Exploring the Hydrogen Sorption Capabilities of a Novel Ti-V-Mn-Zr-Nb High-Entropy Alloy
Abstract
1. Introduction
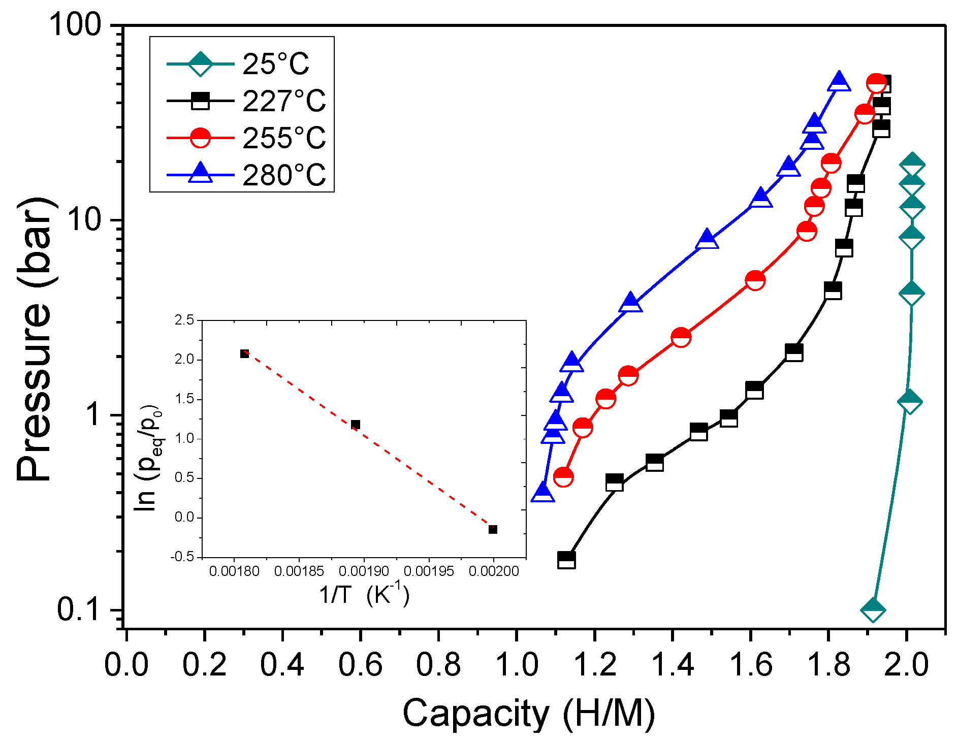
2. Results and Discussion
3. Materials and Methods
4. Conclusions
Author Contributions
Funding
Data Availability Statement
Acknowledgments
Conflicts of Interest
References
- Abe, J.O.; Popoola, A.P.I.; Ajenifuja, E.; Popoola, O.M. Hydrogen Energy, Economy and Storage: Review and Recommendation. Int. J. Hydrogen Energy 2019, 44, 15072–15086. [Google Scholar] [CrossRef]
- Eberle, U.; Felderhoff, M.; Schuth, F. Chemical and Physical Solutions for Hydrogen Storage. Angew. Chem.-Int. Ed. 2009, 48, 6608–6630. [Google Scholar] [CrossRef] [PubMed]
- Veziroğlu, T.N.; Şahi˙n, S. 21st Century’s Energy: Hydrogen Energy System. Energy Convers. Manag. 2008, 49, 1820–1831. [Google Scholar] [CrossRef]
- Allendorf, M.D.; Stavila, V.; Snider, J.L.; Witman, M.; Bowden, M.E.; Brooks, K.; Tran, B.L.; Autrey, T. Challenges to Developing Materials for the Transport and Storage of Hydrogen. Nat. Chem. 2022, 14, 1214–1223. [Google Scholar] [CrossRef] [PubMed]
- Hirscher, M.; Yartys, V.A.; Baricco, M.; Bellosta von Colbe, J.; Blanchard, D.; Bowman, R.C.; Broom, D.P.; Buckley, C.E.; Chang, F.; Chen, P.; et al. Materials for Hydrogen-Based Energy Storage – Past, Recent Progress and Future Outlook. J. Alloys Compd. 2020, 827, 153548. [Google Scholar] [CrossRef]
- Dematteis, E.M.; Berti, N.; Cuevas, F.; Latroche, M.; Baricco, M. Substitutional Effects in TiFe for Hydrogen Storage: A Comprehensive Review. Mater. Adv. 2021, 2, 2524–2560. [Google Scholar] [CrossRef]
- Cohen, R.L.; West, K.W.; Wernick, J.H. Degradation of LaNi5 by Temperature-Induced Cycling. J. Common Met. 1980, 73, 273–279. [Google Scholar] [CrossRef]
- Schlapbach, L.; Riesterer, T. The Activation of FeTi for Hydrogen Absorption. Appl. Phys. Solids Surf. 1983, 32, 169–182. [Google Scholar] [CrossRef]
- Yeh, J.-W.; Chen, S.-K.; Lin, S.-J.; Gan, J.-Y.; Chin, T.-S.; Shun, T.-T.; Tsau, C.-H.; Chang, S.-Y. Nanostructured High-Entropy Alloys with Multiple Principal Elements: Novel Alloy Design Concepts and Outcomes. Adv. Eng. Mater. 2004, 6, 299–303. [Google Scholar] [CrossRef]
- Cantor, B.; Chang, I.T.H.; Knight, P.; Vincent, A.J.B. Microstructural Development in Equiatomic Multicomponent Alloys. Mater. Sci. Eng. A 2004, 375–377, 213–218. [Google Scholar] [CrossRef]
- Gao, M.C.; Yeh, J.-W.; Liaw, P.K.; Zhang, Y. Hig-Entropy Alloys Fundamentals and Applications; Springer: Berlin/Heidelberg, Germany, 2016; Volume 10, ISBN 978-3-319-27011-1. [Google Scholar]
