Complexes of NiII, CoII, ZnII, and CuII with Promising Anti-Tuberculosis Drug: Solid-State Structures and DFT Calculations
Abstract
1. Introduction
2. Results and Discussion
2.1. Synthesis and Structural Analysis
2.2. Mass Spectrometry
2.3. IR Spectroscopy
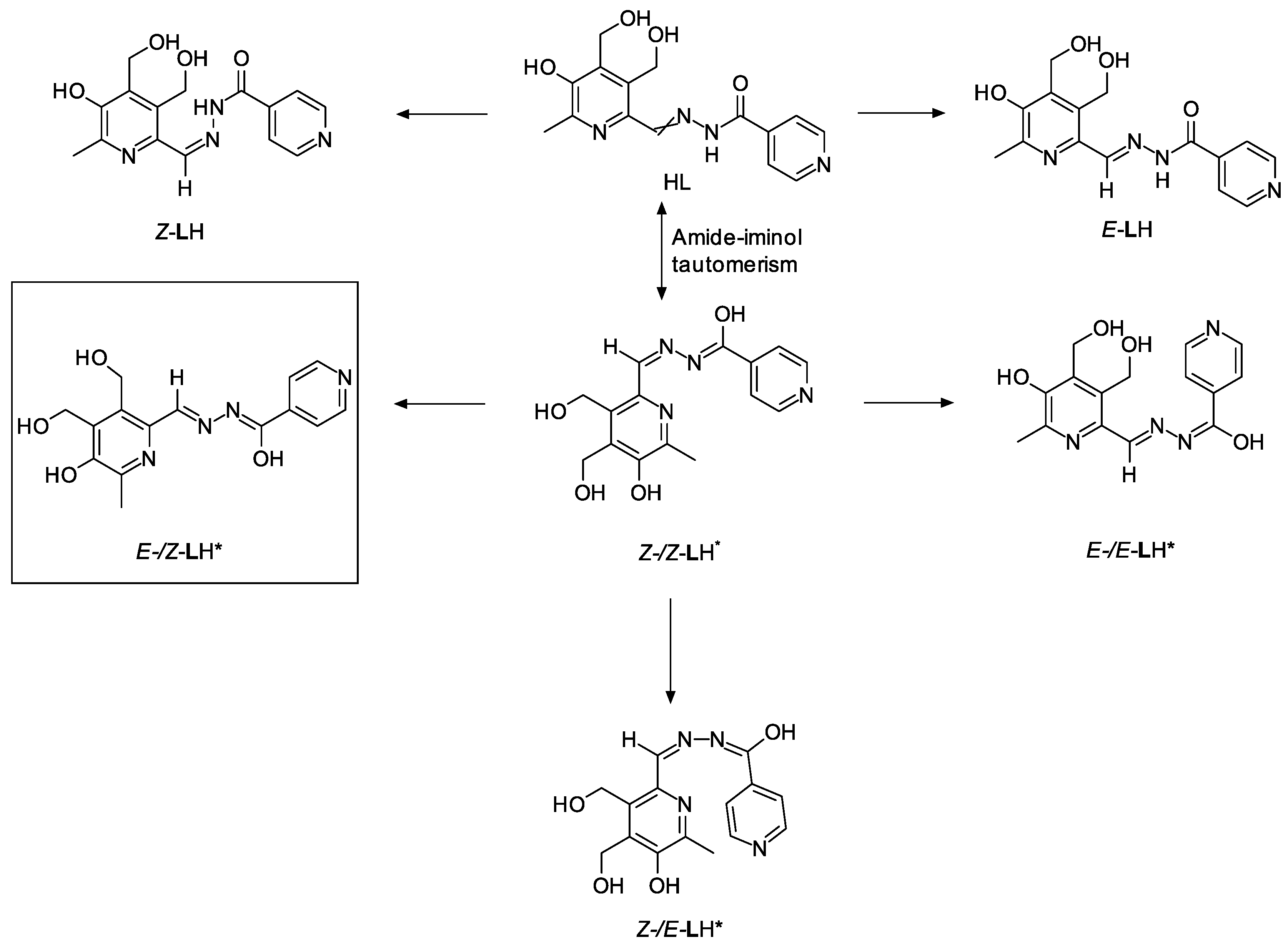
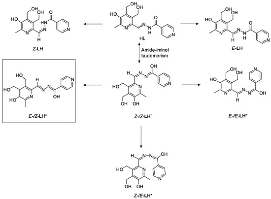
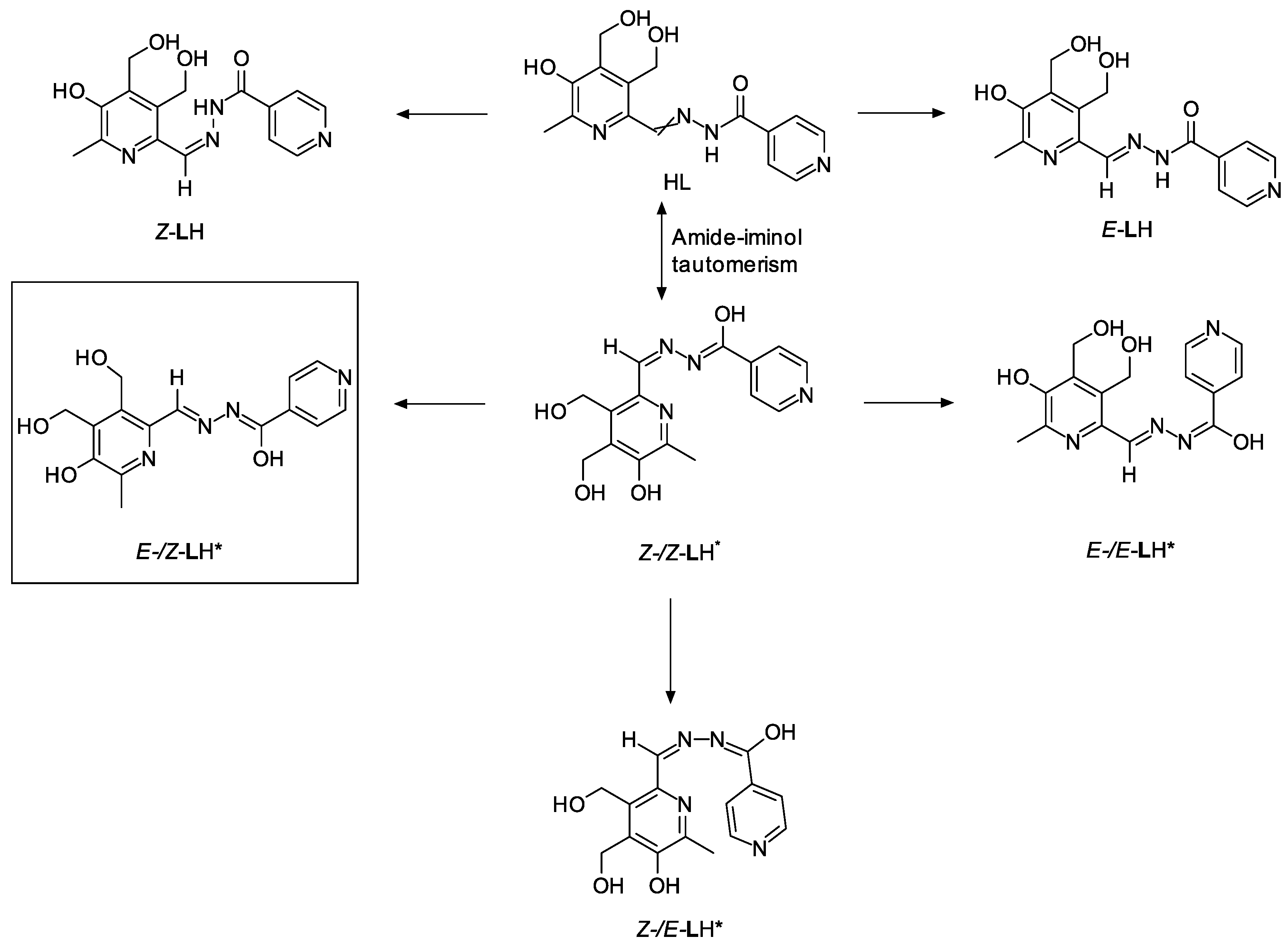
2.4. Quantum Chemical Calculations
3. Materials and Methods
3.1. Analytical Methods
- Single-crystal X-ray diffraction
- IR spectroscopy
- Mass spectrometry
- DFT calculations
3.2. Synthesis and Analytical Data
- General data
- Starting materials
- Synthesis of solid-state complexes
- Single crystal synthesis
4. Conclusions
Supplementary Materials
Author Contributions
Funding
Data Availability Statement
Acknowledgments
Conflicts of Interest
References
- Popiołek, Ł. Hydrazide–Hydrazones as Potential Antimicrobial Agents: Overview of the Literature since 2010. Med. Chem. Res. 2017, 26, 287–301. [Google Scholar] [CrossRef] [PubMed]
- Patole, J.; Sandbhor, U.; Padhye, S.; Deobagkar, D.N.; Anson, C.E.; Powell, A. Structural Chemistry and In Vitro Antitubercular Activity of Acetylpyridine Benzoyl Hydrazone and Its Copper Complex against Mycobacterium Smegmatis. Bioorg. Med. Chem. Lett. 2003, 13, 51–55. [Google Scholar] [CrossRef] [PubMed]
- Dos Santos Fernandes, G.F.; De Souza, P.C.; Moreno-Viguri, E.; Santivañez-Veliz, M.; Paucar, R.; Pérez-Silanes, S.; Chegaev, K.; Guglielmo, S.; Lazzarato, L.; Fruttero, R.; et al. Design, Synthesis, and Characterization of N-Oxide-Containing Heterocycles with in Vivo Sterilizing Antitubercular Activity. J. Med. Chem. 2017, 60, 8647–8660. [Google Scholar] [CrossRef] [PubMed]
- Oliveira, P.F.M.; Guidetti, B.; Chamayou, A.; André-Barrès, C.; Madacki, J.; Korduláková, J.; Mori, G.; Orena, B.S.; Chiarelli, L.R.; Pasca, M.R.; et al. Mechanochemical Synthesis and Biological Evaluation of Novel Isoniazid Derivatives with Potent Antitubercular Activity. Molecules 2017, 22, 1457. [Google Scholar] [CrossRef]
