Organoselenocyanates Tethered Methyl Anthranilate Hybrids with Promising Anticancer, Antimicrobial, and Antioxidant Activities
Abstract
1. Introduction
2. Results and Discussion
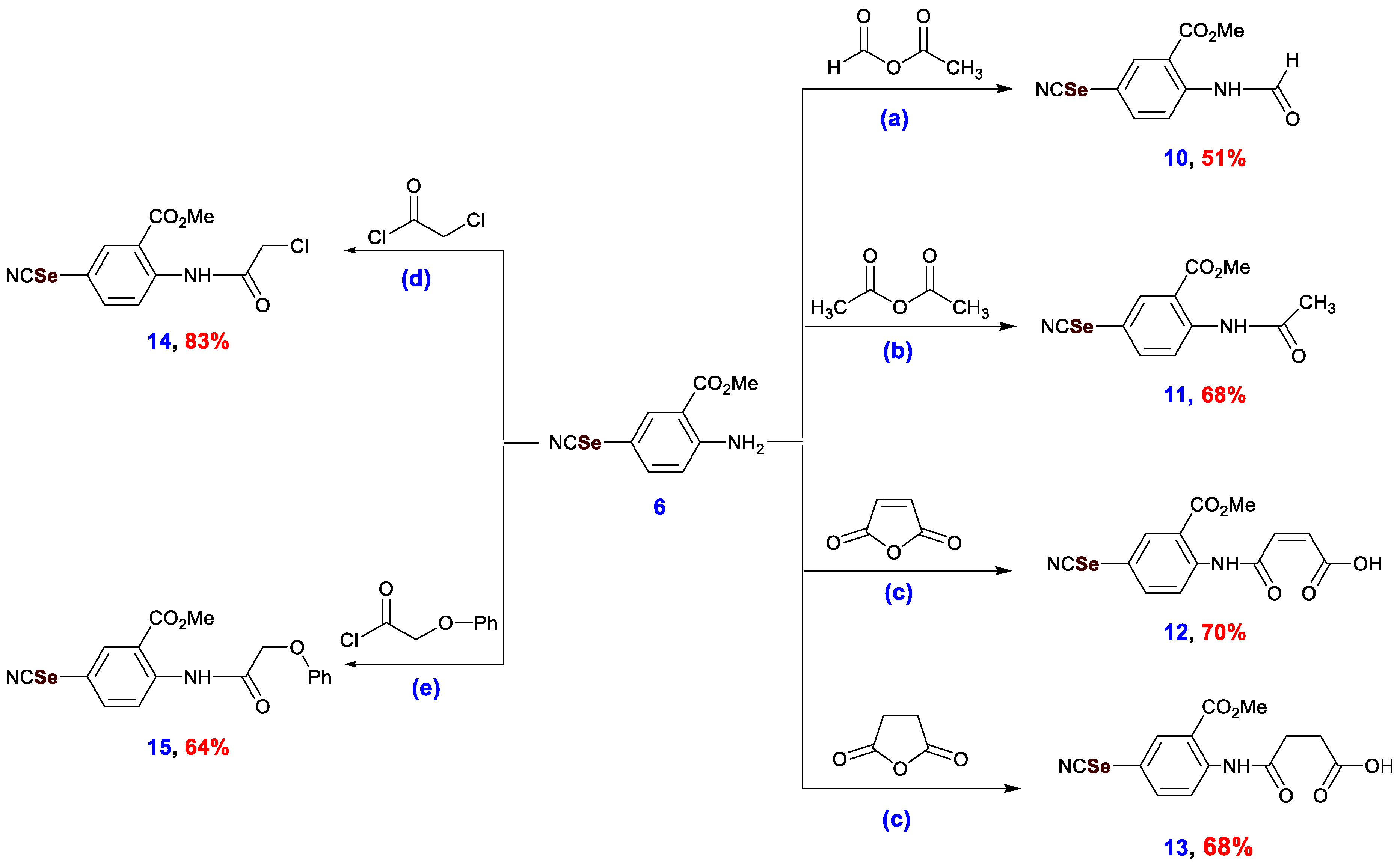
2.1. Synthesis
2.2. Biology
2.2.1. Cytotoxicity of OSeCN Tethered Anthranilic Acid Hybrids
2.2.2. Evaluation of the Antimicrobial Activities of the OseCN Compounds
2.2.3. The Antioxidant Properties of the OSeCN Compounds
3. Materials and Methods
3.1. Material and Methods
3.2. Chemistry
3.2.1. Synthesis of 2-Amino-5-Selenocyanatobenzoic Acid (2)
3.2.2. Procedure I: Azo Dyes OSeCN Compounds 3 and 4
3.2.3. Procedure II: The Synthesis of Selenocyanate 6
3.2.4. Procedure III: The Preparation of OSeCN Azo Dyes 7, 8, and 9
3.2.5. Procedure IV: The Preparation of OSeCN Amide-Acids 12 and 13
3.2.6. Synthesis of 2-(2-(Dicyanomethylene) hydrazinyl)-5-selenocyanatobenzoic Acid (3)
3.2.7. Synthesis of 2-(2-(1-Cyano-2-ethoxy-2-oxoethylidene) hydrazinyl)-5-selenocyanatobenzoic Acid (4)
3.2.8. Synthesis of Methyl 2-amino-5-selenocyanatobnzoate (6)
3.2.9. Synthesis of Methyl 2-(2-(dicyanomethylene) hydrazinyl)-5-selenocyanatobenzoate (7)
3.2.10. Synthesis of Methyl 2-(2-(1-cyano-2-ethoxy-2-oxoethylidene) hydrazinyl)-5-selenocyanatobenzoate (8)
3.2.11. Synthesis of Methyl 2-((5-methyl-3-oxo-2-phenyl-2,3-dihydro-1H-pyrazol-4-yl) diazenyl)-5-selenocyanatobenzoate (9)
3.2.12. Synthesis of Methyl 2-formamido-5-selenocyanatobenzoate (10)
3.2.13. Synthesis of Methyl 2-acetamido-5-selenocyanatobenzoate (11)
3.2.14. Synthesis of (Z)-4-((2-(Methoxycarbonyl)-4-selenocyanatophenyl) amino)-4-oxobut-2-enoic Acid (12)
3.2.15. Synthesis of 4-((2-(Methoxycarbonyl)-4-selenocyanatophenyl) amino)-4-oxobutanoic Acid (13)
3.2.16. Synthesis of Methyl 2-(2-chloroacetamido)-5-selenocyanatobenzoate (14)
3.2.17. Synthesis of Methyl 2-(2-phenoxyacetamido)-5-selenocyanatobenzoate (15)
3.3. The Biological Assays
3.3.1. The Anticancer Activity
3.3.2. The Antimicrobial Activity
3.3.3. The Antioxidant Activity
4. Conclusions
Supplementary Materials
Author Contributions
Funding
Institutional Review Board Statement
Informed Consent Statement
Data Availability Statement
Acknowledgments
Conflicts of Interest
References
