Low-Rate Denial-of-Service Attack Detection: Defense Strategy Based on Spectral Estimation for CV-QKD
Abstract
:1. Introduction
2. System Description and Attack Detection
2.1. Attack Strategy against GMCS Protocol
2.2. Detection Principle of LDoS Attack by Spectral Estimation
2.2.1. Autocorrelation Estimation with Rectangular Window
2.2.2. Periodogram with Bartlett Window
2.2.3. The Bartlett Approach
3. Performance
3.1. Comparison with the Wavelet Approach
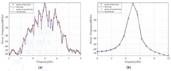
3.2. Estimation Consistency and Detection Effect
4. Conclusions
Author Contributions
Funding
Institutional Review Board Statement
Informed Consent Statement
Data Availability Statement
Conflicts of Interest
Abbreviations
| CVQKD | Continuous-variable quantum key distribution |
| DVQKD | Discrete-variable quantum key distribution |
| DoS | Denial-of-service |
| LDoS | Low-rate denial-of-service |
| PSD | Power spectral density |
| GMCS | Gaussian-modulated coherent state |
| LO | Local oscillator |
| TCP | Transmission control protocol |
| NCPSD | Normalized cumulative power spectral density |
| FIR | Finite impulse response |
Appendix A. Detailed Derivation and Proof of the LDoS Attack Strategy
Appendix B. Definition of Some Key Parameters
Appendix B.1. NCPSD
Appendix B.2. Normalized Frequency
Appendix B.3. Relative Bandwidth
References
- Rivest, A.; Shamir, L.; Adleman, T. A method for obtaining digital signature and public-key cryptosystems. Commun. ACM 1978, 21, 120–126. [Google Scholar] [CrossRef]
- Kumar, A.; Garhwal, S. State-of-the-Art Survey of Quantum Cryptography. Arch. Comput. Methods Eng. 2021, 28, 2831–2868. [Google Scholar] [CrossRef]
- Scarani, V.; Bechmann-Pasquinucci, H.; Cerf, N.; Dusek, M.; Lütkenhaus, N.; Peev, M. The security of practical quantum key distribution. Rev. Mod. Phys. 2009, 81, 1301. [Google Scholar] [CrossRef] [Green Version]
- Li, C.; Qian, L.; Lo, H.-K. Simple security proofs for continuous variable quantum key distribution with intensity fluctuating sources. npj Quantum Inf. 2021, 7, 150. [Google Scholar] [CrossRef]
- Gisin, N.; Ribordy, G.; Tittel, W.; Zbinden, H. Quantum cryptography. Rev. Mod. Phys. 2002, 74, 145. [Google Scholar] [CrossRef] [Green Version]
- Weedbrook, C.; Pirandola, S.; García-Patrón, R.; Cerf, N.; Ralph, T.; Shapiro, J.; Lloyd, S. Gaussian quantum information. Rev. Mod. Phys. 2011, 84, 621–669. [Google Scholar] [CrossRef]
- Diamanti, E.; Leverrier, A. Distributing secret keys with quantum continuous variables: Principle, security and implementations. Entropy 2015, 17, 6072. [Google Scholar] [CrossRef]
- Ye, W.; Guo, Y.; Xia, Y.; Zhong, H.; Zhang, H.; Ding, J.Z.; Hu, L.Y. Discrete modulation continuous-variable quantum key distribution based on quantum catalysis. Acta Phys. Sin. 2020, 69, 060301. [Google Scholar] [CrossRef]
- Grosshans, F.; Grangier, P. Continuous variable quantum cryptography using coherent states. Phys. Rev. Lett. 2002, 88, 057902. [Google Scholar] [CrossRef] [Green Version]
- Navascués, M.; Grosshans, F.; Acín, A. Optimality of gaussian attacks in continuous-variable quantum cryptography. Phys. Rev. Lett. 2006, 97, 190502. [Google Scholar] [CrossRef] [Green Version]
- Furrer, F.; Franz, T.; Berta, M.; Leverrier, A.; Scholz, V.B.; Tomamichel, M.; Werner, R.F. Continuous variable quantum key distribution: Finite-key analysis of composable security against coherent attacks. Phys. Rev. Lett. 2012, 109, 100502. [Google Scholar] [CrossRef] [PubMed]
- García-Patrón, R.; Cerf, N.J. Unconditional optimality of gaussian attacks against continuous-variable quantum key distribution. Phys. Rev. Lett. 2006, 97, 190503. [Google Scholar] [CrossRef] [PubMed] [Green Version]
- García-Patrón, R.; Cerf, N.J. Composable security proof for continuous-variable quantum key distribution with coherent states. Phys. Rev. Lett. 2015, 114, 070501. [Google Scholar]
- Hao, Q.; Rupesh, K.; Romain, A. Saturation attack on continuous-variable quantum key distribution system. In Proceedings of the Emerging Technologies in Security and Defence; and Quantum Security II; and Unmanned Sensor Systems X, Dresden, Germany, 29 October 2013; Volume 8899. [Google Scholar]
- Ma, X.-C.; Sun, S.-H.; Jiang, M.-S.; Liang, L.-M. Wavelength attack on practical continuous-variable quantum-key-distribution system with a heterodyne protocol. Phys. Rev. A 2013, 87, 052309. [Google Scholar] [CrossRef] [Green Version]
- Wiechers, C.; Lydersen, L.; Wittmann, C.; Elser, D.; Skaar, J.; Marquardt, C.; Makarov, V.; Leuchs, G. After-gate attack on a quantum cryptosystem. New J. Phys. 2011, 13, 013043. [Google Scholar] [CrossRef] [Green Version]