- Miracle, D.B. High Entropy Alloys as a Bold Step Forward in Alloy Development. Nat. Commun. 2019, 10, 1805. [Google Scholar] [CrossRef] [PubMed]
- Yang, X.; Zhang, Y. Prediction of High-Entropy Stabilized Solid-Solution in Multi-Component Alloys. Mater. Chem. Phys. 2012, 132, 233–238. [Google Scholar] [CrossRef]
- Guo, S.; Ng, C.; Lu, J.; Liu, C.T. Effect of Valence Electron Concentration on Stability of Fcc or Bcc Phase in High Entropy Alloys. J. Appl. Phys. 2011, 109, 103505. [Google Scholar] [CrossRef]
- Sahlberg, M.; Karlsson, D.; Zlotea, C.; Jansson, U. Superior Hydrogen Storage in High Entropy Alloys. Sci. Rep. 2016, 6, 36770. [Google Scholar] [CrossRef] [PubMed]
- Marques, F.; Balcerzak, M.; Winkelmann, F.; Zepon, G.; Felderhoff, M. Review and Outlook on High-Entropy Alloys for Hydrogen Storage. Energy Environ. Sci. 2021, 14, 5191–5227. [Google Scholar] [CrossRef]
- Kong, L.; Cheng, B.; Wan, D.; Xue, Y. A Review on BCC-Structured High-Entropy Alloys for Hydrogen Storage. Front. Mater. 2023, 10. [Google Scholar] [CrossRef]
- Sakaki, K.; Kim, H.; Asano, K.; Nakamura, Y. Hydrogen Storage Properties of Nb-Based Solid Solution Alloys with a BCC Structure. J. Alloys Compd. 2020, 820, 153399. [Google Scholar] [CrossRef]
- Montero, J.; Ek, G.; Sahlberg, M.; Zlotea, C. Improving the Hydrogen Cycling Properties by Mg Addition in Ti-V-Zr-Nb Refractory High Entropy Alloy. Scr. Mater. 2021, 194, 113699. [Google Scholar] [CrossRef]
- Montero, J.; Ek, G.; Laversenne, L.; Nassif, V.; Sahlberg, M.; Zlotea, C. How 10 At% Al Addition in the Ti-V-Zr-Nb High-Entropy Alloy Changes Hydrogen Sorption Properties. Molecules 2021, 26, 2470. [Google Scholar] [CrossRef]
- Bouzidi, A.; Laversenne, L.; Nassif, V.; Elkaim, E.; Zlotea, C. Hydrogen Storage Properties of a New Ti-V-Cr-Zr-Nb High Entropy Alloy. Hydrogen 2022, 3, 270–284. [Google Scholar] [CrossRef]
- Bouzidi, A.; Laversenne, L.; Zepon, G.; Vaughan, G.; Nassif, V.; Zlotea, C. Hydrogen Sorption Properties of a Novel Refractory Ti-V-Zr-Nb-Mo High Entropy Alloy. Hydrogen 2021, 2, 399–413. [Google Scholar] [CrossRef]
- Montero, J.; Ek, G.; Laversenne, L.; Nassif, V.; Zepon, G.; Sahlberg, M.; Zlotea, C. Hydrogen Storage Properties of the Refractory Ti–V–Zr–Nb–Ta Multi-Principal Element Alloy. J. Alloys Compd. 2020, 835, 155376. [Google Scholar] [CrossRef]
- Montero, J.; Zlotea, C.; Ek, G.; Crivello, J.-C.; Laversenne, L.; Sahlberg, M. TiVZrNb Multi-Principal-Element Alloy: Synthesis Optimization, Structural, and Hydrogen Sorption Properties. Molecules 2019, 24, 2799. [Google Scholar] [CrossRef] [PubMed]