- Hu, Y.Q.; Zhang, S.; Zhao, F.; Gao, C.; Feng, L.S.; Lv, Z.S.; Xu, Z.; Wu, X. Isoniazid Derivatives and Their Anti-Tubercular Activity. Eur. J. Med. Chem. 2017, 133, 255–267. [Google Scholar] [CrossRef]
- Martins, F.; Santos, S.; Ventura, C.; Elvas-Leitão, R.; Santos, L.; Vitorino, S.; Reis, M.; Miranda, V.; Correia, H.F.; Aires-De-Sousa, J.; et al. Design, Synthesis and Biological Evaluation of Novel Isoniazid Derivatives with Potent Antitubercular Activity. Eur. J. Med. Chem. 2014, 81, 119–138. [Google Scholar] [CrossRef]
- Solomon, E.I.; Heppner, D.E.; Johnston, E.M.; Ginsbach, J.W.; Cirera, J.; Qayyum, M.; Kieber-Emmons, M.T.; Kjaergaard, C.H.; Hadt, R.G.; Tian, L. Copper Active Sites in Biology. Chem. Rev. 2014, 114, 3659–3853. [Google Scholar] [CrossRef]
- Brückmann, T.; Becker, J.; Würtele, C.; Seuffert, M.T.; Heuler, D.; Müller-Buschbaum, K.; Weiß, M.; Schindler, S. Characterization of Copper Complexes with Derivatives of the Ligand (2-Aminoethyl)Bis(2-Pyridylmethyl)Amine (Uns-Penp) and Their Reactivity towards Oxygen. J. Inorg. Biochem. 2021, 223, 111544. [Google Scholar] [CrossRef]
- Serov, N.Y.; Shtyrlin, V.G.; Bukharov, M.S.; Ermolaev, A.V.; Gilyazetdinov, E.M.; Urazaeva, K.V.; Rodionov, A.A. Complex Structures, Formation Thermodynamics and Substitution Reaction Kinetics in the Copper(II)–Glycylglycyl-l-Tyrosine–l/d-Histidine Systems. Polyhedron 2022, 228, 116176. [Google Scholar] [CrossRef]
- Murekhina, A.E.; Yarullin, D.N.; Sovina, M.A.; Kitaev, P.A.; Gamov, G.A. Copper (II)-Catalyzed Oxidation of Ascorbic Acid: Ionic Strength Effect and Analytical Use in Aqueous Solution. Inorganics 2022, 10, 102. [Google Scholar] [CrossRef]
- Zavalishin, M.N.; Gamov, G.A.; Pimenov, O.A.; Pogonin, A.E.; Aleksandriiskii, V.V.; Usoltsev, S.D.; Marfin, Y.S. Pyridoxal 5′-Phosphate 2-Methyl-3-Furoylhydrazone as a Selective Sensor for Zn2+ Ions in Water and Drug Samples. J. Photochem. Photobiol. A Chem. 2022, 432, 114112. [Google Scholar] [CrossRef]
- Santiago, P.H.O.; Santiago, M.B.; Martins, C.H.G.; Gatto, C.C. Copper(II) and Zinc(II) Complexes with Hydrazone: Synthesis, Crystal Structure, Hirshfeld Surface and Antibacterial Activity. Inorg. Chim. Acta 2020, 508, 119632. [Google Scholar] [CrossRef]
