. Protected Metal Clusters: From Fundamentals to Applications; Elsevier: Amsterdam, The Netherlands, 2015. [Google Scholar]
- Luo, Z.; Castleman, A., Jr.; Khanna, S.N. Reactivity of metal clusters. Chem. Rev. 2016, 116, 14456–14492. [Google Scholar] [CrossRef]
- Negreiros, F.R.; Halder, A.; Yin, C.; Singh, A.; Barcaro, G.; Sementa, L.; Tyo, E.C.; Pellin, M.J.; Bartling, S.; Meiwes-Broer, K.-H.; et al. Bimetallic Ag-Pt Sub-nanometer Supported Clusters as Highly Efficient and Robust Oxidation Catalysts. Angew. Chem. Int. Ed. 2018, 57, 1209–1213. [Google Scholar] [CrossRef] [PubMed]
- Yao, Q.; Chen, T.; Yuan, X.; Xie, J. Toward Total Synthesis of Thiolate-Protected Metal Nanoclusters. Acc. Chem. Res. 2018, 51, 1338–1348. [Google Scholar] [CrossRef] [PubMed]
- Walter, M.; Akola, J.; Lopez-Acevedo, O.; Jadzinsky, P.D.; Calero, G.; Ackerson, C.J.; Whetten, R.L.; Grönbeck, H.; Häkkinen, H. A unified view of ligand-protected gold clusters as superatom complexes. Proc. Natl. Acad. Sci. USA 2008, 105, 9157–9162. [Google Scholar] [CrossRef]
- Jadzinsky, P.D.; Calero, G.; Ackerson, C.J.; Bushnell, D.A.; Kornberg, R.D. Structure of a Thiol Monolayer-Protected Gold Nanoparticle at 1.1 Å Resolution. Science 2007, 318, 430. [Google Scholar] [CrossRef]
- Huang, J.; Akita, T.; Faye, J.; Fujitani, T.; Takei, T.; Haruta, M. Propene Epoxidation with Dioxygen Catalyzed by Gold Clusters. Angew. Chem. Int. Ed. 2009, 48, 7862–7866. [Google Scholar] [CrossRef]
- Turner, M.; Golovko, V.B.; Vaughan, O.P.; Abdulkin, P.; Berenguer-Murcia, A.; Tikhov, M.S.; Johnson, B.F.; Lambert, R.M. Selective oxidation with dioxygen by gold nanoparticle catalysts derived from 55-atom clusters. Nature 2008, 454, 981–983. [Google Scholar] [CrossRef]
- Yoon, B.; Häkkinen, H.; Landman, U.; Wörz, A.S.; Antonietti, J.-M.; Abbet, S.; Judai, K.; Heiz, U. Charging Effects on Bonding and Catalyzed Oxidation of CO on Au8 Clusters on MgO. Science 2005, 307, 403–407. [Google Scholar] [CrossRef] [PubMed]
- Zhu, Y.; Qian, H.; Drake, B.A.; Jin, R. Atomically Precise Au25(SR)18 Nanoparticles as Catalysts for the Selective Hydrogenation of α,β-Unsaturated Ketones and Aldehydes. Angew. Chem. Int. Ed. 2010, 49, 1295–1298. [Google Scholar] [CrossRef] [PubMed]
- Li, G.; Jiang, D.-e.; Kumar, S.; Chen, Y.; Jin, R. Size Dependence of Atomically Precise Gold Nanoclusters in Chemoselective Hydrogenation and Active Site Structure. ACS Catal. 2014, 4, 2463–2469. [Google Scholar] [CrossRef]
- Oliver-Meseguer, J.; Cabrero-Antonino, J.R.; Domínguez, I.; Leyva-Pérez, A.; Corma, A. Small Gold Clusters Formed in Solution Give Reaction Turnover Numbers of 107 at Room Temperature. Science 2012, 338, 1452–1455. [Google Scholar] [CrossRef]
- Ciriminna, R.; Falletta, E.; Della Pina, C.; Teles, J.H.; Pagliaro, M. Industrial Applications of Gold Catalysis. Angew. Chem. Int. Ed. 2016, 55, 14210–14217. [Google Scholar] [CrossRef]
