Coupling of Thiazole-2-Amines with Isocyanide Ligands in bis-(Isocyanide) Platinum Complex: A New Type of Reactivity
Abstract
1. Introduction
2. Results and Discussion
2.1. The platinum(II)-Mediated Reaction
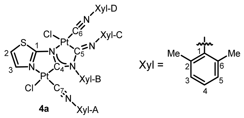
2.2. Identification of 4a, 4b, 5a, 6, and 7
2.3. Noncovalent Interactions in the Structures of 4a, 4b, 5a, 6, and 7
3. Materials and Methods
3.1. General
3.2. Synthesis of the Complexes





3.3. X-ray Diffraction
3.4. Computational Details
4. Conclusions
Supplementary Materials
Author Contributions
Funding
Institutional Review Board Statement
Informed Consent Statement
Data Availability Statement
Acknowledgments
Conflicts of Interest
References
- Díez-González, S.; Marion, N.; Nolan, S.P. N-heterocyclic carbenes in late transition metal catalysis. Chem. Rev. 2009, 109, 3612–3676. [Google Scholar] [CrossRef] [PubMed]
- Boyarskiy, V.P.; Luzyanin, K.V.; Kukushkin, V.Y. Acyclic diaminocarbenes (ADCs) as a promising alternative to N-heterocyclic carbenes (NHCs) in transition metal catalyzed organic transformations. Coord. Chem. Rev. 2012, 256, 2029–2056. [Google Scholar] [CrossRef]
- Slaughter, L.M. Acyclic aminocarbenes in catalysis. ACS Catal. 2012, 2, 1802–1816. [Google Scholar] [CrossRef]
- Mercs, L.; Albrecht, M. Beyond catalysis: N-heterocyclic carbene complexes as components for medicinal, luminescent, and functional materials applications. Chem. Soc. Rev. 2010, 39, 1903–1912. [Google Scholar] [CrossRef]
- Oehninger, L.; Rubbiani, R.; Ott, I. N-Heterocyclic carbene metal complexes in medicinal chemistry. Dalton Trans. 2013, 42, 3269–3284. [Google Scholar] [CrossRef]
- Tschugajeff, L.; Grigorjewa, M.; Posnjak, A. The hydrazine-carbylamine-complexes of platinum. Z. Anorg. Allg. Chem. 1925, 148, 37–42. [Google Scholar] [CrossRef]
- Crociani, B.; Boschi, T.; Belluco, U. Synthesis and reactivity of novel palladium(II)- isocyanide complexes. Inorg. Chem. 1970, 9, 2021–2025. [Google Scholar] [CrossRef]
- Crociani, B.; Uguagliati, P.; Belluco, U. Steric role of aromatic ring ortho-substituents in mechanism of carbene formation from palladium(II) arylisocyanide complexes and anilines. J. Organomet. Chem. 1976, 117, 189–199. [Google Scholar] [CrossRef]
- Rotondo, E.; Cusumano, M.; Crociani, B.; Uguagliati, P.; Belluco, U. Mechanism of nucleophilic-attack by aromatic-amines on palladium(II) bis-isocyanide complexes factors affecting formation of mono-carbene derivatives and bis-carbene derivatives. J. Organomet. Chem. 1977, 134, 249–257. [Google Scholar] [CrossRef]
- Zanella, R.; Boschi, T.; Crociani, B.; Belluco, U. Reactions of palladium(II) isocyanide complexes with bifunctional amines. J. Organomet. Chem. 1974, 71, 135–143. [Google Scholar] [CrossRef]
- Michelin, R.A.; Pombeiro, A.J.L.; Guedes da Silva, M.F.C. Aminocarbene complexes derived from nucleophilic addition to isocyanide ligands. Coord. Chem. Rev. 2001, 218, 75–112. [Google Scholar] [CrossRef]
- Dömling, A. Recent developments in isocyanide based multicomponent reactions in applied chemistry. Chem. Rev. 2006, 106, 17–89. [Google Scholar] [CrossRef]
- Giustiniano, M.; Basso, A.; Mercalli, V.; Massarotti, A.; Novellino, E.; Tron, G.C.; Zhu, J.P. To each his own: Isonitriles for all flavors. Functionalized isocyanides as valuable tools in organic synthesis. Chem. Soc. Rev. 2017, 46, 1295–1357. [Google Scholar] [CrossRef]