- Kalimuthu, K.; Keerthana, C.K.; Mohan, M.; Arivalagan, J.; Christyraj, J.; Firer, M.A.; Choudry, M.H.A.; Anto, R.J.; Lee, Y.J. The emerging role of selenium metabolic pathways in cancer: New therapeutic targets for cancer. J. Cell Biochem. 2022, 123, 532–542. [Google Scholar] [CrossRef]
- Mugesh, G.; Singh, H.B. Synthetic organoselenium compounds as antioxidants: Glutathione peroxidase activity. Chem. Soc. Rev. 2000, 29, 347–357. [Google Scholar] [CrossRef]
- Radomska, D.; Czarnomysy, R.; Radomski, D.; Bielawska, A.; Bielawski, K. Selenium as a Bioactive Micronutrient in the Human Diet and Its Cancer Chemopreventive Activity. Nutrients 2021, 13, 1649. [Google Scholar] [CrossRef]
- Radomska, D.; Czarnomysy, R.; Radomski, D.; Bielawski, K. Selenium compounds as novel potential anticancer agents. Int. J. Mol. Sci. 2021, 22, 1009. [Google Scholar] [CrossRef]
- Shamberger, R.J. Relationship of selenium to cancer. I. Inhibitory effect of selenium on carcinogenesis. J. Natl. Cancer Inst. 1970, 44, 931–936. [Google Scholar]
- Bevinakoppamath, S.; Saleh Ahmed, A.M.; Ramachandra, S.C.; Vishwanath, P.; Prashant, A. Chemopreventive and Anticancer Property of Selenoproteins in Obese Breast Cancer. Front. Pharm. 2021, 12, 618172. [Google Scholar] [CrossRef]
- Nogueira, C.W.; Barbosa, N.V.; Rocha, J.B.T. Toxicology and pharmacology of synthetic organoselenium compounds: An update. Arch. Toxicol. 2021, 95, 1179–1226. [Google Scholar] [CrossRef]
- Lenardão, E.J.; Santi, C.; Sancineto, L. New Frontiers in Organoselenium Compounds; Springer: Berlin/Heidelberg, Germany, 2018. [Google Scholar]
- Plano, D.; Baquedano, Y.; Moreno-Mateos, D.; Font, M.; Jimenez-Ruiz, A.; Palop, J.A.; Sanmartin, C. Selenocyanates and diselenides: A new class of potent antileishmanial agents. Eur. J. Med. Chem. 2011, 46, 3315–3323. [Google Scholar] [CrossRef]
- Yamaguchi, K.; Uzzo, R.G.; Pimkina, J.; Makhov, P.; Golovine, K.; Crispen, P.; Kolenko, V.M. Methylseleninic acid sensitizes prostate cancer cells to TRAIL-mediated apoptosis. Oncogene 2005, 24, 5868–5877. [Google Scholar] [CrossRef]
- Antunes Soares, F.; Farina, M.; Boettcher, A.C.; Braga, A.L.; Batista, T.R.J. Organic and inorganic forms of selenium inhibited differently fish (Rhamdia quelen) and rat (Rattus norvergicus albinus) delta-aminolevulinate dehydratase. Env. Res. 2005, 98, 46–54. [Google Scholar] [CrossRef]
