A New 1D Ni (II) Coordination Polymer of s-Triazine Type Ligand and Thiocyanate as Linker via Unexpected Hydrolysis of 2,4-Bis(3,5-dimethyl-1H-pyrazol-1-yl)-6-methoxy-1,3,5-triazine
Abstract
1. Introduction
2. Results and Discussion
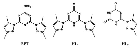
2.1. Synthesis and Characterizations
2.2. Crystal Structure Description
2.3. FTIR Spectra
2.4. Biological Studies
2.4.1. Antimicrobial Activity
2.4.2. The Cytotoxic Activity
3. Materials and Methods
3.1. Synthesis of BPT Ligand
3.2. Synthesis of [Ni(MPT)(H2O)(SCN)2]n Complex
3.3. Physicochemical Characterizations
3.4. Biological Studies
4. Conclusions
Supplementary Materials
Author Contributions
Funding
Data Availability Statement
Conflicts of Interest
References
- Orhan, N.; Uysal, S. The synthesis and characterization of s-triazine polymer complexes containing epoxy groups. J. Mol. Struct. 2020, 1203, 127370. [Google Scholar] [CrossRef]
- Silen, J.L.; Lu, A.T.; Solas, D.W.; Gore, M.A.; Maclean, D.; Shah, N.H.; Coffin, J.M.; Bhinderwala, N.S.; Wang, Y.; Tsutsui, K.T.; et al. Screening for novel antimicrobials from encoded combinatorial libraries by using a two-dimensional agar format. Antimicrob. Agents Chemother. 1998, 42, 1447–1453. [Google Scholar] [CrossRef] [PubMed]
- Refaat, H.M.; Alotaibi, A.A.M.; Dege, N.; El-Faham, A.; Soliman, S.M. Co(II) complexes based on the bis-pyrazol-s-triazine pincer ligand: Synthesis, X-ray structure studies, and cytotoxic evaluation. Crystals 2022, 12, 741. [Google Scholar] [CrossRef]
- Foster, B.J.; Harding, B.J.; Leyland-Jones, B.; Hoth, D. Hexamethyl melamine: A critical review of an active drug. Cancer Treat. Rev. 1986, 13, 197–217. [Google Scholar] [CrossRef] [PubMed]
- Kumar, P.V.; Tusi, S.; Tusi, Z.; Joshi, M.; Bajpai, S. Synthesis and biological activity of substituted 2,4,6-s-triazines. Acta Pharm. 2004, 54, 1–12. [Google Scholar]
- Lasri, J.; Al-Rasheed, H.H.; El-Faham, A.; Haukka, M.; Abutaha, N.; Soliman, S.M. Synthesis, structure and in vitro anticancer activity of Pd(II) complexes of mono- and bis-pyrazolyl-s-triazine ligands. Polyhedron 2020, 187, 114665. [Google Scholar] [CrossRef]
- Mikhaylichenko, S.N.; Patel, S.M.; Dalili, S.; Chesnyuk, A.A.; Zaplishny, V.N. Synthesis and structure of new 1, 3, 5-triazine-pyrazole derivatives. Tetrahedron Lett. 2009, 50, 2505–2508. [Google Scholar] [CrossRef]
- Farooq, M.; Sharma, A.; Almarhoon, Z.; Al-Dhfyan, A.; El-Faham, A.; Abu Taha, N.; Wadaan, M.A.M.; de la Torre, B.G.; Albericio, F. Design and synthesis of mono-and di-pyrazolyl-s-triazine derivatives, their anticancer profile in human cancer cell lines, and in vivo toxicity in zebrafish embryos. Bioorg. Chem. 2019, 87, 457–464. [Google Scholar]
- Horacek, H.; Pieh, S. The importance of intumescent systems for fire protection of plastic materials. Polym. Int. 2000, 49, 1106–1114. [Google Scholar] [CrossRef]