- Kenđel, A.; Miljanić, S.; Kontrec, D.; Soldin, Ž.; Galić, N. Copper(II) Complexes of Aroylhydrazones: Preparation and Structural Characterization. J. Mol. Struct. 2020, 1207, 127783. [Google Scholar] [CrossRef]
- Kovalenko, A.; Rublev, P.O.; Tcelykh, L.O.; Goloveshkin, A.S.; Lepnev, L.S.; Burlov, A.S.; Vashchenko, A.A.; Marciniak, L.; Magerramov, A.M.; Shikhaliyev, N.G.; et al. Lanthanide Complexes with 2-(Tosylamino)-Benzylidene-N-(Aryloyl)Hydrazones: Universal Luminescent Materials. Chem. Mater. 2019, 31, 759–773. [Google Scholar] [CrossRef]
- Paschalidis, D.G.; Tossidis, I.A.; Gdaniec, M. Synthesis, Characterization and Spectra of Lanthanide(III) Hydrazone Complexes: The X-Ray Molecular Structures of the Erbium(III) Complex and the Ligand. Polyhedron 2000, 19, 2629–2637. [Google Scholar] [CrossRef]
- Zhernakov, M.A.; Sedykh, A.E.; Becker, J.; Maxeiner, M.; Müller-Buschbaum, K.; Shtyrlin, V.G. Three Ytterbium(III) Complexes with Aromatic N-Donors: Synthesis, Structure, Photophysical Properties and Thermal Stability. Z. Für Anorg. Und Allg. Chem. 2022, 648, e202200230. [Google Scholar] [CrossRef]
- Huang, W. {μ-1,5-Bis[(E)-1-(2-Pyrid-Yl)Ethyl-Idene]Carbonohydrazidato(1-)} Bis-[Chlorido-Methano-Lcopper(II)] Perchlorate. Acta Crystallogr. Sect. E Struct. Rep. Online 2009, 65, m1347. [Google Scholar] [CrossRef]
- Wang, L.H.; Qiu, X.Y.; Liu, S.J. Synthesis, Characterization and Crystal Structures of Copper(II), Zinc(II) and Vanadium(V) Complexes, Derived from 3-Methyl-N′-(1-(Pyridin-2-Yl)Ethylidene)Benzohydrazide, with Antibacterial Activity. J. Coord. Chem. 2019, 72, 962–971. [Google Scholar] [CrossRef]
- Emami, M.; Shahroosvand, H.; Bikas, R.; Lis, T.; Daneluik, C.; Pilkington, M. Synthesis, Study, and Application of Pd(II) Hydrazone Complexes as the Emissive Components of Single-Layer Light-Emitting Electrochemical Cells. Inorg. Chem. 2021, 60, 982–994. [Google Scholar] [CrossRef] [PubMed]