- Wang, Q.; Wang, D.X.; Wang, M.X.; Zhu, J.P. Still unconquered: Enantioselective Passerini and Ugi multicomponent reactions. Acc. Chem. Res. 2018, 51, 1290–1300. [Google Scholar] [CrossRef]
- Zhang, B.O.; Studer, A. Recent advances in the synthesis of nitrogen heterocycles via radical cascade reactions using isonitriles as radical acceptors. Chem. Soc. Rev. 2015, 44, 3505–3521. [Google Scholar] [CrossRef]
- Boyarskiy, V.P.; Bokach, N.A.; Luzyanin, K.V.; Kukushkin, V.Y. Metal-mediated and metal-catalyzed reactions of isocyanides. Chem. Rev. 2015, 115, 2698–2779. [Google Scholar] [CrossRef]
- Kinzhalov, M.A.; Boyarskii, V.P. Structure of isocyanide palladium(II) complexes and their reactivity toward nitrogen nucleophiles. Russ. J. Gen. Chem. 2015, 85, 2313–2333. [Google Scholar] [CrossRef]
- Kinzhalov, M.A.; Luzyanin, K.V. Reactivity of acyclic diaminocarbene ligands. Coord. Chem. Rev. 2019, 399, 213014. [Google Scholar] [CrossRef]
- Mikhaylov, V.N.; Sorokoumov, V.N.; Korvinson, K.A.; Novikov, A.S.; Balova, I.A. Synthesis and simple immobilization of palladium(II) acyclic diaminocarbene complexes on polystyrene support as efficient catalysts for sonogashira and Suzuki–Miyaura cross-coupling. Organometallics 2016, 35, 1684–1697. [Google Scholar] [CrossRef]
- Hashmi, A.S.K.; Lothschutz, C.; Bohling, C.; Hengst, T.; Hubbert, C.; Rominger, F. Carbenes made easy: Formation of unsymmetrically substituted N-heterocyclic carbene complexes of palladium(II), platinum(II) and gold(I) from coordinated isonitriles and their catalytic activity. Adv. Synth. Catal. 2010, 352, 3001–3012. [Google Scholar] [CrossRef]
- Hashmi, A.S.K.; Lothschutz, C.; Bohling, C.; Rominger, F. From isonitriles to carbenes: Synthesis of new NAC- and NHC-palladium(II) compounds and their catalytic activity. Organometallics 2011, 30, 2411–2417. [Google Scholar] [CrossRef]
- Moncada, A.I.; Manne, S.; Tanski, J.M.; Slaughter, L.M. Modular chelated palladium diaminocarbene complexes: Synthesis, characterization, and optimization of catalytic Suzuki-Miyaura cross-coupling activity by ligand modification. Organometallics 2006, 25, 491–505. [Google Scholar] [CrossRef]
- Wanniarachchi, Y.A.; Kogiso, Y.; Slaughter, L.M. Chiral palladium bis(acyclic diaminocarbene) complexes as enantioselective catalysts for the Aza-Claisen rearrangement. Organometallics 2008, 27, 21–24. [Google Scholar] [CrossRef]
- Wanniarachchi, Y.A.; Slaughter, L.M. One-step assembly of a chiral palladium bis (acyclic diaminocarbene) complex and its unexpected oxidation to a bis(amidine) complex. Chem. Commun. 2007, 31, 3294–3296. [Google Scholar] [CrossRef]
- Singh, C.; Prakasham, A.P.; Gangwar, M.K.; Butcher, R.J.; Ghosh, P. One–Pot Tandem Hiyama alkynylation/Cyclizations by Palladium(II) Acyclic Diaminocarbene (ADC) Complexes Yielding Biologically Relevant Benzofuran Scaffolds. ACS Omega. 2018, 3, 1740–1756. [Google Scholar] [CrossRef] [PubMed]
- Gee, J.C.; Fuller, B.A.; Lockett, H.-M.; Sedghi, G.; Robertson, C.M.; Luzyanin, K.V. Visible light accelerated hydrosilylation of alkynes using platinum–[acyclic diaminocarbene] photocatalysts. Chem. Commun. 2018, 54, 9450–9453. [Google Scholar] [CrossRef]