- Gonul, I.; Ay, B.; Karaca, S.; Sahin, O.; Serin, S. Novel copper(II) complexes of two tridentate ONN type ligands: Synthesis, characterization, electrical conductivity and luminescence properties. Inorg. Chim. Acta 2018, 477, 75–83. [Google Scholar] [CrossRef]
- Naz, A.; Arun, S.; Narvi, S.S.; Alam, M.S.; Singh, A.; Bhartiya, P.; Dutta, P.K. Cu(II)-carboxymethyl chitosan-silane Schiff base complex grafted on nano silica: Structural evolution, antibacterial performance and dye degradation ability. Int. J. Biol. Macromol. 2018, 110, 215–226. [Google Scholar] [CrossRef] [PubMed]
- Lu, F.; Astruc, D. Nanomaterials for removal of toxic elements from water. Coord. Chem. Rev. 2018, 356, 147–164. [Google Scholar] [CrossRef]
- Hoog, D.P.; Gamez, P.; Dressen, W.L.; Reedijk, J. New polydentate and polynucleating N-donor ligands from amines and 2,4,6-trichloro-1,3,5-triazine. Tetrahedron Lett. 2002, 43, 6783–6786. [Google Scholar] [CrossRef]
- Mahler, J.; Rafler, G. Modified melamine resins for optical applications. Opt. Mater. 1999, 12, 363–368. [Google Scholar] [CrossRef]
- Nuyken, O.; Scherer, C.; Baindl, A.; Brenner, A.R.; Dahn, U.; Gärtner, R.; Kaiser-Rohrich, S.; Kollefrath, R.; Matusche, P.; Voit, B. Azo-group-containing polymers for use in communications technologies. Prog. Polym. Sci. 1997, 22, 93–183. [Google Scholar] [CrossRef]
- Yan, H.; Zhao, Z.; Ge, W.; Zhang, N.; Jin, Q. Hyperbranched polyurea as charring agent for simultaneously improving flame retardancy and mechanical properties of ammonium polyphosphate/polypropylene composites. Ind. Eng. Chem. Res. 2017, 56, 8408–8415. [Google Scholar] [CrossRef]
- Fink, J.K. An Overview of Methods and Standards, the Chemistry of Bio-Based Polymers; Scrivener Publishing LLC; John Wiley & Sons, Inc.: Hoboken, NJ, USA, 2014; pp. 1–41. [Google Scholar]
- Nedel’ko, V.V.; Shastin, A.V.; Korsunskii, B.L.; Chukanov, N.V.; Larikova, T.S.; Kazakov, A.I. Synthesis and thermal decomposition of ditetrazol-5-ylamine. Russ. Chem. Bull. 2005, 54, 1710. [Google Scholar] [CrossRef]
- El-Faham, A.; Dahlous, K.A.; AL-Othman, Z.A.; Al-Lohedan, H.A.; El-Mahdy, G.A. Sym-trisubstituted 1,3,5-triazine derivatives as promising organic corrosion inhibitors for steel in acidic solution. Molecules 2016, 21, 436–447. [Google Scholar] [CrossRef]
- Dahlous, K.A.; Alotaibi, A.A.M.; Dege, N.; El-Faham, A.; Soliman, S.M.; Refaat, H.M. X-ray structure analyses and biological evaluations of a new Cd (II) complex with s-triazine based ligand. Crystals 2022, 12, 861. [Google Scholar] [CrossRef]
- Mooibroek, T.J.; Gamez, P. The s-triazine ring, a remarkable unit to generate supramolecular interactions. Inorg. Chim. Acta 2007, 360, 381–404. [Google Scholar] [CrossRef]
- Gamez, P.; Reedijk, J. 1,3,5-triazine-based synthons in supramolecular chemistry. Eur. J. Inorg. Chem. 2006, 37, 29–42. [Google Scholar] [CrossRef]