- Badiger, D.S.; Hunoor, R.S.; Patil, B.R.; Vadavi, R.S.; Mangannavar, C.V.; Muchchandi, I.S.; Patil, Y.P.; Nethaji, M.; Gudasi, K.B. Synthesis, Spectroscopic Properties and Biological Evaluation of Transition Metal Complexes of Salicylhydrazone of Anthranilhydrazide: X-Ray Crystal Structure of Copper Complex. Inorg. Chim. Acta 2012, 384, 197–203. [Google Scholar] [CrossRef]
- Ogunniran, K.O.; Mesubi, M.A.; Raju, K.V.S.N.; Narender, T. Structural and in Vitro Anti-Tubercular Activity Study of (E)-N’-(2,6-Dihydroxybenzylidene)Nicotinohydrazide and Some Transition Metal Complexes. J. Iran. Chem. Soc. 2015, 12, 815–829. [Google Scholar] [CrossRef]
- Kuranova, N.N.; Yarullin, D.N.; Zavalishin, M.N.; Gamov, G.A. Complexation of Gold(III) with Pyridoxal 5′-Phosphate-Derived Hydrazones in Aqueous Solution. Molecules 2022, 27, 7346. [Google Scholar] [CrossRef]
- Shtyrlin, N.V.; Khaziev, R.M.; Shtyrlin, V.G.; Gilyazetdinov, E.M.; Agafonova, M.N.; Usachev, K.S.; Islamov, D.R.; Klimovitskii, A.E.; Vinogradova, T.I.; Dogonadze, M.Z.; et al. Isonicotinoyl Hydrazones of Pyridoxine Derivatives: Synthesis and Antimycobacterial Activity. Med. Chem. Res. 2021, 30, 952–963. [Google Scholar] [CrossRef]
- Gamov, G.A.; Zavalishin, M.N.; Petrova, M.V.; Khokhlova, A.Y.; Gashnikova, A.V.; Kiselev, A.N.; Sharnin, V.A. Interaction of Pyridoxal-Derived Hydrazones with Anions and Co2+, Co3+, Ni2+, Zn2+ Cations. Phys. Chem. Liq. 2020, 59, 666–678. [Google Scholar] [CrossRef]
- Alsharif, M.A.; Naeem, N.; Mughal, E.U.; Sadiq, A.; Jassas, R.S.; Kausar, S.; Altaf, A.A.; Zafar, M.N.; Mumtaz, A.; Obaid, R.J.; et al. Experimental and Theoretical Insights into the Photophysical and Electrochemical Properties of Flavone-Based Hydrazones. J. Mol. Struct. 2021, 1244, 130965. [Google Scholar] [CrossRef]
- Bersuker, I.B. Modern Aspects of the Jahn-Teller Effect Theory and Applications to Molecular Problems. Chem. Rev. 2001, 101, 1067–1114. [Google Scholar] [CrossRef] [PubMed]
- Brückmann, T.; Becker, J.; Turke, K.; Smarsly, B.; Weiß, M.; Marschall, R.; Schindler, S. Immobilization of a Copper Complex Based on the Tripodal Ligand (2-Aminoethyl)Bis(2-Pyridylmethyl)Amine (Uns-Penp). Z. Für Anorg. Und Allg. Chem. 2021, 647, 560–571. [Google Scholar] [CrossRef]