- Zlotea, C.; Bouzidi, A.; Montero, J.; Ek, G.; Sahlberg, M. Compositional Effects on the Hydrogen Storage Properties in a Series of Refractory High Entropy Alloys. Front. Energy Res. 2022, 10, 991447. [Google Scholar] [CrossRef]
- SI Chemical Data, Third Edition (Aylward, Gordon; Findlay, Tristan) | Journal of Chemical Education. Available online: https://pubs.acs.org/doi/abs/10.1021/ed072pA109.1 (accessed on 23 June 2021).
- Couzinié, J.P.; Dirras, G.; Perrière, L.; Chauveau, T.; Leroy, E.; Champion, Y.; Guillot, I. Microstructure of a Near-Equimolar Refractory High-Entropy Alloy. Mater. Lett. 2014, 126, 285–287. [Google Scholar] [CrossRef]
- Silva, B.H.; Zlotea, C.; Champion, Y.; Botta, W.J.; Zepon, G. Design of TiVNb-(Cr, Ni or Co) Multicomponent Alloys with the Same Valence Electron Concentration for Hydrogen Storage. J. Alloys Compd. 2021, 865, 158767. [Google Scholar] [CrossRef]
- Fukai, Y. The Metal-Hydrogen System. Springer-Verlag.: Berlin/Heidelberg, Germany, 2005; Volume 21. [Google Scholar]
- Nygård, M.M.; Fjellvåg, Ø.S.; Sørby, M.H.; Sakaki, K.; Ikeda, K.; Armstrong, J.; Vajeeston, P.; Sławiński, W.A.; Kim, H.; Machida, A.; et al. The Average and Local Structure of TiVCrNbDx (X=0,2.2,8) from Total Scattering and Neutron Spectroscopy. Acta Mater. 2021, 205, 116496. [Google Scholar] [CrossRef]
- Pineda-Romero, N.; Witman, M.; Stavila, V.; Zlotea, C. The Effect of 10 at.% Al Addition on the Hydrogen Storage Properties of the Ti0.33V0.33Nb0.33 Multi-Principal Element Alloy. Intermetallics 2022, 146, 107590. [Google Scholar] [CrossRef]
- Nygård, M.M.; Sławiński, W.A.; Ek, G.; Sørby, M.H.; Sahlberg, M.; Keen, D.A.; Hauback, B.C. Local Order in High-Entropy Alloys and Associated Deuterides – a Total Scattering and Reverse Monte Carlo Study. Acta Mater. 2020, 199, 504–513. [Google Scholar] [CrossRef]
- Lilensten, L.; Couzinié, J.-P.; Perrière, L.; Hocini, A.; Keller, C.; Dirras, G.; Guillot, I. Study of a Bcc Multi-Principal Element Alloy: Tensile and Simple Shear Properties and Underlying Deformation Mechanisms. Acta Mater. 2018, 142, 131–141. [Google Scholar] [CrossRef]
- Couzinié, J.-P.; Lilensten, L.; Champion, Y.; Dirras, G.; Perrière, L.; Guillot, I. On the Room Temperature Deformation Mechanisms of a TiZrHfNbTa Refractory High-Entropy Alloy. Mater. Sci. Eng. A 2015, 645, 255–263. [Google Scholar] [CrossRef]
- Edalati, P.; Floriano, R.; Mohammadi, A.; Li, Y.; Zepon, G.; Li, H.-W.; Edalati, K. Reversible Room Temperature Hydrogen Storage in High-Entropy Alloy TiZrCrMnFeNi. Scr. Mater. 2020, 178, 387–390. [Google Scholar] [CrossRef]