- Soliman, S.M.; Elsilk, S.E.; El-Faham, A. Synthesis, structure and biological activity of zinc (II) pincer complexes with 2,4-bis(3,5-dimethyl-1H-pyrazol-1-yl)-6-methoxy-1,3,5-triazine. Inorg. Chim. Acta 2020, 508, 119627. [Google Scholar] [CrossRef]
- Soliman, S.M.; El-Faham, A. Synthesis, characterization, and structural studies of two heteroleptic Mn (II) complexes with tridentate N, N, N-pincer type ligand. J. Coord. Chem. 2018, 71, 2373–2388. [Google Scholar] [CrossRef]
- Soliman, S.M.; El-Faham, A. One pot synthesis of two Mn (II) perchlorate complexes with s-triazine NNN-pincer ligand; molecular structure, Hirshfeld analysis and DFT studies. J. Mol. Struct. 2018, 1164, 344–353. [Google Scholar] [CrossRef]
- Das, A.; Demeshko, S.; Dechert, S.; Meyer, F. A new triazine-based tricompartmental ligand for stepwise assembly of mononuclear, dinuclear, and 1D-polymeric heptacoordinate manganese(II)/azido complexes. Eur. J. Inorg. Chem. 2011, 2011, 1240–1248. [Google Scholar] [CrossRef]
- Tilly, D.; Dayaker, G.; Bachu, P. Cobalt mediated C–H bond functionalization: Emerging tools for organic synthesis. Catal. Sci. Technol. 2014, 4, 2756–2777. [Google Scholar] [CrossRef]
- Yoshino, T.; Matsunaga, S. Cobalt-catalyzed C(sp3)-H functionalization reactions. Asian J. Org. Chem. 2018, 7, 1193–1205. [Google Scholar] [CrossRef]
- Soliman, S.M.; Massoud, R.A.; Al-Rasheed, H.H.; El-Faham, A. Syntheses and structural investigations of penta-coordinated Co(II) complexes with bis-pyrazolo-s-triazine pincer ligands, and evaluation of their antimicrobial and antioxidant activities. Molecules 2021, 26, 3633. [Google Scholar] [CrossRef]
- Refaat, H.M.; Alotaibi, A.A.M.; Dege, N.; El-Faham, A.; Soliman, S.M. Synthesis, Structure and biological evaluations of Zn(II) pincer complexes based on s-triazine type chelator. Molecules 2022, 27, 3625. [Google Scholar] [CrossRef]
- Soliman, S.M.; El-Faham, A.; Elsilk, S.E. Novel one-dimensional polymeric Cu(II) complexes via Cu(II)-assisted hydrolysis of the 2,4-bis (3,5-dimethyl-1Hpyrazol-1-yl)-6-methoxy-1,3,5-triazine pincer ligand: Synthesis, structure, and antimicrobial activities. Appl. Organomet. Chem. 2020, 34, e5941. [Google Scholar] [CrossRef]
- Soliman, S.M.; Al-Rasheed, H.H.; Elsilk, S.E.; El-Faham, A. A Novel centrosymmetric Fe(III) complex with anionic bis-pyrazolyl-s-triazine ligand; synthesis, structural investigations and antimicrobial evaluations. Symmetry 2021, 13, 1247. [Google Scholar] [CrossRef]
- Lasri, J.; Haukka, M.; Al-Rasheed, H.H.; Abutaha, N.; El-Faham, A.; Soliman, S.M. Synthesis, structure and in vitro anticancer activity of Pd (II) complex of pyrazolyl-s-triazine ligand; A new example of metal-mediated hydrolysis of s-triazine pincer ligand. Crystals 2021, 11, 119. [Google Scholar] [CrossRef]
- Soliman, S.M.; Elsilk, S.E.; El-Faham, A. Syntheses, structure, Hirshfeld analysis and antimicrobial activity of four new Co(II) complexes with s-triazine-based pincer ligand. Inorg. Chim. Acta 2020, 510, 119753. [Google Scholar]