- Stumpf, T.D.J.; Steinbach, M.; Würtele, C.; Becker, J.; Becker, S.; Fröhlich, R.; Göttlich, R.; Schindler, S. Reactivity of Copper Complexes with Bis(Piperidinyl)Methane and Bis(Quinolinyl)Methane Ligands. Eur. J. Inorg. Chem. 2017, 2017, 4246–4258. [Google Scholar] [CrossRef]
- Shtyrlin, V.G.; Zakharov, A.V.; Evgenieva, I.I. The Nature of the "Pentaamine Effect" and the Reactivity of Copper(II) Pentacoordination Compounds. J. Inorg. Chem. 1983, 28, 435–441. (In Russian) [Google Scholar]
- Powell, D.H.; Helm, L.; Merbach, A.E. 17O Nuclear Magnetic Resonance in Aqueous Solutions of Cu2+: The Combined Effect of Jahn–Teller Inversion and Solvent Exchange on Relaxation Rates. J. Chem. Phys. 1991, 95, 9258. [Google Scholar] [CrossRef]
- Bruno, I.J.; Cole, J.C.; Kessler, M.; Luo, J.; Momerwell, W.D.S.; Purkis, L.H.; Smith, B.R.; Taylor, R.; Cooper, R.I.; Harris, S.E.; et al. Retrieval of Crystallographically-Derived Molecular Geometry Information. J. Chem. Inf. Comput. Sci. 2004, 44, 2133–2144. [Google Scholar] [CrossRef]
- Sutradhar, M.; Roy Barman, T.; Alegria, E.C.B.A.; Guedes Da Silva, M.F.C.; Liu, C.M.; Kou, H.Z.; Pombeiro, A.J.L. Cu(II) Complexes of N-Rich Aroylhydrazone: Magnetism and Catalytic Activity towards Microwave-Assisted Oxidation of Xylenes. Dalt. Trans. 2019, 48, 12839–12849. [Google Scholar] [CrossRef]
- Rowland, J.M.; Olmstead, M.M.; Mascharak, P.K. Monomeric and Dimeric Copper(II) Complexes of a Novel Tripodal Peptide Ligand: Structures Stabilized via Hydrogen Bonding or Ligand Sharing. Inorg. Chem. 2000, 39, 5326–5332. [Google Scholar] [CrossRef]
- Sauer, D.C.; Wadepohl, H. Variable Coordination Modes of an Active Ligand Periphery in 1,3-Bis(2-Pyridylimino)Isoindolato Copper(II) Complexes. Polyhedron 2014, 81, 180–187. [Google Scholar] [CrossRef]
- Chetana, P.R.; Rao, R.; Saha, S.; Policegoudra, R.S.; Vijayan, P.; Aradhya, M.S. Oxidative DNA Cleavage, Cytotoxicity and Antimicrobial Studies of l-Ornithine Copper (II) Complexes. Polyhedron 2012, 48, 43–50. [Google Scholar] [CrossRef]