- Drake, E.N. Cancer chemoprevention: Selenium as a prooxidant, not an antioxidant. Med. Hypotheses 2006, 67, 318–322. [Google Scholar] [CrossRef]
- Wessjohann, L.A.; Schneider, A.; Abbas, M.; Brandt, W. Selenium in chemistry and biochemistry in comparison to sulfur. Biol. Chem. 2007, 388, 997–1006. [Google Scholar] [CrossRef]
- Alcolea, V.; Moreno, E.; Etxebeste-Mitxeltorena, M.; Navarro-Blasco, I.; González-Peñas, E.; Jiménez-Ruiz, A.; Irache, J.M.; Sanmartín, C.; Espuelas, S. 3, 5-Dimethyl-4-isoxazoyl selenocyanate as promising agent for the treatment of Leishmania infantum-infected mice. Acta Trop. 2021, 215, 105801. [Google Scholar] [CrossRef]
- Ali, W.; Álvarez-Pérez, M.; Marć, M.A.; Salardón-Jiménez, N.; Handzlik, J.; Domínguez-Álvarez, E. The anticancer and chemopreventive activity of selenocyanate-containing compounds. Curr. Pharmacol. Rep. 2018, 4, 468–481. [Google Scholar] [CrossRef]
- Papp, L.V.; Lu, J.; Holmgren, A.; Khanna, K.K. From selenium to selenoproteins: Synthesis, identity, and their role in human health. Antioxid. Redox Signal. 2007, 9, 775–806. [Google Scholar] [CrossRef]
- Sanmartin, C.; Ruberte, A.C.; Ibanez, E.; Moreno, E.; Espuelas, S.; Plano, D. Selenium Entities: Promising Scaffolds for the Treatment of Cancer and Leishmania. Curr. Org. Synth. 2017, 14, 1075–1081. [Google Scholar] [CrossRef]
- Sanmartin, C.; Plano, D.; Sharma, A.K.; Palop, J.A. Selenium compounds, apoptosis and other types of cell death: An overview for cancer therapy. Int. J. Mol. Sci. 2012, 13, 9649–9672. [Google Scholar] [CrossRef]
- Álvarez-Pérez, M.; Ali, W.; Marć, M.A.; Handzlik, J.; Domínguez-Álvarez, E. Selenides and diselenides: A review of their anticancer and chemopreventive activity. Molecules 2018, 23, 628. [Google Scholar] [CrossRef]
- Benelli, J.L.; Poester, V.R.; Munhoz, L.S.; Melo, A.M.; Trapaga, M.R.; Stevens, D.A.; Xavier, M.O. Ebselen and diphenyl diselenide against fungal pathogens: A systematic review. Med. Mycol. 2021, 59, 409–421. [Google Scholar] [CrossRef]
- Prasher, P.; Sharma, M. Medicinal chemistry of anthranilic acid derivatives: A mini review. Drug Dev. Res. 2021, 82, 945–958. [Google Scholar] [CrossRef]