- Vaughan, G.B.M.; Baker, R.; Barret, R.; Bonnefoy, J.; Buslaps, T.; Checchia, S.; Duran, D.; Fihman, F.; Got, P.; Kieffer, J.; et al. ID15A at the ESRF – a Beamline for High Speed Operando X-Ray Diffraction, Diffraction Tomography and Total Scattering. J. Synchrotron Radiat. 2020, 27, 515–528. [Google Scholar] [CrossRef] [PubMed]
- Kieffer, J.; Petitdemange, S.; Vincent, T. Real-Time Diffraction Computed Tomography Data Reduction. J. Synchrotron Radiat. 2018, 25, 612–617. [Google Scholar] [CrossRef]
- Ashiotis, G.; Deschildre, A.; Nawaz, Z.; Wright, J.P.; Karkoulis, D.; Picca, F.E.; Kieffer, J. The Fast Azimuthal Integration Python Library: PyFAI. J. Appl. Crystallogr. 2015, 48, 510–519. [Google Scholar] [CrossRef]
- Juhás, P.; Farrow, C.L.; Yang, X.; Knox, K.R.; Billinge, S.J.L. Complex Modeling: A Strategy and Software Program for Combining Multiple Information Sources to Solve Ill Posed Structure and Nanostructure Inverse Problems. Acta Crystallogr. Sect. Found. Adv. 2015, 71, 562–568. [Google Scholar] [CrossRef]
- Farrow, C.L.; Juhas, P.; Liu, J.W.; Bryndin, D.; Božin, E.S.; Bloch, J.; Proffen, T.; Billinge, S.J.L. PDFfit2 and PDFgui: Computer Programs for Studying Nanostructure in Crystals. J. Phys. Condens. Matter 2007, 19, 335219. [Google Scholar] [CrossRef]
- Rodríguez-Carvajal, J. Recent Advances in Magnetic Structure Determination by Neutron Powder Diffraction. Phys. B Condens. Matter 1993, 192, 55–69. [Google Scholar] [CrossRef]
- Cheary, R.W.; Coelho, A.A.; Cline, J.P. Fundamental Parameters Line Profile Fitting in Laboratory Diffractometers. J. Res. Natl. Inst. Stand. Technol. 2004, 109, 1. [Google Scholar] [CrossRef]
- Coelho, A.A. TOPAS and TOPAS-Academic: An Optimization Program Integrating Computer Algebra and Crystallographic Objects Written in C++. J. Appl. Crystallogr. 2018, 51, 210–218. [Google Scholar] [CrossRef]
- Gross, K.J.; Hardy, B.; Parilla, P.A. Recommended Best Practices for Characterizing Engineering Properties of Hydrogen Storage Materials; National Renewable Energy Laboratory: Golden, CO, USA, 2013. [Google Scholar]
- Broom, D.P.; Hirscher, M. Irreproducibility in Hydrogen Storage Material Research. Energy Environ. Sci. 2016, 9, 3368–3380. [Google Scholar] [CrossRef]








| Region | Ti (at.%) | V (at.%) | Mn (at.%) | Zr (at.%) | Nb (at.%) |
|---|---|---|---|---|---|
| Dendritic | 29.4 (0.2) | 24.4 (0.8) | 11.5 (1.3) | 6.5 (1.2) | 28.2 (1.8) |
| Interdendritic | 30.2 (0.6) | 25.5 (0.9) | 8.1 (1.2) | 15.5 (1.8) | 20.7 (1.5) |
| Overall | 29.9 (0.5) | 24.9 (0.6) | 9.5 (1.0) | 10.5 (1.2) | 25.2 (1.1) |
| Nominal | 30 | 25 | 10 | 10 | 25 |
| Sample | fcc Lattice Parameter, afcc (Å) | Uiso (Å2) | ||
