Manganese(II) Bromide Compound with Diprotonated 1-Hydroxy-2-(pyridin-2-yl)-4,5,6,7-tetrahydrobenzimidazole: Dual Emission and the Effect of Proton Transfers
Abstract
1. Introduction
2. Experimental Work
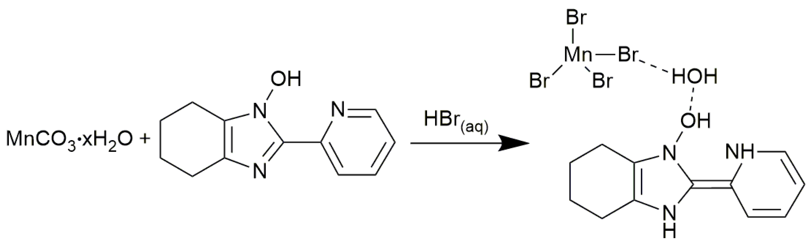
2.1. Synthesis and Characterization
2.2. Methods
3. Results and Discussion
3.1. Synthesis and Characterization
3.2. Luminescence
3.3. Optics
3.4. EPR
4. Conclusions
Supplementary Materials
Author Contributions
Funding
Data Availability Statement
Conflicts of Interest
References
- Li, W.; Liu, L.; Tan, M.; He, Y.; Guo, C.; Zhang, H.; Wei, H.; Yang, B. Low-Cost and Large-Area Hybrid X-ray Detectors Combining Direct Perovskite Semiconductor and Indirect Scintillator. Adv. Funct. Mater. 2021, 31, 2107843. [Google Scholar] [CrossRef]
- Tan, L.; Luo, Z.; Chang, X.; Wei, Y.; Tang, M.; Chen, W.; Li, Q.; Shen, P.; Quan, Z. Structure and Photoluminescence Transformation in Hybrid Manganese(II) Chlorides. Inorg. Chem. 2021, 60, 6600–6606. [Google Scholar] [CrossRef] [PubMed]
- Hausmann, D.; Kuzmanoskia, A.; Feldmann, C. MnBr2/18-crown-6 coordination complexes showing high room temperature luminescence and quantum yield. Dalton Trans. 2016, 45, 6541–6547. [Google Scholar] [CrossRef]
- Peng, H.; Zou, B.; Guo, Y.; Xiao, Y.; Zhi, R.; Fan, X.; Zou, M.; Wang, J. Evolution of the structure and properties of mechanochemically synthesized pyrrolidine incorporated manganese bromide powders. J. Mater. Chem. C 2020, 8, 6488–6495. [Google Scholar] [CrossRef]
- Zhou, G.; Ding, J.; Jiang, X.; Zhang, J.; Molokeev, M.S.; Ren, Q.; Zhou, J.; Li, S.; Zhang, X.-M. Coordination units of Mn2+ modulation toward tunable emission in zero-dimensional bromides for white light-emitting diodes. J. Mater. Chem. C 2022, 10, 2095–2102. [Google Scholar] [CrossRef]
- Chen, J.; Zhang, S.; Pan, X.; Li, R.; Ye, S.; Cheetham, A.K.; Mao, L. Structural Origin of Enhanced Circularly Polarized Luminescence in Hybrid Manganese Bromides. Angew. Chem. Int. Ed. 2022, 61, e202205906. [Google Scholar] [CrossRef]
- Zhao, J.; Zhang, T.; Dong, X.Y.; Sun, M.E.; Zhang, C.; Li, X.; Zhao, Y.S.; Zang, S.Q. Circularly Polarized Luminescence from Achiral Single Crystals of Hybrid Manganese Halides. J. Am. Chem. Soc. 2019, 141, 15755–15760. [Google Scholar] [CrossRef]
- Xuan, H.L.; Sang, Y.F.; Xu, L.J.; Zheng, D.S.; Shi, C.M.; Chen, Z.N. Amino-Acid-Induced Circular Polarized Luminescence in One-Dimensional Manganese(II) Halide Hybrid. Chem. A Eur. J. 2022, 28, e202201299. [Google Scholar] [CrossRef]
- Qin, Y.; She, P.; Huang, X.; Huang, W.; Zhao, Q. Luminescent manganese(II) complexes: Synthesis, properties and optoelectronic applications. Coord. Chem. Rev. 2020, 416, 213331. [Google Scholar] [CrossRef]
- Croitor, L.; Cocu, M.; Bulhac, I.; Bourosh, P.N.; Kravtsov, C.V.; Petuhov, O.; Danilescu, O. Evolution from discrete mononuclear complexes to trinuclear linear cluster and 2D coordination polymers of Mn(II) with dihydrazone Schiff bases: Preparation, structure and thermal behavior. Polyhedron 2021, 206, 115329. [Google Scholar] [CrossRef]