- Soliman, S.M.; Almarhoon, Z.; El-Faham, A. Synthesis, molecular and supramolecular structures of new Cd (II) pincer-type complexes with s-triazine core ligand. Crystals 2019, 9, 226. [Google Scholar] [CrossRef]
- Soliman, S.M.; El-Faham, A. Synthesis, X-ray structure, and DFT studies of five and eight-coordinated Cd(II) complexes with striazine N-pincer chelate. J. Coord. Chem. 2019, 72, 1621–1636. [Google Scholar] [CrossRef]
- Soliman, S.M.; Al-Rasheed, H.H.; El-Faham, A. Synthesis, X-ray Structure, Hirshfeld Analysis of Biologically Active Mn(II) Pincer Complexes Based on s-Triazine Ligands. Crystals 2020, 10, 931. [Google Scholar] [CrossRef]
- Soliman, S.M.; Al-Rasheed, H.H.; Albering, J.H.; El-Faham, A. Fe(III) Complexes Based on Mono- and Bispyrazolyl-s-triazine Ligands: Synthesis, Molecular Structure, Hirshfeld, and Antimicrobial Evaluations. Molecules 2020, 25, 5750. [Google Scholar] [CrossRef] [PubMed]
- Dahlous, K.A.; Soliman, S.M.; El-Faham, A.; Massoud, R.A. Synthesis, molecular and supramolecular structures of symmetric dinuclear Cd(II) azido complex with bis-pyrazolyl s-triazine pincer ligand. Symmetry 2022, 14, 2409. [Google Scholar] [CrossRef]
- Dahlous, K.A.; Soliman, S.M.; El-Faham, A.; Massoud, R.A. Synthesis and X-ray structure combined with Hirshfeld and AIM studies on a new trinuclear Zn(II)-azido complex with s-triazine pincer ligand. Crystals 2022, 12, 1786. [Google Scholar] [CrossRef]
- Soliman, S.M.; Almarhoon, Z.; Sholkamy, E.N.; El-Faham, A. Bis-pyrazolyl-s-triazine Ni (II) pincer complexes as selective gram-positive antibacterial agents; synthesis, structural and antimicrobial studies. J.Mol. Struct. 2019, 1195, 315–322. [Google Scholar] [CrossRef]
- Soliman, S.M.; El-Faham, A. Synthesis, molecular structure and DFT studies of two heteroleptic nickel (II) s-triazine pincer type complexes. J. Mol. Struct. 2019, 1185, 461–468. [Google Scholar] [CrossRef]
- Refaat, H.M.; Alotaibi, A.A.M.; Dege, N.; El-Faham, A.; Soliman, S.M. Syntheses, X-ray structure and biological studies of binuclear μ-oxo diiron complexes with s-triazine pincer ligand. Inorg. Chim. Acta 2022, 543, 121196. [Google Scholar] [CrossRef]
- Dixon, N.E.; Gazzola, C.; Blakeley, R.L.; Zerner, B. Jack bean urease (EC 3.5.1.5). Metalloenzyme. Simple biological role for nickel. J. Am. Chem. Soc. 1975, 97, 4131–4133. [Google Scholar] [CrossRef] [PubMed]
- Meyer, F.; Kozlowski, H. Comprehensive Coordination Chemistry II; McCleverty, J.A., Meyer, T.J., Eds.; Elsevier: Amsterdam, The Netherlands, 2003; Volume 6, pp. 247–554. [Google Scholar]
- Andrews, R.K.; Blakeley, R.L.; Zerner, B. Metal Ions in Biological Systems; Sigel, H., Sigel, A., Eds.; Marcel Dekker Inc.: New York, NY, USA, 1988; Volume 23, pp. 165–284. [Google Scholar]