- Ferenczi, A.; Grangier, P.; Grosshans, F. Calibration attack and defense in continuous variable quantum key distribution. In Proceedings of the European Conference on Lasers and Electro-Optics and the International Quantum Electronics Conference, Munich, Germany, 17–22 June 2007; p. 1. [Google Scholar]
- Silva, T.; Xavier, G.; Temporäo, G.; von der Weid, J.P. Real-time monitoring of single-photon detectors against eavesdropping in quantum key distribution systems. Opt. Express 2012, 20, 18911. [Google Scholar] [CrossRef]
- Huang, P.; Huang, J.; Wang, T.; Li, H.; Huang, D.; Zeng, G. Robust continuous-variable quantum key distribution against practical attacks. Phys. Rev. A 2017, 95, 052302. [Google Scholar] [CrossRef]
- Li, Y.; Huang, P.; Wang, S.; Wang, T.; Li, D.; Zeng, G. A denial-of-service attack on fiber-based continuous-variable quantum key distribution. Phys. Lett. A 2018, 382, 3253. [Google Scholar] [CrossRef]
- Kuzmanovic, A.; Knightly, E. Low-rate tcp-targeted denial of service attacks and counter strategies. IEEE/ACM Trans. Netw. 2006, 14, 683. [Google Scholar] [CrossRef]
- Chen, Y.; Hwang, K. Collaborative detection and filtering of shrew ddos attacks using spectral analysis. J. Parallel Distrib. Comput. 2006, 66, 1137. [Google Scholar] [CrossRef]
- Antonio, M.; Santiago, S.; Geert, L.; Alejandro, R. Stationary Graph Processes and Spectral Estimation. IEEE Trans. Signal Process. 2017, 65, 5911–5926. [Google Scholar]
- Bai, J.; Ma, L. Detection of Range-Spread Target in Spatially Correlated Weibull Clutter Based on AR Spectral Estimation. IEICE Trans. Fundam. Electron. Commun. Comput. Sci. 2021, E104.A, 305–309. [Google Scholar] [CrossRef]
- Konar, A.; Sidiropoulos, N.D.; Mehanna, O. Parametric Frugal Sensing of Power Spectra for Moving Average Models. IEEE Trans. Signal Process. 2015, 63, 1073–1085. [Google Scholar] [CrossRef]
- Teles, P.; Sousa, P. The effect of temporal aggregation on the estimation accuracy of ARMA models. Commun. Stat.-Simul. Comput. 2018, 47, 2865–2885. [Google Scholar] [CrossRef]
- Grosshans, F.; Van Assche, G.; Wenger, J.; Brouri, R.; Cerf, N.J.; Grangier, P. Quantum key distribution using gaussian-modulated coherent states. Nature 2003, 421, 238–241. [Google Scholar] [CrossRef] [Green Version]
- Cerf, N.J.; Grangier, P. From quantum cloning to quantum key distribution with continuous variables: A review (Invited). J. Opt. Soc. Am. B 2007, 24, 324–334. [Google Scholar] [CrossRef] [Green Version]
- Luo, H.; Wang, Y.; Ye, W.; Zhong, H.; Mao, Y.; Guo, Y. Parameter estimation of continuous variable quantum key distribution system via artificial neural networks. Chin. Phys. B 2022, 31, 2. [Google Scholar] [CrossRef]
- Leverrier, A.; Grosshans, F.; Grangier, P. Finite-size analysis of a continuous-variable quantum key distribution. Phys. Rev. A 2010, 81, 062343. [Google Scholar] [CrossRef] [Green Version]
- Yu, X.D.; Gühne, O. Detecting coherence via spectrum estimation. Phys. Rev. A 2019, 99, 062310. [Google Scholar] [CrossRef] [Green Version]
- He, Y.X.; Cao, Q.; Liu, T.; Han, Y.; Xiong, Q. A Low-Rate DoS Detection Method Based on Feature Extraction Using Wavelet Transform. J. Softw. 2009, 20, 930–941. [Google Scholar]
- Wu, Z.J.; Li, H.J.; Liu, L.; Zhang, J.A.; Yue, M.; Lei, J. Detection of LDoS Attacks Based on Wavelet Energy Entropy and Hidden Semi-Markov Models. J. Softw. 2020, 31, 1549–1562. [Google Scholar]






| Method | Accuracy |
|---|---|
| The wavelet approach with Hurst estimation | 53% |
| The Bartlett approach with NCPSD | 88% |
Publisher’s Note: MDPI stays neutral with regard to jurisdictional claims in published maps and institutional affiliations. |
© 2022 by the authors. Licensee MDPI, Basel, Switzerland. This article is an open access article distributed under the terms and conditions of the Creative Commons Attribution (CC BY) license (https://creativecommons.org/licenses/by/4.0/).
Share and Cite
Dai, E.; Huang, D.; Zhang, L. Low-Rate Denial-of-Service Attack Detection: Defense Strategy Based on Spectral Estimation for CV-QKD. Photonics 2022, 9, 365. https://doi.org/10.3390/photonics9060365
Dai E, Huang D, Zhang L. Low-Rate Denial-of-Service Attack Detection: Defense Strategy Based on Spectral Estimation for CV-QKD. Photonics. 2022; 9(6):365. https://doi.org/10.3390/photonics9060365
Chicago/Turabian StyleDai, Enze, Duan Huang, and Ling Zhang. 2022. "Low-Rate Denial-of-Service Attack Detection: Defense Strategy Based on Spectral Estimation for CV-QKD" Photonics 9, no. 6: 365. https://doi.org/10.3390/photonics9060365
APA StyleDai, E., Huang, D., & Zhang, L. (2022). Low-Rate Denial-of-Service Attack Detection: Defense Strategy Based on Spectral Estimation for CV-QKD. Photonics, 9(6), 365. https://doi.org/10.3390/photonics9060365