- Ma, C.; Wang, W.; Zhang, X.; Chen, C.; Liu, Q.; Zhu, H.; Liao, D.; Li, L.; Cano, J.; Demunno, G.; et al. Molecular, one- and two-dimensional systems built from manganese(II) and phthalate/diimine ligands: Syntheses, crystal structures and magnetic properties. Eur. J. Inorg. Chem. 2004, 17, 3522–3532. [Google Scholar] [CrossRef]
- Bikas, R.; Karimian, R.; Siczek, M.; Demeshko, S.; Hosseini-Monfared, H.; Lis, T. Magnetic and spectroscopic properties of a 2D Mn(II) coordination polymer with carbohydrazone ligand. Inorg. Chem. Commun. 2016, 70, 219–222. [Google Scholar] [CrossRef]
- Chen, S.; Gao, J.; Chang, J.; Zhang, Y.; Feng, L. Organic-inorganic manganese (II) halide hybrids based paper sensor for the fluorometric determination of pesticide ferbam. Sens. Actuators B Chem. 2019, 297, 126701. [Google Scholar] [CrossRef]
- Smirnov, V.I.; Sinegovskaya, L.M.; Parshina, L.N.; Artem’ev, A.V.; Sterkhova, I.V. Copper(II), cobalt(II), manganese(II) and nickel(II) bis(hexafluoroacetylacetonate) complexes with N-vinylimidazole. Mendeleev Commun. 2020, 30, 246–248. [Google Scholar] [CrossRef]
- Davydova, M.P.; Bauer, I.A.; Brel, V.K.; Rakhmanova, M.I.; Bagryanskaya, I.Y.; Artem’ev, A.V. Manganese(II) Thiocyanate Complexes with Bis(phosphine Oxide) Ligands: Synthesis and Excitation Wavelength-Dependent Multicolor Luminescence. Eur. J. Inorg. Chem. 2020, 2020, 695–703. [Google Scholar] [CrossRef]
- Tao, P.; Liu, S.J.; Wong, W.Y. Phosphorescent Manganese(II) Complexes and Their Emerging Applications. Adv. Opt. Mater. 2020, 8, 2000985. [Google Scholar] [CrossRef]
- Meng, H.; Zhu, W.; Li, F.; Huang, X.; Qin, Y.; Liu, S.; Yang, Y.; Huang, W.; Zhao, Q. Highly Emissive and Stable Five-Coordinated Manganese(II) Complex for X-ray Imaging. Laser Photonics Rev. 2021, 15, 2100309. [Google Scholar] [CrossRef]
- Artemev, A.V.; Davydova, M.P.; Berezin, A.S.; Brel, V.K.; Morgalyuk, V.P.; Bagryanskaya, I.Y.; Samsonenko, D.G. Luminescence of the Mn2+ ion in non-: O h and T d coordination environments: The missing case of square pyramid. Dalton Trans. 2019, 48, 16448–16456. [Google Scholar] [CrossRef]
- Berezin, A.S.; Samsonenko, D.G.; Brel, V.K.; Artem’Ev, A.V. “Two-in-one” organic-inorganic hybrid MnII complexes exhibiting dual-emissive phosphorescence. Dalton Trans. 2018, 47, 7306–7315. [Google Scholar] [CrossRef]
- Bortoluzzi, M.; Castro, J.; Gobbo, A.; Ferraro, V.; Pietrobon, L. Light harvesting indolyl-substituted phosphoramide ligand for the enhancement of Mn(ii) luminescence. Dalton Trans. 2020, 49, 7525–7534. [Google Scholar] [CrossRef]
- Berezin, A.S.; Davydova, M.P.; Bagryanskaya, I.Y.; Artyushin, O.I.; Brel, V.K.; Artem’ev, A.V. A red-emitting Mn(II)-based coordination polymer build on 1,2,4,5-tetrakis(diphenylphosphinyl)benzene. Inorg. Chem. Commun. 2019, 107, 107473. [Google Scholar] [CrossRef]