- Congiu, C.; Cocco, M.T.; Lilliu, V.; Onnis, V. New potential anticancer agents based on the anthranilic acid scaffold. Synthesis and evaluation of biological activity. J. Med. Chem. 2005, 48, 8245–8252. [Google Scholar] [CrossRef]
- Refaay, D.A.; Ahmed, D.M.; Mowafy, A.M.; Shaaban, S. Evaluation of novel multifunctional organoselenium compounds as potential cholinesterase inhibitors against Alzheimer’s disease. Med. Chem. Res. 2022, 31, 894–904. [Google Scholar] [CrossRef]
- Sk, U.H.; Sharma, A.K.; Ghosh, S.; Bhattacharya, S. Synthesis and biological evaluation of novel spiro 6-methoxytetralin-1,3’-pyrrolidine based organoselenocyanates against cadmium-induced oxidative and hepatic damage in mice. Eur. J. Med. Chem. 2010, 45, 3265–3273. [Google Scholar] [CrossRef]
- Shaaban, S.; Zarrouk, A.; Vervandier-Fasseur, D.S.; Al-Faiyz, Y.; El-Sawy, H.; Althagafi, I.; Andreoletti, P.; Cherkaoui-Malki, M. Cytoprotective organoselenium compounds for oligodendrocytes. Arab. J. Chem. 2021, 14, 103051. [Google Scholar] [CrossRef]
- Kachanov, V.A.; Slabko, Y.O.; Baranova, V.O.; Shilova, V.E.; Kaminskii, A.V. Triselenium dicyanide from malononitrile and selenium dioxide. One-pot synthesis of selenocyanates. Tetrahedron Lett. 2004, 45, 4461–4463. [Google Scholar] [CrossRef]
- Chuai, H.; Zhang, S.Q.; Bai, H.; Li, J.; Wang, Y.; Sun, J.; Wen, E.; Zhang, J.; Xin, M. Small molecule selenium-containing compounds: Recent development and therapeutic applications. Eur. J. Med. Chem. 2021, 223, 113621. [Google Scholar] [CrossRef]
- Gouda, M.; Ferjani, H.; Abd El-Lateef, H.M.; Khalaf, M.M.; Shaaban, S.; Yousef, T.A. A Competition between Hydrogen, Stacking, and Halogen Bonding in N-(4-((3-Methyl-1, 4-dioxo-1, 4-dihydronaphthalen-2-yl) selanyl) phenyl) acetamide: Structure, Hirshfeld Surface Analysis, 3D Energy Framework Approach, and DFT Calculation. Int. J. Mol. Sci. 2022, 23, 2716. [Google Scholar] [CrossRef] [PubMed]
- Shaaban, S.; Ashmawy, A.M.; Negm, A.; Wessjohann, L.A. Synthesis and biochemical studies of novel organic selenides with increased selectivity for hepatocellular carcinoma and breast adenocarcinoma. Eur. J. Med. Chem. 2019, 179, 515–526. [Google Scholar] [CrossRef] [PubMed]
- Shaaban, S.; Negm, A.; Ashmawy, A.M.; Ahmed, D.M.; Wessjohann, L.A. Combinatorial synthesis, in silico, molecular and biochemical studies of tetrazole-derived organic selenides with increased selectivity against hepatocellular carcinoma. Eur. J. Med. Chem. 2016, 122, 55–71. [Google Scholar] [CrossRef]