- Kurtaran, R.; Yildirim, L.T.; Azaz, A.D.; Namli, H.; Atakol, O. Synthesis, characterization, crystal structure and biological activity of a novel heterotetranuclear complex: [NiLPb (SCN) 2 (DMF) (H2O)] 2. J. Inorg. Biochem. 2005, 99, 1937–1944. [Google Scholar] [CrossRef]
- Shawish, H.B.; Wong, W.; Wong, Y.; Loh, S.; Looi, C.; Hassandarvish, P.; Phan, A.; Wong, W.; Wang, H.; Paterson, I.C.; et al. Nickel(II) complex of polyhydroxybenzaldehyde N4-thiosemicarbazone exhibits anti-inflammatory activity by inhibiting NF-κB transactivation. PLoS ONE 2014, 9, e100933. [Google Scholar] [CrossRef] [PubMed]
- Totta, X.; Papadopoulou, A.A.; Hatzidimitriou, A.G.; Papadopoulos, A.N.; Psomas, G. Synthesis, structure and biological activity of nickel (II) complexes with mefenamato and nitrogen-donor ligands. J. Inorg. Biochem. 2015, 145, 79–93. [Google Scholar] [CrossRef] [PubMed]
- Skyrianou, K.C.; Perdih, F.; Papadopoulos, A.N.; Turel, I.; Kessissoglou, D.P.; Psomas, G. Nickel-quinolones interaction. Part 5-Biological evaluation of nickel (II) complexes with first-, second- and third-generation quinolones. J. Inorg. Biochem. 2011, 105, 1273–1285. [Google Scholar] [CrossRef]
- Fenger, I.; Le Drian, C. Reusable polymer-supported palladium catalysts: An alternative to tetrakis(triphenylphine) palladium in the suzuki cross-coupling reaction. Tetrahedron Lett. 1998, 39, 4287–4290. [Google Scholar] [CrossRef]
- Elaasser, M.M.; Ibrahim, A.G.; Fahmy, A.; Osman, I.; El-Shiekh, H.H.; Abd El-Haib, F.; Salah, A.M. Synthesis, characterization and biological activity of polymer Nickel (II) complex. J. Advan. Chem. 2016, 12, 4387–4396. [Google Scholar]
- Maspoch, D.; Ruiz-Molina, D.; Veciana, J. Magnetic nano porous coordination polymers. J. Mater. Chem. 2004, 14, 2713–2723. [Google Scholar] [CrossRef]
- James, S.L. Metal-organic frameworks. Chem. Soc. Rev. 2003, 32, 276–288. [Google Scholar] [CrossRef] [PubMed]
- Kaliyappan, T.; Swaminathan, C.S.; Kannan, P. Synthesis and characterization of a new metal chelating polymer and derived Ni (II) and Cu (II) polymer complexes. Polymer 1996, 37, 2865–2869. [Google Scholar] [CrossRef]
- Zhang, X.; Fu, P.; Xiong, D.; Li, Y.; Dong, X. Synthesis, crystal structures, and magnetic properties of three nickel (II) coordination polymers based on a rigid pyrazine carboxylic acid containing different N ligands. J. Mol. Struct. 2022, 1261, 132889. [Google Scholar] [CrossRef]
- Easson, M.; Condon, B.; Yoshioka-Tarver, M.; Childress, S.; Slopek, R.; Bland, J.; Nguyen, T.M.; Chang, S.C.; Graves, E. Cyanuric chloride derivatives for cotton textile treatment-synthesis, analysis, and flammability testing. AATCC Rev. 2011, 11, 60–66. [Google Scholar]
- Pedersen, K.S.; Bendix, J.; Clérac, R. Single-molecule magnet engineering: Building-block approaches. Chem. Commun. 2014, 50, 4396–4415. [Google Scholar] [CrossRef] [PubMed]
- Gatteschi, D.; Sessoli, R. Quantum tunneling of magnetization and related phenomena in molecular materials. Angew. Chem., Int. Ed. 2003, 42, 268–297. [Google Scholar] [CrossRef] [PubMed]