- Vinogradova, K.A.; Shekhovtsov, N.A.; Berezin, A.S.; Sukhikh, T.S.; Krivopalov, V.P.; Nikolaenkova, E.B.; Plokhikh, I.V.; Bushuev, M.B. A near-infra-red emitting manganese(II) complex with a pyrimidine-based ligand. Inorg. Chem. Commun. 2019, 100, 11–15. [Google Scholar] [CrossRef]
- Zhou, Q.; Dolgov, L.; Srivastava, A.M.; Zhou, L.; Wang, Z.; Shi, J.; Dramićanin, M.D.; Brik, M.G.; Wu, M. Mn2+ and Mn4+ red phosphors: Synthesis, luminescence and applications in WLEDs. A review. J. Mater. Chem. C 2018, 6, 2652–2671. [Google Scholar] [CrossRef]
- Berezin, A.S.; Vinogradova, K.A.; Nadolinny, V.A.; Sukhikh, T.S.; Krivopalov, V.P.; Nikolaenkova, E.B.; Bushuev, M.B. Temperature- and excitation wavelength-dependent emission in a manganese(II) complex. Dalton Trans. 2018, 47, 1657–1665. [Google Scholar] [CrossRef]
- Bortoluzzi, M.; Castro, J.; Ferraro, V. Dual emission from Mn(II) complexes with carbazolyl-substituted phosphoramides. Inorg. Chim. Acta 2022, 536, 120896. [Google Scholar] [CrossRef]
- Berezin, A.S. A halomanganates(Ii) with p,p’-diprotonated bis(2-diphenylphosphinophenyl)ether: Wavelength-excitation dependence of the quantum yield and role of the non-covalent interactions. Int. J. Mol. Sci. 2021, 22, 6873. [Google Scholar] [CrossRef] [PubMed]
- Berezin, A.S. A brightly emissive halomanganates(II) with triphenylphosphonium cation: Synthesis, luminescence, and up-conversion phenomena. Dye. Pigment. 2021, 196, 109782. [Google Scholar] [CrossRef]
- Berezin, A.S.; Vinogradova, K.A.; Krivopalov, V.P.; Nikolaenkova, E.B.; Plyusnin, V.F.; Kupryakov, A.S.; Pervukhina, N.V.; Naumov, D.Y.; Bushuev, M.B. Excitation-Wavelength-Dependent Emission and Delayed Fluorescence in a Proton-Transfer System. Chem. A Eur. J. 2018, 24, 12790–12795. [Google Scholar] [CrossRef]
- Behera, S.K.; Park, S.Y.; Gierschner, J. Dual Emission: Classes, Mechanisms, and Conditions. Angew. Chem. Int. Ed. 2021, 60, 22624–22638. [Google Scholar] [CrossRef]
- Shekhovtsov, N.A.; Nikolaenkova, E.B.; Berezin, A.S.; Plyusnin, V.F.; Vinogradova, K.A.; Naumov, D.Y.; Pervukhina, N.V.; Tikhonov, A.Y.; Bushuev, M.B. A 1-Hydroxy-1H-imidazole ESIPT Emitter Demonstrating anti-Kasha Fluorescence and Direct Excitation of a Tautomeric Form. ChemPlusChem 2021, 86, 1436–1441. [Google Scholar] [CrossRef] [PubMed]
- Komarovskikh, A.; Danilenko, A.; Sukhikh, A.; Syrokvashin, M.; Selivanov, B. Structure and EPR investigation of Cu(II) bifluoride complexes with zwitterionic N-hydroxyimidazole ligands. Inorg. Chim. Acta 2020, 517, 120187. [Google Scholar] [CrossRef]
- Dolomanov, O.V.; Bourhis, L.J.; Gildea, R.J.; Howard, J.A.K.; Puschmann, H. OLEX2: A complete structure solution, refinement and analysis program. J. Appl. Crystallogr. 2009, 42, 339–341. [Google Scholar] [CrossRef]
- APEX3 (v.2018-7.2), Bruker AXS Inc.: Madison, WI, USA, 2018.