- Soriano-Garcia, M. Organoselenium compounds as potential therapeutic and chemopreventive agents: A review. Curr. Med. Chem. 2004, 11, 1657–1669. [Google Scholar] [CrossRef] [PubMed]
- Lennicke, C.; Rahn, J.; Heimer, N.; Lichtenfels, R.; Wessjohann, L.A.; Seliger, B. Redox proteomics: Methods for the identification and enrichment of redox-modified proteins and their applications. Proteomics 2016, 16, 197–213. [Google Scholar] [CrossRef]
- Shaaban, S.; Negm, A.; Sobh, M.A.; Wessjohann, L.A. Expeditious Entry to Functionalized Pseudo-peptidic Organoselenide Redox Modulators via Sequential Ugi/SN Methodology. Anticancer Agents Med. Chem. 2016, 16, 621–632. [Google Scholar] [CrossRef] [PubMed]
- Straliotto, M.R.; de Oliveira, J.; Mancini, G.; Bainy, A.C.; Latini, A.; Deobald, A.M.; Rocha, J.B.; de Bem, A.F. Disubstituted diaryl diselenides as potential atheroprotective compounds: Involvement of TrxR and GPx-like systems. Eur. J. Pharm. Sci. Off. J. Eur. Fed. Pharm. Sci. 2013, 48, 717–725. [Google Scholar] [CrossRef] [PubMed]
- Sak, M.; Al-Faiyz, Y.S.; Elsawy, H.; Shaaban, S. Novel organoselenium redox modulators with potential anticancer, antimicrobial, and antioxidant activities. Antioxidants 2022, 11, 1231. [Google Scholar] [CrossRef]
- Abdel-Motaal, M.; Almohawes, K.; Tantawy, M.A. Antimicrobial evaluation and docking study of some new substituted benzimidazole-2yl derivatives. Bioorg. Chem. 2020, 101, 103972. [Google Scholar] [CrossRef]





| Compounds | MCF7 a | HepG2 a | WI38 a | ||
|---|---|---|---|---|---|
| IC50 (µM) a | TI c | IC50 (µM) a | TI c | IC50 (µM) a | |
| Adriamycin | 4.17 ± 0.2 | 1.6 | 4.50 ± 0.2 | 1.5 | 6.72 ± 0.5 |
| 3 | 32.80 ± 2.3 | 2.6 | 21.03 ± 1.5 | 4 | 87.39 ± 4.8 |
| 4 | 29.37 ± 2.1 | 1.9 | 13.87 ± 1.0 | 3.9 | 54.72 ± 3.3 |
| 6 | 23.45 ± 1.8 | 2.3 | 11.21 ± 1.0 | 4.8 | 52.62 ± 3.1 |
| 7 | 44.25 ± 2.7 | 2 | 27.35 ± 2.1 | 3.4 | 92.87 ± 5.1 |
| 8 | 39.42 ± 2.6 | 1.7 | 33.81 ± 2.4 | 2 | 67.05 ± 3.9 |
| 9 | 26.63 ± 2.0 | 1.8 | 8.41 ± 0.7 | 5.7 | 48.63 ± 2.9 |
| 10 | 34.78 ± 2.4 | 1.7 | 19.49 ± 1.4 | 2.9 | 57.45 ± 3.5 |
| 11 | - b | - | - b | - | - b |
| 12 | 46.23 ± 2.8 | 1.7 | 28.84 ± 2.2 | 2.8 | 80.74 ± 4.5 |