- Dobrynin, M.V.; Kasatkina, S.O.; Baykov, S.V.; Savko, P.Y.; Antonov, N.S.; Mikherdov, A.S.; Boyarskiy, V.P.; Islamova, R.M. Deprotonated diaminocarbene platinum complexes for thermoresponsive luminescent silicone materials: Both catalysts and luminophores. Dalton Trans. 2021, 50, 14994–14999. [Google Scholar] [CrossRef]
- Dobrynin, M.V.; Kasatkina, S.O.; Baykov, S.V.; Savko, P.Y.; Antonov, N.S.; Mikherdov, A.S.; Boyarskiy, V.P.; Islamova, R.M. Cyclometallated Platinum(II) Complexes for Obtaining Phenyl-Containing Silicone Rubbers via Catalytic Hydrosilylation Reaction. Russ. J. Gen. Chem. 2022, 92, 79–84. [Google Scholar] [CrossRef]
- Kinzhalov, M.A.; Luzyanin, K.V. Synthesis and Contemporary Applications of Platinum Group Metals Complexes with Acyclic Diaminocarbene Ligands. Russ. J. Inorg. Chem. 2022, 67, 48–90. [Google Scholar] [CrossRef]
- Kinzhalov, M.A.; Grachova, E.V.; Luzyanin, K.V. Tuning the Luminescence of Transition Metal Complexes with Acyclic Diaminocarbene Ligands. Inorg. Chem. Front. 2022, 9, 417–439. [Google Scholar] [CrossRef]
- Serebryanskaya, T.V.; Kinzhalov, M.A.; Bakulev, V.; Alekseev, G.; Andreeva, A.; Gushchin, P.V.; Protas, A.V.; Smirnov, A.S.; Panikorovskii, T.L.; Lippmann, P.; et al. Water soluble palladium(II) and platinum(II) acyclic diaminocarbene complexes: Solution behavior, DNA binding, and antiproliferative activity. New J. Chem. 2020, 44, 5762–5773. [Google Scholar] [CrossRef]
- Tskhovrebov, A.G.; Luzyanin, K.V.; Dolgushin, F.M.; Guedes da Silva, M.F.C.; Pombeiro, A.J.L.; Kukushkin, V.Y. Novel reactivity mode of metal diaminocarbenes: Palladium(II)-mediated coupling between acyclic diaminocarbenes and isonitriles leading to dinuclear species. Organometallics 2011, 30, 3362–3370. [Google Scholar] [CrossRef]
- Kinzhalov, M.A.; Luzyanin, K.V.; Boyarskiy, V.P.; Haukka, M.; Kukushkin, V.Y. Coupling of C-amino aza-substituted heterocycles with an isocyanide ligand in palladium(II) complex. Russ. Chem. Bull. 2013, 62, 758–766. [Google Scholar] [CrossRef]
- Mikherdov, A.S.; Novikov, A.S.; Kinzhalov, M.A.; Boyarskiy, V.P.; Starova, G.L.; Ivanov, A.Y.; Kukushkin, V.Y. Halides held by bifurcated chalcogen-hydrogen bonds. Effect of mu Cl-(S, Cl-N-H) contacts on dimerization of Cl(carbene)Pd-II species. Inorg. Chem. 2018, 57, 3420–3433. [Google Scholar] [CrossRef]
- Mikherdov, A.S.; Kinzhalov, M.A.; Novikov, A.S.; Boyarskiy, V.P.; Boyarskaya, I.A.; Dar’in, D.V.; Starova, G.L.; Kukushkin, V.Y. Difference in energy between two distinct types of chalcogen bonds drives regioisomerization of binuclear (diaminocarbene) PdII complexes. J. Am. Chem. Soc. 2016, 138, 14129–14137. [Google Scholar] [CrossRef]
- Mikherdov, A.S.; Popov, R.A.; Kinzhalov, M.A.; Haukka, M.; Polukeev, V.A.; Boyarskiy, V.P.; Roodt, A. Reaction mechanism of regioisomerization in binuclear (diaminocarbene)PdII complexes. Inorg. Chim. Acta 2021, 514, 120012. [Google Scholar] [CrossRef]
- Guevara-Vela, J.M.; Romero-Montalvo, E.; Costales, A.; Pendása, Á.M.; Rocha-Rinza, T. The nature of resonance-assisted hydrogen bonds: A quantum chemical topology perspective. Phys. Chem. Chem. Phys. 2016, 18, 26383–26390. [Google Scholar] [CrossRef]
- Allen, F.; Kennard, O.; Watson, D.; Brammer, L.; Orpen, A.; Taylor, R. Tables of bond lengths determined by X-ray and neutron diffraction. Part 1. Bond lengths in organic compounds. J. Chem. Soc. Perkin Trans. 1987, 2, S1–S19. [Google Scholar] [CrossRef]