- Liu, Y.; Liang, X.; Gu, L.; Zhang, Y.; Li, G.-D.; Zou, X.; Chen, J.-S. Corrosion engineering towards efficient oxygen evolution electrodes with stable catalytic activity for over 6000 h. Nat. Commun. 2018, 9, 2609. [Google Scholar] [CrossRef]
- Donoeva, B.G.; Ovoshchnikov, D.S.; Golovko, V.B. Establishing a Au Nanoparticle Size Effect in the Oxidation of Cyclohexene Using Gradually Changing Au Catalysts. ACS Catal. 2013, 3, 2986–2991. [Google Scholar] [CrossRef]
- Liu, L.; Corma, A. Evolution of Isolated Atoms and Clusters in Catalysis. Trends Chem. 2020, 2, 383–400. [Google Scholar] [CrossRef]
- Liu, L.; Zakharov, D.N.; Arenal, R.; Concepcion, P.; Stach, E.A.; Corma, A. Evolution and stabilization of subnanometric metal species in confined space by in situ TEM. Nat. Commun. 2018, 9, 574. [Google Scholar] [CrossRef]
- Kashin, A.S.; Ananikov, V.P. Monitoring chemical reactions in liquid media using electron microscopy. Nat. Rev. Chem. 2019, 3, 624–637. [Google Scholar] [CrossRef]
- Anderson, D.P.; Adnan , R.H.; Alvino , J.F.; Shipper, O.; Donoeva , B.; Ruzicka, J.-Y.; Al Qahtani, H.; Harris, H.H.; Cowie , B. Chemically-synthesised, atomically-precise gold clusters deposited and activated on titania. Part II. Phys. Chem. Chem. Phys. 2013, 15, 14806–14813. [Google Scholar] [CrossRef]
- Ruzicka, J.-Y.; Abu Bakar, F.; Hoeck, C.; Adnan, R.; McNicoll, C.; Kemmitt, T.; Cowie, B.C.; Metha, G.F.; Andersson, G.G.; Golovko, V.B. Toward Control of Gold Cluster Aggregation on TiO2 via Surface Treatments. J. Phys. Chem. C 2015, 119, 24465–24474. [Google Scholar] [CrossRef]
- Carbonio, E.A.; Velasco-Velez, J.-J.; Schlögl, R.; Knop-Gericke, A. Perspective—Outlook on Operando Photoelectron and Absorption Spectroscopy to Probe Catalysts at the Solid-Liquid Electrochemical Interface. J. Electrochem. Soc. 2020, 167, 054509. [Google Scholar] [CrossRef]
- Timoshenko, J.; Roldan Cuenya, B. In Situ/Operando Electrocatalyst Characterization by X-ray Absorption Spectroscopy. Chem. Rev. 2021, 121, 882–961. [Google Scholar] [CrossRef] [PubMed]
- Lin, S.-C.; Chang, C.-C.; Chiu, S.-Y.; Pai, H.-T.; Liao, T.-Y.; Hsu, C.-S.; Chiang, W.-H.; Tsai, M.-K.; Chen, H.M. Operando time-resolved X-ray absorption spectroscopy reveals the chemical nature enabling highly selective CO2 reduction. Nat. Commun. 2020, 11, 3525. [Google Scholar] [CrossRef]
- Sharma, S.K. Synthesis and Activation of Metal Cluster-Based Electrocatalysts for CO2 Reduction. Ph.D. Thesis, University of Cantebury, Christchurch, New Zealand, 2022. [Google Scholar]
- Wen, F.; Englert, U.; Gutrath, B.; Simon, U. Crystal Structure, Electrochemical and Optical Properties of [Au9(PPh3)8](NO3)3. Eur. J. Inorg. Chem. 2008, 2008, 106–111. [Google Scholar] [CrossRef]
- Bakar, M.A.; Sugiuchi, M.; Iwasaki, M.; Shichibu, Y.; Konishi, K. Hydrogen bonds to Au atoms in coordinated gold clusters. Nat. Commun. 2017, 8, 576. [Google Scholar] [CrossRef]
- Shichibu, Y.; Konishi, K. HCl-induced nuclearity convergence in diphosphine-protected ultrasmall gold clusters: A novel synthetic route to “magic-number” Au13 clusters. Small 2010, 6, 1216–1220. [Google Scholar] [CrossRef]