- Xu, C.; Mao, H.; Shen, X.; Zhang, H.; Liu, H.; Wu, Q.; Hou, H.; Zhu, Y. Synthesis and Crystal Structures of Cu(II) and Pb(II) Aroylhydrazone Complexes and Magnetic Properties of [Cu2(L)2(Cl)2(HO)6]n (HL=2-Pyridylaldehyde Isonicotinoylhydrazone). J. Coord. Chem. 2007, 60, 193–200. [Google Scholar] [CrossRef]
- Murphy, T.B.; Rose, N.J.; Schomaker, V.; Aruffo, A. Syntheses of Iron(III) Aroyl Hydrazones Containing Pyridoxal and Salicylaldehyde. The Crystal and Molecular Structure of Two Iron(III)-Pyridoxal Isonicotinoyl Hydrazone Complexes. Inorg. Chim. Acta 1985, 108, 183–194. [Google Scholar] [CrossRef]
- Bukharov, M.S.; Shtyrlin, V.G.; Gilyazetdinov, E.M.; Serov, N.Y.; Madzhidov, T.I. Hydration of Copper(II) Amino Acids Complexes. J. Comput. Chem. 2018, 39, 821–826. [Google Scholar] [CrossRef] [PubMed]
- Bukharov, M.S.; Shtyrlin, V.G.; Mamin, G.V.; Stapf, S.; Mattea, C.; Mukhtarov, A.S.; Serov, N.Y.; Gilyazetdinov, E.M. Structure and Dynamics of Solvation Shells of Copper(II) Complexes with N,O-Containing Ligands. Inorg. Chem. 2015, 54, 9777–9784. [Google Scholar] [CrossRef] [PubMed]
- Bukharov, M.S.; Shtyrlin, V.G.; Mukhtarov, A.S.; Mamin, G.V.; Stapf, S.; Mattea, C.; Krutikov, A.A.; Il’In, A.N.; Serov, N.Y. Study of Structural and Dynamic Characteristics of Copper(II) Amino Acid Complexes in Solutions by Combined EPR and NMR Relaxation Methods. Phys. Chem. Chem. Phys. 2014, 16, 9411–9421. [Google Scholar] [CrossRef]
- Neese, F. The ORCA Program System. Wiley Interdiscip. Rev. Comput. Mol. Sci. 2012, 2, 73–78. [Google Scholar] [CrossRef]
- Kohn, W.; Becke, A.D.; Parr, R.G. Density Functional Theory of Electronic Structure. J. Phys. Chem. 1996, 100, 12974–12980. [Google Scholar] [CrossRef]
- Sheldrick, G.M. SHELXT-Integrated Space-Group and Crystal-Structure Determination. Acta Crystallogr. Sect. A Found. Crystallogr. 2015, 71, 3–8. [Google Scholar] [CrossRef] [PubMed]
- Sheldrick, G.M. A Short History of SHELX. Acta Crystallogr. Sect. A Found. Crystallogr. 2008, 64, 112–122. [Google Scholar] [CrossRef]
- Macrae, C.F.; Edgington, P.R.; McCabe, P.; Pidcock, E.; Shields, G.P.; Taylor, R.; Towler, M.; Van De Streek, J. Mercury: Visualization and Analysis of Crystal Structures. J. Appl. Crystallogr. 2006, 39, 453–457. [Google Scholar] [CrossRef]