- Aakeroy, C.B.; Bryce, D.L.; Desiraju, G.R.; Frontera, A.; Legon, A.C.; Nicotra, F.; Rissanen, K.; Scheiner, S.; Terraneo, G.; Metrangolo, P.; et al. Definition of the chalcogen bond (IUPAC Recommendations 2019). Pure Appl. Chem. 2019, 91, 1889–1892. [Google Scholar] [CrossRef]
- Bader, R.F.W. A quantum theory of molecular structure and its applications. Chem. Rev. 1991, 91, 893–928. [Google Scholar] [CrossRef]
- Espinosa, E.; Molins, E.; Lecomte, C. Hydrogen bond strengths revealed by topological analyses of experimentally observed electron densities. Chem. Phys. Lett. 1998, 285, 170–173. [Google Scholar] [CrossRef]
- Vener, M.V.; Egorova, A.N.; Churakov, A.V.; Tsirelson, V.G. Intermolecular hydrogen bond energies in crystals evaluated using electron density properties: DFT computations with periodic boundary conditions. J. Comput. Chem. 2012, 33, 2303–2309. [Google Scholar] [CrossRef] [PubMed]
- Luzyanin, K.V.; Guedes da Silva, M.F.C.; Kukushkin, V.Y.; Pombeiro, A.J.L. First example of an imine addition to coordinated isonitrile. Inorg. Chim. Acta 2009, 362, 833–838. [Google Scholar] [CrossRef]
- Sheldrick, G.M. SHELXT-Integrated space-group and crystal-structure determination. Acta Crystallogr. Sect. A 2015, 71, 3–8. [Google Scholar] [CrossRef]
- Palatinus, L.; Chapuis, G. SUPERFLIP – a computer program for the solution of crystal structures by charge flipping in arbitrary dimensions. J. Appl. Cryst. 2007, 40, 786–790. [Google Scholar] [CrossRef]
- Palatinus, L.; Van Der Lee, A. Symmetry determination following structure solution in P1. J. Appl. Cryst. 2008, 41, 975–984. [Google Scholar] [CrossRef]
- Palatinus, L.; Prathapa, S.J.; van Smaalen, S. EDMA: A computer program for topological analysis of discrete electron densities. J. Appl. Cryst. 2012, 45, 575–580. [Google Scholar] [CrossRef]
- Sheldrick, G.M. IUCr Crystal structure refinement with SHELXL. Acta Crystallogr. Sect. C Struct. Chem. 2015, 71, 3–8. [Google Scholar] [CrossRef]
- Dolomanov, O.V.; Bourhis, L.J.; Gildea, R.J.; Howard, J.A.K.; Puschmann, H. OLEX2: A complete structure solution, refinement and analysis program. J. Appl. Crystallogr. 2009, 42, 339–341. [Google Scholar] [CrossRef]
- Zhao, Y.; Truhlar, D.G. The M06 suite of density functionals for main group thermochemistry, thermochemical kinetics, noncovalent interactions, excited states, and transition elements: Two new functionals and systematic testing of four M06-class functionals and 12 other functionals. Theor. Chem. Acc. 2008, 120, 215–241. [Google Scholar]
- Grimme, S.; Antony, J.; Ehrlich, S.; Krieg, H. A consistent and accurate ab initio parametrization of density functional dispersion correction (DFT-D) for the 94 elements H-Pu. J. Chem. Phys. 2010, 132, 154104. [Google Scholar] [CrossRef]
- Weigend, F.; Ahlrichs, R. Balanced basis sets of split valence, triple zeta valence and quadruple zeta valence quality for H to Rn: Design and assessment of accuracy. Phys. Chem. Chem. Phys. 2005, 7, 3297–3305. [Google Scholar] [CrossRef]
- Weigend, F. Accurate Coulomb-fitting basis sets for H to Rn. Phys. Chem. Chem. Phys. 2006, 8, 1057–1065. [Google Scholar] [CrossRef]