- Anderson, D.P.; Alvino, J.F.; Gentleman, A.; Qahtani, H.A.; Thomsen, L.; Polson, M.I.; Metha, G.F.; Golovko, V.B.; Andersson, G.G. Chemically-synthesised, atomically-precise gold clusters deposited and activated on titania. Phys. Chem. Chem. Phys. 2013, 15, 3917–3929. [Google Scholar] [CrossRef]
- Weare, W.W.; Reed, S.M.; Warner, M.G.; Hutchison, J.E. Improved Synthesis of Small (dCORE ≈ 1.5 nm) Phosphine-Stabilized Gold Nanoparticles. J. Am. Chem. Soc. 2000, 122, 12890–12891. [Google Scholar] [CrossRef]
- MacDonald, M.A.; Zhang, P.; Qian, H.; Jin, R. Site-Specific and Size-Dependent Bonding of Compositionally Precise Gold−Thiolate Nanoparticles from X-ray Spectroscopy. J. Phys. Chem. Lett. 2010, 1, 1821–1825. [Google Scholar] [CrossRef]
- Häkkinen, H. Atomic and electronic structure of gold clusters: Understanding flakes, cages and superatoms from simple concepts. Chem. Soc. Rev. 2008, 37, 1847–1859. [Google Scholar] [CrossRef]
- Häkkinen, H. Electronic shell structures in bare and protected metal nanoclusters. Adv. Phys. X 2016, 1, 467–491. [Google Scholar] [CrossRef]
- López-Cartes, C.; Rojas, T.C.; Litrán, R.; Martínez-Martínez, D.; de la Fuente, J.M.; Penadés, S.; Fernández, A. Gold Nanoparticles with Different Capping Systems: An Electronic and Structural XAS Analysis. J. Phys. Chem. B 2005, 109, 8761–8766. [Google Scholar] [CrossRef]
- Bunker, G. Introduction to XAFS: A Practical Guide to X-ray Absorption Fine Structure Spectroscopy; Cambridge University Press: Cambridge, UK, 2010. [Google Scholar]
- Wilke, M.; Farges, F.o.; Partzsch, G.M.; Schmidt, C.; Behrens, H. Speciation of Fe in silicate glasses and melts by in-situ XANES spectroscopy. Am. Mineral. 2007, 92, 44–56. [Google Scholar] [CrossRef]
- Waychunas, G.A. Synchrotron radiation XANES spectroscopy of Ti in minerals; effects of Ti bonding distances, Ti valence, and site geometry on absorption edge structure. Am. Mineral. 1987, 72, 89–101. [Google Scholar]
- Doyle, P.; Berry, A.J.; Schofield, P.; Mosselmans, J. The effect of site geometry, Ti content and Ti oxidation state on the Ti K-edge XANES spectrum of synthetic hibonite. Geochim. Cosmochim. Acta 2016, 187, 294–310. [Google Scholar] [CrossRef]
- Ankudinov, A.L.; Ravel, B.; Rehr, J.J.; Conradson, S.D. Real-space multiple-scattering calculation and interpretation of X-ray-absorption near-edge structure. Phys. Rev. B 1998, 58, 7565–7576. [Google Scholar] [CrossRef]
- Duggal, H.; Rajput, P.; Alperovich, I.; Asanova, T.; Mehta, D.; Jha, S.N.; Gautam, S. XANES spectroscopic studies at L3 edge of 79Au in its various chemical forms. Vacuum 2020, 176, 109294. [Google Scholar] [CrossRef]
- Shulman, G.R.; Yafet, Y.; Eisenberger, P.; Blumberg, W.E. Observations and interpretation of X-ray absorption edges in iron compounds and proteins. Proc. Natl. Acad. Sci. USA 1976, 73, 1384–1388. [Google Scholar] [CrossRef]