- Qin, T.; Shi, Z.; Zhang, W.; Dong, X.; An, N.; Sakiyama, H.; Muddassir, M.; Srivastava, D.; Kumar, A. 2D isostructural Ln(III)-based coordination polymer derived from Imidazole carboxylic acid: Synthesis, structure and magnetic behavior. J. Mol. Struct. 2023, 1282, 135220. [Google Scholar] [CrossRef]
- Dong, X.; Shi, Z.; Li, D.; Li, Y.; An, N.; Shang, Y.; Sakiyama, H.; Muddassir, M.; Si, C. The regulation research of topology and magnetic exchange models of CPs through Co(II) concentration adjustment. J. Solid State Chem. 2023, 318, 123713. [Google Scholar] [CrossRef]
- Bruker, A.X.S. APEX2—Software Suite for Crystallographic Programs; Bruker AXS, Inc.: Madison, WI, USA, 2012. [Google Scholar]
- Sheldrick, G.M. SADABS—Bruker Nonius Scaling and Absorption Correction; Bruker AXS, Inc.: Madison, WI, USA, 2012. [Google Scholar]
- Sheldrick, G.M. SHELXT–Integrated space-group and crystal-structure determination. Acta Cryst. A 2015, 71, 3–8. [Google Scholar] [CrossRef]
- Sheldrick, G.M. Crystal Structure Refinement with SHELXL. Acta Crystallogr. C 2015, C71, 3–8. [Google Scholar] [CrossRef]
- Hübschle, C.B.; Sheldrick, G.M.; Dittrich, B. ShelXle: A Qt Graphical User Interface for SHELXL. J. Appl. Cryst. 2011, 44, 1281–1284. [Google Scholar] [CrossRef] [PubMed]
- Spek, A.L. PLATON SQUEEZE: A tool for the calculation of the disordered solvent contribution to the calculated structure factors. Acta Cryst. 2015, C71, 9–18. [Google Scholar]
- Mosmann, T. Rapid colorimetric assay for cellular growth and survival: Application to proliferation and cytotoxicity assays. J. Immunol. Methods 1983, 65, 55–63. [Google Scholar] [CrossRef] [PubMed]
- Gomha, S.M.; Riyadh, S.M.; Mahmmoud, E.A.; Elaasser, M.M. Synthesis and anticancer activities of thiazoles, 1,3-thiazines, and thiazolidine using Chitosan-grafted-poly(vinylpyridine) as basic catalyst. Heterocycles 2015, 91, 1227–1243. [Google Scholar]






| [Ni(MPT)(H2O)(SCN)2]n | |
|---|---|
| CCDC | 2231954 |
| empirical formula | C11H13N7NiO3S2 |
| fw | 414.11 |
| temp (K) | 289(2) K |
| λ (Å) | 0.71073 |
| cryst syst | Monoclinic |
| space group | P21/c |
| a (Å) | 16.0718(5) |
| b (Å) | 11.0571(4) |
| c (Å) | 10.6401(4) |
| β (deg) | 90.889(2) |
| V (Å3) | 1890.60(11) |
| Z | 4 |
| ρcalc (Mg/m3) | 1.455 |
| μ (Mo Kα) (mm−1) | 1.270 |
| No. reflns. | 22,147 |
| Unique reflns. | 4684 |
| Completeness to θ = 25.242° | 99.9 |
| GOOF (F2) | 1.050 |
| Rint | 0.0538 |
| R1 a (I ≥ 2σ) | 0.0493 |
| wR2 b (I ≥ 2σ) | 0.1114 |
| Bond | Distance | Bond | Distance |
|---|---|---|---|
| Ni (1)-N (6) | 2.033(3) | Ni (1)-N (5) | 2.080(3) |
| Ni (1)-N (7) | 2.053(4) | Ni (1)-O (3) | 2.086(3) |
| Ni (1)-N (1) | 2.074(3) | Ni (1)-S (2) #1 | 2.5755(10) |
| Bonds | Angle | Bonds | Angle |
| N(6)-Ni(1)-N(7) | 91.93(13) | N(1)-Ni(1)-O(3) | 170.73(10) |
| N(6)-Ni(1)-N(1) | 99.10(11) | N(5)-Ni(1)-O(3) | 93.29(11) |