- Frisch, M.J.; Trucks, G.W.; Schlegel, H.B.; Scuseria, G.E.; Robb, M.A.; Cheeseman, J.R.; Scalmani, G.; Barone, V.; Petersson, G.A.; Nakatsuji, H.; et al. Gaussian 16, Revision C.01; Gaussian, Inc.: Wallingford, CT, USA, 2016. [Google Scholar]
- Lu, T.; Chen, F. Multiwfn: A multifunctional wavefunction analyzer. J. Comput. Chem. 2012, 33, 580–592. [Google Scholar] [CrossRef]








| Mixture | Conditions | Ratio a:b for Pt | Ratio a:b for Pd [35,36] |
|---|---|---|---|
| 4a/b | RT | 10:1 | 5:1 |
| reflux | 1:3 | 1:4 | |
| 5a/b | RT | 1:1 | 4:1 |
| reflux | 1:2 | 1:4 |
| Ratio between Reactants 2:1 (Equiv.) | Conversion of 1 (%) | Product Ratios after 12 h (Equiv.) | ||
|---|---|---|---|---|
| 6 | 4a | 4b | ||
| 0.5 | 50 | 0 | 1.00 | trace |
| 1 | 70 | 0.09 | 0.91 | trace |
| 2 | 98 | 0.11 | 0.89 | 0 |
| 3 | 100 | 0.50 | 0.50 | 0 |
| 5 | 100 | 0.75 | 0.25 | 0 |
| 10 | 100 | 0.88 | 0.12 | 0 |
| Complex | Contact | d(D···A) | ∠(R-D···A) | sign(λ2)ρ | ∇2ρ(r) | H(r) | V(r) | G(r) | Eint a | Eint b |
|---|---|---|---|---|---|---|---|---|---|---|
| 4a | S···Cl | 3.075 | 172.01 | −0.018 | 0.046 | 0.0004 | −0.011 | 0.011 | 3.4 | 3.0 |
| 5a | S···Cl | 3.072 | 164.88 | −0.018 | 0.047 | 0.0003 | −0.011 | 0.011 | 3.5 | 3.1 |
| 4b | S···N | 2.696 | 160.17 | −0.025 | 0.078 | 0.0019 | −0.016 | 0.018 | 4.9 | 4.7 |
| 5b | S···N | 2.716 | 160.42 | −0.024 | 0.075 | 0.0019 | −0.015 | 0.017 | 4.7 | 4.5 |
| 6 | S···Cl | 3.417 | 170.15 | −0.011 | 0.023 | 0.0003 | −0.005 | 0.006 | 1.6 | 1.5 |
| H···Cl | 1.976 | 160.36 | −0.045 | 0.068 | −0.0052 | −0.027 | 0.022 | 8.6 | 6.0 | |
| H···N | 1.707 | 151.39 | −0.052 | 0.144 | −0.0035 | −0.043 | 0.039 | 13.5 | 10.6 | |
| 7 | S···Cl | 3.331 | 172.26 | −0.013 | 0.027 | 0.0002 | −0.006 | 0.006 | 1.9 | 1.7 |
| H···Cl | 2.163 | 154.27 | −0.032 | 0.051 | −0.0024 | −0.017 | 0.015 | 5.5 | 4.0 | |
| H···N | 1.680 | 152.56 | −0.056 | 0.144 | −0.0055 | −0.047 | 0.042 | 14.8 | 11.2 |
Publisher’s Note: MDPI stays neutral with regard to jurisdictional claims in published maps and institutional affiliations. |
© 2022 by the authors. Licensee MDPI, Basel, Switzerland. This article is an open access article distributed under the terms and conditions of the Creative Commons Attribution (CC BY) license (https://creativecommons.org/licenses/by/4.0/).
Share and Cite
Orekhova, Y.A.; Mikherdov, A.S.; Suslonov, V.V.; Boyarskiy, V.P. Coupling of Thiazole-2-Amines with Isocyanide Ligands in bis-(Isocyanide) Platinum Complex: A New Type of Reactivity. Inorganics 2022, 10, 221. https://doi.org/10.3390/inorganics10120221
Orekhova YA, Mikherdov AS, Suslonov VV, Boyarskiy VP. Coupling of Thiazole-2-Amines with Isocyanide Ligands in bis-(Isocyanide) Platinum Complex: A New Type of Reactivity. Inorganics. 2022; 10(12):221. https://doi.org/10.3390/inorganics10120221
Chicago/Turabian StyleOrekhova, Yuliya A., Alexander S. Mikherdov, Vitalii V. Suslonov, and Vadim P. Boyarskiy. 2022. "Coupling of Thiazole-2-Amines with Isocyanide Ligands in bis-(Isocyanide) Platinum Complex: A New Type of Reactivity" Inorganics 10, no. 12: 221. https://doi.org/10.3390/inorganics10120221
APA StyleOrekhova, Y. A., Mikherdov, A. S., Suslonov, V. V., & Boyarskiy, V. P. (2022). Coupling of Thiazole-2-Amines with Isocyanide Ligands in bis-(Isocyanide) Platinum Complex: A New Type of Reactivity. Inorganics, 10(12), 221. https://doi.org/10.3390/inorganics10120221