- Ohyama, J.; Teramura, K.; Shishido, T.; Hitomi, Y.; Kato, K.; Tanida, H.; Uruga, T.; Tanaka, T. In Situ Au L3 and L2 edge XANES spectral analysis during growth of thiol protected gold nanoparticles for the study on particle size dependent electronic properties. Chem. Phys. Lett. 2011, 507, 105–110. [Google Scholar] [CrossRef]
- Gaur, S.; Miller, J.T.; Stellwagen, D.; Sanampudi, A.; Kumar, C.S.S.R.; Spivey, J.J. Synthesis, characterization, and testing of supported Au catalysts prepared from atomically-tailored Au38(SC12H25)24 clusters. Phys. Chem. Chem. Phys. 2012, 14, 1627–1634. [Google Scholar] [CrossRef]
- Zhang, P.; Sham, T.K. Tuning the electronic behavior of Au nanoparticles with capping molecules. Appl. Phys. Lett. 2002, 81, 736–738. [Google Scholar] [CrossRef]
- Zhang, P.; Sham, T. X-ray studies of the structure and electronic behavior of alkanethiolate-capped gold nanoparticles: The interplay of size and surface effects. Phys. Rev. Lett. 2003, 90, 245502. [Google Scholar] [CrossRef]
- Marcus, M.A.; Andrews, M.P.; Zegenhagen, J.; Bommannavar, A.S.; Montano, P. Structure and vibrations of chemically produced Au55 clusters. Phys. Rev. B 1990, 42, 3312–3316. [Google Scholar] [CrossRef]
- Li, Y.; Cheng, H.; Yao, T.; Sun, Z.; Yan, W.; Jiang, Y.; Xie, Y.; Sun, Y.; Huang, Y.; Liu, S.; et al. Hexane-Driven Icosahedral to Cuboctahedral Structure Transformation of Gold Nanoclusters. J. Am. Chem. Soc. 2012, 134, 17997–18003. [Google Scholar] [CrossRef]
- Peters, S.; Peredkov, S.; Neeb, M.; Eberhardt, W.; Al-Hada, M. Size-dependent XPS spectra of small supported Au-clusters. Surf. Sci. 2013, 608, 129–134. [Google Scholar] [CrossRef]
- Al Qahtani, H.S.; Higuchi, R.; Sasaki, T.; Alvino, J.F.; Metha, G.F.; Golovko, V.B.; Adnan, R.; Andersson, G.G.; Nakayama, T. Grouping and aggregation of ligand protected Au9 clusters on TiO2 nanosheets. RSC Adv. 2016, 6, 110765–110774. [Google Scholar] [CrossRef]
- Mousavi, H.; Yin, Y.; Howard-Fabretto, L.; Sharma, S.K.; Golovko, V.; Andersson, G.G.; Shearer, C.J.; Metha, G.F. Au101–rGO nanocomposite: Immobilization of phosphine-protected gold nanoclusters on reduced graphene oxide without aggregation. Nanoscale Adv. 2021, 3, 1422–1430. [Google Scholar] [CrossRef] [PubMed]
- Benfield, R.E.; Grandjean, D.; Kröll, M.; Pugin, R.; Sawitowski, T.; Schmid, G. Structure and Bonding of Gold Metal Clusters, Colloids, and Nanowires Studied by EXAFS, XANES, and WAXS. J. Phys. Chem. B 2001, 105, 1961–1970. [Google Scholar] [CrossRef]
- Chevrier, D.M.; MacDonald, M.A.; Chatt, A.; Zhang, P.; Wu, Z.; Jin, R. Sensitivity of Structural and Electronic Properties of Gold–Thiolate Nanoclusters to the Atomic Composition: A Comparative X-ray Study of Au19(SR)13 and Au25(SR)18. J. Phys. Chem. C 2012, 116, 25137–25142. [Google Scholar] [CrossRef]
- Chevrier, D.M.; Chatt, A.; Zhang, P.; Zeng, C.; Jin, R. Unique Bonding Properties of the Au36(SR)24 Nanocluster with FCC-Like Core. J. Phys. Chem. Lett. 2013, 4, 3186–3191. [Google Scholar] [CrossRef] [PubMed]