- Becke, A.D. Density-functional Thermochemistry. III. The Role of Exact Exchange. J. Chem. Phys. 1998, 98, 5648. [Google Scholar] [CrossRef]
- Lee, C.; Yang, W.; Parr, R.G. Development of the Colle-Salvetti Correlation-Energy Formula into a Functional of the Electron Density. Phys. Rev. B 1988, 37, 785. [Google Scholar] [CrossRef]
- Schäfer, A.; Huber, C.; Ahlrichs, R. Fully Optimized Contracted Gaussian Basis Sets of Triple Zeta Valence Quality for Atoms Li to Kr. J. Chem. Phys. 1998, 100, 5829. [Google Scholar] [CrossRef]
- Weigend, F.; Häser, M.; Patzelt, H.; Ahlrichs, R. RI-MP2: Optimized Auxiliary Basis Sets and Demonstration of Efficiency. Chem. Phys. Lett. 1998, 294, 143–152. [Google Scholar] [CrossRef]
- Weigend, F.; Ahlrichs, R. Balanced Basis Sets of Split Valence, Triple Zeta Valence and Quadruple Zeta Valence Quality for H to Rn: Design and Assessment of Accuracy. Phys. Chem. Chem. Phys. 2005, 7, 3297–3305. [Google Scholar] [CrossRef] [PubMed]
- Cossi, M.; Rega, N.; Scalmani, G.; Barone, V. Energies, Structures, and Electronic Properties of Molecules in Solution with the C-PCM Solvation Model. J. Comput. Chem. 2003, 24, 669–681. [Google Scholar] [CrossRef] [PubMed]
- Grimme, S.; Antony, J.; Ehrlich, S.; Krieg, H. A Consistent and Accurate Ab Initio Parametrization of Density Functional Dispersion Correction (DFT-D) for the 94 Elements H-Pu. J. Chem. Phys. 2010, 132, 154104. [Google Scholar] [CrossRef] [PubMed]
- Grimme, S.; Ehrlich, S.; Goerigk, L. Effect of the Damping Function in Dispersion Corrected Density Functional Theory. J. Comput. Chem. 2011, 32, 1456–1465. [Google Scholar] [CrossRef] [PubMed]







| Atom | Cu1A | Cu1B |
|---|---|---|
| Npyridine | 2.073(4) Å | 2.079(5) Å |
| Cl | 2.280(2) Å | 2.248(2) Å |
| O | 2.043(4) Å | 2.035(4) Å |
| Nhydrazide | 1.922(4) Å | 1.941(4) Å |
| Npolymeric | 2.134(5) Å | 2.150(4) Å |
| Isomer | Energy Difference, ΔE |
|---|---|
| Z-LH (Figure S8) | 0 |
| E-LH (Figure S7) | 12.76 kJ/mol |
| Z-LHβ (Figure S9) | 10.58 kJ/mol |
| Z-LHγ (Figure S10) | 17.43 kJ/mol |
| Z-LHΔ (Figure S11) | 28.41 kJ/mol |