| 13 | 61.76 ± 3.5 | - | 51.29 ± 2.8 | - | 36.65 ± 2.4 |
| 14 | 82.36 ± 4.4 | - | 85.42 ± 4.6 | - | 31.66 ± 2.1 |
| 15 | 31.02 ± 2.3 | 1.6 | 9.38 ± 0.8 | 6 | 56.49 ± 3.4 |
| Compound | E. coli | S. aureus | C. albicans | |||
|---|---|---|---|---|---|---|
| ZID (mm) a | IA% | ZID (mm) a | IA% | ZID (mm) a | IA% | |
| 3 | 11 | 47.8 | 14 | 66.7 | 16 | 66.7 |
| 4 | 13 | 56.5 | 15 | 71.4 | 17 | 70.8 |
| 6 | 14 | 60.9 | 16 | 76.2 | 18 | 75.0 |
| 7 | 8 | 34.8 | 11 | 52.4 | 14 | 58.3 |
| 8 | 10 | 43.5 | 11 | 52.4 | 12 | 50.0 |
| 9 | 14 | 60.9 | 15 | 71.4 | 20 | 83.3 |
| 10 | 11 | 47.8 | 14 | 66.7 | 16 | 66.7 |
| 11 | NA | - | NA | - | NA | - |
| 12 | 7 | 30.4 | 10 | 47.6 | 13 | 54.2 |
| 13 | 3 | 13.0 | 8 | 38.1 | 9 | 37.5 |
| 14 | NA | - | 2 | 9.5 | 3 | 12.5 |
| 15 | 12 | 52.2 | 14 | 66.7 | 19 | 79.2 |
| Ampicillin | 23 | 100 | 21 | 100 | - | - |
| Clotrimazole | - | - | - | - | 24 | 100 |
Publisher’s Note: MDPI stays neutral with regard to jurisdictional claims in published maps and institutional affiliations. |
© 2022 by the authors. Licensee MDPI, Basel, Switzerland. This article is an open access article distributed under the terms and conditions of the Creative Commons Attribution (CC BY) license (https://creativecommons.org/licenses/by/4.0/).
Share and Cite
Al-Abdallah, B.; Al-Faiyz, Y.S.; Shaaban, S. Organoselenocyanates Tethered Methyl Anthranilate Hybrids with Promising Anticancer, Antimicrobial, and Antioxidant Activities. Inorganics 2022, 10, 246. https://doi.org/10.3390/inorganics10120246
Al-Abdallah B, Al-Faiyz YS, Shaaban S. Organoselenocyanates Tethered Methyl Anthranilate Hybrids with Promising Anticancer, Antimicrobial, and Antioxidant Activities. Inorganics. 2022; 10(12):246. https://doi.org/10.3390/inorganics10120246
Chicago/Turabian StyleAl-Abdallah, Batool, Yasair S. Al-Faiyz, and Saad Shaaban. 2022. "Organoselenocyanates Tethered Methyl Anthranilate Hybrids with Promising Anticancer, Antimicrobial, and Antioxidant Activities" Inorganics 10, no. 12: 246. https://doi.org/10.3390/inorganics10120246
APA StyleAl-Abdallah, B., Al-Faiyz, Y. S., & Shaaban, S. (2022). Organoselenocyanates Tethered Methyl Anthranilate Hybrids with Promising Anticancer, Antimicrobial, and Antioxidant Activities. Inorganics, 10(12), 246. https://doi.org/10.3390/inorganics10120246