- Sheldrick, G.M. SHELXT—Integrated space-group and crystal-structure determination. Acta Crystallogr. Sect. A Found. Crystallogr. 2015, A71, 3–8. [Google Scholar] [CrossRef] [PubMed]
- Sheldrick, G.M. Crystal structure refinement with SHELXL. Acta Crystallogr. Sect. C: Struct. Chem. 2015, C71, 3–8. [Google Scholar] [CrossRef]
- Stoll, S.; Schweiger, A. EasySpin, a comprehensive software package for spectral simulation and analysis in EPR. J. Magn. Reson. 2006, 178, 42–55. [Google Scholar] [CrossRef]
- Te Velde, G.; Bickelhaupt, F.M.; Baerends, E.J.; Fonseca Guerra, C.; van Gisbergen, S.J.A.; Snijders, J.G.; Ziegler, T. Chemistry with ADF. J. Comput. Chem. 2001, 22, 931–967. [Google Scholar] [CrossRef]
- ADF2021. SCM, Theoretical Chemistry; Vrije Universiteit: Amsterdam, The Netherlands, 2021; Available online: http://www.scm.com (accessed on 1 October 2021).
- Perdew, J.P. Density-functional approximation for the correlation energy of the inhomogeneous electron gas. Phys. Rev. B 1986, 33, 8822, Erratum in Phys. Rev. B 1986, 34, 7406. [Google Scholar] [CrossRef]
- Becke, A.D. Density-functional exchange-energy approximation with correct asymptotic behavior. Phys. Rev. A 1988, 38, 3098–3100. [Google Scholar] [CrossRef]
- Van Lenthe, E.; Baerends, E.J.; Snijders, J.G. Relativistic regular two-component Hamiltonians. J. Chem. Phys. 1993, 99, 4597–4610. [Google Scholar] [CrossRef]
- Van Lenthe, E.; Baerends, E.J.; Snijders, J.G. Relativistic total energy using regular approximations. J. Chem. Phys. 1994, 101, 9783–9792. [Google Scholar] [CrossRef]
- Van Lenthe, E. Geometry optimizations in the zero order regular approximation for relativistic effects. J. Chem. Phys. 1999, 110, 8943–8953. [Google Scholar] [CrossRef]
- Van Lenthe, E.; Wormer, P.E.S.; Van Der Avoird, A. Density functional calculations of molecular g-tensors in the zero-order regular approximation for relativistic effects. J. Chem. Phys. 1997, 107, 2488–2498. [Google Scholar] [CrossRef]
- Grimme, S. Accurate description of van der Waals complexes by density functional theory including empirical corrections. J. Comput. Chem. 2004, 25, 1463–1473. [Google Scholar] [CrossRef]
- Ernzerhof, M.; Scuseria, G.E. Assessment of the Perdew-Burke-Ernzerhof exchange-correlation functional. J. Chem. Phys. 1999, 110, 5029–5036. [Google Scholar] [CrossRef]
- Van Gisbergen, S.J.A.; Snijders, J.G.; Baerends, E.J. Implementation of time-dependent density functional response equations. Comput. Phys. Commun. 1999, 118, 119–138. [Google Scholar] [CrossRef]
- Wang, F.; Ziegler, T. A simplified relativistic time-dependent density-functional theory formalism for the calculations of excitation energies including spin-orbit coupling effect. J. Chem. Phys. 2005, 123, 154102. [Google Scholar] [CrossRef]