Disclaimer/Publisher’s Note: The statements, opinions and data contained in all publications are solely those of the individual author(s) and contributor(s) and not of MDPI and/or the editor(s). MDPI and/or the editor(s) disclaim responsibility for any injury to people or property resulting from any ideas, methods, instructions or products referred to in the content. |
© 2023 by the authors. Licensee MDPI, Basel, Switzerland. This article is an open access article distributed under the terms and conditions of the Creative Commons Attribution (CC BY) license (https://creativecommons.org/licenses/by/4.0/).
Share and Cite
Ahmed, M.A.; Zhernakov, M.A.; Gilyazetdinov, E.M.; Bukharov, M.S.; Islamov, D.R.; Usachev, K.S.; Klimovitskii, A.E.; Serov, N.Y.; Burilov, V.A.; Shtyrlin, V.G. Complexes of NiII, CoII, ZnII, and CuII with Promising Anti-Tuberculosis Drug: Solid-State Structures and DFT Calculations. Inorganics 2023, 11, 167. https://doi.org/10.3390/inorganics11040167
Ahmed MA, Zhernakov MA, Gilyazetdinov EM, Bukharov MS, Islamov DR, Usachev KS, Klimovitskii AE, Serov NY, Burilov VA, Shtyrlin VG. Complexes of NiII, CoII, ZnII, and CuII with Promising Anti-Tuberculosis Drug: Solid-State Structures and DFT Calculations. Inorganics. 2023; 11(4):167. https://doi.org/10.3390/inorganics11040167
Chicago/Turabian StyleAhmed, Mohamed Ali, Maksim A. Zhernakov, Edward M. Gilyazetdinov, Mikhail S. Bukharov, Daut R. Islamov, Konstantin S. Usachev, Alexander E. Klimovitskii, Nikita Yu. Serov, Vladimir A. Burilov, and Valery G. Shtyrlin. 2023. "Complexes of NiII, CoII, ZnII, and CuII with Promising Anti-Tuberculosis Drug: Solid-State Structures and DFT Calculations" Inorganics 11, no. 4: 167. https://doi.org/10.3390/inorganics11040167
APA StyleAhmed, M. A., Zhernakov, M. A., Gilyazetdinov, E. M., Bukharov, M. S., Islamov, D. R., Usachev, K. S., Klimovitskii, A. E., Serov, N. Y., Burilov, V. A., & Shtyrlin, V. G. (2023). Complexes of NiII, CoII, ZnII, and CuII with Promising Anti-Tuberculosis Drug: Solid-State Structures and DFT Calculations. Inorganics, 11(4), 167. https://doi.org/10.3390/inorganics11040167