|---|---|---|---|---|
| SR-XRD | Neutron Diffraction | |||
| Ti0.30V0.25Mn0.10Zr0.10Nb0.25H2 | 4.482 (1) | - | 4.485 (1) | 0.009 (1) |
| Ti0.30V0.25Mn0.10Zr0.10Nb0.25D2 | - | 4.460 (2) | - | - |
| Composition | Reference | ||
|---|---|---|---|
| Ti0.30V0.25Mn0.10Zr0.10Nb0.25 | −97 (±5) | −193 (±9) | Present work |
| Ti0.30V0.25Cr0.10Zr0.10Nb0.25 | −75 (±4) | −161 (±8) | [21] |
| (TiVNb)0.85Cr0.15 | −67 (±2) | −172 (±4) | [28] |
| (TiVNb)0.953Co0.047 | −67 (±2) | −174 (±5) | [28] |
| TiVNb | −67 (±5) | −157 (±11) | [31] |
| Hydrogen Capacity | Lattice Parameter (Å) | Phase Fraction (%) | ||||
|---|---|---|---|---|---|---|
| fcc Dihydride | bcc Monohydride | bcc Solid Solution | fcc Dihydride | bcc Monohydride | bcc Solid Solution | |
| 2.0 H/M | 4.482(1) | - | - | 100 | - | - |
| 0.8 H/M | - | 3.340 (6) | - | - | 100 | - |
| 0.5 H/M | - | 3.261 (5) | 3.243 (5) | - | 54 | 46 |
| 0.0 H/M | - | - | 3.251 (2) | - | - | 100 |
Disclaimer/Publisher’s Note: The statements, opinions and data contained in all publications are solely those of the individual author(s) and contributor(s) and not of MDPI and/or the editor(s). MDPI and/or the editor(s) disclaim responsibility for any injury to people or property resulting from any ideas, methods, instructions or products referred to in the content. |
© 2023 by the authors. Licensee MDPI, Basel, Switzerland. This article is an open access article distributed under the terms and conditions of the Creative Commons Attribution (CC BY) license (https://creativecommons.org/licenses/by/4.0/).
Share and Cite
Bouzidi, A.; Perrière, L.; Elkaim, E.; Laversenne, L.; Nassif, V.; Vaughan, G.; Zlotea, C. Exploring the Hydrogen Sorption Capabilities of a Novel Ti-V-Mn-Zr-Nb High-Entropy Alloy. Inorganics 2023, 11, 186. https://doi.org/10.3390/inorganics11050186
Bouzidi A, Perrière L, Elkaim E, Laversenne L, Nassif V, Vaughan G, Zlotea C. Exploring the Hydrogen Sorption Capabilities of a Novel Ti-V-Mn-Zr-Nb High-Entropy Alloy. Inorganics. 2023; 11(5):186. https://doi.org/10.3390/inorganics11050186
Chicago/Turabian StyleBouzidi, Anis, Loïc Perrière, Erik Elkaim, Laetitia Laversenne, Vivian Nassif, Gavin Vaughan, and Claudia Zlotea. 2023. "Exploring the Hydrogen Sorption Capabilities of a Novel Ti-V-Mn-Zr-Nb High-Entropy Alloy" Inorganics 11, no. 5: 186. https://doi.org/10.3390/inorganics11050186
APA StyleBouzidi, A., Perrière, L., Elkaim, E., Laversenne, L., Nassif, V., Vaughan, G., & Zlotea, C. (2023). Exploring the Hydrogen Sorption Capabilities of a Novel Ti-V-Mn-Zr-Nb High-Entropy Alloy. Inorganics, 11(5), 186. https://doi.org/10.3390/inorganics11050186