- Chevrier, D.M.; Zeng, C.; Jin, R.; Chatt, A.; Zhang, P. Role of Au4 Units on the Electronic and Bonding Properties of Au28(SR)20 Nanoclusters from X-ray Spectroscopy. J. Phys. Chem. C 2015, 119, 1217–1223. [Google Scholar] [CrossRef]
- Simms, G.A.; Padmos, J.D.; Zhang, P. Structural and electronic properties of protein/thiolate-protected gold nanocluster with “staple” motif: A XAS, L-DOS, and XPS study. J. Chem. Phys. 2009, 131, 214703. [Google Scholar] [CrossRef] [PubMed]
- Padalia, B.D.; Gupta, S.N. White line in the L-absorption spectra of 72Hf to 79Au. J. Phys. F Met. Phys. 1972, 2, 189–198. [Google Scholar] [CrossRef]
- Greaves, G.N.; Durham, P.J.; Diakun, G.; Quinn, P. Near-edge X-ray absorption spectra for metallic Cu and Mn. Nature 1981, 294, 139–142. [Google Scholar] [CrossRef] [PubMed]
- Balerna, A.; Bernieri, E.; Picozzi, P.; Reale, A.; Santucci, S.; Burattini, E.; Mobilio, S. Extended X-ray-absorption fine-structure and near-edge-structure studies on evaporated small clusters of Au. Phys. Rev. B 1985, 31, 5058. [Google Scholar] [CrossRef]
- Liu, J.; Krishna, K.S.; Losovyj, Y.B.; Chattopadhyay, S.; Lozova, N.; Miller, J.T.; Spivey, J.J.; Kumar, C.S.S.R. Ligand-Stabilized and Atomically Precise Gold Nanocluster Catalysis: A Case Study for Correlating Fundamental Electronic Properties with Catalysis. Chem. A Eur. J. 2013, 19, 10201–10208. [Google Scholar] [CrossRef]
- Ravel, B.; Newville, M. Athena, Artemis, Hephaestus: Data analysis for X-ray absorption spectroscopy using IFEFFIT. J. Synchrotron Radiat. 2005, 12, 537–541. [Google Scholar] [CrossRef]
- Ravel, B. Path degeneracy and EXAFS analysis of disordered materials. J. Synchrotron Radiat. 2014, 21, 1269–1274. [Google Scholar] [CrossRef]
- D’Angelo, P.; Barone, V.; Chillemi, G.; Sanna, N.; Meyer-Klaucke, W.; Pavel, N.V. Hydrogen and Higher Shell Contributions in Zn2+, Ni2+, and Co2+ Aqueous Solutions: An X-ray Absorption Fine Structure and Molecular Dynamics Study. J. Am. Chem. Soc. 2002, 124, 1958–1967. [Google Scholar] [CrossRef] [PubMed]
- MacDonald, M.A.; Chevrier, D.M.; Zhang, P.; Qian, H.; Jin, R. The Structure and Bonding of Au25(SR)18 Nanoclusters from EXAFS: The Interplay of Metallic and Molecular Behavior. J. Phys. Chem. C 2011, 115, 15282–15287. [Google Scholar] [CrossRef]
- Fairbanks, M.C.; Benfield, R.E.; Newport, R.J.; Schmid, G. An EXAFS study of the cluster molecule Au55(PPh3)12Cl6. Solid State Commun. 1990, 73, 431–436. [Google Scholar] [CrossRef]
- Kluth, P.; Johannessen, B.; Giraud, V.; Cheung, A.; Glover, C.J.; Azevedo, G.d.M.; Foran, G.J.; Ridgway, M.C. Bond length contraction in Au nanocrystals formed by ion implantation into thin SiO2. Appl. Phys. Lett. 2004, 85, 3561–3563. [Google Scholar] [CrossRef]
- Kappen, P.; Ruben, G. Sakura; Australian Synchrotron: Clayton, Australia, 2013; Available online: https://sakura.readthedocs.io/en/latest/ (accessed on 10 March 2023).