- Yanai, T.; Tew, D.P.; Handy, N.C. A new hybrid exchange-correlation functional using the Coulomb-attenuating method (CAM-B3LYP). Chem. Phys. Lett. 2004, 393, 51–57. [Google Scholar] [CrossRef]
- Wang, F.; Ziegler, T. Time-dependent density functional theory based on a noncollinear formulation of the exchange-correlation potential. J. Chem. Phys. 2004, 121, 12191–12196. [Google Scholar] [CrossRef]
- Wang, F.; Ziegler, T. The performance of time-dependent density functional theory based on a noncollinear exchange-correlation potential in the calculations of excitation energies. J. Chem. Phys. 2005, 122, 074109. [Google Scholar] [CrossRef]
- Riplinger, C.; Kao, J.P.Y.; Rosen, G.M.; Kathirvelu, V.; Eaton, G.R.; Eaton, S.S.; Kutateladze, A.; Neese, F. Interaction of radical pairs through-bond and through-space: Scope and limitations of the point-dipole approximation in electron paramagnetic resonance spectroscopy. J. Am. Chem. Soc. 2009, 131, 10092–10106. [Google Scholar] [CrossRef]
- Neese, F. Calculation of the zero-field splitting tensor on the basis of hybrid density functional and Hartree-Fock theory. J. Chem. Phys. 2007, 127, 164112. [Google Scholar] [CrossRef] [PubMed]
- Neese, F. The ORCA program system. Wiley Interdiscip. Rev. Comput. Mol. Sci. 2012, 2, 73–78. [Google Scholar] [CrossRef]
- Neese, F. ORCA—An ab Initio, DFT and Semiempirical SCF-MO Package, Version 5.0; Max Planck Institute: Mulheim, Germany, 2021.
- Komarovskikh, A.; Uvarov, M.; Nadolinny, V.; Palyanov, Y. Spin Relaxation of the Neutral Germanium-Vacancy Center in Diamond. Phys. Status Solidi A Appl. Mater. Sci. 2018, 215, 1800193. [Google Scholar] [CrossRef]
- Heß, B.A.; Marian, C.M.; Wahlgren, U.; Gropen, O. A mean-field spin-orbit method applicable to correlated wavefunctions. Chem. Phys. Lett. 1996, 251, 365–371. [Google Scholar] [CrossRef]
- Adamo, C.; Barone, V. Toward reliable density functional methods without adjustable parameters: The PBE0 model. J. Chem. Phys. 1999, 110, 6158–6170. [Google Scholar] [CrossRef]
- Weigend, F.; Ahlrichs, R. Balanced basis sets of split valence, triple zeta valence and quadruple zeta valence quality for H to Rn: Design and assessment of accuracy. Phys. Chem. Chem. Phys. 2005, 7, 3297–3305. [Google Scholar] [CrossRef]
- Zhang, S.; Zhao, Y.; Zhou, J.; Ming, H.; Wang, C.H.; Jing, X.; Ye, S.; Zhang, Q. Structural design enables highly-efficient green emission with preferable blue light excitation from zero-dimensional manganese (II) hybrids. Chem. Eng. J. 2021, 421, 129886. [Google Scholar] [CrossRef]
- Tanabe, Y.; Sugano, S. On the Absorption Spectra of Complex Ions. J. Phys. Soc. Jpn. 1954, 9, 753–766. [Google Scholar] [CrossRef]