| N(7)-Ni(1)-N(1) | 91.17(13) | N(6)-Ni(1)-S(2)#1 | 84.66(9) |
| N(6)-Ni(1)-N(5) | 174.56(12) | N(7)-Ni(1)-S(2)#1 | 176.59(10) |
| N(7)-Ni(1)-N(5) | 92.34(12) | N(1)-Ni(1)-S(2)#1 | 89.21(8) |
| N(1)-Ni(1)-N(5) | 77.46(10) | N(5)-Ni(1)-S(2)#1 | 91.05(8) |
| N(6)-Ni(1)-O(3) | 90.09(12) | O(3)-Ni(1)-S(2)#1 | 90.41(8) |
| N(7)-Ni(1)-O(3) | 89.76(13) | C(11)-S(2)-Ni(1)#2 | 107.68(12) |
| Ni(1)#2-S(2)-N(1)#2 | 39.16(5) | Ni(1)-O(3)-H(3A) | 109.7 |
| Ni(1)-O(3)-H(3B) | 109.9 | C(1)-N(1)-Ni(1) | 141.2(2) |
| N(2)-N(1)-Ni(1) | 112.8(2) | C(6)-N(5)-Ni(1) | 116.2(2) |
| C(9)-N(5)-Ni(1) | 128.4(2) | C(11)-N(6)-Ni(1) | 172.0(3) |
| C(10)-N(7)-Ni(1) | 175.9(4) |
| Tested Microbes | Inhibition Zones (mm) | MIC (μM) |
|---|---|---|
| A. fumigatus | 14 | 754.6 (294) a |
| C. albicans | 12 | 1509.3 (587) a |
| St. aureus | 16 | 188.6 (21) b |
| B. subtilis | 18 | 94.3 (10) b |
| E. coli | 15 | 377.3 (10) b |
| P. vulgaris | 17 | 377.3 (10) b |
Disclaimer/Publisher’s Note: The statements, opinions and data contained in all publications are solely those of the individual author(s) and contributor(s) and not of MDPI and/or the editor(s). MDPI and/or the editor(s) disclaim responsibility for any injury to people or property resulting from any ideas, methods, instructions or products referred to in the content. |
© 2023 by the authors. Licensee MDPI, Basel, Switzerland. This article is an open access article distributed under the terms and conditions of the Creative Commons Attribution (CC BY) license (https://creativecommons.org/licenses/by/4.0/).
Share and Cite
Dahlous, K.A.; Soliman, S.M.; Haukka, M.; El-Faham, A.; Massoud, R.A. A New 1D Ni (II) Coordination Polymer of s-Triazine Type Ligand and Thiocyanate as Linker via Unexpected Hydrolysis of 2,4-Bis(3,5-dimethyl-1H-pyrazol-1-yl)-6-methoxy-1,3,5-triazine. Inorganics 2023, 11, 135. https://doi.org/10.3390/inorganics11030135
Dahlous KA, Soliman SM, Haukka M, El-Faham A, Massoud RA. A New 1D Ni (II) Coordination Polymer of s-Triazine Type Ligand and Thiocyanate as Linker via Unexpected Hydrolysis of 2,4-Bis(3,5-dimethyl-1H-pyrazol-1-yl)-6-methoxy-1,3,5-triazine. Inorganics. 2023; 11(3):135. https://doi.org/10.3390/inorganics11030135
Chicago/Turabian StyleDahlous, Kholood A., Saied M. Soliman, Matti Haukka, Ayman El-Faham, and Raghdaa A. Massoud. 2023. "A New 1D Ni (II) Coordination Polymer of s-Triazine Type Ligand and Thiocyanate as Linker via Unexpected Hydrolysis of 2,4-Bis(3,5-dimethyl-1H-pyrazol-1-yl)-6-methoxy-1,3,5-triazine" Inorganics 11, no. 3: 135. https://doi.org/10.3390/inorganics11030135
APA StyleDahlous, K. A., Soliman, S. M., Haukka, M., El-Faham, A., & Massoud, R. A. (2023). A New 1D Ni (II) Coordination Polymer of s-Triazine Type Ligand and Thiocyanate as Linker via Unexpected Hydrolysis of 2,4-Bis(3,5-dimethyl-1H-pyrazol-1-yl)-6-methoxy-1,3,5-triazine. Inorganics, 11(3), 135. https://doi.org/10.3390/inorganics11030135