- Ma, F.; Zhou, R.; Su, F.; Ou, Y.; Liang, H. The stability of coordination polyhedrons and distribution of europium ions in Ca6BaP4O17. Phys. Chem. Chem. Phys. 2020, 22, 22096–22106. [Google Scholar] [CrossRef]
- Konishi, K. Phosphine-coordinated pure-gold clusters: Diverse geometrical structures and unique optical properties/responses. In Gold Clusters, Colloids and Nanoparticles I; Springer: Berlin/Heidelberg, Germany, 2014; pp. 49–86. [Google Scholar]
- Elbers, M.; Sternemann, C.; Julius, K.; Paulus, M.; Surmeier, G.; König, N.; Nase, J.; Bolle, J.; Wagner, R.; Irifune, T.; et al. Pressure stability of the first hydration shell of yttrium in aqueous YCl3 solution. High Press. Res. 2020, 40, 194–204. [Google Scholar] [CrossRef]
- Guo, Z.; Zhu, H.; Dong, J.; Jia, Q.; Gong, Y.; Wang, Y.; Li, H.; An, P.; Yang, D.; Zhao, Y.; et al. Local structural changes during the disordered substitutional alloy transition in Bi2Te3 by high-pressure XAFS. J. Appl. Phys. 2018, 124, 065901. [Google Scholar] [CrossRef]
- Aghbolaghy, M. Catalytic Ozonation of Acetone and Toluene on Alumina-Supported Manganese Oxide. Ph.D. Thesis, University of Saskatchewan, Saskatoon, Canada, 2018. [Google Scholar]
- Aghbolaghy, M.; Soltan, J.; Chen, N. Low Temperature Catalytic Oxidation of Binary Mixture of Toluene and Acetone in the Presence of Ozone. Catal. Lett. 2018, 148, 3431–3444. [Google Scholar] [CrossRef]







| Path | CN (Fixed) | σ2 (Å2) | R (Å) |
|---|---|---|---|
| Au–P | 0.889 | 0.0012 ± 0.0008 | 2.2951 ± 0.0112 |
| (Au–Au)1 | 2.667 | 0.0035 ± 0.0006 | 2.7087 ± 0.0110 |
| (Au–Au)2 | 1.778 | 0.0031 ± 0.0009 | 2.8447 ± 0.0145 |
| Au–C | 2.667 | 0.0140 ± 0.0111 | 3.3783 ± 0.0947 |
Disclaimer/Publisher’s Note: The statements, opinions and data contained in all publications are solely those of the individual author(s) and contributor(s) and not of MDPI and/or the editor(s). MDPI and/or the editor(s) disclaim responsibility for any injury to people or property resulting from any ideas, methods, instructions or products referred to in the content. |
© 2023 by the authors. Licensee MDPI, Basel, Switzerland. This article is an open access article distributed under the terms and conditions of the Creative Commons Attribution (CC BY) license (https://creativecommons.org/licenses/by/4.0/).
Share and Cite
Sharma, S.K.; Johannessen, B.; Golovko, V.B.; Marshall, A.T. X-ray Absorption Spectroscopy of Phosphine-Capped Au Clusters. Inorganics 2023, 11, 191. https://doi.org/10.3390/inorganics11050191
Sharma SK, Johannessen B, Golovko VB, Marshall AT. X-ray Absorption Spectroscopy of Phosphine-Capped Au Clusters. Inorganics. 2023; 11(5):191. https://doi.org/10.3390/inorganics11050191
Chicago/Turabian StyleSharma, Shailendra K., Bernt Johannessen, Vladimir B. Golovko, and Aaron T. Marshall. 2023. "X-ray Absorption Spectroscopy of Phosphine-Capped Au Clusters" Inorganics 11, no. 5: 191. https://doi.org/10.3390/inorganics11050191
APA StyleSharma, S. K., Johannessen, B., Golovko, V. B., & Marshall, A. T. (2023). X-ray Absorption Spectroscopy of Phosphine-Capped Au Clusters. Inorganics, 11(5), 191. https://doi.org/10.3390/inorganics11050191