- Zhou, P.; Zhang, X.; Li, L.; Liu, X.; Yuan, L.; Zhang, X. Temperature-dependent photoluminescence properties of Mn:ZnCuInS nanocrystals. Opt. Mater. Express 2015, 5, 2069–2080. [Google Scholar] [CrossRef]







| 1 | |
|---|---|
| λmax (300 K) [nm] a | 535 |
| Τ (300 K) [µs] a, b | 40 |
| ΦPL (300 K) [%] a | 1 |
| kr (300 K) [s–1] c | 2.5 × 102 |
| knr (300 K) [s–1] d | 2.5 × 104 |
| Chromaticity (300 K) [x, y] a, e | 0.429, 0.492 |
| λmax (77 K) [nm] a | 518 |
| τ (77 K) [µs] a, b | 304 |
| ΦPL (77 K) [%] a | 14 |
| kr (77 K) [s–1] c | 4.6 × 102 |
| knr (77 K) [s–1] d | 2.8 × 103 |
| Chromaticity (77 K) [x, y] a, e | 0.268, 0.704 |
| ∆E [cm−1]/[meV] | 280/35 |
| 10Dqtet [cm−1] | 1810 |
| B [cm−1] | 634 |
| [cm−1]/[eV] | 16,777/2.08 |
| [cm−1]/[eV] | 24,279/3.01 |
| [cm−1]/[eV] | 20,488/2.54 |
| -Tensor | ||
|---|---|---|
| Experimental | = 2.013 | = 2430 MHz = 0.03 |
| Calculated Global minimum point | = 2.007 = 2.010 = 2.012 = 2.010 | = 2285 MHz = 0.09 |
| Calculated Local minimum point | = 2.010 = 2.015 = 2.032 = 2.019 | = 4056 MHz = 0.32 |
Publisher’s Note: MDPI stays neutral with regard to jurisdictional claims in published maps and institutional affiliations. |
© 2022 by the authors. Licensee MDPI, Basel, Switzerland. This article is an open access article distributed under the terms and conditions of the Creative Commons Attribution (CC BY) license (https://creativecommons.org/licenses/by/4.0/).
Share and Cite
Berezin, A.S.; Selivanov, B.; Danilenko, A.; Sukhikh, A.; Komarovskikh, A. Manganese(II) Bromide Compound with Diprotonated 1-Hydroxy-2-(pyridin-2-yl)-4,5,6,7-tetrahydrobenzimidazole: Dual Emission and the Effect of Proton Transfers. Inorganics 2022, 10, 245. https://doi.org/10.3390/inorganics10120245
Berezin AS, Selivanov B, Danilenko A, Sukhikh A, Komarovskikh A. Manganese(II) Bromide Compound with Diprotonated 1-Hydroxy-2-(pyridin-2-yl)-4,5,6,7-tetrahydrobenzimidazole: Dual Emission and the Effect of Proton Transfers. Inorganics. 2022; 10(12):245. https://doi.org/10.3390/inorganics10120245
Chicago/Turabian StyleBerezin, Alexey S., Boris Selivanov, Andrey Danilenko, Aleksandr Sukhikh, and Andrey Komarovskikh. 2022. "Manganese(II) Bromide Compound with Diprotonated 1-Hydroxy-2-(pyridin-2-yl)-4,5,6,7-tetrahydrobenzimidazole: Dual Emission and the Effect of Proton Transfers" Inorganics 10, no. 12: 245. https://doi.org/10.3390/inorganics10120245
APA StyleBerezin, A. S., Selivanov, B., Danilenko, A., Sukhikh, A., & Komarovskikh, A. (2022). Manganese(II) Bromide Compound with Diprotonated 1-Hydroxy-2-(pyridin-2-yl)-4,5,6,7-tetrahydrobenzimidazole: Dual Emission and the Effect of Proton Transfers. Inorganics, 10(12), 245. https://doi.org/10.3390/inorganics10120245

